Fragment Screening in the Development of a Novel Anti-Malarial
Abstract
:1. Introduction
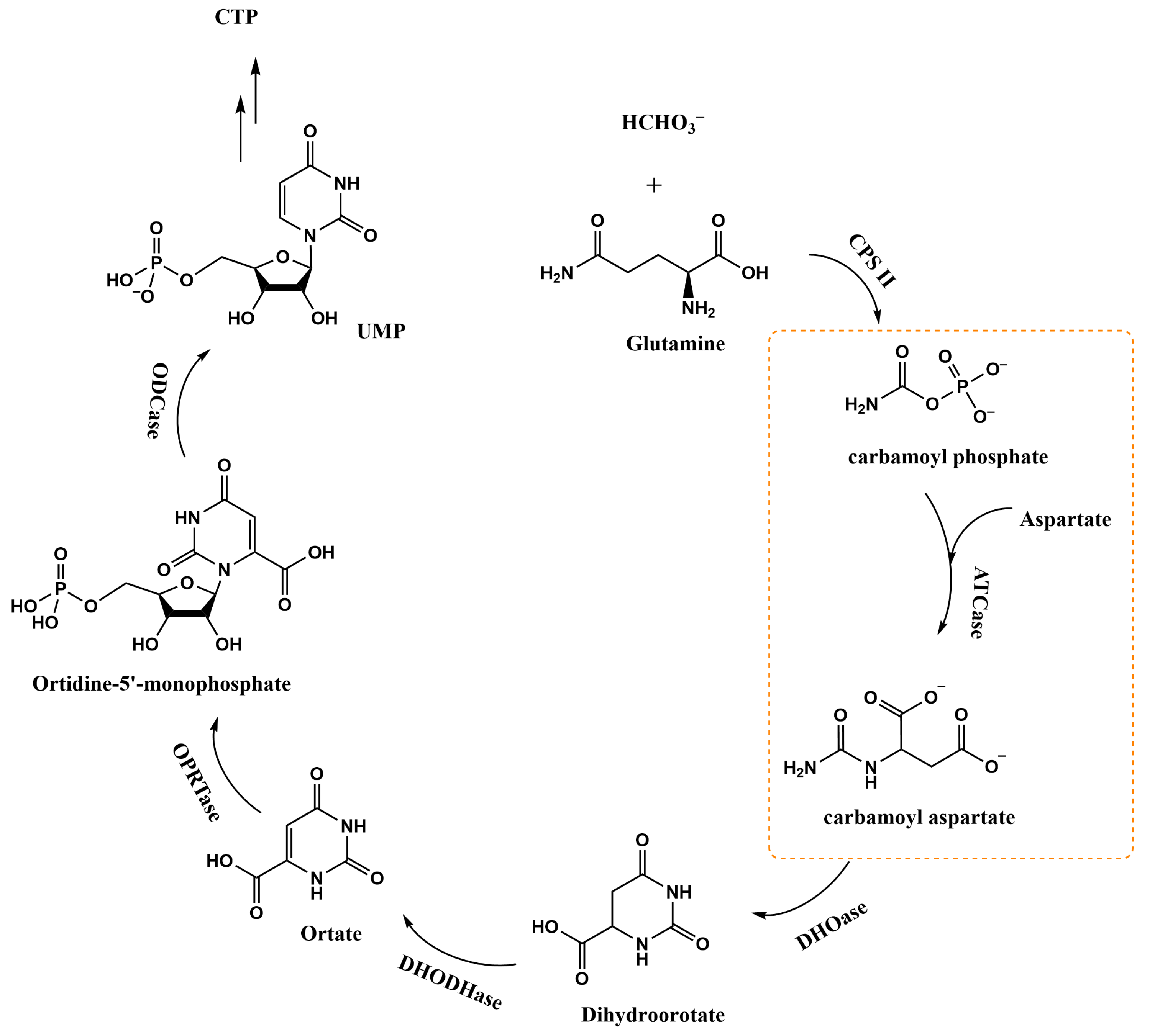
2. Pyrimidine Biosynthesis as a Malarial Target
3. The Structure of PfATCase

4. The Active Site of PfATCase
5. Mechanism of PfATCase
6. Fragment Screening of PfATCase
7. Drug Candidate Design of PfATCase
8. Conclusions
9. Patents
Author Contributions
Funding
Data Availability Statement
Conflicts of Interest
References
- Abola, E.; Kuhn, P.; Earnest, T.; Stevens, R.C. Automation of X-ray crystallography. Nat. Struct. Mol. Biol. 2000, 7, 973–977. [Google Scholar] [CrossRef]
- Barends, T.R.; Foucar, L.; Botha, S.; Doak, R.B.; Shoeman, R.L.; Nass, K.; Koglin, J.E.; Williams, G.J.; Boutet, S.; Messerschmidt, M.; et al. De novo protein crystal structure determination from X-ray free-electron laser data. Nature 2014, 505, 244–247. [Google Scholar] [CrossRef]
- Bustamant, C.; Rivetti, C. Visualizing protein-nucleic acid interactions on a large scale with the scanning force microscope. Annu. Rev. Biophys. Bilmol Struct. 1996, 25, 395–429. [Google Scholar] [CrossRef]
- Polyakov, K.M.; Gavryushov, S.; Ivanova, S.; Fedorova, T.V.; Glazunova, O.A.; Popov, A.N.; Koroleva, O.V. Structural study of the X-ray-induced enzymatic reduction of molecular oxygen to water by Steccherinum murashkinskyi laccase: Insights into the reaction mechanism. Acta Crystallogr. D Struct. Biol. 2017, 73, 388–401. [Google Scholar] [CrossRef]
- Han, Z.; Pinkner, J.S.; Ford, B.; Obermann, R.; Nolan, W.; Wildman, S.A.; Hobbs, D.; Ellenberger, T.; Cusumano, C.K.; Hultgren, S.J.; et al. Structure-Based Drug Design and Optimization of Mannoside Bacterial FimH Antagonists. J. Med. Chem. 2010, 53, 4779–4792. [Google Scholar] [CrossRef]
- Adams, M.D.; Dubnick, M.; Kerlavage, A.R.; Moreno, R.; Kelley, J.M.; Utterback, T.R.; Nagle, J.W.; Fields, C.; Venter, J.C. Sequence identification of 2375 human brain genes. Nature 1992, 355, 632–634. [Google Scholar] [CrossRef]
- Schamhart, D.; Westerhof, A. Strategies for gene cloning. Urol. Res. 1999, 27, 83–96. [Google Scholar] [CrossRef]
- Bervillier, C. Status of the differential transformation method. Appl. Math. Comput. 2012, 218, 10158–10170. [Google Scholar] [CrossRef]
- Eivazzadeh-Keihan, R.; Bahreinizad, H.; Amiri, Z.; Aliabadi HA, M.; Salimi-Bani, M.; Nakisa, A.; Davoodi, F.; Tahmasebi, B.; Ahmadpour, F.; Radinekiyan, F.; et al. Functionalized magnetic nanoparticles for the separation and purification of proteins and peptides. TrAC Trends Anal. Chem. 2021, 141, 116291. [Google Scholar] [CrossRef]
