Impact of Hydrogen Plasma on Electrical Properties and Deep Trap Spectra in Ga2O3 Polymorphs
Abstract
:1. Introduction
1.1. Role of Hydrogen
1.2. Complexing with Defects
1.3. Carrier Compensation by Defect Complexes
1.4. Study of Hydrogen Plasma Effects
1.5. Implications of Hydrogenation Effects in β-Ga2O3
1.6. Hydrogen in Other Polymorphs
2. Materials and Methods
2.1. Samples Used
2.1.1. β-Ga2O3 Samples
2.1.2. α-Ga2O3 Samples
2.1.3. κ-Ga2O3 Samples
2.1.4. γ-Ga2O3 Samples
2.2. Schottky Diode and Ohmic Contact Preparation
2.3. Structural Characterization
2.4. Characterization of Electrical Properties, Deep Trap Spectra, Microcathodoluminescence and Electron-Beam-Induced Current Imaging
2.5. Hydrogen Plasma Treatment
3. Results and Discussion
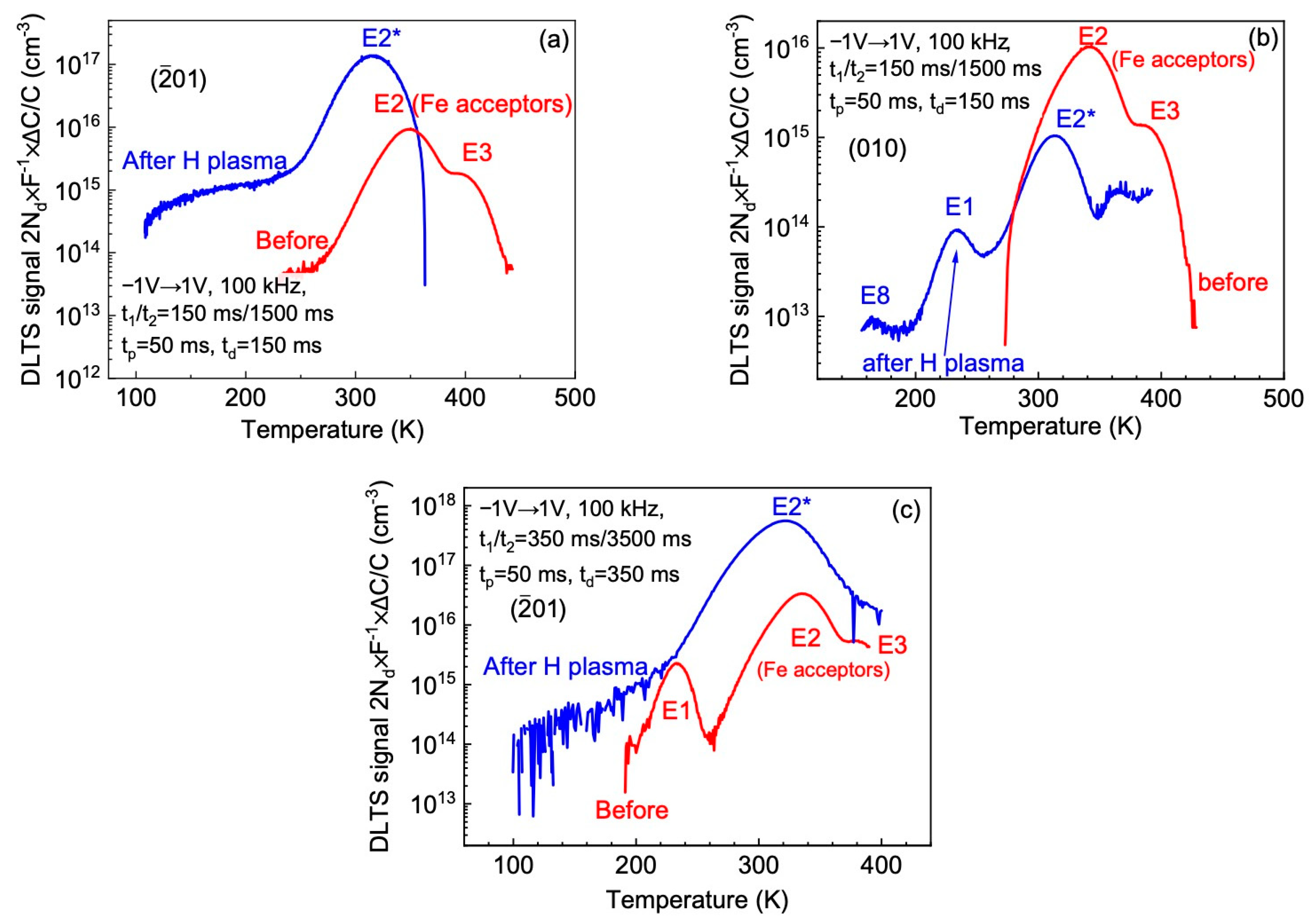
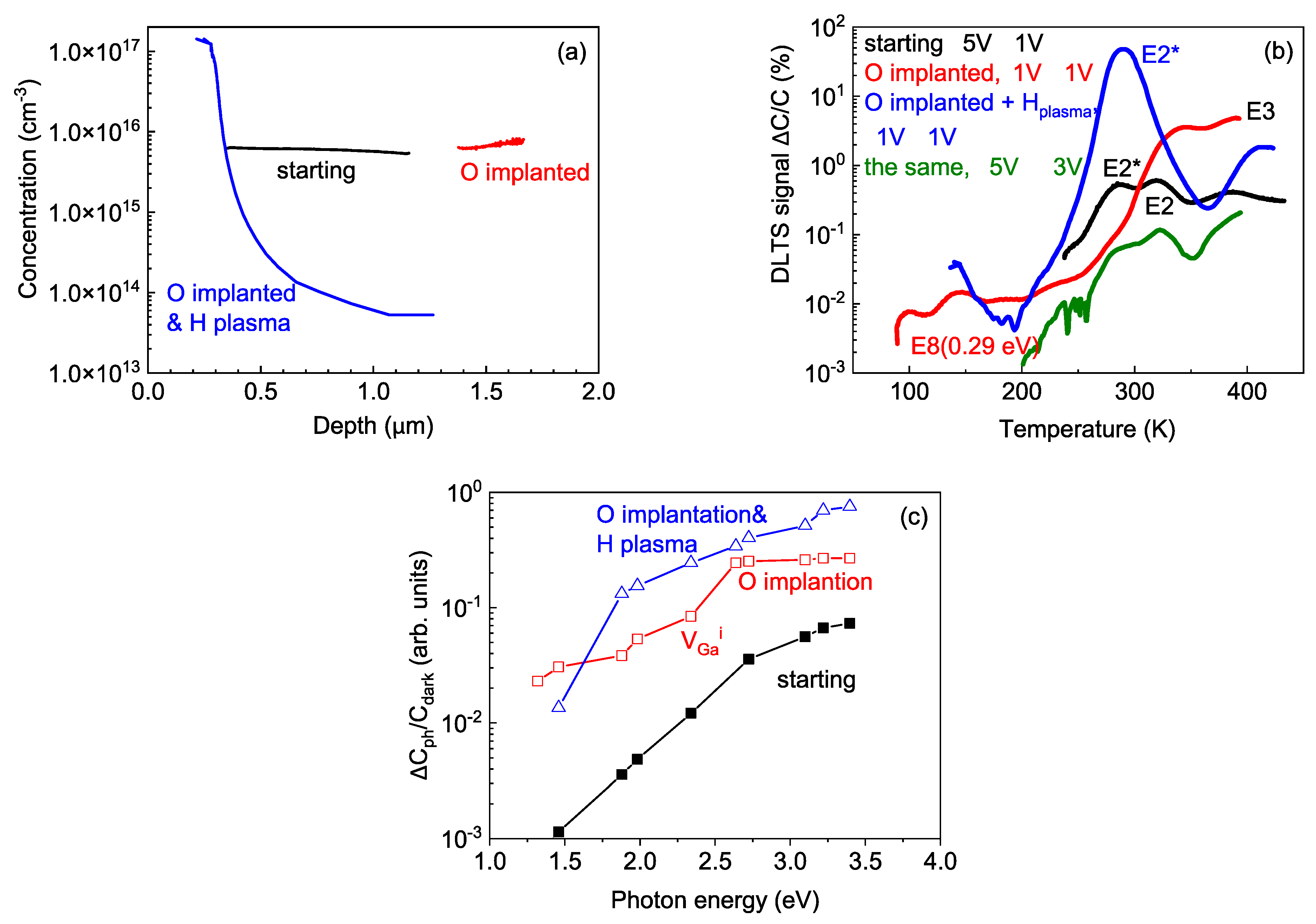
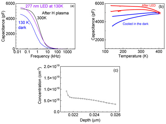
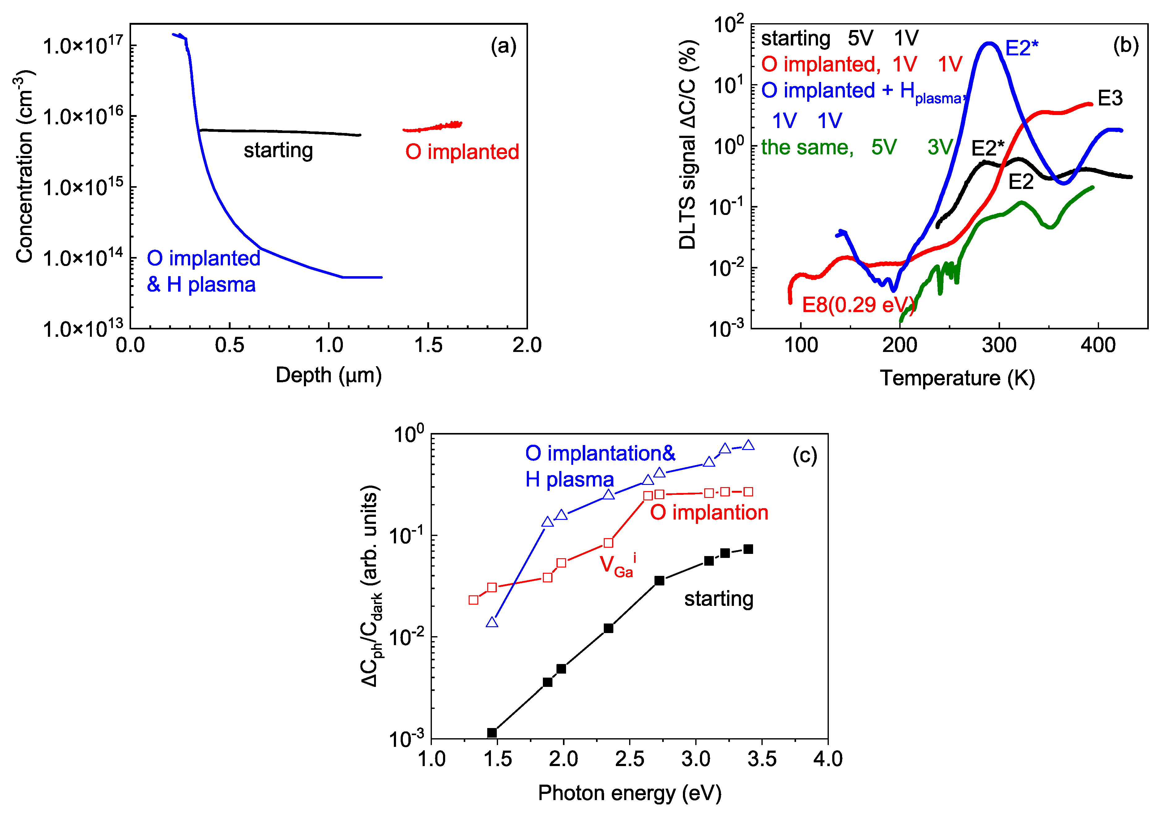
3.1. Recent Experiments with Hydrogen Plasma Treatment of β-Ga2O3
3.2. α-Ga2O3
3.3. κ-Ga2O3
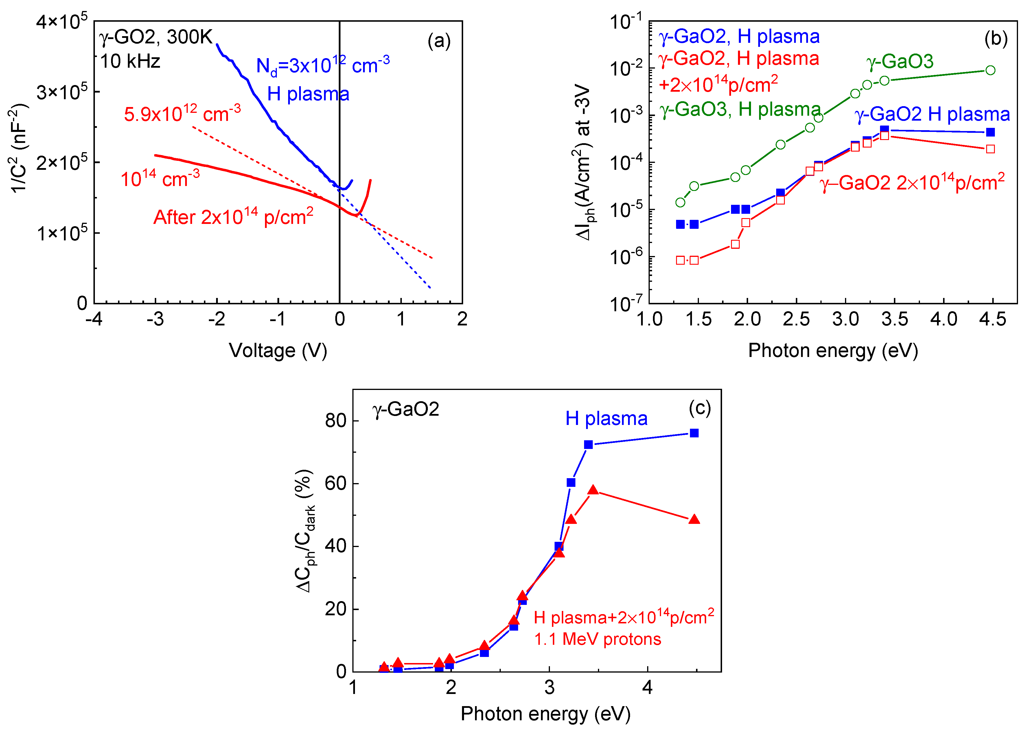
3.4. γ-Ga2O3
4. Conclusions
- In all four Ga2O3 polymorphs treated in dense hydrogen plasma, such treatment has a strong effect on the density of centers supplying electrons and on the density of deep electron and hole traps.
