Axisymmetric Free Vibration of Functionally Graded Piezoelectric Circular Plates
Abstract
1. Introduction
2. Theoretical Formulations
2.1. Geometrical Configuration and Material Properties
2.2. Governing Equations for an FGPM Circular Plate
2.3. State Space Equations for an FGPM Circular Plate
2.4. Finite Hankel Transform for an FGPM Circular Plate
2.5. Axisymmetric Free Vibration for an FGPM Circular Plate
3. Numerical Examples
3.1. Verification of Results
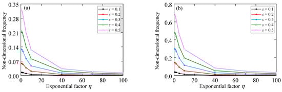
3.2. Parametric Studies and Discussion
4. Conclusions
Author Contributions
Funding
Data Availability Statement
Conflicts of Interest
References
- Rao, S.S.; Sunar, M. Piezoelectricity and its use in disturbance sensing and control of flexible structures: A survey. Appl. Mech. Rev. 1994, 47, 113–123. [Google Scholar] [CrossRef]
- Gandhi, M.V.; Thompson, B. Smart Materials and Structures, 1st ed.; Springer Science & Business Media: London, UK, 1992. [Google Scholar]
- Lei, J.; Wang, L. A peridynamic differential operator method for size-dependent flexoelectric effects. J. Inn. Mong. Univ. Technol. (Nat. Sci. Ed.) 2023, 42, 416–421. Available online: https://link.cnki.net/doi/10.13785/j.cnki.nmggydxxbzrkxb.2023.05.014 (accessed on 28 November 2024). (In Chinese).
- Shivashankar, P.; Gopalakrishnan, S. Review on the use of piezoelectric materials for active vibration, noise, and flow control. Smart Mater. Struct. 2020, 29, 053001. [Google Scholar] [CrossRef]
- Liu, C.; Ke, L.L.; Yang, J.; Kitipornchai, S.; Wang, Y.S. Nonlinear vibration of piezoelectric nanoplates using nonlocal Mindlin plate theory. Mech. Adv. Mater. Struct. 2018, 25, 1252–1264. [Google Scholar] [CrossRef]
- Hosseini Hashemi, S.; Es’haghi, M.; Karimi, M. Closed-form solution for free vibration of piezoelectric coupled annular plates using Levinson plate theory. J. Sound Vib. 2010, 329, 1390–1408. [Google Scholar] [CrossRef]
- Zhao, Z.; Zhu, J.; Chen, W. Size-dependent vibrations and waves in piezoelectric nanostructures: A literature review. Int. J. Smart. Nano. Mater. 2022, 13, 391–431. [Google Scholar] [CrossRef]
- Ke, L.L.; Liu, C.; Wang, Y.S. Free vibration of nonlocal piezoelectric nanoplates under various boundary conditions. Phys. E Low Dimens. Syst. Nanostruct. 2015, 66, 93–106. [Google Scholar] [CrossRef]
- Sun, Z.; Zheng, Y.; Guo, Y.; Huang, B. Size Effect on the Nonlinear Thickness-Shear Vibration of an Elliptical Piezoelectric Plate. J. Vib. Eng. Technol. 2024, 12, 6549–6566. [Google Scholar] [CrossRef]
- Wang, B.; Li, X.F. Flexoelectric effects on the natural frequencies for free vibration of piezoelectric nanoplates. J. Appl. Phys. 2021, 129, 034102. [Google Scholar] [CrossRef]
- Zhu, X.; Wang, Q.; Meng, Z. Functionally gradient piezoelectric actuator prepared by powder metallurgical process in PNN-PZ-PT system. J. Mater. Sci. Lett. 1995, 14, 516–518. [Google Scholar] [CrossRef]
- Wu, C.C.; Kahn, M.; Moy, W. Piezoelectric ceramics with functional gradients: A new application in material design. J. Am. Ceram. Soc. 1996, 79, 809–812. [Google Scholar] [CrossRef]
- Zhong, Z.; Shang, E.T. Three-dimensional exact analysis of a simply supported functionally gradient piezoelectric plate. Int. J. Solids Struct. 2003, 40, 5335–5352. [Google Scholar] [CrossRef]
- Jandaghian, A.; Jafari, A.; Rahmani, O. Vibrational response of functionally graded circular plate integrated with piezoelectric layers: An exact solution. Eng. Solid Mech. 2014, 2, 119–130. [Google Scholar] [CrossRef]
- Tiersten, H.F. Linear Piezoelectric Plate Vibrations: Elements of the Linear Theory of Piezoelectricity and the Vibrations Piezoelectric Plates, 1st ed.; Springer: New York, NY, USA, 2013. [Google Scholar]
- Wu, C.P.; Chiu, K.H.; Wang, Y.M. A review on the three-dimensional analytical approaches of multilayered and functionally graded piezoelectric plates and shells. Comput. Mater. Contin. 2008, 8, 93–132. [Google Scholar]
- Sharma, P. Vibration Analysis of Functionally Graded Piezoelectric Actuators; Springer: Singapore, 2019; Available online: https://link.springer.com/book/10.1007/978-981-13-3717-8 (accessed on 1 November 2024).