- Lima, F.A.; Saleta, M.E.; Pagliuca, R.J.; Eleoterio, M.A.; Reis, R.D.; Fonseca, J., Jr.; Meyer, B.; Bittar, E.M.; Souza-Neto, N.M.; Granado, E. XDS: A flexible beamline for X-ray diffraction and spectroscopy at the Brazilian synchrotron. J. Synchrotron Radiat. 2016, 23, 1538–1549. [Google Scholar] [CrossRef]
- Minor, W.; Cymborowski, M.; Otwinowski, Z.; Chruszcz, M. HKL-3000: The integration of data reduction and structure solution--from diffraction images to an initial model in minutes. Acta Crystallogr. D Biol. Crystallogr. 2006, 62, 859–866. [Google Scholar] [CrossRef]
- Sheldrick, G.M. A short history of SHELX. Acta Crystallogr. A 2008, 64, 112–122. [Google Scholar] [CrossRef]
- Clabbers MT, B.; Gruene, T.; Parkhurst, J.M.; Abrahams, J.P.; Waterman, D.G. Electron diffraction data processing with DIALS. Acta Crystallogr. D Struct. Biol. 2018, 74, 506–518. [Google Scholar] [CrossRef]
- Adams, P.D.; Afonine, P.V.; Bunkoczi, G.; Chen, V.B.; Davis, I.W.; Echols, N.; Headd, J.J.; Hung, L.W.; Kapral, G.J.; Grosse-Kunstleve, R.W.; et al. PHENIX: A comprehensive Python-based system for macromolecular structure solution. Acta Crystallogr. D Biol. Crystallogr. 2010, 66, 213–221. [Google Scholar] [CrossRef]
- Winn, M.D.; Ballard, C.C.; Cowtan, K.D.; Dodson, E.J.; Emsley, P.; Evans, P.R.; Keegan, R.M.; Krissinel, E.B.; Leslie, A.G.; McCoy, A.; et al. Overview of the CCP4 suite and current developments. Acta Crystallogr. D Biol. Crystallogr. 2011, 67, 235–242. [Google Scholar] [CrossRef]
- Pearce, N.M.; Krojer, T.; Bradley, A.R.; Collins, P.; Nowak, R.P.; Talon, R.; Marsden, B.D.; Kelm, S.; Shi, J.; Deane, C.M.; et al. A multi-crystal method for extracting obscured crystallographic states from conventionally uninterpretable electron density. Nat. Commun. 2017, 8, 15123. [Google Scholar] [CrossRef]
- Winter, G.; McAuley, K.E. Automated data collection for macromolecular crystallography. Methods 2011, 55, 81–93. [Google Scholar] [CrossRef]
- Cork, C.; O’Neill, J.; Taylor, J.; Earnest, T. Advanced beamline automation for biological crystallography experiments. Acta Crystallogr. D Biol. Crystallogr. 2006, 62, 852–858. [Google Scholar] [CrossRef]
- Cornaciu, I.; Bourgeas, R.; Hoffmann, G.; Dupeux, F.; Humm, A.S.; Mariaule, V.; Pica, A.; Clavel, D.; Seroul, G.; Murphy, P.; et al. The Automated Crystallography Pipelines at the EMBL HTX Facility in Grenoble. J. Vis. Exp. 2021, 172, e62491. [Google Scholar] [CrossRef]
- Pohl, E.; Ristau, U.; Gehrmann, T.; Jahn, D.; Robrahn, B.; Malthan, D.; Dobler, H.; Hermes, C. Automation of the EMBL Hamburg protein crystallography beamline BW7B. J. Synchrotron Radiat. 2004, 11, 372–377. [Google Scholar] [CrossRef]