- The similarity of effects in β-, α-, κ- and γ-polymorphs, such as the introduction of a high density of centers supplying electrons, the prominent persistent photoconductivity and photocapacitance, and the similarity of concentrations of such defects introduced by the same kind of hydrogen plasma, limit the range of defects that could be feasible candidates. Such candidates could be hydrogen species, e.g., interstitial hydrogen donors or hydrogen complexes with omnipresent structural defects, likely Ga vacancies, either simple vacancies or split vacancies that are expected to be predominant in all polymorphs.
- The most likely explanation of the observed phenomena seems to be the formation of donor-like complexes of interstitial hydrogen interaction with relaxed or split VGa, with 4Hi and acceptor-like complexes including (2–3) H ions with vacancies.
- The end result depends on the relative number of VGa and Hi determining the relative concentration of VGa−4H complexes (donors) and VGa−2H complexes (acceptors). This is a function of the number and type of defects created by either H plasma or by irradiation of high-energy ions; at least for β-Ga2O3, crystal orientation plays an important role, with the (010) orientation being conducive to deeper H penetration.
- H is effective in “passivating” acceptor centers (Fe, Mg, N and VGa), influencing compensation and recombination.
- H plasma treatment could prove to be useful in the preparation of contact n+ layers in metastable polymorphs not amenable to standard Si implantation and high-temperature annealing commonly requiring annealing temperatures not compatible with the preservation of the metastable polymorph intact.
- All the work desribed here shows that hydrogen has a major influence on the electrical properties of all the polymorphs of Ga2O3 and that attention must be paid to its incorporation during growth and processing steps.
Author Contributions
Funding
Data Availability Statement
Acknowledgments
Conflicts of Interest
References
- Pearton, S.J.; Ren, F.; Tadjer, M.; Kim, J. Perspective: Ga2O3 for Ultra-High Power Rectifiers and MOSFETS. J. Appl. Physics. Am. Inst. Phys. Inc. 2018, 124, 220901. Available online: https://pubs.aip.org/aip/jap/article/124/22/220901/155633/Perspective-Ga2O3-for-ultra-high-power-rectifiers (accessed on 1 September 2023). [CrossRef]
- Higashiwaki, M.; Fujita, S. Springer Series in Materials Science 293 Gallium Oxide Materials Properties, Crystal Growth, and Devices; Springer: Berlin/Heidelberg, Germany, 2020; Available online: https://link.springer.com/book/10.1007/978-3-030-37153-1 (accessed on 1 September 2023).
- Xu, J.; Zheng, W.; Huang, F. Gallium Oxide Solar-Blind Ultraviolet Photodetectors: A Review. J. Mater. Chem. C R. Soc. Chem. 2019, 7, 8753–8770. Available online: https://pubs.rsc.org/en/content/articlelanding/2019/tc/c9tc02055a (accessed on 1 September 2023). [CrossRef]
- Speck, J.S.; Farzana, E. Ultrawide Bandgap β-Ga2O3 Semiconductor Theory and Applications; AIP Publishing LLC: New York, NY, USA, 2023. [Google Scholar] [CrossRef]
- Kaneko, K.; Fujita, S.; Hitora, T. A power device material of corundum-structured α-Ga2O3 fabricated by MIST EPITAXY® technique. Jpn. J. Appl. Phys. Jpn. Soc. Appl. Phys. 2018, 57, 02CB18. [Google Scholar] [CrossRef]
- Ahmadi, E.; Oshima, Y. Materials issues and devices of α- and β-Ga2O3. J. Appl. Phys. Am. Inst. Phys. Inc. 2019, 126, 160901. [Google Scholar] [CrossRef]
- Bae, J.; Park, J.-H.; Jeon, D.-W.; Kim, J. Self-Powered Solar-Blind α-Ga2O3 Thin-Film UV-C Photodiode Grown by Halide Vapor-Phase Epitaxy. APL Mater. Am. Inst. Phys. Inc. 2021, 9, 101108. Available online: https://pubs.aip.org/aip/apm/article/9/10/101108/123072/Self-powered-solar-blind-Ga2O3-thin-film-UV-C (accessed on 1 September 2023). [CrossRef]
- Kaneko, K.; Masuda, Y.; Kan, S.; Takahashi, I.; Kato, Y.; Shinohe, T.; Fujita, S. Ultra-Wide Bandgap Corundum-Structured p-Type α-(Ir,Ga)2O3 Alloys for α-Ga2O3 Electronics. Appl. Phys. Lett. Am. Inst. Phys. Inc. 2021, 118, 102104. Available online: https://pubs.aip.org/aip/apl/article-abstract/118/10/102104/1058736/Ultra-wide-bandgap-corundum-structured-p-type-Ir?redirectedFrom=fulltext (accessed on 1 September 2023). [CrossRef]
- Peelaers, H.; Lyons, J.L.; Varley, J.B.; Van de Walle, C.G. Deep acceptors and their diffusion in Ga2O3. APL Mater. Am. Inst. Phys. Inc. 2019, 7, 022519. [Google Scholar] [CrossRef]
- Oshima, Y.; Ando, H.; Shinohe, T. Reduction of Dislocation Density in α-Ga2O3 Epilayers via Rapid Growth at Low Temperatures by Halide Vapor Phase Epitaxy. Appl. Phys. Express 2023, 16, 065501. Available online: https://iopscience.iop.org/article/10.35848/1882-0786/acddca (accessed on 1 September 2023). [CrossRef]
