Characteristics of Wires of the Long-Operated Aluminum-Steel Cable at Different Places on an Overhead Power Line Span
Abstract
1. Introduction
2. Materials and Methods
2.1. Samples
2.2. Experimental Methods
3. Results
3.1. OM Results
3.2. EDX Results
3.2.1. EDX Results: Facets of Cross-Sections of Aluminum and Steel Wires
3.2.2. EDX Results: Outer Surface of Al Wires
3.2.3. EDX Results: Outer Surface of Al Wires
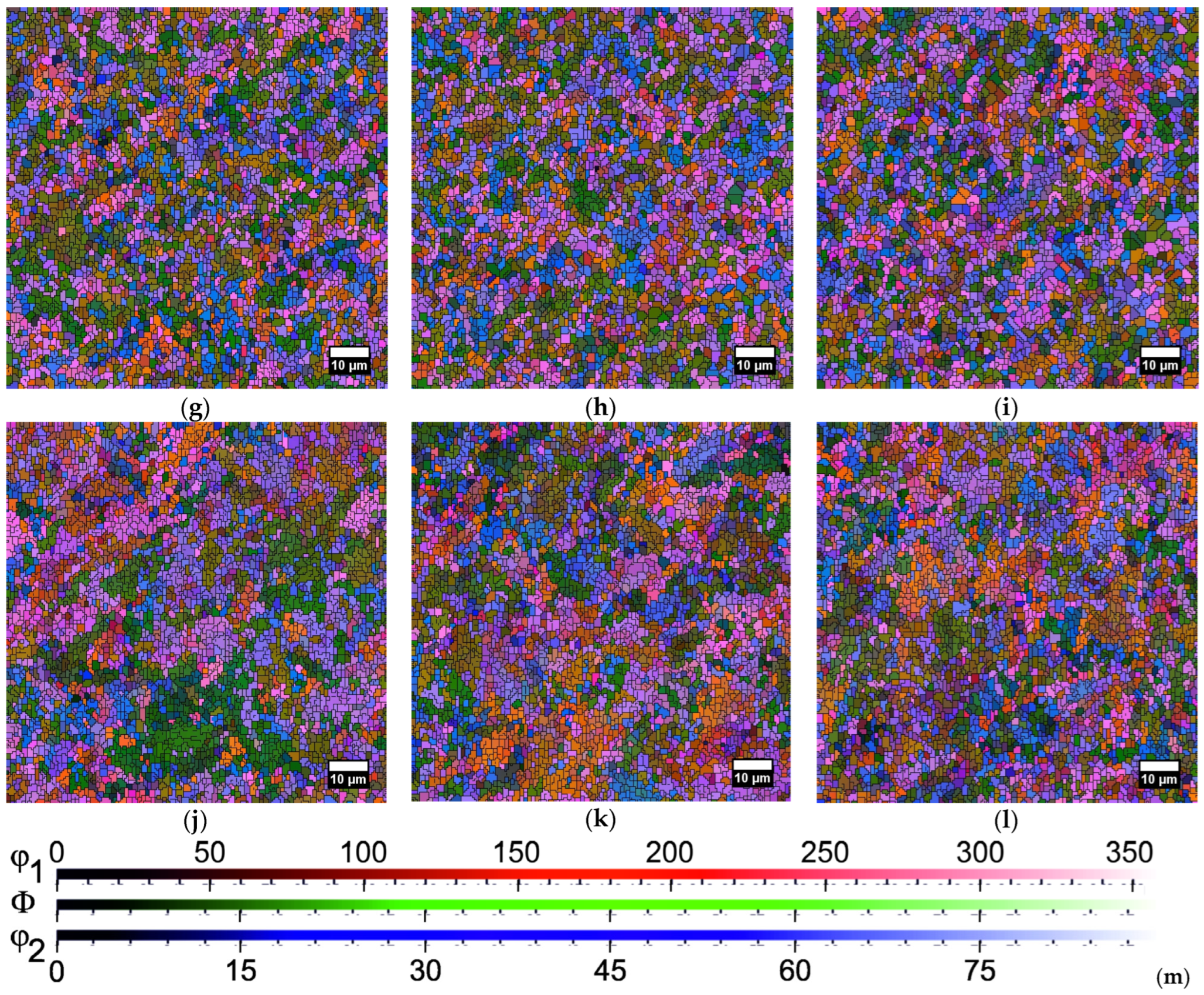
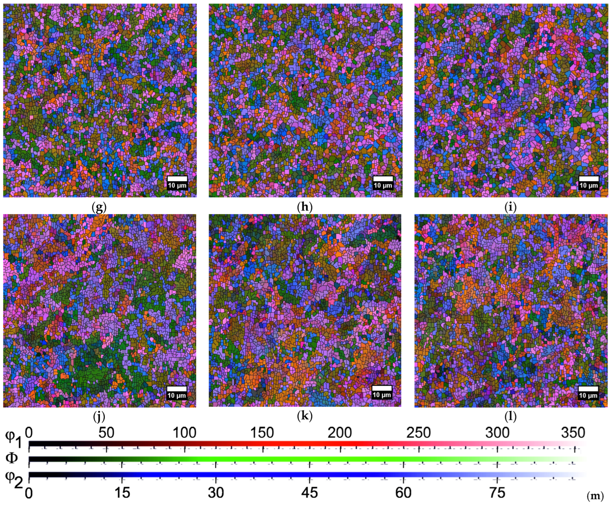
3.3. EBSD Results
3.4. XRD Results
3.4.1. XRD Results: Aluminum Wires
3.4.2. XRD Results: Steel Wires
3.5. Results of Densitometry Measurements
3.5.1. Results of Densitometry Measurements: Aluminum Wires
3.5.2. Results of Densitometry Measurements: Steel Wires
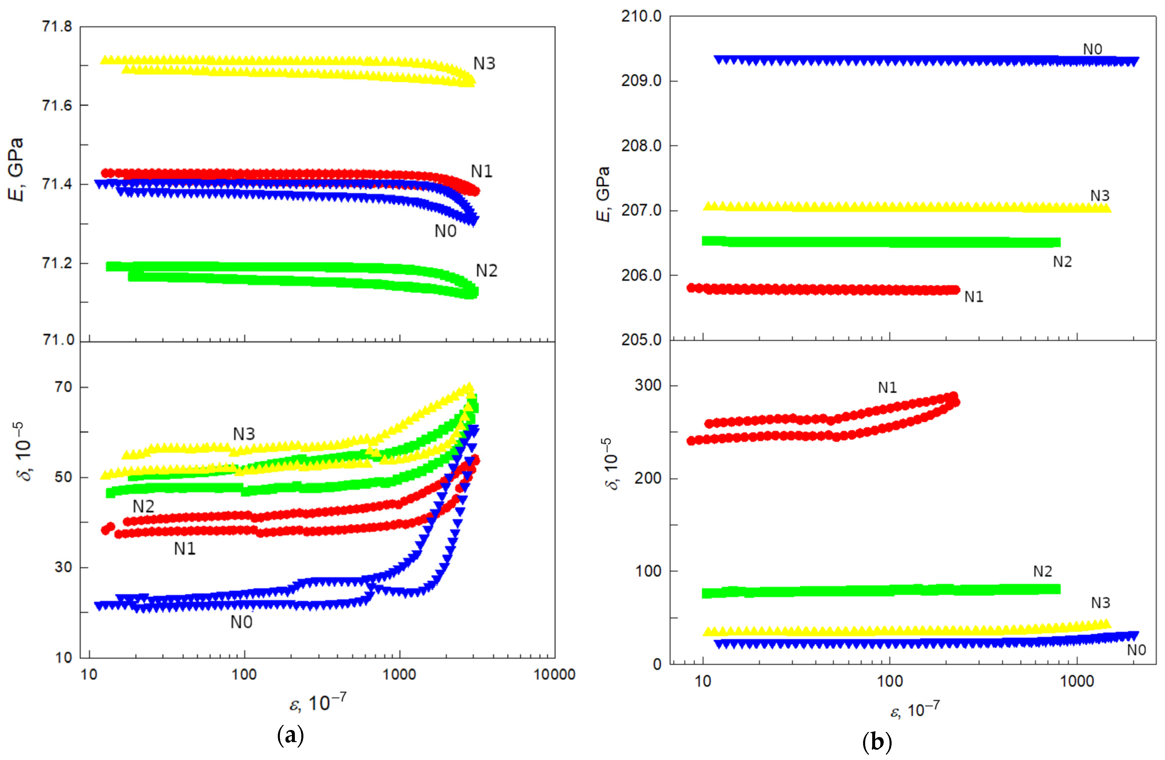
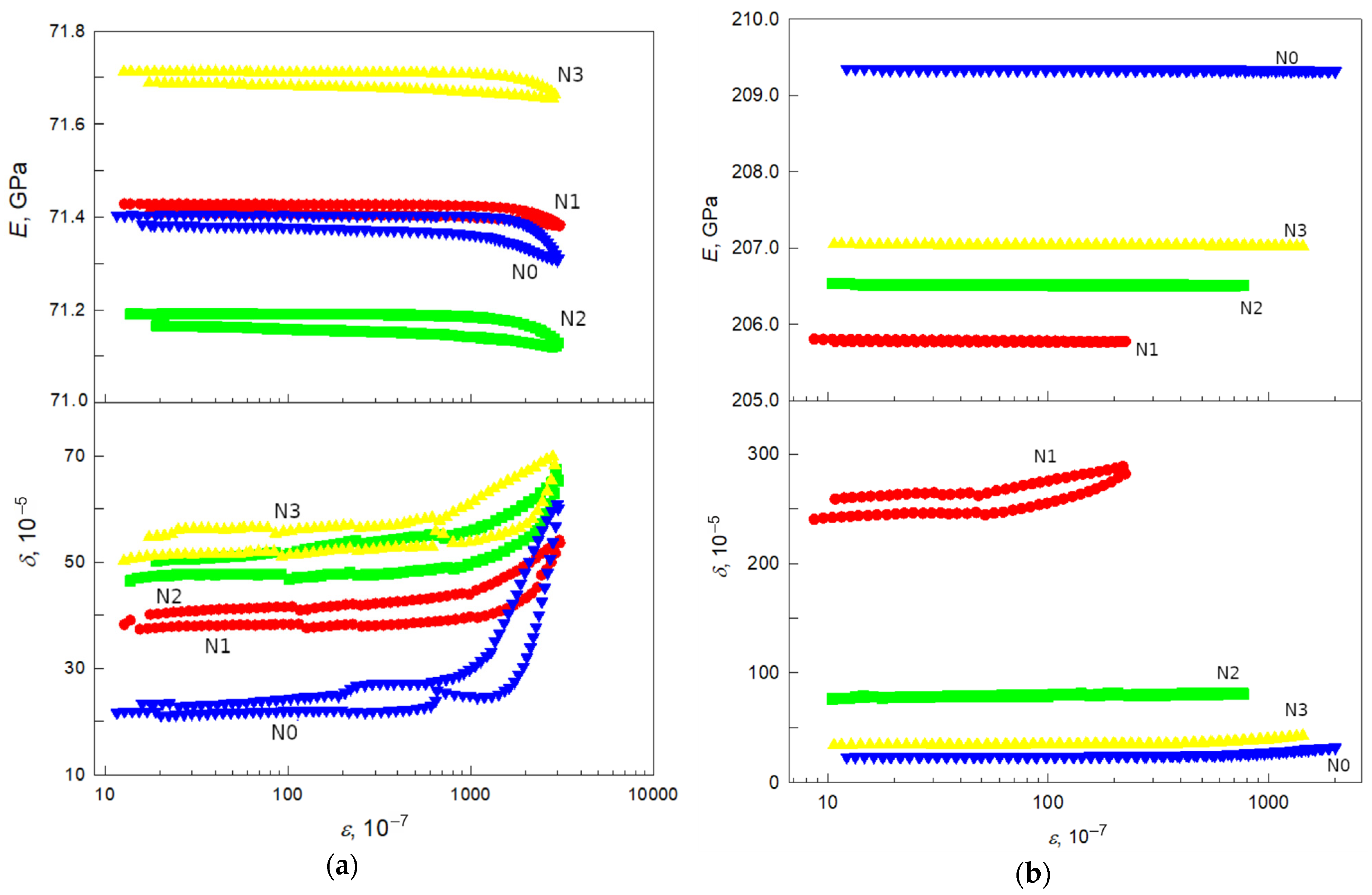
3.6. Results of Acoustics Measurements
3.6.1. Results of Acoustics Measurements: Aluminum Wires
3.6.2. Results of Acoustics Measurements: Steel Wires
4. Discussion
4.1. Corrosion Layer in the OM Images
4.2. Correlation between the Results of EDX and X-ray Phase Analyses for Aluminum and Steel Wires
4.2.1. New Aluminum and Steel Wires
4.2.2. Aluminum and Steel Wires after 52 Years of Operation in OPL
4.3. Changes in the Aluminum Wire Characteristics Depending on the Duration of Exploitation and Comparison with the Results of the Recent Investigations of the Wires from A50 and AC50 Cables
4.3.1. The Proportion of δ- and/or δ*-Al2O3 Phases in Aluminum Wires after Operation According to Estimates from XRD Data
4.3.2. Size of Grains in Aluminum and Steel Wires and the Alignment of These Grains along One Direction (from EBSD Data) and Size of Crystallites, Microstrain Level, and Preferential Orientation of Crystallites for Al Phase of Wire Material (from XRD Data)
4.3.3. Aspect Ratio of Grains (from EBSD Data)
4.3.4. Density of the Aluminum and Steel Wires According to XRD and Densitometry
4.3.5. Variation of Elastoplastic Characteristics along the Cable Span in Comparison to the Literature Data
4.4. Shape of Distribution Functions of Wire Characteristics along the Span between the OPL Supports and Troublemaking Areas of the AC50 Cable on Span
4.4.1. Formal Analysis of the Shape of Distribution Functions of Wire Characteristics along the Span
4.4.2. Troublemaking Areas of the AC50 Cable on Span
5. Conclusions
5.1. New Aluminum and Steel Wires
5.2. Aluminum and Steel Wire of the AC50 Cable after 52 Years in OPL
5.2.1. Corrosion Layers of Contacting Steel and Aluminum Wires and NSL of the Aluminum Wire Side in Contact with the Atmosphere
5.2.2. Change in the Quantitative Characteristics of Properties along the Span
5.2.3. Microstructure Parameters from XRD Analysis and Dislocation Density
5.2.4. Preferential Orientation of Aluminum Wire Crystallites and Merging of Grains
5.2.5. XRD Density of Aluminum Wire NSL and Integral Density of Aluminum and Steel Wires
