Abstract
To study the deformation and fracture mechanism of 6061 aluminum alloy extruded pipe after secondary heat treatment under different stress triaxiality, a Johnson–Cook failure model was developed. Through the FEM method and SEM, the fracture mechanism of different types of aluminum alloy tensile specimens was analyzed. The research results show that the Johnson–Cook failure model could better simulate the tensile deformation of 6061 aluminum alloy specimens of different types, the parameters of the Johnson–Cook failure model were finally obtained D1 = 0.29, D2 = 1.356, and D3 = −2.567. With the increase of the stress triaxiality, the fracture strain showed a decreasing trend as a whole, and the fracture mechanism changed from a shear type to a hole aggregation type. The stress triaxiality gradually decreased with the increase of the notch radius/angles of the aluminum alloy notch specimen, and the stress triaxiality at the center of the notch was higher than the stress triaxiality at the root of the notch.
1. Introductions
Aluminum alloy material is a very promising material with high strength, corrosion resistance, and recyclability, and it is widely used in automobiles, ships, and other fields [1]. These alloys are easy to occur fracture failure when formed and subjected to dynamic loads. Therefore, it is imperative to seek the fracture characteristics of the material and establish its fracture model. On the basis of continuum medium mechanics and viscoplastic mechanics, Johnson and Cook established the Johnson–Cook constitutive model and failure model coupled with large deformation, high strain rate, and deformation temperature in 1985 [2]. When analyzing the void growth of materials under hydrostatic loading, scholars proposed that the Johnson–Cook failure model has an exponential dependence on stress triaxiality [3,4].To predict the failure behavior of aluminum alloy, it is crucial to build a fracture model and study the connection between fracture strain and stress triaxiality. Currently, the Johnson–Cook failure model is used mainly to characterize metal damage and fracture behavior, and many academics have paid extensive attention to the effect of stress triaxiality on the ductile fracture of metal materials. Rai et al. [5] used the J–C plasticity model to capture large strain, strain rate hardening, and fracture behavior during the impact of a 5083 aluminum alloy plate subjected to rigid projectiles of six different velocities. Wang et al. [6] established a Johnson–Cook failure model that considered the relationship between total damage strain, modified stress triaxiality, strain rate, and temperature, then verified the accuracy of the established model through ballistic impact tests. The research results of Senthil et al. [7] showed that the failure strain of 7075-T651 aluminum alloy increases with temperature and decreases with the decrease of stress triaxiality at the quasi-static strain rate. While at a high strain rate, the change of strain rate would not affect the flow stress and fracture behavior of the material. Chen et al. [8] obtained the average stress triaxiality and the equivalent plastic strain at fracture of the AA6082-T6 aluminum alloy through tensile tests and simulating techniques and calibrated the parameters of the Johnson–Cook failure model. Research findings showed that the calibrated Johnson–Cook failure model had higher accuracy in predicting the fracture behavior of the studied alloy, and high initial stress triaxiality may cause a tough fracture. Hu et al. [9] studied the effect of stress triaxiality and strain rate on the fracture strain behavior of ADC12 aluminum alloy by means of experiment and simulation; their results showed that with increasing stress triaxiality, the effective plastic strain at fracture decreases sharply at first and remains stable afterward. Meng et al. [10] studied the influence of mesh size on the Johnson–Cook failure model in numerical simulation and constructed a Johnson–Cook failure model considering element size. Feng et al. [11] established a tabular Johnson–Cook model to correct the plastic failure strain through strain rate and mesh size and more accurately simulated the dynamic tensile failure of 7075-T7351 aluminum alloy. Albande Vaucorbeil et al. [12] used a Total Lagrangian Material Point Method and Johnson–Cook damage criterion (a gradient-enhanced formulation) to study objective mesh simulation of metal large strain fracture. The result showed the mesh is independent consistent with previous findings and experiments. Greß et al. [13] analyzed the bonding strength and fracturing of integral and mixed structures of as-cast Al-Cu compounds and used the Johnson–Cook damage model to simulate the monolithic sample failure. Li et al. [14] transformed the parameters of the Johnson–Cook damage model in ABAQUS/Explicit and compared the simulation results with the experimental results to determine the Johnson–Cook damage model parameters that are most suitable for AISI 1045 steel metal cutting simulation. Their results showed that the various parameters of the model might