- Diener, R.; Dreyling-Eschweiler, J.; Ehrlichmann, H.; Gregor, I.M.; Kötz, U.; Krämer, U.; Meyners, N.; Potylitsina-Kube, N.; Schütz, A.; Schütze, P.; et al. The DESY II test beam facility. Nucl. Instrum. Methods Phys. Res. Sect. A Accel. Spectrometers Detect. Assoc. Equip. 2019, 922, 265–286. [Google Scholar] [CrossRef]
- Santarsiero, B.D.; Yegian, D.T.; Lee, C.C.; Spraggon, G.; Gu, J.; Scheibe, D.; Uber, D.C.; Cornell, E.W.; Nordmeyer, R.A.; Kolbe, W.F.; et al. An approach to rapid protein crystallization using nanodroplets. J. Appl. Cryst. 2002, 35, 278–281. [Google Scholar] [CrossRef]
- Bard, J.; Ercolani, K.; Svenson, K.; Olland, A.; Somers, W. Automated systems for protein crystallization. Methods 2004, 34, 329–347. [Google Scholar] [CrossRef]
- Qin, W.; Xie, S.X.; Zhang, J.; Zhao, D.; He, C.X.; Li, H.J.; Xing, L.; Li, P.Q.; Jin, X.; Yin, D.C.; et al. An Analysis on Commercial Screening Kits and Chemical Components in Biomacromolecular Crystallization Screening. Cryst. Res. Technol. 2019, 54, 1900076. [Google Scholar] [CrossRef]
- Blundell, T.L.; Patel, S. High-throughput X-ray crystallography for drug discovery. Curr. Opin. Pharmacol. 2004, 4, 490–496. [Google Scholar] [CrossRef]
- D’Arcy, A.; Bergfors, T.; Cowan-Jacob, S.W.; Marsh, M. Microseed matrix screening for optimization in protein crystallization: What have we learned? Acta Crystallogr. F Struct. Biol. Commun. 2014, 70, 1117–1126. [Google Scholar] [CrossRef]
- Sugahara, M.; Shimizu, K.; Asada, Y.; Fukunishi, H.; Kodera, H.; Fujii, T.; Osada, E.; Kasazaki, T.; Sawada, T.; Chikusa, H.; et al. Autolabo: An automated system for ligand-soaking experiments with protein crystals. J. Appl. Crystallogr. 2010, 43, 940–944. [Google Scholar] [CrossRef]
- Till, M.; Robson, A.; Byrne, M.J.; Nair, A.V.; Kolek, S.A.; Shaw Stewart, P.D.; Race, P.R. Improving the success rate of protein crystallization by random microseed matrix screening. J. Vis. Exp. 2013, 78, e50548. [Google Scholar] [CrossRef]
- Deller, M.C.; Rupp, B. Approaches to automated protein crystal harvesting. Acta Crystallogr. F Struct. Biol. Commun. 2014, 70, 133–155. [Google Scholar] [CrossRef]
- Collier, A.C.; Coombs, R.W.; Schoenfeld, D.A.; Bassett, R.L.; Timpone, J.; Baruch, A.; Jones, M.; Facey, K.; Whitacre, C.; McAuliffe, V.J.; et al. Treatment of human immunodeficiency virus infection with saquinavir, zidovudine, and zalcitabine. AIDS Clinical Trials Group. N. Engl. J. Med. 1996, 334, 1011–1081. [Google Scholar] [CrossRef]
- Krohn, A.; Redshaw, S.; Ritchie, J.C.; Graves, B.J.; Hatada, M.H. Novel binding mode of highly potent HIV-proteinase inhibitors incorporating the (R)-hydroxyethylamine isostere. J. Med. Chem. 1991, 34, 3340–3342. [Google Scholar] [CrossRef]