5.2.6. Grain AR and the Plateau–Rayleigh Instability, Alignment, and Size of Grains
5.2.7. Parts of the Span with an Increased Probability of Wire Breakage and Characteristics Sensitive to Possible Breakage
5.2.8. Elasto-Microplastic Characteristics and Integral Density
5.3. Summing Up
Supplementary Materials
Author Contributions
Funding
Institutional Review Board Statement
Informed Consent Statement
Data Availability Statement
Acknowledgments
Conflicts of Interest
References
- Papailiou, K.O. Overhead Lines. In Springer Handbook of Power Systems; Papailiou, K.O., Ed.; Springer: Singapore, 2021; pp. 611–758. [Google Scholar] [CrossRef]
- De Araújo, M.M.; Manheimmer, W.A.; Serra, E. Corrosion aspects in aluminum electrical conductors. Mater. Sci. 1988, 8, 175–197. [Google Scholar] [CrossRef]
- Xu, X.; Yu, Z.; Li, Y.; Wang, W.; Xu, L. Microstructural Study of Arc Beads in Aluminum Alloy Wires with an Overcurrent Fault. Materials 2021, 14, 4133. [Google Scholar] [CrossRef] [PubMed]
- Karabay, S.; Önder, F.K. An approach for analysis in refurbishment of existing conventional HV–ACSR transmission lines with AAAC. Electr. Power Syst. Res. 2004, 72, 179–185. [Google Scholar] [CrossRef]
- Achiriloaiei, D.; Medeleanu, M. Studies on the Effects of Environmental Pollution on ACSR Conductors. Rev. De Chim. 2019, 70, 3984–3986. [Google Scholar] [CrossRef]
- Kalombo, R.B.; Araujo, J.A.; Ferreira, J.L.A.; da Silva, C.R.M.; Alencar, R.; Capra, A.R. Assessment of the fatigue failure of an All Aluminium Alloy Cable (AAAC) for a 230 kV transmission line in the Center-West of Brazil. Eng. Fail. Anal. 2015, 61, 77–87. [Google Scholar] [CrossRef]
- Karabay, S.; Ertürk, A.T.; Zeren, M.; Yamanoğlu, R.; Karakulak, E. Failure analysis of wire-breaks in aluminum conductor production and investigation of early failure reasons for transmission lines. Eng. Fail. Anal. 2018, 83, 47–56. [Google Scholar] [CrossRef]
- Alshwawreh, N.; Alhamarneh, B.; Altwarah, Q.; Quandour, S.; Barghout, S.; Ayasrah, O. Electrical Resistivity and Tensile Strength Relationship in Heat-Treated All Aluminum Alloy Wire Conductors. Materials 2021, 14, 5738. [Google Scholar] [CrossRef]
- Smyrak, B.; Jurkiewicz, B.; Zasadzińska, M.; Gniełczyk, M.; Jałowy, P. The Effect of Al-Mg-Si Wire Rod Heat Treatment on Its Electrical Conductivity and Strength. Metals 2020, 10, 1027. [Google Scholar] [CrossRef]
- Kim, S.D.; Morcos, M.M. Mechanical deterioration of ACSR conductors due to forest fires. IEEE Trans. Power Deliv. 2003, 18, 271–276. [Google Scholar] [CrossRef]
- Lequien, F.; Auzoux, Q.; Moine, G.; Rousseau, M.; Pasquier-Tilliette, S.; Holande, A.; Ammi, S.; Heurtault, S.; Prieur, P. Characterization of an aluminum conductor steel reinforced (ACSR) after 60 years of operation. Eng. Fail. Anal. 2021, 120, 105039. [Google Scholar] [CrossRef]
- Chen, G.H.; Wang, X.; Wang, J.Q.; Liu, J.J.; Zhang, T.; Tang, W.M. Damage investigation of the aged aluminium cable steel reinforced (ACSR) conductors in a high-voltage transmission line. Eng. Fail. Anal. 2012, 19, 13–21. [Google Scholar] [CrossRef]