lead to different simulation results. Khare et al. [15] determined the damage parameters of the Johnson–Cook failure model with the help of plate tensile tests and numerical simulation technology. Then the tensile test and software simulation was carried out on the notched specimen with a radius of 2 mm to 20 mm, which verified the accuracy of the obtained material parameters. Cao et al. [16] obtained damage parameters of Johnson–Cook failure model related to stress triaxiality through the tensile test of notched specimens. Wang et al. [17] analyzed the influence of stress triaxiality, temperature, and strain rate on the Fracture Characters of GH3536 material and then modified the Johnson–Cook fracture criterion. Patil et al. [18] exerted the Johnson–Cook failure model to predict the failure of the bumper manufactured by FSW (friction stir welding), which was consistent with the test results. Their research results provide guidance for accurate finite element modeling of two components manufactured by FSW. Their research results provide guidance for exact finite element modeling of two components made by FSW. The above research showed that the Johnson–Cook failure model could effectively depict the complex deformation behavior of metal alloys, and the stress triaxiality had a major impact on the plastic deformation and fracture behavior of metal materials. The parameters of the Johnson–Cook damage model are mainly obtained through static tensile tests, 2D digital image correlation (DIC) measurement method, and finite element simulation. Along with the expeditious development of the intelligent manufacturing industry, the Johnson–Cook damage model will find a wide utilization in the fields of metal material processing and forming process, and the damage mechanism of metal materials under concentrated loading conditions remains to be studied. In addition, the deformation and fracture criterion of 6061 aluminum alloy after reheat treatment under different stress triaxiality is relatively less studied. The aim of the present study is to explore the deformation and fracture rules of 6061 aluminum alloy after reheat treatment under different stress triaxiality, analyze the fracture mechanism of different types of aluminum alloy tensile samples, and use the Johnson–Cook failure model to simulate the damage of the alloy in the tensile process and verify the correctness of the material characterization and the finite element simulation of the damage model
2. Materials and Methods
The material used in the experimental is 6061-T6 aluminum alloy extruded tube, whose chemical composition and mass fraction is (mass fraction,%): 0.52Si, 0.33Fe, 0.21Cu, 0.94Mn, 0.17Mg, 0.16Cr, 0.04Zn, 0.03Ti and Al bal. Since the equivalent plastic fracture strain of the 6061 aluminum alloy extruded tube is directly related to the stress state of the test piece, the stress triaxiality is selected by way of the characterization parameter of the stress state in the experiment, and the aluminum alloy tensile test specimen including circular arc sample, shear sample, arc-shaped notched sample, and V-shaped notched sample are cut follow the axis of the extruded tube according to the Figure 1, Figure 2, Figure 3 and Figure 4 in the reference [19]. According to the heat treatment test and tensile test adopted in the literature [19], we have obtained the true stress-strain curves of different types of 6061 aluminum alloy tensile samples, as shown in Figure 1.
Figure 1.
True stress-strain curves of 6061 aluminum alloy sample. (a) Circular arc tensile sample. (b) Arc-shaped notched tension sample. (c) V-shaped notched tensile sample.
Figure 2.
Finite element model of 6061 aluminum alloy tensile samples. (a) Circular arc tensile sample. (b) Shear sample. (c) Arc-shaped notched tension sample R = 8 mm. (d) V-shaped notched tensile sample α = 90°.
Figure 3.
Contrast the simulated curves with experimental curves without considering the damage.
Figure 4.
The flow chart for determining material plastic parameters of finite element model of 6061 aluminum alloy shear sample, arc-shaped notched sample, and V-shaped notched sample.
3. Numerical Simulation of Damage Behavior of 6061 Aluminum Alloy
Since the failure strain and the equivalent fracture strain cannot be completely equal, when a certain point of the material reaches the critical damage value, it does not mean that the workpiece will fracture. Therefore, to obtain an accurate stress triaxiality value, the strain path, strain accumulation, and the spatial distribution effect on the smallest section must be considered comprehensively. At present, there is no analytical formula to solve stress triaxiality, and the complex relationship between stress triaxiality and the equivalent strain cannot be obtained by experimental methods. To obtain the influence law of the damage behavior of 6061 aluminum alloy specimens during different stress conditions, it was necessary to take advantage of finite element analysis to define the stress triaxiality distribution at the fracture position of the aluminum alloy samples during the tensile process.
