Identification of Proteins Adsorbed on Hydroxyapatite Ceramics with a Preferred Orientation to a-Plane
Abstract
:1. Introduction
2. Materials and Methods
2.1. Fabrication of HAp Ceramics
2.1.1. Synthesis of Starting HAp Powders and Their Characterization
2.1.2. Fabrication of HAp Ceramics and Their Properties
2.2. Protein Adsorption Experiments Using BSA or LSZ
2.2.1. Amount of BSA or LSZ Protein Adsorbed on Ceramic Surfaces
2.2.2. Surface Zeta Potential of Bulk Ceramics after Adsorption of a Model Protein
2.2.3. Microstructure Observation of Ceramics after Adsorption of a Model Protein
2.3. Serum Protein Adsorption Experiment
2.3.1. Amount of Serum Proteins Adsorbed on Ceramic Surfaces
2.3.2. Two-Dimensional Electrophoresis
2.3.3. Mass Spectrometry
2.4. Statistical Analysis
3. Results
3.1. Material Property
3.1.1. Characterization of HAp Powders
3.1.2. Material Property of HAp Ceramics
3.2. Adsorption Experiment Using Model Proteins
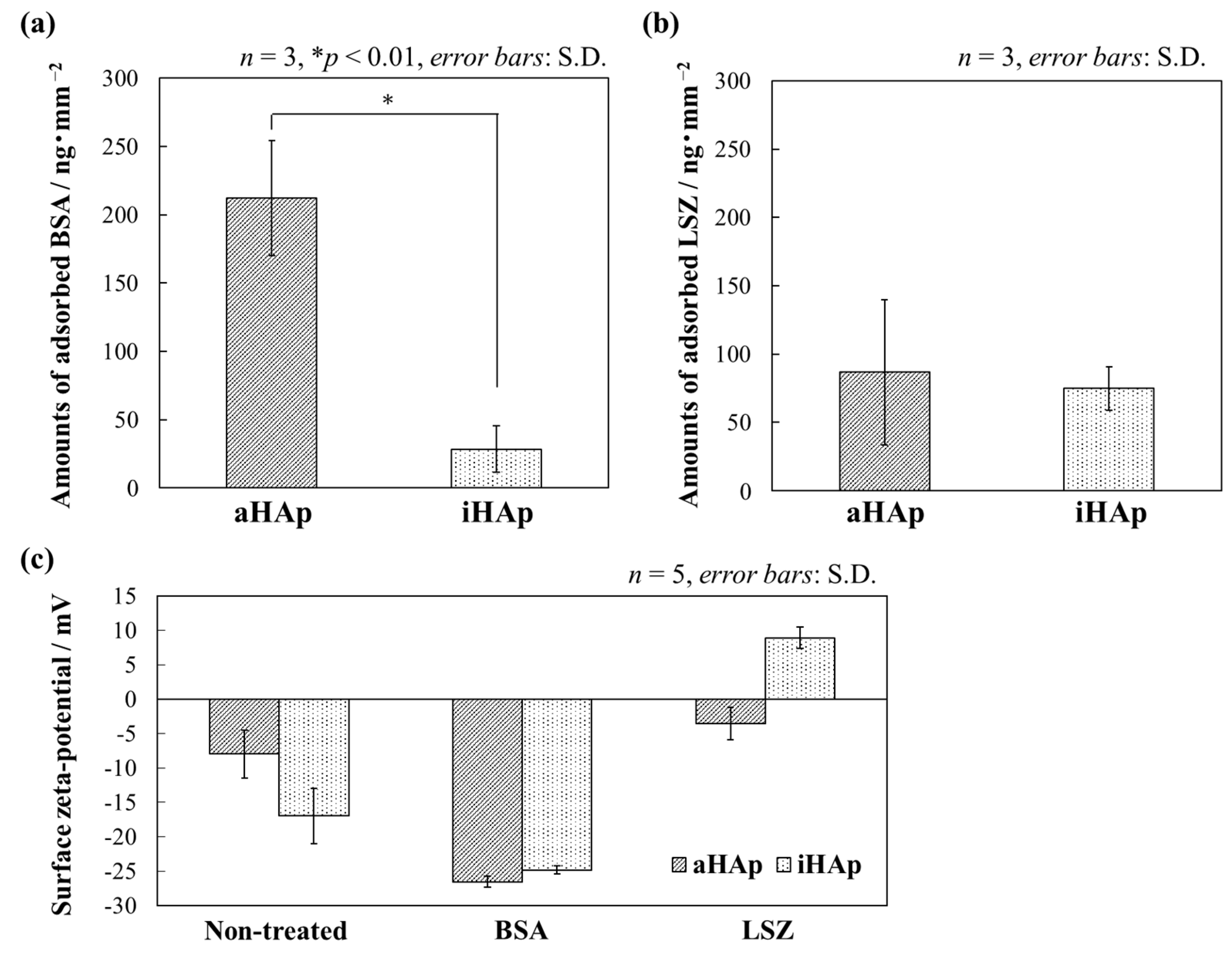
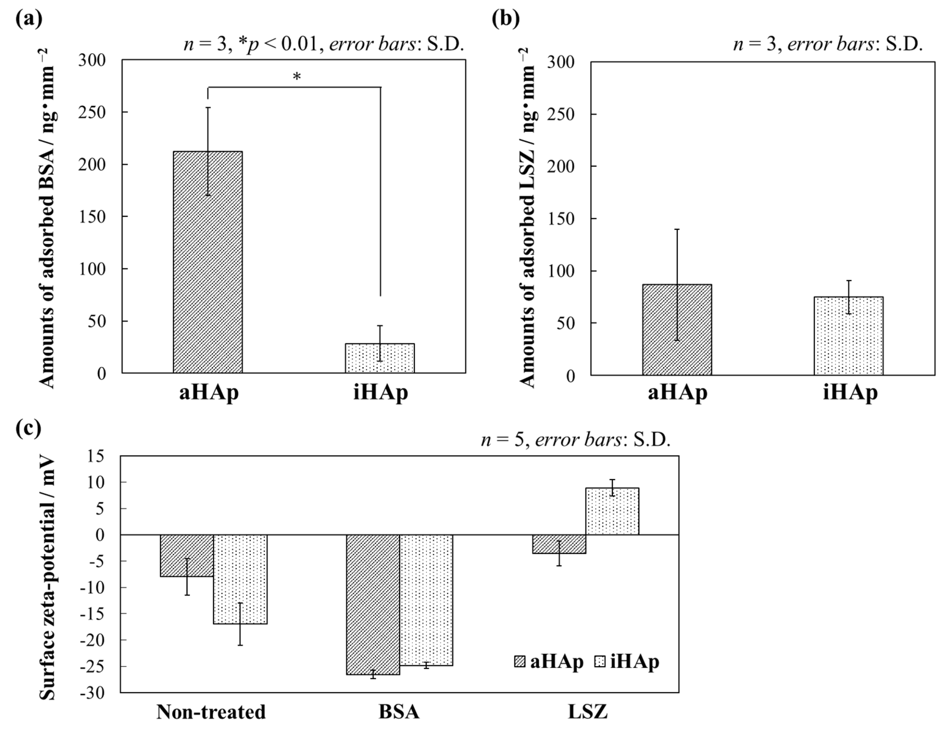
3.2.1. Amount of Model Proteins Adsorbed on Ceramic Surfaces
3.2.2. Surface Zeta Potential of Ceramics Adsorbing a Model Protein
3.2.3. Microstructure Observation of Ceramics Adsorbing a Model Protein
3.3. Serum Protein Adsorption Experiment
3.3.1. Amount of Serum Proteins Adsorbed on Ceramic Surfaces
3.3.2. Two-Dimensional Electrophoresis
3.3.3. Mass Spectrometry
4. Discussion
5. Conclusions
Supplementary Materials
Author Contributions
Funding
Data Availability Statement
Acknowledgments
Conflicts of Interest
References
- Akao, M.; Aoki, H.; Kato, K. Mechanical properties of sintered hydroxyapatite for prosthetic applications. J. Mater. Sci. 1981, 16, 809–812. [Google Scholar] [CrossRef]
- Langelier, B.; Wang, X.; Grandfield, K. Atomic scale chemical tomography of human bone. Sci. Rep. 2017, 7, 39958. [Google Scholar] [CrossRef]
- Søballe, K.; Hansen, E.S.; Brockstedt-Rasmussen, H.; Pedersen, C.M.; Bünger, C. Hydroxyapatite coating enhances fixation of porous coated implants. A comparison in dogs between press fit and noninterference fit. Acta Orthop. Scand. 1990, 61, 299–306. [Google Scholar] [CrossRef]
- Kay, M.I.; Young, R.A.; Posner, A.S. Crystal structure of hydroxyapatite. Nature 1964, 204, 1050–1052. [Google Scholar] [CrossRef]