- McCandless, J.P.; Chang, C.S.; Nomoto, K.; Casamento, J.; Protasenko, V.; Vogt, P.; Rowe, D.; Gann, K.; Ho, S.T.; Li, W.; et al. Thermal Stability of Epitaxial α-Ga2O3 and (Al,Ga)2O3layers on m-Plane Sapphire. Appl. Phys. Lett. Am. Inst. Phys. Inc. 2021, 119, 062102. Available online: https://pubs.aip.org/aip/apl/article/119/6/062102/41883/Thermal-stability-of-epitaxial-Ga2O3-and-Al-Ga-2O3 (accessed on 1 September 2023). [CrossRef]
- Mezzadri, F.; Calestani, G.; Boschi, F.; Delmonte, D.; Bosi, M.; Fornari, R. Crystal Structure and Ferroelectric Properties of ε-Ga2O3 Films Grown on (0001)-Sapphire. Inorg. Chem. 2016, 55, 12079–12084. Available online: https://pubs.acs.org/doi/10.1021/acs.inorgchem.6b02244 (accessed on 1 September 2023). [CrossRef]
- Parisini, A.; Bosio, A.; Montedoro, V.; Gorreri, A.; Lamperti, A.; Bosi, M.; Garulli, G.; Vantaggio, S.; Fornari, R. Si and Sn Doping of ε-Ga2O3 Layers. APL Mater. 2019, 7, 031114. Available online: https://pubs.aip.org/aip/apm/article/7/3/031114/1024354/Si-and-Sn-doping-of-Ga2O3-layers (accessed on 1 September 2023). [CrossRef]
- Von Wenckstern, H. Group-III Sesquioxides: Growth, Physical Properties and Devices. Adv. Electron. Mater. 2017, 3, 1600350. Available online: https://onlinelibrary.wiley.com/doi/abs/10.1002/aelm.201600350 (accessed on 1 September 2023). [CrossRef]
- Wang, J.; Guo, H.; Zhu, C.-Z.; Cai, Q.; Yang, G.-F.; Xue, J.-J.; Chen, D.-J.; Tong, Y.; Liu, B.; Lu, H.; et al. ε-Ga2O3: A Promising Candidate for High-Electron-Mobility Transistors. IEEE Electron. Device Lett. 2020, 41, 1052–1055. Available online: https://ieeexplore.ieee.org/document/9095303 (accessed on 1 September 2023). [CrossRef]
- Cho, S.B.; Mishra, R. Epitaxial Engineering of Polar ε-Ga2O3 for Tunable Two-Dimensional Electron Gas at the Heterointerface. Appl. Phys. Lett. 2018, 112, 162101. Available online: https://pubs.aip.org/aip/apl/article/112/16/162101/35526/Epitaxial-engineering-of-polar-Ga2O3-for-tunable (accessed on 1 September 2023). [CrossRef]
- Polyakov, A.Y.; Nikolaev, V.I.; Pechnikov, A.I.; Yakimov, E.B.; Karpov, S.Y.; Stepanov, S.I.; Shchemerov, I.V.; Vasilev, A.A.; Chernykh, A.V.; Kuznetsov, A.; et al. Two-Dimensional Hole Gas Formation at the κ-Ga2O3/AlN Heterojunction Interface. J. Alloys Compd. 2023, 936, 168315. Available online: https://www.sciencedirect.com/science/article/abs/pii/S0925838822047065 (accessed on 1 September 2023). [CrossRef]
- Chen, Z.; Lu, X.; Tu, Y.; Chen, W.; Zhang, Z.; Cheng, S.; Chen, S.; Luo, H.; He, Z.; Pei, Y.; et al. ε-Ga2O3: An Emerging Wide Bandgap Piezoelectric Semiconductor for Application in Radio Frequency Resonators. Adv. Sci. 2022, 9, 2203927. Available online: https://onlinelibrary.wiley.com/doi/full/10.1002/advs.202203927 (accessed on 1 September 2023). [CrossRef] [PubMed]
- Mu, S.; Van de Walle, C.G. Phase Stability of (AlxGa1−x)2O3 Polymorphs: A First-Principles Study. Phys. Rev. Mater. 2022, 6, 104601. Available online: https://journals.aps.org/prmaterials/abstract/10.1103/PhysRevMaterials.6.104601 (accessed on 1 September 2023). [CrossRef]
- Cora, I.; Fogarassy, Z.; Fornari, R.; Bosi, M.; Recnik, A.; Pécz, B. In Situ TEM Study of κ→β and κ→γ Phase Transformations in Ga2O3. Acta Mater. 2020, 183, 216–227. Available online: https://www.sciencedirect.com/science/article/abs/pii/S1359645419307505 (accessed on 1 September 2023). [CrossRef]
- García-Fernández, J.; Kjeldby, S.B.; Nguyen, P.D.; Karlsen, O.B.; Vines, L.; Prytz, Ø. Formation of γ-Ga2O3 by ion Implantation: Polymorphic Phase Transformation of β-Ga2O3. Appl. Phys. Lett. 2022, 121, 191601. Available online: https://pubs.aip.org/aip/apl/article-abstract/121/19/191601/2834492/Formation-of-Ga2O3-by-ion-implantation-Polymorphic?redirectedFrom=fulltext (accessed on 1 September 2023). [CrossRef]
- Azarov, A.; Bazioti, C.; Venkatachalapathy, V.; Vajeeston, P.; Monakhov, E.; Kuznetsov, A. Disorder-Induced Ordering in Gallium Oxide Polymorphs. Phys. Rev. Lett. 2022, 128, 015704. Available online: https://journals.aps.org/prl/abstract/10.1103/PhysRevLett.128.015704 (accessed on 1 September 2023). [CrossRef]
- Anber, E.A.; Foley, D.; Lang, A.C.; Nathaniel, J.; Hart, J.L.; Tadjer, M.J.; Hobart, K.D.; Pearton, S.; Taheri, M.L. Structural Transition and Recovery of Ge Implanted β-Ga2O3. Appl. Phys. Lett. 2020, 117, 152101. Available online: https://pubs.aip.org/aip/apl/article/117/15/152101/1061356/Structural-transition-and-recovery-of-Ge-implanted (accessed on 1 September 2023). [CrossRef]
- Huang, H.-L.; Chae, C.; Johnson, J.M.; Senckowski, A.; Sharma, S.; Singisetti, U.; Wong, M.H.; Hwang, J. Atomic Scale Defect Formation and Phase Transformation in Si Implanted β-Ga2O3. APL Mater. 2023, 11, 061113. Available online: https://pubs.aip.org/aip/apm/article/11/6/061113/2894427/Atomic-scale-defect-formation-and-phase (accessed on 1 September 2023). [CrossRef]