3.1. Finite Element Model of 6061 Aluminum Alloy Tensile Sample
Considering the strong nonlinear solving ability of ABAQUS finite element software, the entire stretching process of 6061 aluminum alloy samples in the experiment was solved and analyzed by means of the commercial software ABAQUS/Explicit. Given the exact dimension, finite element calculation time, and accuracy of the 6061 aluminum alloy tensile samples, the hourglass-controlled 8-node reduced integration element C3DR8 is used to divide the mesh, as shown in Figure 2. The global sizes and local sizes of the grid element of the arc sample are set at 5 mm and 1 mm, respectively. The overall sizes and local sizes of the notched sample are set at 3 mm and 0.5 mm, respectively. Fix one side of the finite element model of the aluminum alloy tensile part, and couple the two surfaces on the other side to the reference point, set the same load conditions as the tensile experiment, and apply the acceleration load at the coupling point. Based on the relative displacement difference between the two reference points in the gauge length segment, and the reaction force at the coupling point, the load-displacement curve during the process of the tensile experiment of the aluminum alloy sample is finally acquired.
3.2. Tensile Stress-Strain Curve
The ABAQUS finite element software is devoted to simulating the tensile deformation of circular arc samples, which belongs to the large deformation problem considering the damage. At this time, the input real stress-effective plastic strain needs to be epitaxially processed [20]. Due to the good mechanical properties of the 6061 aluminum alloy tube under heat treatment conditions, when the true strain was between 0 and 0.43088, the epitaxial curve only needs to be close to the true stress-strain curve of the experiment. When the true strain was greater than 0.4388, it corresponds to the highest point of the engineering stress-strain curve. Use this point as the starting point of the extension curve.
The height of the epitaxial curve depends on the error between the load force-displacement curve gained by the numerical simulation of the tensile deformation test of the arc sample and the experimental curve without considering the damage. After repeated tests, when the highest point of the epitaxial curve of the 6061 aluminum alloy is 58 MP higher than the true stress-strain curve of the experiment, the true stress-strain curve and the load force-displacement curve obtained by numerical simulation of the tensile deformation of arc sample was in good agreement with the experimental curve, as shown in Figure 3.
The true stress-strain data of the circular arc sample gained in the tensile experiment was used as the constitutive input of the shear sample, arc-shaped notched sample, and V-shaped notched sample, and ABAQUS finite element software was devoted to simulating the tensile deformation of 6061 aluminum alloy specimens under different stress conditions, and the load force-displacement curves of the gauge length section of the samples in the simulation results were extracted and compared with the tensile experimental curves. If the error between the simulation curve and the experimental curve is large, the true stress-strain curve needs to be corrected according to the flow chart shown in Figure 4 until the numerical simulation results and the test results are within a reasonable error range. If the error between the simulation curve and the experimental curve is small, which shows that the established tensile finite element model and the constitutive parameters of the material were reasonable, and the material constitutive parameters could be devoted to characterize the tensile deformation behavior of the aluminum alloy materials.
Through simulating the tensile deformation of 6061 aluminum alloy samples under different stress conditions, the load force-displacement curve of the gauge length section of the aluminum alloy sample is exported and compared with the tensile experimental curve is shown in Figure 5.
Figure 5.
Comparison of load force-displacement curves between experimental and simulated tensile samples. (a) Shear sample. (b) Circular arc tensile sample. (c) Arc-shaped notched tension sample R = 8 mm. (d) V-shaped notched tensile sample α = 90°.
On the basis of the comparison between the test load force-displacement curve and the simulated curve of the 6061 aluminum alloy tensile sample shown in Figure 5, it is obvious that the load force-displacement curve obtained by finite element simulation of the aluminum alloy shear sample, circular arc sample, arc-shaped notched sample, and V-shaped notched sample generally agreed with the experimental load force-displacement curve. Because the material damage and fracture criterion was not added in the tensile numerical simulation of the sample, the fracture failure behavior of the material could not be simulated, and there was no descending section in the load force-displacement curve obtained by the simulation.
3.3. Variation of Stress Triaxiality during Tension
Through numerical simulation of the tension process of 6061 aluminum alloy samples, the equivalent plastic strain cloud diagram and stress triaxiality distribution nephogram corresponding to the minimum cross-section of the aluminum alloy sample is gained, as shown in Figure 6.


Figure 6.
Equivalent strain and triaxiality stress program of the 6061 aluminum alloy samples. (a) Shear sample. (b) Circular arc tensile sample. (c) Arc-shaped notched tension sample. (d) V-shaped notched tensile sample.
