Collective Relaxation Processes in Nonchiral Nematics
Abstract
1. Introduction
2. Materials and Methods
3. Results and Discussions
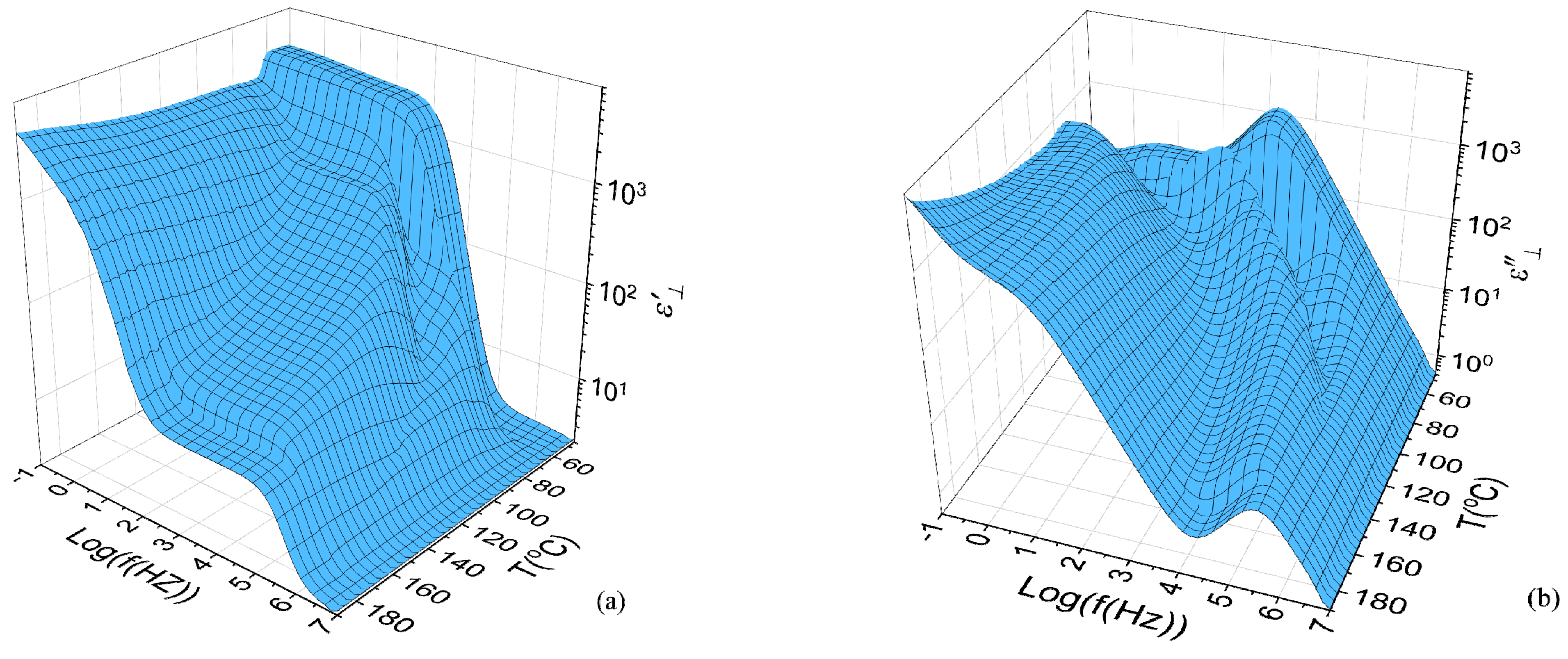