- Shahid, M.A.; Khan, T.M.; Zafar, Z.; Hashmi, M.F.; Imran, M. Health diagnosis scheme for in-service low voltage Aerial Bundled Cables using super-heterodyned airborne Ultrasonic testing. Electr. Power Syst. Res. 2020, 180, 106162. [Google Scholar] [CrossRef]
- Kreislova, K.; Jaglova, M.; Turek, L.; Koukalova, A. Evaluation of corrosion of long-term exposed aluminium conductor. Koroze Ochr. Mater. 2013, 57, 25–34. [Google Scholar] [CrossRef][Green Version]
- Deng, Y.J.; Yu, J.C.; Xia, K.Q.; Yang, L. Corrosion Conditions Analysis of In-service ACSR Overhead Lines. Appl. Mech. Mater. 2013, 446–447, 753–758. [Google Scholar] [CrossRef]
- Kalombo, R.B.; Pestana, M.S.; Freire, R.C.S.; Ferreira, J.L.A.; da Silva, C.R.M.; Veloso, L.A.C.M.; Camara, E.C.B.; Araujo, J.A. Fatigue life estimation of an all aluminium alloy 1055 MCM conductor for different mean stresses using an artificial neural network. Int. J. Fatigue 2020, 140, 105814. [Google Scholar] [CrossRef]
- Lu, J.; Hu, J.; Fang, Z.; Qiao, X.; Zhang, Z. Electric Field Distribution and AC Breakdown Characteristics of Polluted Novel Lightning Protection Insulator under Icing Conditions. Energies 2021, 14, 7493. [Google Scholar] [CrossRef]
- Brettschneider, S.; Fofana, I. Evolution of Countermeasures against Atmospheric Icing of Power Lines over the Past Four Decades and Their Applications into Field Operations. Energies 2021, 14, 6291. [Google Scholar] [CrossRef]
- Isozaki, M.; Adachi, K.; Hita, T.; Asano, Y. Study of corrosion resistance improvement by metallic coating for overhead transmission line conductor. Electr. Eng. Jpn 2008, 163, 41–47. [Google Scholar] [CrossRef]
- Matos, I.M.; Rocha, P.H.C.; Kalombo, R.B.; Veloso, L.A.C.M.; Araujo, J.A.; Castro, F.C. Fretting fatigue of 6201 aluminum alloy wires of overhead conductors. Int. J. Fatigue 2020, 141, 105884. [Google Scholar] [CrossRef]
- Rocha, P.H.C.; Langlois, S.; Lalonde, S.; Araújo, J.A.; Castro, F.C. A general life estimation method for overhead conductors based on fretting fatigue behavior of wires. Theor. Appl. Fract. Mech. 2022, 121, 103443. [Google Scholar] [CrossRef]
- Kalombo, R.B.; Reinke, G.; Miranda, T.B.; Ferreira, J.L.A.; da Silva, C.R.M.; Araújo, J.A. Experimental Study of the Fatigue Performance of Overhead Pure Aluminium Cables. Procedia Struct. Integr. 2019, 19, 688–697. [Google Scholar] [CrossRef]
- Miranda, T.; Badibanga, R.; Araújo, J.A.; Silva, C.; Ferreira, J. Fatigue Evaluation of All Aluminium Alloy Conductors Fitted with Elastomeric and Metallic Suspension Clamps. IEEE Trans. Pow. Deliv. 2022, 37, 539–546. [Google Scholar] [CrossRef]
- Levin, A.A.; Narykova, M.V.; Lihachev, A.I.; Kardashev, B.K.; Kadomtsev, A.G.; Brunkov, P.N.; Panfilov, A.G.; Prasolov, N.D.; Sultanov, M.M.; Kuryanov, V.N.; et al. Modification of the structural, microstructural, and elastoplastic properties of aluminum wires after operation. Metals 2021, 11, 1955. [Google Scholar] [CrossRef]