On the basis of the equivalent plastic strain and stress triaxiality nephogram of the 6061 aluminum alloy tensile specimen shown in Figure 6, we can know that the stress state of the tensile specimen had a significant effect on the fracture strain. It is obvious from Figure 6a that the distribution of equivalent plastic strain on the smallest cross-section of the shear sample was quite different, and the stress triaxiality on the smallest cross-section was the same. It is obvious from Figure 6b that the equivalent plastic strain and stress triaxiality of aluminum alloy circular arc samples were uniformly distributed on the smallest cross-sectional area. It is obvious from Figure 6c that the stress triaxiality at the root of the arc-shaped notched sample is the smallest, and the stress triaxiality near the center is larger, and the stress triaxiality decreases gradually with the increase of the notch radius. The equivalent plastic strain of the aluminum alloy arc-shaped notched sample was the largest at the edge of the notch, and the smaller it was closer to the center. It is obvious from Figure 6d that the stress triaxiality at the minimum fracture surface of the V-shaped notched sample changed with the increase of the equivalent plastic strain, and the stress triaxiality at the center part was higher than that at the edge of the notch. As the notch angle increased, the stress triaxiality of the aluminum alloy specimen showed a decreasing trend; the equivalent plastic strain of the V-shaped notched sample was the largest at the edge of the notch, and the closer it was to the center part. Based on the above analysis, it can be seen that as the stress triaxiality decreases, the equivalent plastic strain at fracture becomes larger.
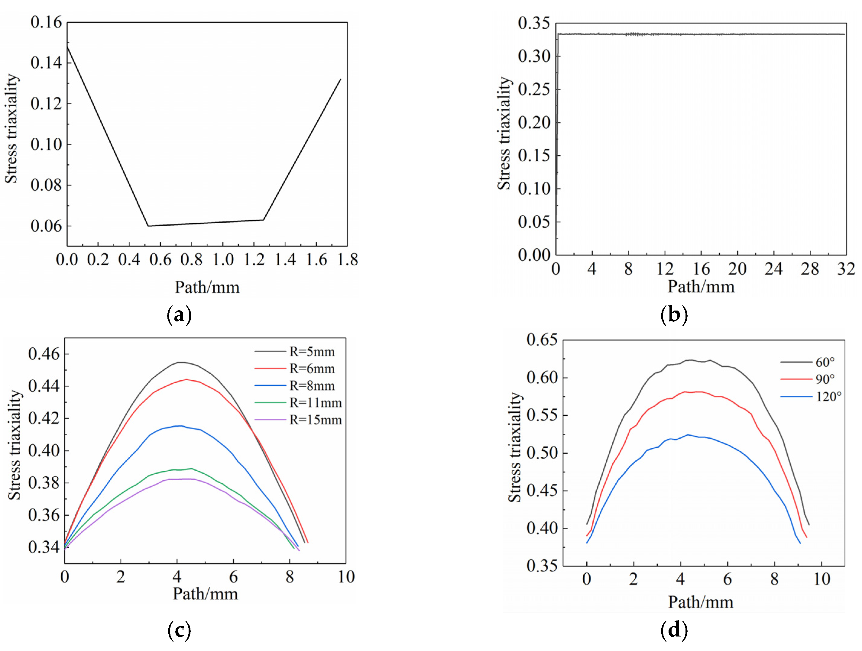
The stress triaxiality distribution on the minimum cross-section path of the 6061 aluminum alloy tensile samples during different stress conditions was shown in Figure 7, and the corresponding maximum stress triaxiality on the minimum cross-section of aluminum alloy tensile specimen was shown in Table 1.
Figure 7.
Stress triaxiality distribution of 6061 aluminum alloy tensile sample. (a) Shear sample. (b) Circular arc tensile sample. (c) Arc-shaped notched tension sample. (d) V-shaped notched tensile sample.
Table 1.
Stress triaxiality of the tensile sample.
Based upon the stress triaxiality distribution on the minimum cross-sectional path of the 6061 aluminum alloy tensile specimens shown in Figure 7, from that, we know the stress triaxiality of different types of aluminum alloy specimens changes during the tensile process. It is obvious from Figure 7a that the stress triaxiality of the minimum cross-section of the 6061 aluminum alloy shear sample was between 0.06 and 0.15, which belongs to the low-stress triaxiality range. It is obvious from Figure 7b that for the circular arc sample, the shape was regular and the necking phenomenon was not obvious during the stretching process, and the stress triaxiality on the minimum fracture surface was maintained at 0.333, the distribution was relatively consistent, and the fracture strain was 0.441. It is obvious from Figure 7c that the stress triaxiality of the arc-shaped notched sample was unevenly distributed on the smallest cross-section, and the stress triaxiality on the fracture surface was approximately between 0.34 and 0.454. When the notch radii increases the stress triaxiality of the arc notch sample gradually decreases. For aluminum alloy samples with different notch radii, the stress triaxiality at the root of the notch was significantly lower than the stress triaxiality at the center of the notch area. It is obvious from Figure 7d that the stress triaxiality of the 6061 aluminum alloy V-shaped notched sample was between 0.38 and 0.574. For aluminum alloy samples with different notch angles, the stress triaxiality at the root of the notch was the same, about 0.38, while the stress triaxiality at the edge of the notch was lower than the stress triaxiality at the center of the notch area. When the notch angle increases, the stress triaxiality of the aluminum alloy sample gradually decreases.