- Azarov, A.; García Fernández, J.; Zhao, J.; Djurabekova, F.; He, H.; He, R.; Prytz, Ø.; Vines, L.; Bektas, U.; Chekhonin, P.; et al. Universal Radiation Tolerant Semiconductor. Nat. Commun. 2023, 14, 4855. Available online: https://www.nature.com/articles/s41467-023-40588-0 (accessed on 1 September 2023). [CrossRef]
- Varley, J.B.; Weber, J.R.; Janotti, A.; van de Walle, C.G. Oxygen Vacancies and Donor Impurities in β-Ga2O3. Appl. Phys. Lett. 2010, 97, 142106. Available online: https://pubs.aip.org/aip/apl/article-abstract/97/14/142106/1023190/Oxygen-vacancies-and-donor-impurities-in-Ga2O3?redirectedFrom=fulltext (accessed on 1 September 2023). [CrossRef]
- Varley, J.B.; Peelaers, H.; Janotti, A.; van de Walle, C.G. Hydrogenated Cation Vacancies in Semiconducting Oxides. J. Phys. Condens. Matter 2011, 23, 334212. Available online: https://iopscience.iop.org/article/10.1088/0953-8984/23/33/334212/meta (accessed on 1 September 2023). [CrossRef] [PubMed]
- Langørgen, A.; Zimmermann, C.; Kalmann Frodason, Y.; Førdestrøm Verhoeven, E.; Weiser, P.M.; Karsthof, R.M.; Varley, J.B.; Vines, L. Influence of Heat Treatments in H2 and Ar on the E1 center in β-Ga2O3. J. Appl. Phys. 2022, 131, 115702. Available online: https://pubs.aip.org/aip/jap/article/131/11/115702/2836786/Influence-of-heat-treatments-in-H2-and-Ar-on-the (accessed on 1 September 2023). [CrossRef]
- Swallow, J.E.N.; Varley, J.B.; Jones, L.A.H.; Gibbon, J.T.; Piper, L.F.J.; Dhanak, V.R.; Veal, T.D. Transition from Electron Accumulation to Depletion at β-Ga2O3 Surfaces: The Role of Hydrogen and the Charge Neutrality Level. APL Mater. 2019, 7, 022528. Available online: https://pubs.aip.org/aip/apm/article/7/2/022528/1064149/Transition-from-electron-accumulation-to-depletion (accessed on 1 September 2023). [CrossRef]
- Ingebrigtsen, M.E.; Kuznetsov, A.Y.; Svensson, B.G.; Alfieri, G.; Mihaila, A.; Badstubner, U.; Perron, A.; Vines, L.; Varley, J.B. Impact of Proton Irradiation on Conductivity and Deep Level Defects in β-Ga2O3. APL Mater. 2019, 7, 022510. Available online: https://pubs.aip.org/aip/apm/article/7/2/022510/1064089/Impact-of-proton-irradiation-on-conductivity-and (accessed on 1 September 2023). [CrossRef]
- Deák, P.; Ho, Q.D.; Seemann, F.; Aradi, B.; Lorke, M.; Frauenheim, T. Choosing the Correct Hybrid for Defect Calculations: A case Study on Intrinsic Carrier Trapping in β−Ga2O3. Phys. Rev. B 2017, 95, 075208. Available online: https://journals.aps.org/prb/abstract/10.1103/PhysRevB.95.075208 (accessed on 1 September 2023). [CrossRef]
- Islam, M.M.; Liedke, M.O.; Winarski, D.; Butterling, M.; Wagner, A.; Hosemann, P.; Wang, Y.; Uberuaga, B.; Selim, F.A. Chemical Manipulation of Hydrogen Induced High p-Type and N-Type Conductivity in Ga2O3. Sci. Rep. 2020, 10, 6134. Available online: https://www.nature.com/articles/s41598-020-62948-2 (accessed on 1 September 2023). [CrossRef]
- Karjalainen, A.; Prozheeva, V.; Simula, K.; Makkonen, I.; Callewaert, V.; Varley, J.B.; Tuomisto, F. Split Ga Vacancies and the Unusually Strong Anisotropy of Positron Annihilation Spectra in β−Ga2O3. Phys. Rev. B 2020, 102, 195207. Available online: https://journals.aps.org/prb/abstract/10.1103/PhysRevB.102.195207 (accessed on 1 September 2023). [CrossRef]
- Portoff, A.; Venzie, A.; Stavola, M.; Fowler, W.B.; Glaser, E.; Pearton, S.J. Classes of O–D Centers in Unintentionally and Fe-doped β-Ga2O3 Annealed in a D2 Ambient. J. Appl. Phys. 2023, 134, 045701. Available online: https://pubs.aip.org/aip/jap/article-abstract/134/4/045701/2904193/Classes-of-O-D-centers-in-unintentionally-and-Fe?redirectedFrom=fulltext (accessed on 1 September 2023). [CrossRef]
- Huang, H.-L.; Chae, C.; Hwang, J. Perspective on Atomic Scale Investigation of Point and Extended Defects in Gallium Oxide. J. Appl. Phys. 2022, 131, 190901. Available online: https://pubs.aip.org/aip/jap/article/131/19/190901/2836854/Perspective-on-atomic-scale-investigation-of-point (accessed on 1 September 2023). [CrossRef]
- Zhang, Z.; Farzana, E.; Arehart, A.R.; Ringel, S.A. Deep Level Defects Throughout the Bandgap of (010) β-Ga2O3 Detected by Optically and Thermally Stimulated Defect Spectroscopy. Appl. Phys. Lett. 2016, 108, 052105. Available online: https://pubs.aip.org/aip/apl/article/108/5/052105/1022811/Deep-level-defects-throughout-the-bandgap-of-010 (accessed on 1 September 2023). [CrossRef]
- Polyakov, A.Y.; Nikolaev, V.I.; Yakimov, E.B.; Ren, F.; Pearton, S.J.; Kim, J. Deep Level Defect States in β-, α-, and ε-Ga2O3 Crystals and Films: Impact on Device Performance. J. Vac. Sci. Technol. A 2022, 40, 020804. Available online: https://pubs.aip.org/avs/jva/article/40/2/020804/2843491/Deep-level-defect-states-in-and-Ga2O3-crystals-and (accessed on 1 September 2023). [CrossRef]