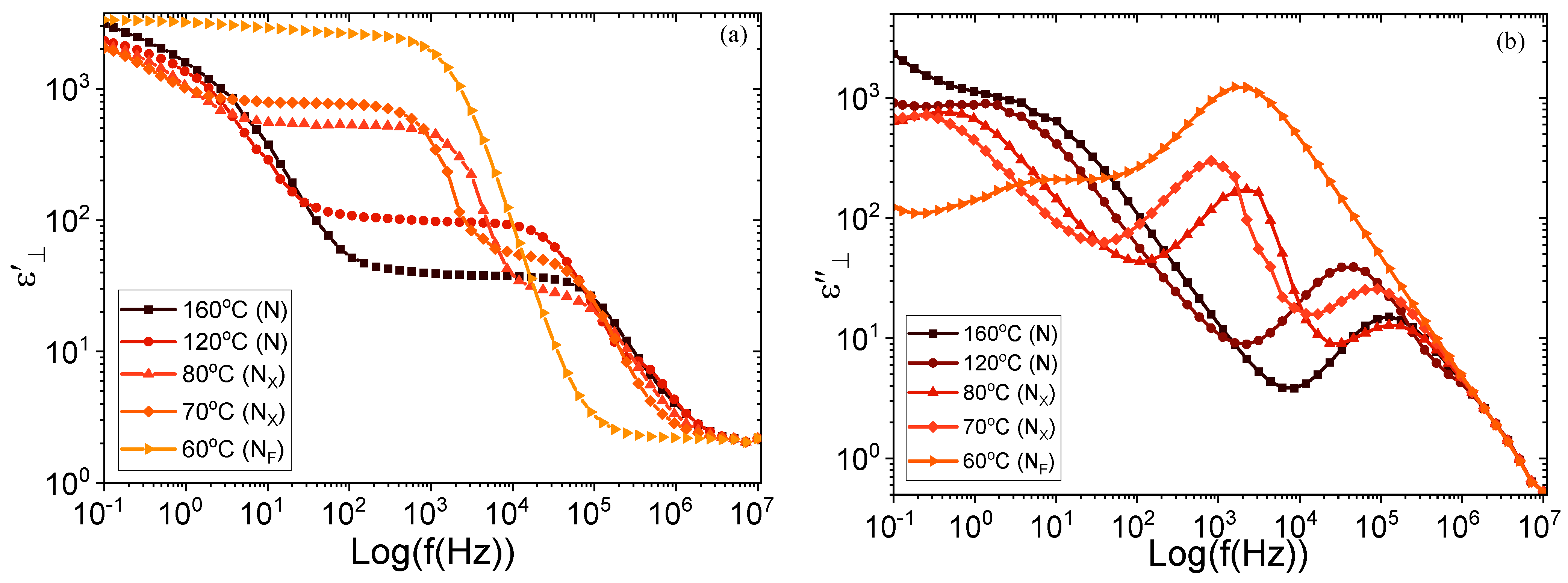
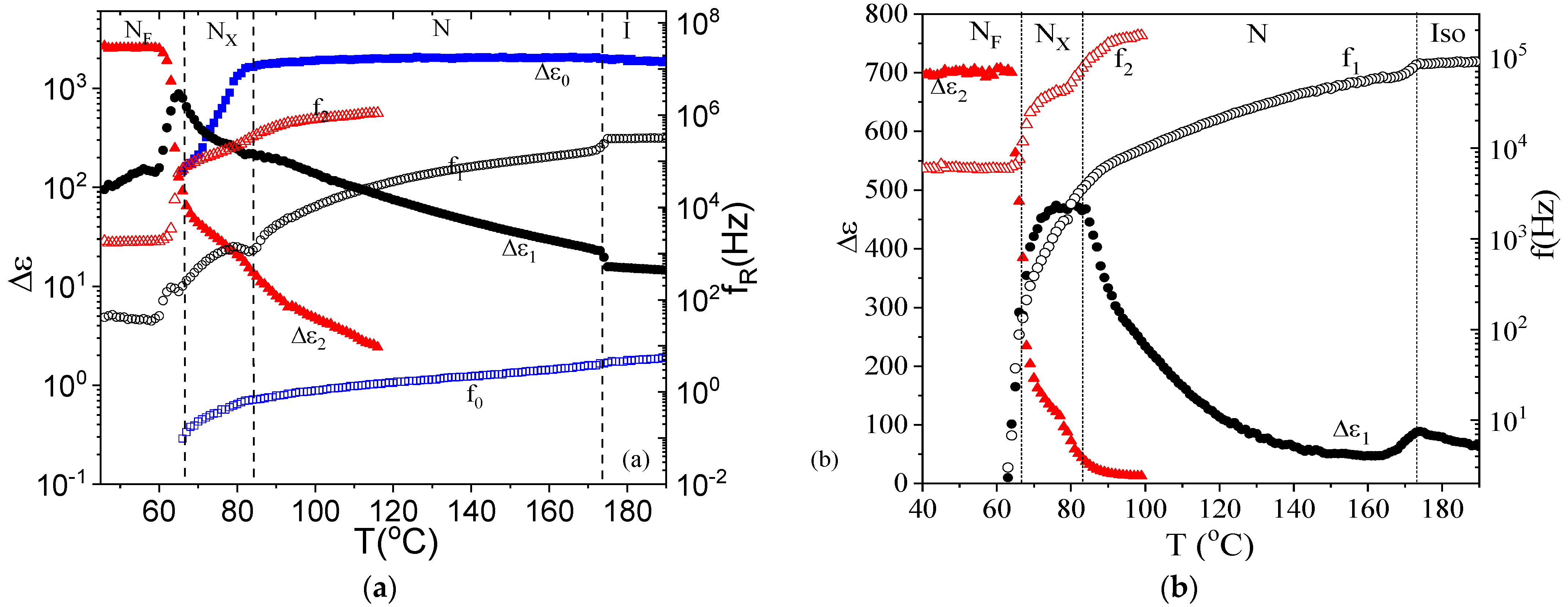
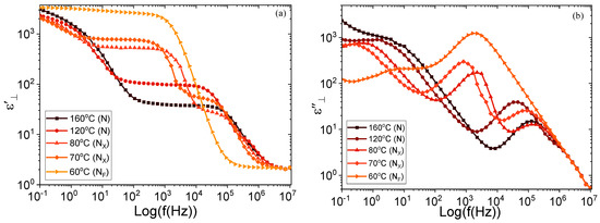
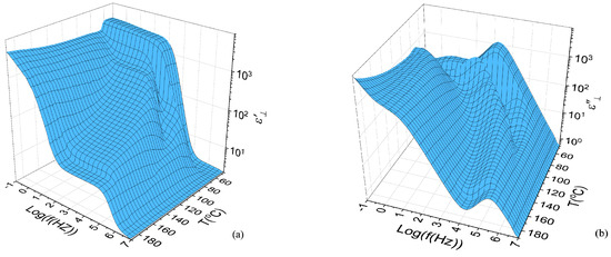
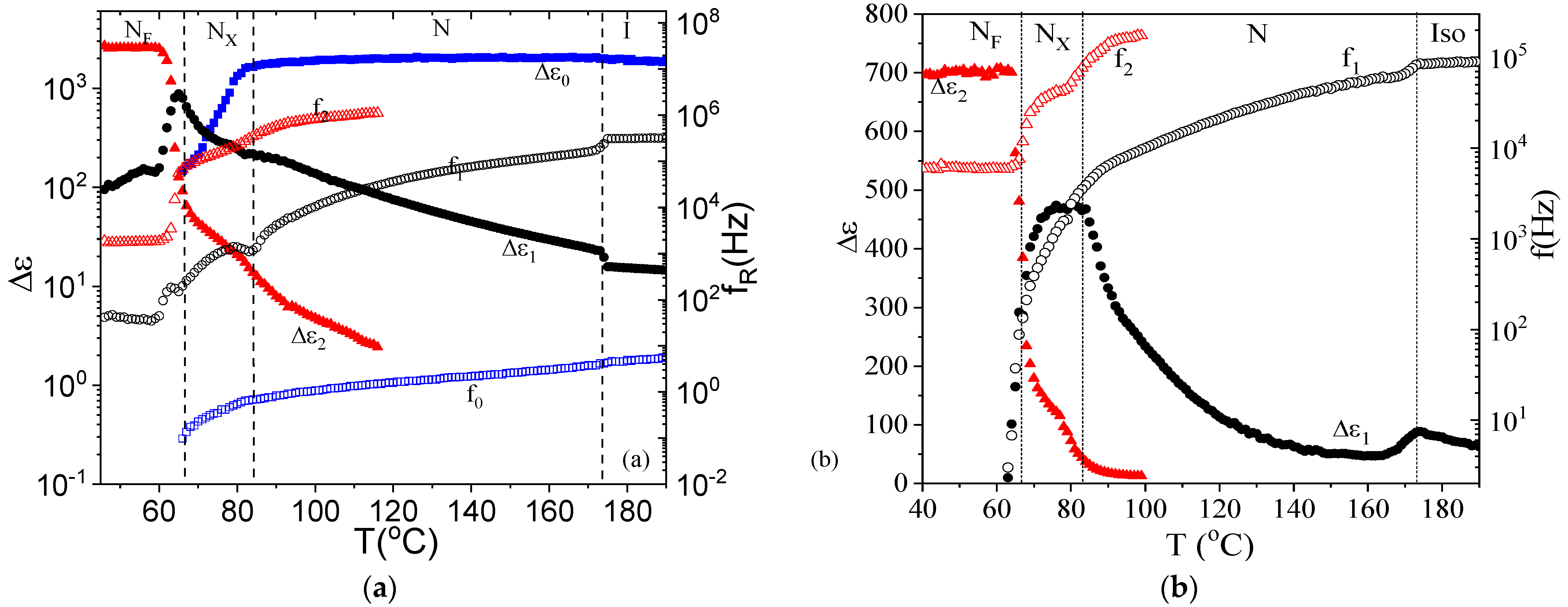