4. Johnson–Cook Failure Model and Parameter Fitting
4.1. Introduction to Johnson–Cook Failure Model
The Johnson–Cook fracture failure model was based on the law of material cavity growth and damage evolution and considers the impact of stress triaxiality, strain rate strengthening, and temperature softening, with the following expression [2]:
where (1): was the equivalent fracture strain; is the stress triaxiality, that is, the ratio of the hydrostatic pressure σm to the equivalent stress σeq; is the strain rate; is the temperature correction term; D1, D2, D3, D4, and D5 are damage model constants. The equivalent fracture strain under the influence of , temperature and strain rate can be obtained from the experiment.
At room temperature, regardless of the impact of temperature and strain rate, Formula (1) can be rewritten as follow:
Equation (2) describes the relationship between the fracture strain of the material and the stress triaxiality. Through the fracture strain and stress triaxiality of the 6061 aluminum alloy samples under three different stress states, then D1, D2, and D3 of the Johnson–Cook failure model can be obtained.
4.2. Johnson–Cook Failure Model Parameter Fitting
For the circular arc sample, the fracture position is at the center point, the stress triaxiality is 0.333, and the fracture strain was 0.441. For the shear sample, arc-shaped notched sample, and V-shaped notched sample, it was hard to accurately determine the location of fracture initiation during the tensile test. According to the tensile test results of different types of 6061 aluminum alloy notched samples, the fracture of the aluminum alloy samples all occurred in the middle of the notch. Therefore, the stress triaxiality and equivalent fracture strain at the center point of the notched sample were found through the numerical simulation of the tensile test, and then the triaxiality and equivalent plasticity strain of the samples under three different stress states were obtained, and finally fit the parameters D1, D2, and D3 in the Johnson–Cook failure model. Based on these parameters, the tensile process of the arc specimen was simulated, and D1, D2, and D3 are continuously adjusted to make the fracture length of the simulated output of the circular arc specimen consistent with the experimental results.
Based on these parameters, the tensile process of the circular arc specimen is simulated, and D1, D2, and D3 are continuously adjusted, so that the fracture length of the consistent with the test results.
After repeated simulation and calculation, the Johnson–Cook fracture failure model of the studied alloy is finally obtained as follows:
4.3. Simulation Results
Numerical simulation of different types of 6061 aluminum alloy samples is executed through Johnson–Cook failure model and the output load force-displacement curve of the aluminum alloy sample gauge length section is compared with the experimental curve, as shown in Figure 8.

Figure 8.
Comparison of experimental and numerical load force-displacement curves by Johnson–Cook failure model. (a) Circular arc tensile sample. (b) Shear sample. (c) R = 5 mm. (d) R = 6 mm. (e) R = 8 mm. (f) R = 11 mm. (g) R = 15 mm. (h) α = 60°. (i) α = 90°. (j) α = 120°.
Based on the comparison of the simulated load force-displacement curve and experimental curve of 6061 aluminum alloy samples during different stress conditions shown in Figure 8, which indicates that the Johnson–Cook failure model has high accuracy in predicting the fracture displacement of shear specimens and circular arc specimens in the medium and low-stress triaxiality range.
5. Damage Microstructure of 6061 Aluminum Alloy
To further analyze the influence of different stress conditions on the fracture behavior of 6061 aluminum alloy specimens, the fracture morphology of the tensile specimens was microscopically analyzed by scanning electron microscope, as shown in Figure 9.

Figure 9.
The microfracture morphology of SEM for different tension samples. (a) Circular arc tensile sample. (b) Shear sample. (c) R = 5 mm. (d) R = 8 mm. (e) R = 15 mm. (f) α = 60°. (g) α = 90°. (h) α = 120°.