- Ertmer, A.; Huber, V.; Gilch, S.; Yoshimori, T.; Erfle, V.; Duyster, J.; Elsasser, H.P.; Schatzl, H.M. The anticancer drug imatinib induces cellular autophagy. Leukemia 2007, 21, 936–942. [Google Scholar] [CrossRef]
- Druker, B.J.; Talpaz, M.; Resta, D.J.; Peng, B.; Buchdunger, E.; Ford, J.M.; Lydon, N.B.; Kantarjian, H.; Capdeville, R.; Ohno-Jones, S.; et al. Efficacy and safety of a specific inhibitor of the BCR-ABL tyrosine kinase in chronic myeloid leukemia. N. Engl. J. Med. 2001, 344, 1031–1037. [Google Scholar] [CrossRef]
- Rungrotmongkol, T.; Frecer, V.; De-Eknamkul, W.; Hannongbua, S.; Miertus, S. Design of oseltamivir analogs inhibiting neuraminidase of avian influenza virus H5N1. Antivir. Res. 2009, 82, 51–58. [Google Scholar] [CrossRef]
- Zelmer, A.; Carroll, P.; Andreu, N.; Hagens, K.; Mahlo, J.; Redinger, N.; Robertson, B.D.; Wiles, S.; Ward, T.H.; Parish, T.; et al. A new in vivo model to test anti-tuberculosis drugs using fluorescence imaging. J. Antimicrob. Chemother. 2012, 67, 1948–1960. [Google Scholar] [CrossRef]
- Ondetti, M.A.; Rubin, B.; Cushman, D.W. Design of Specific Inhibitors of Angiotensin-Converting Enzyme: New Class of Orally Active Antihypertensive Agents. Science 1977, 196, 441–444. [Google Scholar] [CrossRef]
- Castro, A.; Martinez, A. Peripheral and dual binding site acetylcholinesterase inhibitors: Implications in treatment of Alzheimer’s disease. Mini Rev. Med. Chem. 2001, 1, 267–272. [Google Scholar] [CrossRef]
- Taylor, P. Development of acetylcholinesterase inhibitors in the therapy of Alzheimer’s disease. Neurology 1998, 51, S30–S35. [Google Scholar] [CrossRef]
- Honarparvar, B.; Govender, T.; Maguire, G.E.; Soliman, M.E.; Kruger, H.G. Integrated approach to structure-based enzymatic drug design: Molecular modeling, spectroscopy, and experimental bioactivity. Chem. Rev. 2014, 114, 493–537. [Google Scholar] [CrossRef]
- Ciulli, A.; Abell, C. Fragment-based approaches to enzyme inhibition. Curr. Opin. Biotechnol. 2007, 18, 489–496. [Google Scholar] [CrossRef]
- Carnero, A. High throughput screening in drug discovery. Clin. Transl. Oncol. 2006, 8, 482–490. [Google Scholar] [CrossRef]
- Taoka, K.I.; Kawahara, I.; Shinya, S.; Harada, K.I.; Yamashita, E.; Shimatani, Z.; Furuita, K.; Muranaka, T.; Oyama, T.; Terada, R.; et al. Multifunctional chemical inhibitors of the florigen activation complex discovered by structure-based high-throughput screening. Plant J. 2022, 112, 1337–1349. [Google Scholar] [CrossRef]
- Wang, C.; Zhang, B.; Kruger, A.; Du, X.; Visser, L.; Domling AS, S.; Wrenger, C.; Groves, M.R. Discovery of Small-Molecule Allosteric Inhibitors of PfATC as Antimalarials. J. Am. Chem. Soc. 2022, 144, 19070–19077. [Google Scholar] [CrossRef]