- Wenk, H.R.; Heidelbach, F. Crystal alignment of carbonated apatite in bone and calcified tendon: Results from quantitative texture analysis. Bone 1999, 24, 361–369. [Google Scholar] [CrossRef]
- Carlstrom, D.; Finean, J.B. X-ray diffraction studies on the ultrastructure of bone. Biochim. Biophys. Acta 1954, 13, 183–191. [Google Scholar] [CrossRef] [PubMed]
- Zylberberg, L.; Traub, W.; Buffrenil, D.V.; Allizard, F.; Arad, T.; Weiner, S. Rostrum of a toothed whale: Ultrastructural study of a very dense bone. Bone 1998, 23, 241–247. [Google Scholar] [CrossRef]
- Fujisaki, K.; Todoh, M.; Niida, A.; Shibuya, R.; Kitami, S.; Tadano, S. Orientation and deformation of mineral crystals in tooth surfaces. J. Mech. Behav. Biomed. Mater. 2012, 10, 176–182. [Google Scholar] [CrossRef] [PubMed]
- Chen, W.; Tian, B.; Lei, Y.; Ke, Q.F.; Zhu, Z.A.; Guo, Y.P. Hydroxyapatite coatings with oriented nanoplate and nanorod arrays: Fabrication, morphology, cytocompatibility and osteogenic differentiation. Mater. Sci. Eng. C Mater. Biol. Appl. 2016, 67, 395–408. [Google Scholar] [CrossRef]
- Aizawa, M.; Porter, A.E.; Best, S.M.; Bonfield, W. Ultrastructural observation of single-crystal apatite fibers. Biomaterials 2005, 26, 3427–3433. [Google Scholar] [CrossRef] [PubMed]
- Aizawa, M.; Ueno, H.; Itatani, K.; Okada, I. Syntheses of calcium-deficient apatite fibers by a homogeneous precipitation method and their characterizations. J. Eur. Ceram. Soc. 2006, 26, 501–507. [Google Scholar] [CrossRef]
- Zhuang, Z.; Fujimi, T.J.; Nakamura, M.; Konishi, T.; Yoshimura, H.; Aizawa, M. Development of a,b-plane-oriented hydroxyapatite ceramics as models for living bones and their cell adhesion behavior. Acta Biomater. 2013, 9, 6732–6740. [Google Scholar] [CrossRef] [PubMed]
- Aizawa, M. Development of bioceramics with life functions by harnessing crystallographic anisotropy and their biological evaluations. J. Ceram. Soc. Jpn. 2020, 128, 997–1004. [Google Scholar] [CrossRef]
- Kim, J. Systematic approach to characterize the dynamics of protein adsorption on the surface of biomaterials using proteomics. Colloids Surf. B Biointerfaces 2020, 188, 110756. [Google Scholar] [CrossRef]
- Kawasaki, T.; Nikura, M.; Kobayashi, Y. Fundamental study of hydroxyapatite high-performance liquid chromatograph. J. Chromatogr. A 1990, 515, 91–123. [Google Scholar] [CrossRef]