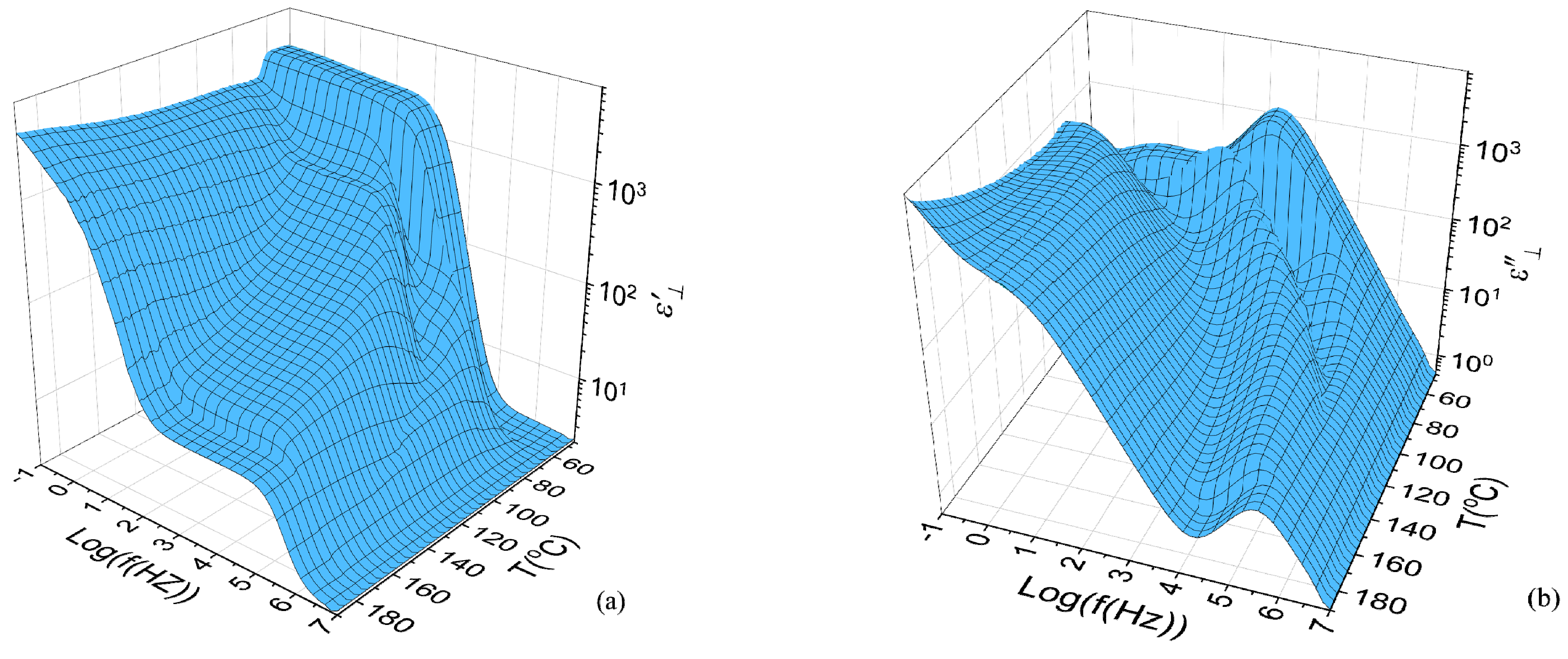
- Two collective relaxation processes are observed in the high-temperature paraelectric nematic phases in contrast to those in an ordinary nematic phase. The relaxation processes are termed as P1 and P2 in order of the increase in the relaxation frequency and specified by the subscripts 1 and 2.