- Khalfi, H.; Naciri, I.; Raghib, R.; Randrianarivelo, J.; Yu, J.; Ratolojanahary, F.E.; Elmaimouni, L. Axisymmetric free vibration modeling of a functionally graded piezoelectric resonator by a double Legendre polynomial method. Acta Mech. 2024, 235, 615–631. [Google Scholar] [CrossRef]
- Li, Y.S.; Pan, E. Static bending and free vibration of a functionally graded piezoelectric microplate based on the modified couple-stress theory. Int. J. Eng. Sci. 2015, 97, 40–59. [Google Scholar] [CrossRef]
- Shahdadi, A.; Rahnama, H. Free vibration of a functionally graded annular sector plate integrated with piezoelectric layers. Appl. Math. Model. 2020, 79, 341–361. [Google Scholar] [CrossRef]
- Li, J.; Xue, Y.; Li, F.; Narita, Y. Active vibration control of functionally graded piezoelectric material plate. Compos. Struct. 2019, 207, 509–518. [Google Scholar] [CrossRef]
- Zhong, Z.; Yu, T. Vibration of a simply supported functionally graded piezoelectric rectangular plate. Smart Mater. Struct. 2006, 15, 1404. [Google Scholar] [CrossRef]
- Ding, H.J.; Xu, R.Q.; Chi, Y.W.; Chen, W.Q. Free axisymmetric vibration of transversely isotropic piezoelectric circular plates. Int. J. Solids Struct. 1999, 36, 4629–4652. [Google Scholar] [CrossRef]
- Xu, R. Three-dimensional exact solutions for the free vibration of laminated transversely isotropic circular, annular and sectorial plates with unusual boundary conditions. Arch. Appl. Mech. 2008, 78, 543–558. [Google Scholar] [CrossRef]
- Wang, Y.; Xu, R.Q.; Ding, H.J. Free axisymmetric vibration of FGM circular plates. Appl. Math. Mech. 2009, 30, 1077–1082. [Google Scholar] [CrossRef]
- Eringen, A.C.; Maugin, G.A. Electrodynamics of Continua I: Foundations and Solid Media, 1st ed.; Springer Science & Business Media: New York, NY, USA, 1990. [Google Scholar]
- Maugin, G.A.; Eringen, A.C. Continuum Mechanics of Electromagnetic Solids; Elsvier: Amsterdam, The Netherlands, 1988. [Google Scholar]
- Landau, L.D.; Pitaevskii, L.P.; Lifshitz, E.M. Electrodynamics of Continuous Media, 2nd ed.; Butterworth-Heinemann: Oxford, UK, 1984. [Google Scholar]
- Li, Y.; Gao, Y. Three-dimensional axisymmetric analysis of annular one-dimensional hexagonal piezoelectric quasicrystal actuator/sensor with different configurations. Crystals 2024, 14, 964. [Google Scholar] [CrossRef]
- Jiang, Q.; Gao, C. On the general expressions of finite Hankel transform. Sci. China Phys. Mech. Astron. 2010, 53, 2125–2130. [Google Scholar] [CrossRef]
- Ding, H.J.; Xu, R.Q.; Guo, F.L. Exact axisymmetric solutions for laminated transversely isotropic piezoelectric circular plate (I)—Exact solutions for piezoelectric circular plate. Sci. China 1999, 42, 388–395. [Google Scholar] [CrossRef]
- Roshanbakhsh, M.; Tavakkoli, S.; Neya, B.N. Free vibration of functionally graded thick circular plates: An exact and three-dimensional solution. Int. J. Mech. Sci. 2020, 188, 105967. [Google Scholar] [CrossRef]