- Narykova, M.V.; Levin, A.A.; Prasolov, N.D.; Lihachev, A.I.; Kardashev, B.K.; Kadomtsev, A.G.; Panfilov, A.G.; Sokolov, R.V.; Brunkov, P.N.; Sultanov, M.M.; et al. The structure of the near-surface layer of the AAAC overhead power line wires after operation and its effect on their elastic, microplastic, and electroresistance properties. Crystals 2022, 12, 166. [Google Scholar] [CrossRef]
- Levin, A.A.; Narykova, M.V.; Lihachev, A.I.; Kardashev, B.K.; Kadomtsev, A.G.; Prasolov, N.D.; Panfilov, A.G.; Sokolov, R.V.; Brunkov, P.N.; Sultanov, M.M.; et al. Comparison of structural, microstructural, elastic, and microplastic properties of the AAAC (A50) and ACSR (AC50/8) cables after various operation periods in power transmission line. Crystals 2022, 12, 1267. [Google Scholar] [CrossRef]
- Levin, A.A.; Narykova, M.V.; Lihachev, A.I.; Kardashev, B.K.; Kadomtsev, A.G.; Panfilov, A.G.; Prasolov, N.D.; Sokolov, R.V.; Brunkov, P.N.; Sultanov, M.M.; et al. Structural, Microstructural, Elastic, and Microplastic Properties of Aluminum Wires (from AAAC (A50) Cables) after Fatigue Tests. Metals 2023, 13, 298. [Google Scholar] [CrossRef]
- Badibanga, R.; Miranda, T.; Rocha, P.; Ferreira, J.; da Silva, C.; Araújo, J. The effect of mean stress on the fatigue behaviour of overhead conductor function of the H/w parameter. MATEC Web Conf. 2018, 165, 11001. [Google Scholar] [CrossRef]
- Fadel, A.A.; Rosa, D.; Murça, L.B.; Fereira, J.L.A.; Araújo, J.A. Effect of high mean tensile stress on the fretting fatigue life of an Ibis steel reinforced aluminium conductor. Int. J. Fatigue 2012, 42, 24–34. [Google Scholar] [CrossRef]
- Azevedo, C.R.F.; Cescon, T. Failure analysis of aluminum cable steel reinforced (ACSR) conductor of the transmission line crossing the Paranaґ River. Eng. Fail. Anal. 2002, 9, 645–664. [Google Scholar] [CrossRef]
- Azevedo, C.R.D.F.; Henriques, A.M.D.; Pulino Filho, A.R.; Ferreira, J.L.A.; Araújo, J.A. Fretting fatigue in overhead conductors: Rig design and failure analysis of a Grosbeak aluminium cable steel reinforced conductor. Eng. Fail. Anal. 2009, 16, 136–151. [Google Scholar] [CrossRef]
- Ma, X.C.; Gao, L.; Zhang, J.X.; Zhang, L.C. Fretting Wear Behaviors of Aluminum Cable Steel Reinforced (ACSR) Conductors in High-Voltage Transmission Line. Metals 2017, 7, 373. [Google Scholar] [CrossRef]
- Said, J.; Garcin, S.; Fouvry, S.; Cailletaud, G.; Yang, C.; Hafid, F. A multi-scale strategy to predict fretting-fatigue endurance of overhead conductors. Tribol. Int. 2020, 143, 106053. [Google Scholar] [CrossRef]
- Lihachev, A.I.; Narykova, M.V.; Levin, A.A.; Prasolov, N.D.; Sokolov, R.V.; Kardashev, B.K.; Kadomtsev, A.G.; Brunkov, P.N.; Sultanov, M.M.; Strizhichenko, A.V.; et al. Influence of service life on the microstructure and elastic-plastic properties of steel-aluminum wire AC120/19 overhead power lines. Glob. Energy 2023, 29, 139–156. (In Russian) [Google Scholar] [CrossRef]