- Kawasaki, T. Hydroxyapatite as a liquid chromatographic packing. J. Chromatogr. A 1991, 544, 147–184. [Google Scholar] [CrossRef]
- Kandori, K.; Oda, S.; Fukusumi, M.; Morisada, Y. Synthesis of positively charged calcium hydroxyapatite nano-crystals and their adsorption behavior of proteins. Colloids Surf. B Biointerfaces 2009, 73, 140–145. [Google Scholar] [CrossRef]
- Kandori, K.; Hamazaki, H.; Matsuzawa, M.; Togashi, S. Selective adsorption of acidic protein of bovine serum albumin onto sheet-like calcium hydroxyapatite particles produced by microreactor. Adv. Powder Technol. 2014, 25, 354–359. [Google Scholar] [CrossRef]
- Zhuang, Z.; Yoshimura, H.; Aizawa, M. Synthesis and ultrastructure of plate-like apatite single crystals as a model for tooth enamel. Mater. Sci. Eng. C Mater. Biol. Appl. 2013, 33, 2534–2540. [Google Scholar] [CrossRef] [PubMed]
- Zhuang, Z.; Aizawa, M. Protein adsorption on single-crystal hydroxyapatite particles with preferred orientation to a(b)- and c-axes. J. Mater. Sci. Mater. Med. 2013, 24, 1211–1216. [Google Scholar] [CrossRef]
- Tunc, S.; Maitz, M.F.; Steiner, G.; Vazquez, L.; Pham, M.T.; Salzer, R. In situ conformational analysis of fibrinogen adsorbed on Si surfaces. Colloids Surf. B Biointerfaces 2005, 42, 219–225. [Google Scholar] [CrossRef] [PubMed]
- Awsiuk, K.; Budkowski, A.; Marzec, M.M.; Petrou, P.; Rysz, J.; Bernasik, A. Effects of polythiophene surface structure on adsorption and conformation of bovine serum albumin: A multivariate and multitechnique study. Langmuir 2014, 30, 13925–13933. [Google Scholar] [CrossRef] [PubMed]
- Awsiuk, K.; Stetsyshyn, Y.; Raczkowska, J.; Lishchynskyi, O.; Dąbczyński, P.; Kostruba, A.; Ohar, H.; Shymborska, H.; Nastyshyn, S.; Budkowski, A. Temperature-Controlled Orientation of Proteins on Temperature-Responsive Grafted Polymer Brushes: Poly(butyl methacrylate) vs Poly(butyl acrylate): Morphology, Wetting, and Protein Adsorption. Biomacromolecules 2019, 20, 2185–2197. [Google Scholar] [CrossRef]
- Shen, J.W.; Wu, T.; Wang, Q.; Pan, H.H. Molecular simulation of protein adsorption and desorption on hydroxyapatite surfaces. Biomaterials 2008, 29, 513–532. [Google Scholar] [CrossRef] [PubMed]