- Zarganes-Tzitzikas, T.; Chandgude, A.L.; Domling, A. Multicomponent Reactions, Union of MCRs and Beyond. Chem. Rec. 2015, 15, 981–996. [Google Scholar] [CrossRef]
- Weber, L. The application of multi-component reactions in drug discovery. Curr. Med. Chem. 2002, 9, 2085–2093. [Google Scholar] [CrossRef]
- Ramachary, D.B.; Jain, S. Sequential one-pot combination of multi-component and multi-catalysis cascade reactions: An emerging technology in organic synthesis. Org. Biomol. Chem. 2011, 9, 1277–1300. [Google Scholar] [CrossRef]
- Gerald, N.; Mahajan, B.; Kumar, S. Mitosis in the human malaria parasite Plasmodium falciparum. Eukaryot. Cell. 2011, 10, 474–482. [Google Scholar] [CrossRef]
- Nara, T.; Hshimoto, T.; Aoki, T. Evolutionary implications of the mosaic pyrimidine-biosynthetic pathway in eukaryotes. Gene 2000, 257, 209–222. [Google Scholar] [CrossRef]
- Evans, D.R.; Guy, H.I. Mammalian pyrimidine biosynthesis: Fresh insights into an ancient pathway. J. Biol. Chem. 2004, 279, 33035–33038. [Google Scholar] [CrossRef]
- Reyes, P.; Rathod, P.K.; Sanchez, D.J.; Mrema JE, K.; Riechmann, K.H.; Heidrich, H.-G. Enzymes of purine and pyrimidine metabolism from the human malaria parasite, Plasmodium falciparum. Mol. Biochem. Parasitol. 1982, 5, 275–290. [Google Scholar] [CrossRef]
- Coteron, J.M.; Marco, M.; Esquivias, J.; Deng, X.; White, K.L.; White, J.; Koltun, M.; El Mazouni, F.; Kokkonda, S.; Katneni, K.; et al. Structure-guided lead optimization of triazolopyrimidine-ring substituents identifies potent Plasmodium falciparum dihydroorotate dehydrogenase inhibitors with clinical candidate potential. J. Med. Chem. 2011, 54, 5540–5561. [Google Scholar] [CrossRef]
- Gujjar, R.; El Mazouni, F.; White, K.L.; White, J.; Creason, S.; Shackleford, D.M.; Deng, X.; Charman, W.N.; Bathurst, I.; Burrows, J.; et al. Lead optimization of aryl and aralkyl amine-based triazolopyrimidine inhibitors of Plasmodium falciparum dihydroorotate dehydrogenase with antimalarial activity in mice. J. Med. Chem. 2011, 54, 3935–3949. [Google Scholar] [CrossRef]
- Du, X.; Sonawane, V.; Zhang, B.; Wang, C.; de Ruijter, B.; Domling AS, S.; Reiling, N.; Groves, M.R. Inhibitors of Aspartate Transcarbamoylase Inhibit Mycobacterium tuberculosis Growth. ChemMedChem 2023, 18, e202300279. [Google Scholar] [CrossRef]
- Gutteridge, W.E.; Gaborak, M. A re-examination of purine and pyrimidine synthesis in the three main forms of Trypanosoma cruzi. Int. J. Biochem. 1979, 10, 415–422. [Google Scholar] [CrossRef]
- Lunev, S.; Bosch, S.S.; Batista Fde, A.; Wrenger, C.; Groves, M.R. Crystal structure of truncated aspartate transcarbamoylase from Plasmodium falciparum. Acta Crystallogr. Sect. F Struct. Biol. Commun. 2016, 72, 523–533. [Google Scholar] [CrossRef]