- Rolim, A.L.; da Moreira, J.L.R.; Veloso, L.A.C.M.; de Souza, R.M.; Araújo, J.A. Differential displacement and strain analysis of transmission line cables. J. Braz. Soc. Mech. Sci. Eng. 2013, 35, 327–336. [Google Scholar] [CrossRef]
- Kul’kov, V.G.; Tyshkevich, V.N.; Kuryanov, V.N.; Sultanov, M.M.; Norov, D.S.; Narykova, M.V.; Kadomtsev, A.G.; Prasolov, N.D.; Brunkov, P.N.; Likhachev, A.I.; et al. Experimental studies of fatigue strength and surface electrical resistance of aluminum wire of overhead power transmission lines. Saf. Reliab. Power Ind. 2021, 14, 189–195. (In Russian) [Google Scholar] [CrossRef]
- Nakhimova, L.I. (Ed.) GOST 839-2019; Non-Insulated Conductors for Overhead Power Lines. Specifications. Strojizdat: Moscow, Russia, 2019; 39p. (In Russian)
- Bruker, A.X.S. Karlsruhe, Diffrac. Suite Eva Version 5.1.0.5; DIFFRAC.SUITE User Manual; Bruker AXS GmbH: Karlsruhe, Germany, 2019. [Google Scholar]
- International Centre for Diffraction Data (ICDD). Powder Diffraction File-2 Release 2014; ICDD: Newton Square, PA, USA, 2014. [Google Scholar]
- Maunders, C.; Etheridge, J.; Wright, N.; Whitfield, H.J. Structure and microstructure of hexagonal Ba3Ti2RuO9 by electron diffraction and microscopy. Acta Crystallogr. B 2005, 61, 154–159. [Google Scholar] [CrossRef]
- Levin, A.A. Program SizeCr for Calculation of the Microstructure Parameters from X-ray Diffraction Data. 2022. preprint. [Google Scholar] [CrossRef]
- Terlan, B.; Levin, A.A.; Börrnert, F.; Simon, F.; Oschatz, M.; Schmidt, M.; Cardoso-Gil, R.; Lorenz, T.; Baburin, I.A.; Joswig, J.-O.; et al. Effect of Surface Properties on the Microstructure, Thermal, and Colloidal Stability of VB2 Nanoparticles. Chem. Mater. 2015, 27, 5106–5115. [Google Scholar] [CrossRef]
- Terlan, B.; Levin, A.A.; Börrnert, F.; Zeisner, J.; Kataev, V.; Schmidt, M.; Eychmüller, A. A Size-Dependent Analysis of the Structural, Surface, Colloidal, and Thermal Properties of Ti1–xB2 (x = 0.03–0.08) Nanoparticles. Eur. J. Inorg. Chem. 2016, 2016, 3460–3468. [Google Scholar] [CrossRef]
- Langford, J.I.; Cernik, R.J.; Louer, D. The Breadth and Shape of Instrumental Line Profiles in High-Resolution Powder Diffraction. J. Appl. Phys. 1991, 24, 913–919. [Google Scholar] [CrossRef]
- Nikanorov, S.P.; Kardashev, B.K. Elasticity and Dislocation Inelasticity of Crystals; Nauka: Moscow, Russia, 1985; 256p. (In Russian) [Google Scholar]
- Lukiyanov, F.A.; Rau, E.I.; Sennov, R.A. Depth Range of Primary Electrons, Electron Beam Broadening, and Spatial Resolution in Electron-Beam Studies. Bull. Russ. Acad. Sci. Phys. 2009, 73, 463–472. [Google Scholar] [CrossRef]
- Kanaya, K.; Okayama, S. Penetration and energy-loss theory of electrons in solid targets. J. Phys. D Appl. Phys. 1972, 5, 43–58. [Google Scholar] [CrossRef]
- Fundamental Physical Constants. Available online: https://physics.nist.gov/cgi-bin/cuu/Value?na|search_for=Avogadro (accessed on 2 February 2023).