According to the SEM micro-fracture morphology of 6061 aluminum alloy samples during different stress conditions shown in Figure 9, it can be seen that there were significant differences in the micro-fracture characteristics of the studied alloy during different stress conditions. Figure 9a shows the fracture morphology of the circular arc sample. The dimples on the section were relatively shallow, and the shape was mostly elliptical, with a large number of dimples, and its second phase particles were founded in the dimples. From that, we can know circular arc specimen belongs to ductile fracture, which was mainly affected by tensile stress. Figure 9b shows the fracture morphology of the shear sample, which was mainly composed of a quantity of fine shear surfaces and a small amount of discrete dimples. The stress triaxiality of the shear specimen was relatively low, the equivalent plastic strain was relatively large, the driving force for the growth of micropores was small, and the number of dimples at the fracture was small, which was mainly composed of a large number of shear planes. This indicated that the aluminum alloy shear specimens were mainly fractured under the action of shearing force, and the effects of hole nucleation, aggregation, and connection were less. Its fracture mechanism was a "microporous polymerization" mixed shear mechanism, in which the shear mechanism was dominant. Figure 9c shows the fracture morphology of an arc-shaped notched sample with R = 5 mm, which was mainly composed of dimples with a larger number and smaller size. The depth of the dimples was shallow, and the second phase particles were visible in the dimples. Figure 9d shows the fracture morphology of an arc-shaped notched sample with R = 8 mm. The dimple size in the fracture was small, the number of dimples was large, the depth of dimples was deep, and the secondary phase particles were able to see in the dimples. Figure 9e shows the fracture morphology of an arc-shaped notched sample with R = 15 mm which was mainly composed of dimples of different sizes. The large dimples were covered with small dimples; the large dimple depth was deep, while the small dimple depth was shallow. Secondary phase particles can be seen in the dimples. Figure 9f shows the fracture morphology of a V-shaped notched sample with α = 60°. The section was mainly composed of dimples of different sizes, with a large number of dimples. Figure 9g shows the fracture morphology of a V-shaped notched sample with α = 90°. The section was full of dimples of different sizes, and there were an amount of secondary phase particles in the dimples. Figure 9h shows the fracture morphology of a V-shaped notched sample with α = 120°. The dimples were polymerized and connected to the section. The dimples were large in size, large in number, and deep in-depth, and the secondary phase particles were able to see in the dimples.
Comparing the fracture morphology of 6061 aluminum alloy in Figure 9c–e, from that, we can know the fracture morphology of aluminum alloy samples with different notch radii had significant differences in the number, size, and shape of dimples. When the notch radius increases from R = 5 mm to R = 15 mm, the number of dimples at the fracture increases first and then decreases, while the size of dimples decreases first and then increases. This is mainly because the stress triaxiality distribution at the minimum cross-section of the aluminum alloy circular notch specimen is different, the stress triaxiality at the notched edge is low, and the aluminum alloy specimen slides and deforms under the action of shear stress, and finally forms a shear dimple. The depth of the dimple mainly depends on the plastic deformation capacity of the material. With the increase of notch radius from R = 5 mm to R = 15 mm, the stress triaxiality of the aluminum alloy sample gradually decreases, and the plastic deformation capacity of the material gradually increases. Therefore, the depth of the dimple on the fracture surface of the circular notch specimen gradually increases. The fracture mechanism of aluminum alloy circular arc specimens with different notch radii is a microporous damage evolution mechanism. For the aluminum alloy specimen with R = 5 mm, due to the high-stress triaxiality, the stronger the tensile stress is, which is conducive to the polymerization and connection between micropores in the material. For the aluminum alloy specimen with R= 8 mm, the number of dimples at the fracture is the largest, and the size of dimples is small, which is not conducive to the polymerization and connection between micropores. For the aluminum alloy sample with R = 15 mm, the size of dimples at the fracture begins to increase, and the number of dimples begins to decrease, which indicates that the pores of the specimen have gathered, connected, and evolved.
Investigating the tensile fracture morphology of the studied alloy in Figure 9f–h indicated that the fracture morphology of aluminum alloy with different notch angles had great differences in the number, size, and depth of dimples. Along with the notch angle increasing, the quantity of dimples at the fracture of the aluminum alloy specimens increased first and then decreased, while the size of the dimples first decreased and then increased. In conclusion, different stress states had significant effects on the fracture mechanism of 6061 aluminum alloy specimens. With the decrease of triaxial stress, the fracture mechanism of the studied alloy specimen was dominated by “microporous polymerization” fracture and gradually transformed into a “microporous polymerization” mixed shear mechanism.
6. Conclusions
- (1)
- Different stress conditions had significant effects on the fracture strain of the 6061 aluminum alloy specimen. As the stress triaxiality increases, the fracture strain shows a decreasing trend as a whole.
- (2)
- The stress triaxiality of 6061 aluminum alloy gradually decreases with the increase of the arc notch radius/notch angle. For aluminum alloy specimens with different notch radius/ notch angles, the stress triaxiality at the edge of the notch was significantly lower than that at the center of the notch area.