- Tsai, I.Y.; Tomczyk, N.; Eckmann, J.I.; Composto, R.J.; Eckmann, D.M. Human plasma protein adsorption onto dextranized surfaces: A two-dimensional electrophoresis and mass spectrometry study. Colloids Surf. B Biointerfaces 2011, 84, 241–252. [Google Scholar] [CrossRef] [PubMed]
- Lotgering, F.K. Topotactical reactions with ferrimagnetic oxides having hexagonal crystal structures—I. J. Inorg. Nucl. Chem. 1959, 9, 113–123. [Google Scholar] [CrossRef]
- O’Farrell, P.H. High resolution two-dimensional electrophoresis of proteins. J. Biol. Chem. 1975, 250, 4007–4021. [Google Scholar] [CrossRef]
- Kumar, G.S.; Girija, E.K.; Thamizhavel, A.; Yokogawa, Y.; Kalkura, S.N. Synthesis and characterization of bioactive hydroxyapatite-calcite nanocomposite for biomedical applications. J. Colloid Interface Sci. 2010, 349, 56–62. [Google Scholar] [CrossRef] [PubMed]
- Arai, T.; Norde, W. The behavior of some model proteins at solid-liquid interfaces 1. Adsorption from single protein solutions. Colloids Surf. 1990, 51, 1–15. [Google Scholar] [CrossRef]
- Jeyachandran, Y.L.; Mielczarski, E.; Rai, B.; Mielczarski, J.A. Quantitative and qualitative evaluation of adsorption/desorption of bovine serum albumin on hydrophilic and hydrophobic surfaces. Langmuir 2009, 25, 11614–11620. [Google Scholar] [CrossRef] [PubMed]
- Norde, W.; Giacomelli, C.E. Conformational changes in proteins at interfaces: From solution to the interface, and back. Macromol. Symp. 1999, 145, 125–136. [Google Scholar] [CrossRef]
- Norde, W.; Lyklema, J. Interfacial behaviour of proteins, with special reference to immunoglobulins. A physicochemical study. Adv. Colloid Interface Sci. 2012, 179–182, 5–13. [Google Scholar] [CrossRef] [PubMed]
- Kim, J.; Somorjai, G.A. Molecular packing of lysozyme, fibrinogen, and bovine serum albumin on hydrophilic and hydrophobic surfaces studied by infrared-visible sum frequency generation and fluorescence microscopy. J. Am. Chem. Soc. 2013, 125, 3150–3158. [Google Scholar] [CrossRef]
- Gong, Y.; Slee, R.B.; Fukai, N.; Rawadi, G.; Roman-Roman, S.; Reginato, A.M.; Wang, H.; Cundy, T.; Glorieux, F.H.; Lev, D. LDL Receptor-related protein 5 (LRP5) affects bone accrual and eye development. Cell 2001, 107, 513–523. [Google Scholar] [CrossRef]
- Hay, E.; Faucheu, C.; Suc-Royer, I.; Touitou, R.; Stiot, V.; Vayssiere, B.; Baron, R.; Roman-Roman, S.; Rawadi, G. Interaction between LRP5 and Frat1 mediates the activation of the Wnt canonical pathway. J. Biol. Chem. 2005, 280, 13616–13623. [Google Scholar] [CrossRef] [PubMed]