- Kraus, W.; Nolze, G. POWDER CELL—A program for the representation and manipulation of crystal structures and calculation of the resulting X-ray powder patterns. J. Appl. Crystallogr. 1996, 29, 301–303. [Google Scholar] [CrossRef]
- Merkys, A.; Vaitkus, A.; Grybauskas, A.; Konovalovas, A.; Quirós, M.; Gražulis, S. Validation of the Crystallography Open Database using the Crystallographic Information Framework. J. Appl. Crystallpogr. 2021, 54, 661–672. [Google Scholar] [CrossRef]
- Tsybulya, S.; Kryukova, G. New X-ray powder diffraction data on δ-Al2O3. Powder Diffr. 2003, 18, 309–311. [Google Scholar] [CrossRef]
- Fargeot, D.; Mercurio, D.; Dauger, A. Structural characterization of alumina metastable phases in plasma sprayed deposits. Mater. Chem. Phys. 1990, 24, 299. [Google Scholar] [CrossRef]
- Repelin, Y.; Husson, E. Etudes structurales d’alumines de transition. I—Alumines gamma et delat. Mater. Res. Bull. 1990, 25, 611–625. (In French) [Google Scholar] [CrossRef]
- Mason, J.K.; Schuh, C.A. Representation of Texture. In Electron Backscatter Diffraction in Material Science, 2nd ed.; Schwartz, A.I., Kumar, M., Adams, B.L., Field, D.P., Eds.; Springer: Boston, MA, USA, 2009; pp. 45–46. [Google Scholar] [CrossRef]
- Otte, H.M.; Montague, W.G.; Welch, D.O. X-ray diffractometer determination of the thermal expansion coefficient of aluminum near room temperature. J. Appl. Phys. 1963, 34, 3149–3150. [Google Scholar] [CrossRef]
- Miller Jr, P.H.; DuMond, J.W.M. Tests for the Validity of the X-Ray Crystal Method for Determining N and e with Aluminum, Silver and Quartz. Phys. Rev. 1940, 57, 198–206. [Google Scholar] [CrossRef]
- Shin, H.-S. A study on the structure of maghemite (gamma-(Fe2O3)). I. Rietveld analysis pf powder XRD patterns. J. Korean Ceram. Soc. 1998, 35, 1113–1119. [Google Scholar]
- Martinez, O.; Hortelano, V.; Jimenez, J.; Plaza, J.L.; de Dios, S.; Olvera, J.; Dieguez, E.; Fath, R.; Lozano, J.G.; Ben, T.; et al. Growth of Zn O nanowires through thermal oxidation of metallic zinc films on Cd Te substrates. J. Alloys Compds. 2011, 509, 5400–5407. [Google Scholar] [CrossRef]
- Karzel, H.; Potzel, U.; Potzel, W.; Moser, J.; Schaefer, C.; Steiner, M.; Peter, M.; Kratzer, A.; Kalvius, G.M. X-ray diffractometer for high pressure and low temperatures. Mater. Sci. Forum. 1991, 79, 419–426. [Google Scholar] [CrossRef]
- Vannenberg, N.G. Formation and structure of zinc peroxide. Ark. Kemi 1959, 14, 119. [Google Scholar]
- Crisan, O.; Crisan, A. Phase transformation and exchange bias effects in mechanically alloyed Fe/magnetite powders. J. Alloys Compds. 2011, 509, 6522–6527. [Google Scholar] [CrossRef]
- Swanson, H.E.; Tatge, E. Standard X-Ray Diffraction Powder Patterns. Natl. Bur. Stand. 1955, Circ. 539 IV, 3. [Google Scholar]
- Nakhimova, L.I. (Ed.) GOST 11069-2001; Primary Aluminium. Grades. IPK Izdatel. Standartov: Moscow, Russia, 2004; 84p. (In Russian)
- Idelchik, V.I. Electrical Systems and Networks: Textbook for Universities; Energoatomizdat: Moscow, Russia, 2022; 600p. (In Russian) [Google Scholar]
- Plateau, J. Statique Expérimentale et Théorique des Liquides Soumis aux Seules Forces Moléculaires; Gauthier-Villars: Paris, France, 1873; Volume 2, 495p. (In French) [Google Scholar]
- Rayleigh, L. On the Instability of Jets. Proc. Lond. Math. Soc. 1878, 10, 4–12. [Google Scholar] [CrossRef]
- Toimil-Molares, M.E.; Balogh, A.G.; Cornelius, T.W.; Neumann, R.; Trautmann, C. Fragmentation of nanowires driven by Rayleigh instability. Appl. Phys. Lett. 2004, 85, 5337–5339. [Google Scholar] [CrossRef]
- Karim, S.; Toimil-Molares, M.E.; Balogh, A.G.; Ensinger, W.; Cornelius, T.W.; Ukhan, E.; Neumann, R. Morphological evolution of Au nanowires controlled by Rayleigh instability. Nanotechnology 2006, 17, 5954–5959. [Google Scholar] [CrossRef]
- Slater, J.C. Atomic Radii in Crystals. J. Chem. Phys. 1964, 41, 3199–3204. [Google Scholar] [CrossRef]
- Massalski, T.B.; Okamoto, H.; Subramanian, P.R.; Kacprzak, L. (Eds.) Binary Alloy Phase Diagrams, 2nd ed.; ASM International: Materials Park, OH, USA, 1990; Volume 1, 3542p. [Google Scholar]
- Zhu, K.; Li, C.; Zhu, Z.; Liu, C.S. Measurement of the dynamic Young’s modulus of porous titanium and Ti6Al4V. J. Mater. Sci. 2007, 42, 7348–7353. [Google Scholar] [CrossRef]
- Martienssen, W.; Warlimont, H. (Eds.) Springer Handbook of Condensed Matter and Materials Data; Springer: Berlin/Heidelberg, Germany, 2005; pp. 431–476. [Google Scholar] [CrossRef]
- Williamson, G.K.; Smallman, R.E., III. Dislocation densities in some annealed and cold-worked metals from measurements on the X-ray Debye-Scherrer spectrum. Philos. Mag. 1956, 1, 34–46. [Google Scholar] [CrossRef]
- Gleiter, H.; Chalmers, B. High-Angle Grain Boundaries; Pergamon Press: New York, NY, USA, 1972; 274p. [Google Scholar]
- Malygin, G.A. Relay mechanism of formation of dislocation-free and defect-free channels during plastic deformation of crystals. Fiz. Tverd. Tela 1991, 33, 1855–1859. (In Russian) [Google Scholar]
- Kul’kov, V.G. Diffusion Model of Internal Friction in Nanocrystalline Materials. Tech. Phys. 2007, 52, 333–338. [Google Scholar] [CrossRef]