- The DC conductivity (mode P0 in Figure 5a) in a planar-aligned cell is predominant. This gives the impression to the readers that the permittivity in the paraelectric nematic phases is also very high. However, on a careful examination and from subtracting the conductivity term from the spectra, the real value of the permittivity obtained is less in the paraelectric phases and it jumps to a higher value in the NF phase (Figure 5a). Additionally, it is pertinent to mention here that ‘dielectric parameters of the two main relaxation processes’ are not affected by the conductivity.
- An extremely large value of the permittivity (~3000) was deduced from the fitting of the dielectric spectra to Equation (1) (Figure 4, parametersplotted in Figure 5a). Generally, the spectra are recorded using LC cells fabricated by sandwiching two glass substrates, having an ITO layer on each inside surface of the substrate and each surface coated by different polymers, depending on the alignment needed. The surface treatment by an aligning agent, which is polymerized on keeping the substrates in the oven for a fixed time, is a crucial step in obtaining an almost perfect alignment. Without it, one cannot be certain of the molecular alignment achieved, especially in an opaque cell, with electrodes made from a metal. In cells with the surface treatment, the total capacitance of the experimental cell depends on the relative values of the capacitance of the liquid crystalline sample (CLC) and of the two alignment layers (CP). For details on the extremely large dielectric permittivity of the confined material, see Clark et al. [28]; for CLC > CP, the measured capacitance is the capacitance of the two polymer layers connected in series with CLC. The measured value approximates to the capacitance of the aligning layers if CLC >> CP, and hence, the measured value of the permittivity in the NF phase is erroneous. Nevertheless, in the present study, as stated above, we focus on to the collective relaxation processes in the higher temperature paraelectric phases, where the dielectric permittivity is reasonably low, and is therefore not limited by the capacitance of the alignment layers.
4. Conclusions
Author Contributions
Funding
Data Availability Statement
Acknowledgments
Conflicts of Interest
References
- Panov, V.P.; Balachandran, R.; Nagaraj, M.; Vij, J.K.; Tamba, M.G.; Kohlmeier, A.; Mehl, G.H. Microsecond linear optical response in the unusual nematic phase of achiral bimesogens. Appl. Phys. Lett. 2011, 99, 261903. [Google Scholar] [CrossRef]
- Debye, P. Einige Resultate einer kinetischen Theorie der Isolatoren. Phys. Z. 1912, 13, 97. [Google Scholar]
- Born, M. Über anisotrope Flüssigkeiten. Versuch einer Theorie der flüssigen Kristalle und des elektrischen Kerr-Effekts in Flüssigkeiten. Sitzungsber. Preuss. Akad Wiss. 1916, 30, 614. [Google Scholar]
- Nishikawa, H.; Shiroshita, K.; Higuchi, H.; Okumura, Y.; Haseba, Y.; Yamamoto, S.-I.; Sago, K.; Kuchi, H.K. A fluid liquid-crystal material with highly polar order. Adv. Mater. 2017, 29, 1702354. [Google Scholar] [CrossRef] [PubMed]
- Nishikawa, H.; Araoka, F. A New Class of Chiral Nematic Phase with Helical Polar Order. Adv. Mater. 2021, 2021, 2101305. [Google Scholar] [CrossRef]
- Li, J.; Nishikawa, H.; Kougo, J.; Zhou, J.; Dai, S.; Tang, W.; Zhao, X.; Hisai, Y.; Huang, M.; Aya, S. Development of ferroelectric nematic fluids with giant-ε dielectricity and nonlinear optical properties. Sci. Adv. 2021, 7, eabf5047. [Google Scholar] [CrossRef]