- Cadigan, K.M.; Nusse, R. Wnt signaling: A common theme in animal development. Genes Dev. 1997, 11, 3286–3305. [Google Scholar] [CrossRef] [PubMed]
- Wodarz, A.; Nusse, R. Mechanisms of WNT signaling in development. Annu. Rev. Cell Dev. Biol. 1998, 14, 59–88. [Google Scholar] [CrossRef]
- Chung, Y.S.; Baylink, D.J.; Srivastava, A.K.; Amaar, Y.; Tapia, B.; Kasukawa, Y.; Mohan, S. Effects of secreted frizzled-related protein 3 on osteoblasts in vitro. J. Bone Miner. Res. 2004, 19, 1395–1402. [Google Scholar] [CrossRef]





Disclaimer/Publisher’s Note: The statements, opinions and data contained in all publications are solely those of the individual author(s) and contributor(s) and not of MDPI and/or the editor(s). MDPI and/or the editor(s) disclaim responsibility for any injury to people or property resulting from any ideas, methods, instructions or products referred to in the content. |
© 2023 by the authors. Licensee MDPI, Basel, Switzerland. This article is an open access article distributed under the terms and conditions of the Creative Commons Attribution (CC BY) license (https://creativecommons.org/licenses/by/4.0/).
Share and Cite
Onuma, E.; Honda, T.; Yoshimura, H.; Nishihara, T.; Ogura, A.; Kanzawa, N.; Aizawa, M. Identification of Proteins Adsorbed on Hydroxyapatite Ceramics with a Preferred Orientation to a-Plane. Crystals 2023, 13, 1318. https://doi.org/10.3390/cryst13091318
Onuma E, Honda T, Yoshimura H, Nishihara T, Ogura A, Kanzawa N, Aizawa M. Identification of Proteins Adsorbed on Hydroxyapatite Ceramics with a Preferred Orientation to a-Plane. Crystals. 2023; 13(9):1318. https://doi.org/10.3390/cryst13091318
Chicago/Turabian StyleOnuma, Erika, Takayuki Honda, Hideyuki Yoshimura, Tappei Nishihara, Atsushi Ogura, Nobuyuki Kanzawa, and Mamoru Aizawa. 2023. "Identification of Proteins Adsorbed on Hydroxyapatite Ceramics with a Preferred Orientation to a-Plane" Crystals 13, no. 9: 1318. https://doi.org/10.3390/cryst13091318
APA StyleOnuma, E., Honda, T., Yoshimura, H., Nishihara, T., Ogura, A., Kanzawa, N., & Aizawa, M. (2023). Identification of Proteins Adsorbed on Hydroxyapatite Ceramics with a Preferred Orientation to a-Plane. Crystals, 13(9), 1318. https://doi.org/10.3390/cryst13091318