- Kul’kov, V.G. Contribution of Grain Boundary Pores to the High-Temperature Background of Internal Friction in Metals with Ultrafine Grain. Bull. Russ.Acad.Sci. Phys. 2020, 84, 1043–1047. [Google Scholar] [CrossRef]
- Ye, W.; Hohl, J.; Misra, M.; Liao, Y.; Mushongera, L.T. Grain boundary relaxation in doped nano-grained aluminum. Mater. Sci. Commun. 2021, 29, 102808. [Google Scholar] [CrossRef]





















| Method | Equipment Used and Experimental Details |
|---|---|
| OM | Axio Vert. A1 optical microscope (Carl Zeiss AG, Oberko12, Germany) equipped with Carl Zeiss Axiocam 208 color digital optics. |
| SEM | JSM 7001F scanning electron microscope (JEOL, Tokyo, Japan). The energy E0 of the electron beam incident on the sample surface is equal to 15 keV. |
| EDX | INCA PentaFETx3 system (Oxford Instruments, Abingdon-on-Thames, England) mounted on JSM 7001F. The measurements were carried out at an electron beam energy E0 incident on the sample surface equal to 15 keV. |
| EBSD | HKL Nordlys detector (Oxford Instruments, Abingdon-on-Thames, England) mounted on JSM 7001F. The energy of the electron beam incident on the sample surface is E0 = 15 keV. |
| XRD | D2 Phaser X-ray powder diffractometer (Bruker AXS, Karlsruhe, Germany) equipped with a linear position-sensitive semiconductor detector LYNXEYE (Bruker AXS, Karlsruhe, Germany) and an X-ray tube with a copper anode and a fine focus in the form of a rectangle with an area of ~8 × 0.04 mm2; Cu-Kα radiation of an X-ray tube with copper anode (after Ni-filter), wave length λ = 1.54018 Å; symmetrical 2θ-θ scan mode; use of low-background single-crystalline Si(119) wafer as a sample holder; and additional XRD measurements of the wires placed in NaCl powder calibrated with XRD powder standard Si640f (NIST, Gaithersburg, MD, USA) to win the angular corrections of XRD patterns to zero shift and displacement. |
| Densitometry | Shimadzu AUW 120D analytical balance with an SMK-301 hydrostatic weighing attachment (Shimadzu Corporation, Kyoto, Japan). |
| Acoustic-resonance | A construction of a composite piezoelectric resonator containing exciting and receiving piezoquartz elements and a cylindrical sample with resonant frequency f ≈ 100 kHz. A detailed principal scheme of the construction is given in [24]. |
| Method | Software and Calculations Used |
|---|---|
| EDX | Software supplied with the EDX system (Oxford Instruments, Abingdon-on-Thames, England) for calculation of wt.% of chemical elements from the EDX spectra. |
| EBSD | Software supplied with the EBSD attachment (Oxford Instruments, Abingdon-on-Thames, England) for construction of EBSD maps; grain size, grain aspect ratio, and grain boundary misorientation angle distribution histograms; and dependences of the relative area occupied by grains on their size. |
| XRD | Program EVA [38] supplied with the X-ray diffractometer for obtaining the XRD reflection parameters (observed Bragg angle 2θBobs, observed full width at half maximum (FWHM) FWHM, and maximum (Imax) and integral (Iint) intensities of XRD reflection); the same program EVA coupled with the Powder Diffraction File-2 (PDF-2) [39] database for crystalline phase identification (X-ray phase-analysis); program Celsiz [40] for the calculation of unit cell parameters of crystalline phases (cubic unit cell parameter a for Al) using the known Miller indices hkl of the XRD reflections and their Bragg angles 2θB corrected for zero shift and displacement (angular corrections, see [25,27]); program SizeCr [41] for determination of XRD reflection type from the ratio of FWHM and integral breadth Bint = Iint/Imax of XRD reflections and calculation of microstructure parameters (mean crystallite size D and absolute value of mean microstrain εs, and also mean crystallite size D0 in case εs = 0) from the FWHMcorr (FWHM corrected to instrumental broadening) and 2θB (after angular corrections), using procedures of the Williamson–Hall plot (WHP) [25,41,42] and size–strain plot (SSP) [25,41,43] for the reflections of pseudo-Voigt (pV) type [44] observed in recorded XRD patterns. The XRD mass density ρX estimated from the structural data and penetration depth Tpen of X-rays are calculated using known formulas (see [25] and paper text below). |
| Densitometry | Software supplied with the EDX system Shimadzu AUW 120D analytical balance with a SMK-301 hydrostatic weighing attachment (Shimadzu Corporation, Kyoto, Japan). The equation used in the software for calculation of integral mass density ρ, using hydrostatic weighing method, is shown in Section S2 of Supplementary Materials and in [26]. |
| Acoustic-resonance | Young’s modulus (also known as elasticity modulus) E is recalculated from measured resonance frequency f at each value of vibrational strain amplitude ε applied, integral mass density ρ, and length l of the samples; vibrational stresses σ are calculated from E and applied vibrational strain amplitude ε according to Hooke’s law. The nonlinear inelastic strain εd is recalculated from ε and amplitude-dependent part of variation of E. The necessary formulas [45] are presented in [24,25,26,27]. |
| Sample | O | Al | Si | P | S | Cl | K | Fe | Cu | Zn |
|---|---|---|---|---|---|---|---|---|---|---|
| Long side of wire (outer) | ||||||||||