- Lunev, S.; Bosch, S.S.; Batista, F.A.; Wang, C.; Li, J.; Linzke, M.; Kruithof, P.; Chamoun, G.; Domling AS, S.; Wrenger, C.; et al. Identification of a non-competitive inhibitor of Plasmodium falciparum aspartate transcarbamoylase. Biochem. Biophys. Res. Commun. 2018, 497, 835–842. [Google Scholar] [CrossRef]
- Lipscome, W.N.; Kantrowitz, E.R. Structure and Mechanisms of Escherichia coli Aspartate Transcarbamoylase. Acc. Chem. Res. 2012, 45, 444–453. [Google Scholar] [CrossRef]
- Rosignoli, S.; Paiardini, A. Boosting the Full Potential of PyMOL with Structural Biology Plugins. Biomolecules 2022, 12, 1764. [Google Scholar] [CrossRef]
- Bosch, S.S.; Lunev, S.; Batista, F.A.; Linzke, M.; Kronenberger, T.; Domling AS, S.; Groves, M.R.; Wrenger, C. Molecular Target Validation of Aspartate Transcarbamoylase from Plasmodium falciparum by Torin 2. ACS Infect. Dis. 2020, 6, 986–999. [Google Scholar] [CrossRef]
- Huang, J.; Lipscomb, W.N. Aspartate transcarbamylase (ATCase) of Escherichia coli: A new crystalline R-state bound to PALA, or to product analogues citrate and phosphate. Biochemistry 2004, 43, 6415–6421. [Google Scholar] [CrossRef]
- Stevens, R.C.; Gouaux, J.E.; Lipscomb, W.N. Structural Consequences of Effector Binding to the T State of Aspartate Carbamoyltransferase: Crystal Structures of the Unligated and ATP- and CTP-Complexed Enzymes at 2.6-Å Resolution. Biochemistry 1990, 29, 7691–7701. [Google Scholar] [CrossRef]
- Tiwari, K.; Dubey, V.K. Fresh insights into the pyrimidine metabolism in the trypanosomatids. Parasit. Vectors 2018, 11, 87. [Google Scholar] [CrossRef]
- Jia, Q.; Kou, K.-C.; Zhang, J.-Q.; Zhang, S.-J.; Xu, Y.-L. Study on the dissolution behaviors of CL-20/TNT co-crystal in N,N-dimethylformamide (DMF) and dimethyl sulfoxide (DMSO). J. Therm. Anal. Calorim. 2018, 134, 2375–2382. [Google Scholar] [CrossRef]
- Tanley, S.W.; Schreurs, A.M.; Kroon-Batenburg, L.M.; Meredith, J.; Prendergast, R.; Walsh, D.; Bryant, P.; Levy, C.; Helliwell, J.R. Structural studies of the effect that dimethyl sulfoxide (DMSO) has on cisplatin and carboplatin binding to histidine in a protein. Acta Crystallogr. D Biol. Crystallogr. 2012, 68, 601–612. [Google Scholar] [CrossRef]
- Wienen-Schmidt, B.; Oebbeke, M.; Ngo, K.; Heine, A.; Klebe, G. Two Methods, One Goal: Structural Differences between Cocrystallization and Crystal Soaking to Discover Ligand Binding Poses. ChemMedChem 2021, 16, 292–300. [Google Scholar] [CrossRef]
- Jouyban, A.; Fakhree, M.A.; Shayanfar, A. Solubility prediction methods for drug/drug like molecules. Recent. Pat. Chem. Eng. 2008, 1, 220–231. [Google Scholar] [CrossRef]