- Karjalainen, A.; Weiser, P.M.; Makkonen, I.; Reinertsen, V.M.; Vines, L.; Tuomisto, F. Interplay of Vacancies, Hydrogen, and Electrical Compensation in Irradiated and Annealed n-β-Ga2O3. J. Appl. Phys. 2021, 129, 165702. Available online: https://pubs.aip.org/aip/jap/article-abstract/129/16/165702/157758/Interplay-of-vacancies-hydrogen-and-electrical?redirectedFrom=fulltext (accessed on 1 September 2023). [CrossRef]
- Sharma, R.; Patrick, E.; Law, M.E.; Ahn, S.; Ren, F.; Pearton, S.J.; Kuramata, A. Extraction of Migration Energies and Role of Implant Damage on Thermal Stability of Deuterium in Ga2O3. ECS J. Solid. State Sci. Technol. 2017, 6, P794–P797. Available online: https://iopscience.iop.org/article/10.1149/2.0201712jss (accessed on 1 September 2023). [CrossRef]
- Fowler, W.B.; Stavola, M.; Qin, Y.; Weiser, P. Trapping of Multiple H Atoms at the Ga(1) Vacancy in β-Ga2O3. Appl. Phys. Lett. 2020, 117, 142101. Available online: https://pubs.aip.org/aip/apl/article/117/14/142101/1056584/Trapping-of-multiple-H-atoms-at-the-Ga-1-vacancy (accessed on 1 September 2023). [CrossRef]
- Portoff, A.; Venzie, A.; Qin, Y.; Stavola, M.; Fowler, W.B.; Pearton, S.J. Vibrational Properties of Oxygen-Hydrogen Centers in H+- and D+-Implanted Ga2O3. ECS J. Solid. State Sci. Technol. 2020, 9, 125006. Available online: https://iopscience.iop.org/article/10.1149/2162-8777/abd458 (accessed on 1 September 2023). [CrossRef]
- Venzie, A.; Portoff, A.; Perez Valenzuela, E.C.; Stavola, M.; Fowler, W.B.; Pearton, S.J.; Glaser, E.R. Impurity-Hydrogen Complexes in β-Ga2O3: Hydrogenation of Shallow Donors vs Deep Acceptors. J. Appl. Phys. 2022, 131, 035706. Available online: https://pubs.aip.org/aip/jap/article/131/3/035706/2836457/Impurity-hydrogen-complexes-in-Ga2O3-Hydrogenation (accessed on 1 September 2023). [CrossRef]
- Weiser, P.; Stavola, M.; Fowler, W.B.; Qin, Y.; Pearton, S. Structure and Vibrational Properties of the Dominant O-H Center in β-Ga2O3. Appl. Phys. Lett. 2018, 112, 232104. Available online: https://pubs.aip.org/aip/apl/article/112/23/232104/279988/Structure-and-vibrational-properties-of-the (accessed on 1 September 2023). [CrossRef]
- Nickel, N.H. Hydrogen Incorporation in Semiconductors. In Physica Status Solidi (b); John Wiley & Sons: Hoboken, NJ, USA, 2023; Available online: https://onlinelibrary.wiley.com/doi/pdf/10.1002/pssb.202300309 (accessed on 1 September 2023).
- Tuomisto, F. Ga Vacancies in β-Ga2O3: Split or not? Jpn. J. Appl. Phys. 2023, 62, SF0802. Available online: https://iopscience.iop.org/article/10.35848/1347-4065/acc7b1/meta (accessed on 1 September 2023). [CrossRef]
- Polyakov, A.Y.; Lee, I.-H.; Smirnov, N.B.; Shchemerov, I.V.; Vasilev, A.A.; Chernykh, A.V.; Pearton, S.J. Electric Field Dependence of Major Electron Trap Emission in Bulk β-Ga2O3: Poole–Frenkel Effect Versus Phonon-Assisted Tunneling. J. Phys. D Appl. Phys. 2020, 53, 304001. Available online: https://iopscience.iop.org/article/10.1088/1361-6463/ab87c1 (accessed on 1 September 2023). [CrossRef]
- Polyakov, A.Y.; Lee, I.-H.; Miakonkikh, A.; Chernykh, A.V.; Shchemerov, I.V.; Kochkova, A.I.; Vasilev, A.A.; Pearton, S.J. Anisotropy of Hydrogen Plasma Effects in Bulk n-type β-Ga2O3. J. Appl. Phys. 2020, 127, 175702. Available online: https://pubs.aip.org/aip/jap/article/127/17/175702/157157/Anisotropy-of-hydrogen-plasma-effects-in-bulk-n (accessed on 1 September 2023). [CrossRef]
- Polyakov, A.Y.; Lee, I.-H.; Smirnov, N.B.; Yakimov, E.B.; Shchemerov, I.V.; Chernykh, A.V.; Kochkova, A.I.; Vasilev, A.A.; Shiko, A.S.; Carey IV, P.H.; et al. Effects of Hydrogen Plasma Treatment Condition on Electrical Properties of β-Ga2O3. ECS J. Solid. State Sci. Technol. 2019, 8, P661–P666. Available online: https://iopscience.iop.org/article/10.1149/2.0041911jss (accessed on 1 September 2023). [CrossRef]
- Ahn, S.; Ren, F.; Patrick, E.; Law, M.E.; Pearton, S.J. Thermal Stability of Implanted or Plasma Exposed Deuterium in Single Crystal Ga2O3. ECS J. Solid. State Sci. Technol. 2017, 6, Q3026–Q3029. Available online: https://iopscience.iop.org/article/10.1149/2.0051702jss (accessed on 1 September 2023). [CrossRef]
- Reinertsen, V.M.; Weiser, P.M.; Frodason, Y.K.; Bathen, M.E.; Vines, L.; Johansen, K.M. Anisotropic and Trap-Limited Diffusion of Hydrogen/Deuterium in Monoclinic Gallium Oxide Single Crystals. Appl. Phys. Lett. 2020, 117, 232106. Available online: https://pubs.aip.org/aip/apl/article-abstract/117/23/232106/1022373/Anisotropic-and-trap-limited-diffusion-of-hydrogen?redirectedFrom=fulltext (accessed on 1 September 2023). [CrossRef]
- Pearton, S.J.; Corbett, J.W.; Stavola, M. Hydrogen in Crystalline Semiconductors; Springer: Berlin/Heidelberg, Germany, 1992; Volume 16, Available online: https://link.springer.com/article/10.1007/BF00615975 (accessed on 1 September 2023).