| N0_W-A a | 7.80 | 90.13 | – | – | 1.01 | 1.06 | – | – | – | – |
| N1_W-A | 37.01 | 60.08 | – | – | 1.09 | – | 0.49 | 1.33 | – | – |
| N2_W-A | 36.51 | 58.00 | – | – | 1.24 | 0.77 | 0.56 | 2.92 | – | – |
| N3_W-A | 26.58 | 68.02 | – | – | 0.99 | 0.93 | 0.47 | 3.01 | – | – |
| N1_W-C | 54.83 | 14.84 | 10.81 | 2.16 | 2.86 | – | 1.38 | 13.12 | – | – |
| N2_W-C | 53.58 | 12.78 | 9.89 | 2.34 | 1.06 | – | 0.94 | 17.32 | – | 2.09 |
| N3_W-C | 50.03 | 31.49 | 9.67 | – | 1.87 | – | 0.76 | 6.18 | – | – |
| N0_C-W | 19.29 | 0.99 | – | – | – | – | – | 4.28 | – | 75.44 |
| N1_C-W | 35.79 | 4.77 | 1.65 | – | 1.24 | – | – | 40.39 | 0.10 | 16.06 |
| N2_C-W | 48.18 | – | 5.73 | – | 0.75 | – | 0.71 | 34.82 | 0.27 | 9.54 |
| N3_C-W | 42.43 | 11.35 | 4.37 | – | 1.95 | 0.80 | 0.68 | 13.92 | – | 24.50 |
| Cross-section of wire (inner) | ||||||||||
| N0_W | 2.09 | 97.91 | – | – | – | – | – | – | – | – |
| N1_W | 2.06 | 97.94 | – | – | – | – | – | – | – | – |
| N2_W | 2.19 | 97.81 | – | – | – | – | – | – | – | – |
| N3_W | 1.99 | 98.01 | – | – | – | – | – | – | – | – |
| N0_C | 0.70 | – | 0.16 | – | – | – | – | 99.14 | – | – |
| N1_C | 0.76 | – | 0.22 | – | – | – | – | 99.02 | – | – |
| N2_C | 0.72 | – | 0.21 | – | – | – | – | 99.07 | – | – |
| N3_C | 0.77 | – | 0.25 | – | – | – | – | 98.98 | – | – |
| Parameter | Aluminum Wire (W) | Steel Wire of Core (C) | ||||
|---|---|---|---|---|---|---|
| Center | W-A | W-C | Center | C-W | C-W(2) | |
| <Dgrain> | Λ (1/2+, 1/4−) | Λ (1/2+) | Λ (1/2+) | W (1/4−, 1/2−) | VM (1/2−) | M (0/1−, 1/2−) |
| Srel | Λ (1/2+, 1/4−) | Λ (1/2+) | Λ (1/2+) | W (1/4−, 1/2−) | VM (1/2−) | M (0/1−, 1/2−) |
| <AR> | VB (0/1+) | V (1/2−) | V (1/2−) | M (0/1−, 1/4+) | W (0/1+, 1/2+) | W (0/1+, 1/2+) |
| fAR<3.2 | VM (1/2−) | VM (1/2−) | VM (1/4+, 0/1−) | M (1/4+, 1/2+) | Constant line | V (0/1+) |
| f=2 | W (0/1+) | V (1/2−, 0/1+) | W (1/4−, 1/2−) | W (1/4−, 1/2−) | W (1/4−) | ΛW (1/4−, 0/1−) |
| fLAGB | M (0/1−) | M (0/1−) | Λ (0/1−, 1/2+) | M (1/4+, 1/2+) | M (1/4+, 1/+) | M (1/4+, 1/2+) |
| fHAGB | ΛB (0/1−) | M (1/4+) | ΛB (1/2+, 1/4+) | M (1/4+) | M (1/4+, 0/1−) | M (1/4+, 0/1−) |
| <φmisLAGB> | W (0/1+) | W (1/4−) | VB (1/2−, 1/4−) | W (1/4−) | W (1/4−) | W (1/4−) |
| <φmisHAGB> | V (0/1+) | W (1/4−) | VB (1/2−, 1/4−) | VB (1/2−, 1/4−) | V (0/1+, 1/4+) | VM (1/2−, 1/4+) |
| <φmis> | W (0/1+) | W (1/4−) | ΛW (1/2+, 0/1+) | W (1/4−) | W (0/1+, 1/4−) | W (1/4−) |
| Imax022/Imax111 | W (0/1+) | W (1/4−) | VB (1/2−, 1/4−) | W (0/1−) | W (1/4−) | W (1/4−) |
| Imax002/Imax022 | – a | ΛW (1/2+) | V (0/1+) | – a | – a | – a |
| a | – a | M (0/1−) | Λ (0/1−, 1/4−) | – a | – a | – a |
| ρX | – a | W (0/1+) | W (1/4−, 0/1+) | – a | – a | – a |
| D | – a | M (0/1−) | M (1/4+, 0/1−) | – a | – a | – a |
| εs | – a | M (1/4+) | ΛB (1/2+, 1/4+) | – a | – a | – a |
| Ldis b | – a | M (1/4+) | Λ (1/2+, 1/4+) | – a | – a | – a |
| ρ | – a | M (1/4+) | Λ (1/2+, 1/4+) | – a | – a | – a |
| E | ΛW (1/4−, 0/1−) c | – a | – a | Λ (0/1−) c | – a | – a |
| δi | ΛW (1/4−, 1/2+) c | – a | – a | Λ (0/1−) c | – a | – a |
| σs | Λ (1/2+, 1/4+) c | – a | – a | VB (1/2−, 1/4−) c | – a | – a |
Disclaimer/Publisher’s Note: The statements, opinions and data contained in all publications are solely those of the individual author(s) and contributor(s) and not of MDPI and/or the editor(s). MDPI and/or the editor(s) disclaim responsibility for any injury to people or property resulting from any ideas, methods, instructions or products referred to in the content. |
© 2023 by the authors. Licensee MDPI, Basel, Switzerland. This article is an open access article distributed under the terms and conditions of the Creative Commons Attribution (CC BY) license (https://creativecommons.org/licenses/by/4.0/).
Share and Cite
Levin, A.A.; Panfilov, A.G.; Lihachev, A.I.; Narykova, M.V.; Kardashev, B.K.; Kadomtsev, A.G.; Prasolov, N.D.; Sokolov, R.V.; Brunkov, P.N.; Sultanov, M.M.; et al. Characteristics of Wires of the Long-Operated Aluminum-Steel Cable at Different Places on an Overhead Power Line Span. Crystals 2023, 13, 1253. https://doi.org/10.3390/cryst13081253
Levin AA, Panfilov AG, Lihachev AI, Narykova MV, Kardashev BK, Kadomtsev AG, Prasolov ND, Sokolov RV, Brunkov PN, Sultanov MM, et al. Characteristics of Wires of the Long-Operated Aluminum-Steel Cable at Different Places on an Overhead Power Line Span. Crystals. 2023; 13(8):1253. https://doi.org/10.3390/cryst13081253
Chicago/Turabian StyleLevin, Aleksandr A., Andrei G. Panfilov, Alexey I. Lihachev, Maria V. Narykova, Boris K. Kardashev, Andrej G. Kadomtsev, Nikita D. Prasolov, Roman V. Sokolov, Pavel N. Brunkov, Makhsud M. Sultanov, and et al. 2023. "Characteristics of Wires of the Long-Operated Aluminum-Steel Cable at Different Places on an Overhead Power Line Span" Crystals 13, no. 8: 1253. https://doi.org/10.3390/cryst13081253
APA StyleLevin, A. A., Panfilov, A. G., Lihachev, A. I., Narykova, M. V., Kardashev, B. K., Kadomtsev, A. G., Prasolov, N. D., Sokolov, R. V., Brunkov, P. N., Sultanov, M. M., Kul’kov, V. G., Boldyrev, I. A., & Norov, D. S. (2023). Characteristics of Wires of the Long-Operated Aluminum-Steel Cable at Different Places on an Overhead Power Line Span. Crystals, 13(8), 1253. https://doi.org/10.3390/cryst13081253