- Baker, M. Fragment-based lead discovery grows up. Nat. Rev. Drug Discov. 2013, 12, 5–7. [Google Scholar] [CrossRef]
- Kirsch, P.; Hartman, A.M.; Hirsch AK, H.; Empting, M. Concepts and Core Principles of Fragment-Based Drug Design. Molecules 2019, 24, 4309. [Google Scholar] [CrossRef]
- Smyth, M.S.; Martin, J.H.J. X ray crystallography. Mol. Pathol. 2000, 53, 8–14. [Google Scholar] [CrossRef]
- Wishart, D. NMR spectroscopy and protein structure determination: Applications to drug discovery and development. Curr. Pharm. Biotechnol. 2005, 6, 105–120. [Google Scholar] [CrossRef]
- Collins, F.S.; Patrinos, A.; Jordan, E.; Chakravarti, A.; Gesteland, R.; Walters, L.; Members of the DOE and NIH Planning Groups. New Goals for the U.S. Human Genome Project: 1998–2003. Science 1998, 282, 682–689. [Google Scholar] [CrossRef]
- Young, C.L.; Britton, Z.T.; Robinson, A.S. Recombinant protein expression and purification: A comprehensive review of affinity tags and microbial applications. Biotechnol. J. 2012, 7, 620–634. [Google Scholar] [CrossRef]
- Sánchez, R.; Pieper, U.; Melo, F.; Eswar, N.; Martí-Renom, M.A.; Madhusudhan, M.S.; Madhusudhan, M.S.; Mirković, N.; Šali, A. Protein structure modeling for structural genomics. Nat. Struct. Mol. Biol. 2000, 7, 986–990. [Google Scholar] [CrossRef]




Disclaimer/Publisher’s Note: The statements, opinions and data contained in all publications are solely those of the individual author(s) and contributor(s) and not of MDPI and/or the editor(s). MDPI and/or the editor(s) disclaim responsibility for any injury to people or property resulting from any ideas, methods, instructions or products referred to in the content. |
© 2023 by the authors. Licensee MDPI, Basel, Switzerland. This article is an open access article distributed under the terms and conditions of the Creative Commons Attribution (CC BY) license (https://creativecommons.org/licenses/by/4.0/).
Share and Cite
Du, X.; Zhang, R.; Groves, M.R. Fragment Screening in the Development of a Novel Anti-Malarial. Crystals 2023, 13, 1610. https://doi.org/10.3390/cryst13121610
Du X, Zhang R, Groves MR. Fragment Screening in the Development of a Novel Anti-Malarial. Crystals. 2023; 13(12):1610. https://doi.org/10.3390/cryst13121610
Chicago/Turabian StyleDu, Xiaochen, Ran Zhang, and Matthew R. Groves. 2023. "Fragment Screening in the Development of a Novel Anti-Malarial" Crystals 13, no. 12: 1610. https://doi.org/10.3390/cryst13121610
APA StyleDu, X., Zhang, R., & Groves, M. R. (2023). Fragment Screening in the Development of a Novel Anti-Malarial. Crystals, 13(12), 1610. https://doi.org/10.3390/cryst13121610