- Zimmermann, C.; Verhoeven, E.F.; Frodason, Y.K.; Weiser, P.M.; Varley, J.B.; Vines, L. Formation and Control of the E2∗ Center in Implanted β-Ga2O3 by Reverse-Bias and Zero-Bias Annealing. J. Phys. D Appl. Phys. 2020, 53, 464001. Available online: https://iopscience.iop.org/article/10.1088/1361-6463/aba64d (accessed on 1 September 2023). [CrossRef]
- Frodason, Y.K.; Zimmermann, C.; Verhoeven, E.F.; Weiser, P.M.; Vines, L.; Varley, J.V. Multistability of Isolated and Hydrogenated Ga–O Divacancies in β-Ga2O3. Phys. Rev. Mater. 2021, 5, 025402. Available online: https://journals.aps.org/prmaterials/abstract/10.1103/PhysRevMaterials.5.025402 (accessed on 1 September 2023). [CrossRef]
- Polyakov, A.Y.; Smirnov, N.B.; Shchemerov, I.V.; Pearton, S.J.; Ren, F.; Chernykh, A.V.; Lagov, P.B.; Kulevoy, T.V. Hole traps and persistent photocapacitance in proton irradiated β-Ga2O3 films doped with Si. APL Mater. 2018, 6, 096102. [Google Scholar] [CrossRef]
- Polyakov, A.Y.; Lee, I.-H.; Smirnov, N.B.; Yakimov, E.B.; Shchemerov, I.V.; Chernykh, A.V.; Kochkova, A.I.; Vasilev, A.A.; Ren, F.; Carey, P.H.; et al. Hydrogen Plasma Treatment of β-Ga2O3: Changes in Electrical Properties and Deep Trap Spectra. Appl. Phys. Lett. 2019, 115, 032101. Available online: https://pubs.aip.org/aip/apl/article/115/3/032101/37981/Hydrogen-plasma-treatment-of-Ga2O3-Changes-in (accessed on 1 September 2023). [CrossRef]
- Polyakov, A.Y.; Nikolaev, V.I.; Pechnikov, A.I.; Lagov, P.B.; Shchemerov, I.V.; Vasilev, A.A.; Chernykh, A.V.; Kochkova, A.I.; Guzilova, L.; Pavlov, Y.S.; et al. Carrier Removal Rates in 1.1 MeV Proton Irradiated α-Ga2O3 (Sn). J. Phys. D Appl. Phys. 2023, 56, 305103. Available online: https://iopscience.iop.org/article/10.1088/1361-6463/acd06b (accessed on 1 September 2023). [CrossRef]
- Polyakov, A.Y.; Nikolaev, V.I.; Stepanov, S.I.; Pechnikov, A.I.; Yakimov, E.B.; Smirnov, N.B.; Shchemerov, I.V.; Vasilev, A.A.; Kochkova, A.I.; Chernykh, A.V.; et al. Editors’ Choice—Electrical Properties and Deep Traps in α-Ga2O3:Sn Films Grown on Sapphire by Halide Vapor Phase Epitaxy. ECS J. Solid. State Sci. Technol. 2020, 9, 045003. Available online: https://iopscience.iop.org/article/10.1149/2162-8777/ab89bb (accessed on 1 September 2023). [CrossRef]
- Kobayashi, T.; Gake, T.; Kumagai, Y.; Oba, F.; Matsushita, Y. Energetics and Electronic Structure of Native Point Defects in α-Ga2O3. Appl. Phys. Express 2019, 12, 091001. Available online: https://iopscience.iop.org/article/10.7567/1882-0786/ab3763 (accessed on 1 September 2023). [CrossRef]
- Polyakov, A.; Nikolaev, V.; Stepanov, S.; Almaev, A.; Pechnikov, A.; Yakimov, E.; Kushnarev, B.O.; Shchemerov, I.; Scheglov, M.; Chernykh, A.; et al. Electrical Properties of α-Ga2O3 Films Grown by Halide Vapor Phase Epitaxy on Sapphire with α-Cr2O3 Buffers. J. Appl. Phys. 2022, 131, 215701. Available online: https://pubs.aip.org/aip/jap/article/131/21/215701/2837032/Electrical-properties-of-Ga2O3-films-grown-by (accessed on 1 September 2023). [CrossRef]
- Venzie, A.; Portoff, A.; Stavola, M.; Fowler, W.B.; Kim, J.; Jeon, D.-W.; Park, J.-H.; Pearton, S.J. H Trapping at the Metastable Cation Vacancy in α-Ga2O3 and α-Al2O3. Appl. Phys. Lett. 2022, 120, 192101. Available online: https://pubs.aip.org/aip/apl/article/120/19/192101/2833581/H-trapping-at-the-metastable-cation-vacancy-in (accessed on 1 September 2023). [CrossRef]
- Azarov, A.; Park, J.-H.; Jeon, D.-W.; Kuznetsov, A. High mobility of intrinsic defects in α-Ga2O3. Appl. Phys. Lett. 2023, 122, 182104. [Google Scholar] [CrossRef]
- Kneiß, M.; Splith, D.; Schlupp, P.; Hassa, A.; von Wenckstern, H.; Lorenz, M.; Grundmann, M. Realization of Highly Rectifying Schottky Barrier Diodes and pn Heterojunctions on κ-Ga2O3 by Overcoming the Conductivity Anisotropy. J. Appl. Phys. 2021, 130, 084502. Available online: https://pubs.aip.org/aip/jap/article/130/8/084502/568036/Realization-of-highly-rectifying-Schottky-barrier (accessed on 1 September 2023). [CrossRef]
- Polyakov, A.Y.; Nikolaev, V.I.; Pechnikov, A.I.; Stepanov, S.I.; Yakimov, E.B.; Scheglov, M.P.; Shchemerov, I.V.; Vasilev, A.A.; Kochkova, A.I.; Chernykh, A.V.; et al. Structural and Electrical Properties of Thick κ-Ga2O3 Grown on GaN/Sapphire Templates. APL Mater. 2022, 10, 061102. Available online: https://pubs.aip.org/aip/apm/article/10/6/061102/2835021/Structural-and-electrical-properties-of-thick (accessed on 1 September 2023). [CrossRef]
- Oshima, Y.; Kawara, K.; Oshima, T.; Shinohe, T. In-Plane Orientation Control of (001) κ-Ga2O3 by Epitaxial Lateral Overgrowth through a Geometrical Natural Selection Mechanism. Jpn. J. Appl. Phys. 2020, 59, 115501. Available online: https://iopscience.iop.org/article/10.35848/1347-4065/abbc57 (accessed on 1 September 2023). [CrossRef]
- Beall Fowler, W. Private communication; Academic Press: New York, NY, USA, 2023. [Google Scholar]