- Mandle, R.J.; Cowling, S.J.; Goodby, J.W. Rational design of rod-like liquid crystals exhibiting two nematic phases. Chem. A Eur. J. 2017, 23, 14554. [Google Scholar] [CrossRef]
- Mandle, R.J.; Cowling, S.J.; Goodby, J.W. A nematic to nematic transformation exhibited by a rod-like liquid crystal. Phys. Chem. Chem. Phys. 2017, 19, 11429–11435. [Google Scholar] [CrossRef]
- Mandle, R.J.; Cowling, S.J.; Goodby, J.W. Structural variants of RM734 in the design of splay nematic materials. Liq. Cryst. 2012, 48, 1780. [Google Scholar] [CrossRef]
- Mandle, R.J.; Sebastián, N.; Martinez-Perdiguero, J.; Mertelj, A. On the molecular origins of the ferroelectric splay nematic phase. Nat. Commun. 2021, 12, 4962. [Google Scholar] [CrossRef]
- Takezoe, H. Polar liquid crystals—Ferro, antiferro, banana, and columnar—. Mol. Cryst. Liq. Cryst. 2017, 646, 46. [Google Scholar] [CrossRef]
- Mertelj, A.; Cmok, L.; Sebastián, N.; Mandle, R.J.; Parker, R.R.; Whitwood, A.C.; Goodby, J.W.; Čopič, M. Splay Nematic Phase. Phys. Rev. X 2018, 8, 041025. [Google Scholar] [CrossRef]
- Sebastián, N.; Cmok, L.; Mandle, R.J.; de la Fuente, M.R.; Olenik, I.D.; Čopič, M.; Mertelj, A. Ferroelectric-ferroelastic phase transition in a nematic liquid crystal. Phys. Rev. Lett. 2020, 124, 037801. [Google Scholar] [CrossRef]
- Chen, X.; Korblova, E.; Dong, D.; Wei, X.; Shao, R.; Radzihovsky, L.; Glaser, M.A.; Maclennan, J.E.; Bedrov, D.; Walba, D.M.; et al. First-principles experimental demonstration of ferroelectricity in a thermotropic nematic liquid crystal: Polar domains and striking electrooptics. Proc. Natl. Acad. Sci. USA 2020, 117, 14021–14031. [Google Scholar] [CrossRef]
- Chen, X.; Martinez, V.; Korblova, E.; Freychet, G.; Zhernenkov, M.; Glaser, M.A.; Wang, C.; Zhu, C.; Radzihovsky, L.; Maclennan, J.E.; et al. The smectic ZA phase: Antiferroelectric smectic order as a prelude to the ferroelectric nematic. Proc. Natl. Acad. Sci. USA 2023, 120, e2217150120. [Google Scholar] [CrossRef]
- Zhao, X.; Zhou, J.; Li, J.; Kougo, J.; Wan, Z.; Huang, M.; Aya, S. Spontaneous helielectric nematic liquid crystals: Electric analog to helimagnets. Proc. Natl. Acad. Sci. USA 2021, 118, e2111101118. [Google Scholar] [CrossRef]
- Yadav, N.; Dhar, R. Impedance Spectroscopy. In Modern Techniques of Spectroscopy: Basics, Instrumentation and Applications, 1st ed.; Singh, D.K., Pradhan, M., Materny, A., Eds.; Springer: Singapore, 2021; pp. 515–540. [Google Scholar]
- Brown, S.; Cruickshank, E.; Storey, J.M.D.; Imrie, C.T.; Pociecha, D.; Majewska, M.; Makal, A.; Gorecka, E. Multiple polar and non-polar nematic phases. Chem. Phys. Chem. 2021, 22, 2506. [Google Scholar] [CrossRef]
- Yadav, N.; Kumar, S.; Dhar, R. Cadmium selenide quantum dots for the amelioration of the properties of a room temperature discotic liquid crystalline material. RSC Adv. 2015, 5, 78823–78832. [Google Scholar] [CrossRef]
- Uttam, R.; Yadav, N.; Kumar, S.; Dhar, R. Strengthening of columnar hexagonal phase of a room temperature discotic liquid crystalline material by using ferroelectric barium titanate nanoparticles. J. Mol. Liq. 2019, 294, 111609. [Google Scholar] [CrossRef]