| Boundary Conditions | Source of Results | s = 0.1 | s = 0.2 | s = 0.3 | s = 0.4 | s = 0.5 |
|---|---|---|---|---|---|---|
| Elastic simple support | Ding et al. [23] | 0.0154 | 0.0600 | 0.1297 | 0.2195 | 0.3246 |
| Present results | 0.0154 | 0.0600 | 0.1297 | 0.2195 | 0.3246 | |
| Rigid slipping support | Ding et al. [23] | 0.0385 | 0.1451 | 0.3003 | 0.4865 | 0.6913 |
| Present results | 0.0386 | 0.1451 | 0.3004 | 0.4865 | 0.6913 |
| Boundary Conditions | Source of Results | η = 0 | η = 1 | η = 2 | η = 10 | η = 100 |
|---|---|---|---|---|---|---|
| Elastic simple support | Wang et al. [25] | 0.2700 | 0.2645 | 0.2495 | — | — |
| Roshanbakhsh et al. [32] | 0.2691 | 0.2635 | 0.2485 | 0.1066 | 0.0116 | |
| Present results | 0.2700 | 0.2645 | 0.2495 | 0.1099 | 0.0117 | |
| Rigid slipping support | Wang et al. [25] | 0.5574 | 0.5470 | 0.5193 | — | — |
| Roshanbakhsh et al. [32] | 0.5563 | 0.5459 | 0.5182 | 0.2581 | 0.0296 | |
| Present results | 0.5574 | 0.5470 | 0.5193 | 0.2586 | 0.0296 |
| s = h/a | η = 0 | η = 1 | η = 2 | η = 5 | η = 10 |
|---|---|---|---|---|---|
| 0.1 | 0.0154 | 0.0150 | 0.0140 | 0.0097 | 0.0054 |
| 0.2 | 0.0600 | 0.0585 | 0.0546 | 0.0381 | 0.0212 |
| 0.3 | 0.1297 | 0.1265 | 0.1180 | 0.0829 | 0.0470 |
| 0.4 | 0.2195 | 0.2141 | 0.1996 | 0.1414 | 0.0820 |
| 0.5 | 0.3246 | 0.3164 | 0.2950 | 0.2108 | 0.1251 |
| s = h/a | η = 0 | η = 1 | η = 2 | η = 5 | η = 10 |
|---|---|---|---|---|---|
| 0.1 | 0.0386 | 0.0376 | 0.0351 | 0.0244 | 0.0135 |
| 0.2 | 0.1451 | 0.1415 | 0.1320 | 0.0929 | 0.0529 |
| 0.3 | 0.3004 | 0.2928 | 0.2730 | 0.1947 | 0.1150 |
| 0.4 | 0.4865 | 0.4741 | 0.4419 | 0.3197 | 0.1961 |
| 0.5 | 0.6913 | 0.6732 | 0.6273 | 0.4604 | 0.2927 |
Disclaimer/Publisher’s Note: The statements, opinions and data contained in all publications are solely those of the individual author(s) and contributor(s) and not of MDPI and/or the editor(s). MDPI and/or the editor(s) disclaim responsibility for any injury to people or property resulting from any ideas, methods, instructions or products referred to in the content. |
© 2024 by the authors. Licensee MDPI, Basel, Switzerland. This article is an open access article distributed under the terms and conditions of the Creative Commons Attribution (CC BY) license (https://creativecommons.org/licenses/by/4.0/).
Share and Cite
Li, Y.; Gao, Y. Axisymmetric Free Vibration of Functionally Graded Piezoelectric Circular Plates. Crystals 2024, 14, 1103. https://doi.org/10.3390/cryst14121103
Li Y, Gao Y. Axisymmetric Free Vibration of Functionally Graded Piezoelectric Circular Plates. Crystals. 2024; 14(12):1103. https://doi.org/10.3390/cryst14121103
Chicago/Turabian StyleLi, Yang, and Yang Gao. 2024. "Axisymmetric Free Vibration of Functionally Graded Piezoelectric Circular Plates" Crystals 14, no. 12: 1103. https://doi.org/10.3390/cryst14121103
APA StyleLi, Y., & Gao, Y. (2024). Axisymmetric Free Vibration of Functionally Graded Piezoelectric Circular Plates. Crystals, 14(12), 1103. https://doi.org/10.3390/cryst14121103