- (3)
- With the increase of deformation, the number of dimples at the fracture was increased, the second phase particles could be seen in the dimples, and the fracture mechanism of the 6061 aluminum alloy arc sample was a ductile fracture. While 6061 aluminum alloy arc-shaped notched samples and V-shaped notched samples had higher stress triaxiality on the smallest cross-section, and the fracture mechanism was micro-hole damage fracture. For the shear specimen, the stress triaxiality on the fracture surface was lower, the fracture mechanism was a shear type, there were very few dimples on the fracture surface, and the fracture surface was mainly covered by shear bands.
- (4)
- After repeated simulation and calculation, the parameters of the Johnson–Cook failure model of 6061 aluminum alloy was finally obtained as follows: D1 = 0.29, D2 = 1.356, and D3 = −2.567. Based on the parameters of the Johnson–Cook failure model, by contrasting the experimental load force-displacement curve and the simulated load force-displacement curve, it can be seen that the motioned Johnson–Cook failure model has high prediction accuracy for the fracture displacement of shear samples and smooth samples whose stress state is in the range of medium and low-stress triaxiality at fracture.
Author Contributions
Conceptualization, F.D. and T.H.; methodology, Q.Z.; software, H.Z.; validation, T.H., H.Z. and Q.Z.; formal analysis, J.W.; investigation, F.C.; resources, Q.Z.; data curation, T.H.; writing—original draft preparation, F.D.; writing—review and editing, J.W.; visualization, H.Z.; supervision, F.C.; project administration,.; funding acquisition, F.D. All authors have read and agreed to the published version of the manuscript.
Funding
This research was funded by Talent introduction project of Anhui University of science and technology (No. RCYJ202105); 2021 School-level Quality Engineering Project of Anhui Science and Technology University: (No. X2021081); University Collaborative Innovation Project of Anhui Province: Research and development and application of new self-propelled straw baler: (No. GXXT-2019-021); The major projects of Natural Science Research in Colleges and Universities in Anhui Province: Research and development of equipment and system for intelligent picking of eggplant and fruit vegetables and fruits: (No. KJ2021ZD0110); Design and Key Technology Research of TFT Silicon Ultrafine Powder Automatic Complete Equipment (No. 880839); Design and Key Technology Research of Multi-parameter Intelligent Control Instrument Junction Box (No. tzy202218); Traditional Professional Transformation and Upgrading (No. Xj2021015); First-class Textbook Construction Project (new edition) (Xj2021062); Implementation Strategies and Safeguard Measures for Strengthening Course Process Assessment From the Perspective of Professional Certification (No. X2021017); The Reform and Practice of Cultivation of Industrial and Agricultural Compound Applied Mechanical Talents with “dual integration, three education in one, and four links” (No. X2021110) and Reform and Practice of “One Type and Six Modernizations” Practical Teaching System (X2021113). “The APC was funded by Talent introduction project of Anhui University of science and technology (No. RCYJ202105)”.
Institutional Review Board Statement
Not applicable.
Informed Consent Statement
Not applicable.
Data Availability Statement
All data, models, and code generated or used during the study appear in the submitted article.
Conflicts of Interest
All authors declare no conflict of interest.
References
- Kim, K.J. Characterization of Automotive Cast Alloys for Interior & Exterior Parts of High Speed Train. Trans. KSME 2018, 42, 637–642. [Google Scholar]
- Johnson, G.R.; Cook, W.H. Fracture characteristics of three metals subjected to various strains, strain rates, temperatures and pressures. Eng. Fract. Mech. 1985, 21, 31–48. [Google Scholar] [CrossRef]
- McClintock, F.A. A criterion for ductile fracture by the growth of holes. J. Appl. Mech. 1968, 35, 363–371. [Google Scholar] [CrossRef]
- Rice, J.R.; Tracey, D.M. On the ductile enlargement of voids in triaxial stress fields. J. Mech. Phys. Solids 1969, 17, 201–217. [Google Scholar] [CrossRef]