- Panarin, Y.P.; Xu, H.; Mac Lughadha, S.T.; Vij, J.K.; Seed, A.J.; Hird, M.; Goodby, J.W. An investigation of the field-induced ferrielectric subphases in antiferroelectric liquid crystals. J. Phys. Condens. Mater. 1995, 7, L351. [Google Scholar] [CrossRef]
- Panarin, Y.P.; Kalmykov, Y.P.; Mac Lughadha, S.T.; Xu, H.; Vij, J.K. Dielectric Dielectric response of surface stabilized ferroelectric liquid crystal cells. Phys. Rev. E 1994, 50, 4763. [Google Scholar] [CrossRef] [PubMed]
- Sreenilayam, S.P.; Panarin, Y.P.; Vij, J.K.; Lehmann, A.; Poppe, M.; Tschierske, C. Development of ferroelectricity in the smectic phases of 4-cyanoresorcinol derived achiral bent-core liquid crystals with long terminal alkyl chains. Phys. Rev. Mater. 2017, 1, 035604. [Google Scholar] [CrossRef]
- Panarin, Y.P.; Kalinovskaya, O.E.; Vij, J.K. The investigation of the relaxation processes in antiferroelectric liquid crystals by broad band dielectric and electro-optic spectroscopy. Liq. Cryst. 1998, 25, 241. [Google Scholar] [CrossRef]
- Yadav, N.; Panov, V.P.; Swaminathan, V.; Sreenilayam, S.P.; Vij, J.K.; Perova, T.S.; Dhar, R.; Panov, A.; Rodriguez-Lojo, D.; Stevenson, P.J. Chiral smectic-A and smectic-C phases with de Vries characteristics. Phys. Rev. E 2017, 95, 062704. [Google Scholar] [CrossRef]
- Sreenilayam, S.P.; Panarin, Y.P.; Vij, J.K. Dielectric study of liquid crystals with large electroclinic effect. Mol. Cryst. Liq. Cryst. 2015, 610, 63. [Google Scholar] [CrossRef]
- Yadav, N.; Panarin, Y.P.; Vij, J.K.; Jiang, W.; Mehl, G.H. Two mechanisms for the formation of the ferronematic phase studied by dielectric spectroscopy. J. Mol. Liq. 2023, 378, 121570. [Google Scholar] [CrossRef]
- Clark, N.A.; Chen, X.; Maclennan, J.E.; Glaser, M.A. Dielectric spectroscopy of ferroelectric nematic liquid crystals: Measuring the capacitance of insulating interfacial layers. arXiv 2022, arXiv:2208.09784. [Google Scholar]
- Kocot, A.; Wrzalik, R.; Vij, J.K.; Brehmer, M.; Zentel, R. Dielectric and electro-optical studies of a ferroelectric copolysiloxane. Phys. Rev. B 1994, 50, 16346. [Google Scholar] [CrossRef]






Disclaimer/Publisher’s Note: The statements, opinions and data contained in all publications are solely those of the individual author(s) and contributor(s) and not of MDPI and/or the editor(s). MDPI and/or the editor(s) disclaim responsibility for any injury to people or property resulting from any ideas, methods, instructions or products referred to in the content. |
© 2023 by the authors. Licensee MDPI, Basel, Switzerland. This article is an open access article distributed under the terms and conditions of the Creative Commons Attribution (CC BY) license (https://creativecommons.org/licenses/by/4.0/).
Share and Cite
Yadav, N.; Panarin, Y.P.; Jiang, W.; Mehl, G.H.; Vij, J.K. Collective Relaxation Processes in Nonchiral Nematics. Crystals 2023, 13, 962. https://doi.org/10.3390/cryst13060962
Yadav N, Panarin YP, Jiang W, Mehl GH, Vij JK. Collective Relaxation Processes in Nonchiral Nematics. Crystals. 2023; 13(6):962. https://doi.org/10.3390/cryst13060962
Chicago/Turabian StyleYadav, Neelam, Yuri P. Panarin, Wanhe Jiang, Georg H. Mehl, and Jagdish K. Vij. 2023. "Collective Relaxation Processes in Nonchiral Nematics" Crystals 13, no. 6: 962. https://doi.org/10.3390/cryst13060962
APA StyleYadav, N., Panarin, Y. P., Jiang, W., Mehl, G. H., & Vij, J. K. (2023). Collective Relaxation Processes in Nonchiral Nematics. Crystals, 13(6), 962. https://doi.org/10.3390/cryst13060962