- Li, J.V.; Ferrari, G. Capacitance Spectroscopy of Semiconductors; Jenny Stanford Publishing: Dubai, United Arab Emirates, 2018. [Google Scholar]
- Polyakov, A.Y.; Vasilev, A.A.; Shchemerov, I.V.; Chernykh, A.V.; IShetinin, I.V.; Zhevnerov, E.V.; Kochkova, A.I.; Lagov, P.B.; Miakonkikh, A.V.; Pavlov, Y.S.; et al. Conducting Surface Layers Formed by Hydrogenation of O-Implanted β-Ga2O3. J. Alloys Compd. 2023, 945, 169258. Available online: https://papers.ssrn.com/sol3/papers.cfm?abstract_id=4336746 (accessed on 1 September 2023). [CrossRef]
- Nikolaev, V.I.; Polyakov, A.Y.; Stepanov, S.I.; Pechnikov, A.I.; Yakimov, E.B.; Chernykh, A.V.; Vasilev, A.A.; Shchemerov, I.V.; Kochkova, A.I.; Guzilova, L.; et al. Electrical and Structural Properties of Two-Inch Diameter (0001) α-Ga2O3 Films Doped with Sn and Grown by Halide Epitaxy. ECS J. Solid State Sci. Technol. 2022, 11, 115002. Available online: https://iopscience.iop.org/article/10.1149/2162-8777/ac9edb (accessed on 1 September 2023). [CrossRef]
- Polyakov, A.Y.; Kochkova, A.I.; Azarov, A.; Venkatachalapathy, V.; Miakonkikh, A.V.; Vasilev, A.A.; Chernykh, A.V.; Shchemerov, I.V.; Romanov, A.A.; Kuznetsov, A.; et al. Tuning Electrical Properties in Ga2O3 Polymorphs Induced with Ion Beams. J. Appl. Phys. 2023, 133, 095701. Available online: https://pubs.aip.org/aip/jap/article-abstract/133/9/095701/2879260/Tuning-electrical-properties-in-Ga2O3-polymorphs?redirectedFrom=fulltext (accessed on 1 September 2023). [CrossRef]
- Tapiero, M.; Benjelloun, N.; Zielinger, J.P.; El Hamd, S.; Noguet, C. Photoinduced Current Transient Spectroscopy in High-resistivity Bulk Materials: Instrumentation and Methodology. J. Appl. Phys. 1988, 64, 4006–4012. Available online: https://pubs.aip.org/aip/jap/article-abstract/64/8/4006/15474/Photoinduced-current-transient-spectroscopy-in?redirectedFrom=fulltext (accessed on 1 September 2023). [CrossRef]
- Schroder, D.K. Semiconductor Material and Device Characterization; John Wiley & Sons: Hoboken, NJ, USA, 2005. [Google Scholar]
- Polyakov, A.Y.; Shmidt, N.M.; Smirnov, N.B.; Shchemerov, I.V.; Shabunina, E.I.; Tal’nishnih, N.A.; Lee, I.-H.; Alexanyan, L.A.; Tarelkin, S.A.; Pearton, S.J. Deep Trap Analysis in Green Light Emitting Diodes: Problems and Solutions. J. Appl. Phys. 2019, 125, 215701. Available online: https://pubs.aip.org/aip/jap/article-abstract/125/21/215701/964545/Deep-trap-analysis-in-green-light-emitting-diodes?redirectedFrom=fulltext (accessed on 1 September 2023). [CrossRef]
- Yakimov, E.B. Study of Wide-Gap Semiconductors Using Electron-Beam Induced Current Method. Crystallogr. Rep. 2021, 66, 581–593. [Google Scholar] [CrossRef]
- Donolato, C. A Reciprocity Theorem for Charge Collection. Appl. Phys. Lett. 1985, 46, 270–272. Available online: https://pubs.aip.org/aip/apl/article-abstract/46/3/270/50054/A-reciprocity-theorem-for-charge-collection?redirectedFrom=fulltext (accessed on 1 September 2023). [CrossRef]










Disclaimer/Publisher’s Note: The statements, opinions and data contained in all publications are solely those of the individual author(s) and contributor(s) and not of MDPI and/or the editor(s). MDPI and/or the editor(s) disclaim responsibility for any injury to people or property resulting from any ideas, methods, instructions or products referred to in the content. |
© 2023 by the authors. Licensee MDPI, Basel, Switzerland. This article is an open access article distributed under the terms and conditions of the Creative Commons Attribution (CC BY) license (https://creativecommons.org/licenses/by/4.0/).
Share and Cite
Polyakov, A.Y.; Yakimov, E.B.; Nikolaev, V.I.; Pechnikov, A.I.; Miakonkikh, A.V.; Azarov, A.; Lee, I.-H.; Vasilev, A.A.; Kochkova, A.I.; Shchemerov, I.V.; et al. Impact of Hydrogen Plasma on Electrical Properties and Deep Trap Spectra in Ga2O3 Polymorphs. Crystals 2023, 13, 1400. https://doi.org/10.3390/cryst13091400
Polyakov AY, Yakimov EB, Nikolaev VI, Pechnikov AI, Miakonkikh AV, Azarov A, Lee I-H, Vasilev AA, Kochkova AI, Shchemerov IV, et al. Impact of Hydrogen Plasma on Electrical Properties and Deep Trap Spectra in Ga2O3 Polymorphs. Crystals. 2023; 13(9):1400. https://doi.org/10.3390/cryst13091400
Chicago/Turabian StylePolyakov, Alexander Y., Eugene B. Yakimov, Vladimir I. Nikolaev, Alexei I. Pechnikov, Andrej V. Miakonkikh, Alexander Azarov, In-Hwan Lee, Anton A. Vasilev, Anastasiia I. Kochkova, Ivan V. Shchemerov, and et al. 2023. "Impact of Hydrogen Plasma on Electrical Properties and Deep Trap Spectra in Ga2O3 Polymorphs" Crystals 13, no. 9: 1400. https://doi.org/10.3390/cryst13091400
APA StylePolyakov, A. Y., Yakimov, E. B., Nikolaev, V. I., Pechnikov, A. I., Miakonkikh, A. V., Azarov, A., Lee, I.-H., Vasilev, A. A., Kochkova, A. I., Shchemerov, I. V., Kuznetsov, A., & Pearton, S. J. (2023). Impact of Hydrogen Plasma on Electrical Properties and Deep Trap Spectra in Ga2O3 Polymorphs. Crystals, 13(9), 1400. https://doi.org/10.3390/cryst13091400