- Rai, R.; Kumar, G.; Dagar, S.; Somashekar, V.; Mboreha, C.A.; Modi, P. Numerical simulation of ballistic impact on aluminium 5083-H116 plate with Johnson cook plasticity model. Mater. Today: Proc. 2021, 46, 10619–10627. [Google Scholar] [CrossRef]
- Wang, C.; Suo, T.; Li, Y.; Xue, P.; Tang, Z. A New Experimental and Numerical Framework for Determining of Revised J-C Failure Parameters. Metals 2018, 8, 396. [Google Scholar] [CrossRef]
- Senthil, K.; Iqbal, M.A.; Chandel, P.S.; Gupta, N.K. Study of the constitutive behavior of 7075-T651 aluminum alloy. Int. J. Impact Eng. 2017, 108, 171–190. [Google Scholar] [CrossRef]
- Chen, X.; Peng, Y.; Peng, S.; Yao, S.; Chen, C.; Xu, P. Flow and fracture behavior of aluminum alloy 6082-T6 at different tensile strain rates and triaxialities. PLoS ONE 2017, 12, e0181983. [Google Scholar] [CrossRef] [PubMed]
- Hu, Y.; Xiao, Y.; Jin, X.; Zheng, H.; Zhou, Y.; Shao, J. Experiments and FEM simulations of fracture behaviors for ADC12 aluminum alloy under impact load. Met. Mater. Int. 2016, 22, 1015–1025. [Google Scholar] [CrossRef]
- Meng, L.; Cheng, Y.; Zhang, L.; Wang, H.; Wang, J.; Liu, J. Influence of strain rate and stress triaxiality on the dynamic mechanical behavior of Q345B steel. J. Ship Mech. 2019, 23, 1210–1220. [Google Scholar]
- Feng, Z.; Li, H.; Liu, Y.; Jie, J.; Mao, H.; Hui, X.; Shu, W. Comparison of Constitutive and Failure Models of 7075-T7351 Alloy at Intermediate and Low Strain Rates. Mater. Rev. 2020, 34, 12088–12093. [Google Scholar]
- de Vaucorbeil, A.; Nguyen, V.P.; Mandal, T.K. Mesh objective simulations of large strain ductile fracture: A new nonlocal Johnson-Cook damage formulation for the Total Lagrangian Material Point Method. Comput. Methods Appl. Mech. Eng. 2022, 389, 114388. [Google Scholar] [CrossRef]
- Gress, T.; Gruber, M.; Stahl, J.; Wittmann, S.; Steinlehner, F.; Nardi, V.G.; Tonn, B.; Volk, W. Experimental and numerical investigations into the deformation and fracture behavior of intermetallics and base materials in as-cast Al-Cu compounds. Mater. Today Commun. 2020, 25, 101278. [Google Scholar] [CrossRef]
- Sun, Y.; Li, G.; He, Z.; Kong, X. Numerical Analysis of Johnson-Cook Damage Model Parameters Effects on the Cutting Simulation of AISI 1045. Recent Pat. Eng. 2022, 16, 74–85. [Google Scholar]
- Khare, S.; Kumar, K.; Choudhary, S.; Singh, P.K.; Verma, R.K.; Mahajan, P. Determination of Johnson—Cook Material Parameters for Armour Plate Using DIC and FEM. Met. Mater. Int. 2020, 27, 4984–4995. [Google Scholar] [CrossRef]
- Cao, Y.; Zhen, Y.; Song, M.; Yi, H.; Li, F.; Li, X. Determination of Johnson-Cook parameters and evaluation of Charpy impact test performance for X80 pipeline steel. Int. J. Mech. Sci. 2020, 179, 105627. [Google Scholar] [CrossRef]
- Wang, J.; Hu, X.; Yuan, K.; Meng, W.; Li, P. Impact resistance prediction of superalloy honeycomb using modified Johnson-Cook constitutive model and fracture criterion. Int. J. Impact Eng. 2020, 131, 66–77. [Google Scholar] [CrossRef]
- Patil, S.; Tay, Y.Y.; Baratzadeh, F.; Lankarani, H. Modeling of friction-stir butt-welds and its application in automotive bumper impact performance Part 1. Thermo-mechanical weld process modeling. J. Mech. Sci. Technol. 2018, 32, 2569–2575. [Google Scholar] [CrossRef]
- Ding, F.; Hong, T.; Xu, Y.; Jia, X. Prediction of Fracture Behavior of 6061 Aluminum Alloy Based on GTN Model. Materials 2022, 15, 3212. [Google Scholar] [CrossRef] [PubMed]
- Lv, K. Study on Hot Stamping Formability of High Strength Steel Based on GTN Damage Model. Master’s Thesis, Jilin University, Changchun, China, 2016. [Google Scholar]
Disclaimer/Publisher’s Note: The statements, opinions and data contained in all publications are solely those of the individual author(s) and contributor(s) and not of MDPI and/or the editor(s). MDPI and/or the editor(s) disclaim responsibility for any injury to people or property resulting from any ideas, methods, instructions or products referred to in the content. |
© 2023 by the authors. Licensee MDPI, Basel, Switzerland. This article is an open access article distributed under the terms and conditions of the Creative Commons Attribution (CC BY) license (https://creativecommons.org/licenses/by/4.0/).












