Mechanical Properties and Thermal Shock Performance of High-Energy-Rate-Forged W-1%TaC Alloy
Abstract
1. Introduction
2. Materials and Methods
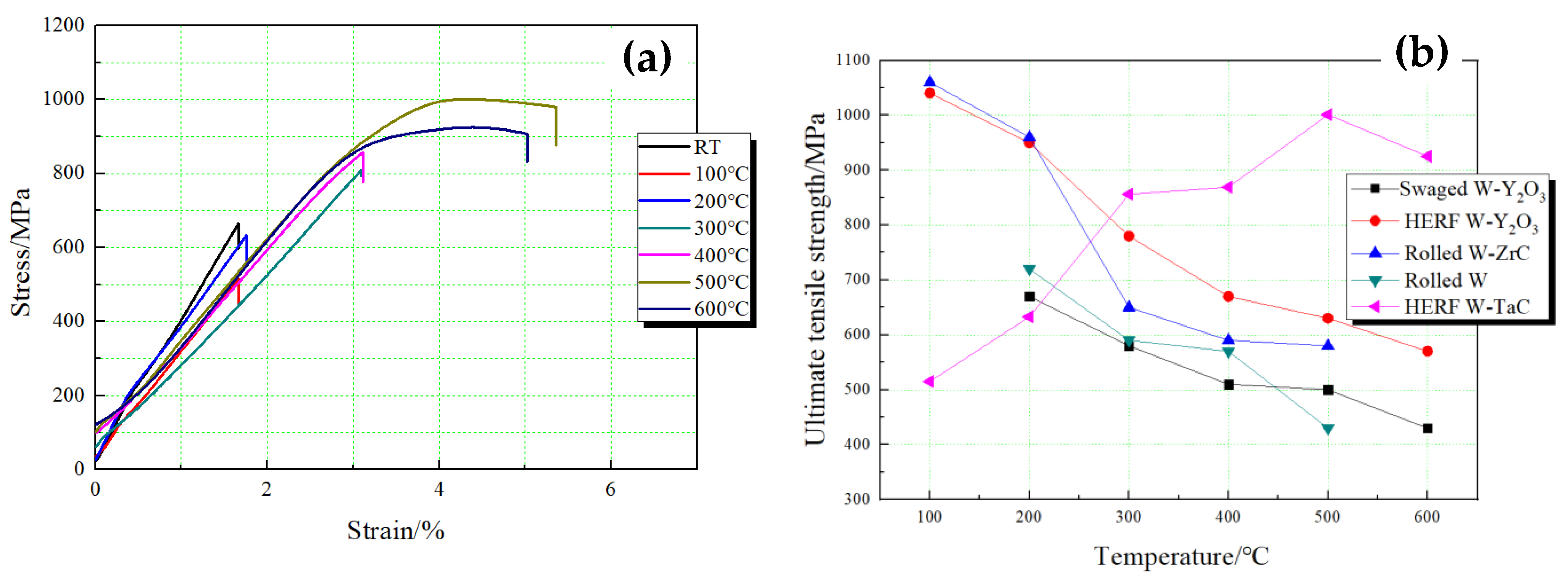
3. Results and Discussion
4. Conclusions
Author Contributions
Funding
Data Availability Statement
Conflicts of Interest
References
- Rieth, M.; Dudarev, S.L.; de Vicente, S.M.G.; Aktaa, J.; Ahlgren, T.; Antusch, S.; Armstrong, D.E.J.; Balden, M.; Baluc, N.; Barthe, M.F.; et al. Recent progress in research on tungsten materials for nuclear fusion applications in Europe. J. Nucl. Mater. 2013, 432, 482–500. [Google Scholar] [CrossRef]
- Kawai, M.; Kurishita, H.; Kokawa, H.; Watanabe, S.; Sakaguchi, N.; Kikuchi, K.; Saito, S.; Yoshiie, T.; Iwase, H.; Ito, T.; et al. Development of advanced materials for spallation neutron sources and radiation damage simulation based on multi-scale models. J. Nucl. Mater. 2011, 431, 16–25. [Google Scholar] [CrossRef]
- Ueda, Y.; Lee, H.T.; Ohno, N.; Kajita, S.; Kimura, A.; Kasada, R.; Nagasaka, T.; Hatano, Y.; Hasegawa, A.; Kurishita, H.; et al. Recent progress of tungsten R&D for fusion application in Japan. Phys. Scr. 2011, T145, 014029. [Google Scholar] [CrossRef]
- McManamy, T.; Rennich, M.; Gallmeier, F.; Ferguson, P.; Janney, J. 3MW solid rotating target design. J. Nucl. Mater. 2010, 398, 35–42. [Google Scholar] [CrossRef]
- Reiser, J.; Rieth, M.; Dafferner, B.; Hoffmann, A. Tungsten foil laminate for structural divertor applications—Basics and outlook. J. Nucl. Mater. 2012, 423, 1–8. [Google Scholar] [CrossRef]
- Monge, M.; Auger, M.; Leguey, T.; Ortega, Y.; Bolzoni, L.; Gordo, E.; Pareja, R. Characterization of novel W alloys produced by HIP. J. Nucl. Mater. 2009, 386, 613–617. [Google Scholar] [CrossRef][Green Version]
- Aguirre, M.V.; Martín, A.; Pastor, J.Y.; Llorca, J.; Monge, M.A.; Pareja, R. Mechanical properties of Y2O3-doped W–Ti alloys. J. Nucl. Mater. 2010, 404, 203–209. [Google Scholar] [CrossRef]
- Loewenhoff, T.; Bardin, S.; Greuner, H.; Linke, J.; Maier, H.; Morgan, T.; Pintsuk, G.; Pitts, R.; Riccardi, B.; De Temmerman, G. Impact of combined transient plasma/heat loads on tungsten performance below and above recrystallization temperature. Nucl. Fusion 2015, 55, 123004. [Google Scholar] [CrossRef]
- Pitts, R.; Carpentier, S.; Escourbiac, F.; Hirai, T.; Komarov, V.; Lisgo, S.; Kukushkin, A.; Loarte, A.; Merola, M.; Naik, A.S.; et al. A full tungsten divertor for ITER: Physics issues and design status. J. Nucl. Mater. 2013, 438, S48–S56. [Google Scholar] [CrossRef]
- Norajitra, P.; Boccaccini, L.; Gervash, A.; Giniyatulin, R.; Holstein, N.; Ihli, T.; Janeschitz, G.; Krauss, W.; Kruessmann, R.; Kuznetsov, V.; et al. Development of a helium-cooled divertor: Material choice and technological studies. J. Nucl. Mater. 2007, 367, 1416–1421. [Google Scholar] [CrossRef]
- Kurishita, H.; Kobayashi, S.; Nakai, K.; Ogawa, T.; Hasegawa, A.; Abe, K.; Arakawa, H.; Matsuo, S.; Takida, T.; Takebe, K.; et al. Development of ultra-fine grained W–(0.25–0.8) wt% TiC and its superior resistance to neutron and 3 MeV He-ion irradiations. J. Nucl. Mater. 2008, 377, 34–40. [Google Scholar] [CrossRef]
- Kurishita, H.; Amano, Y.; Kobayashi, S.; Nakai, K.; Arakawa, H.; Hiraoka, Y.; Takida, T.; Takebe, K.; Matsui, H. Development of ultra-fine grained W–TiC and their mechanical properties for fusion applications. J. Nucl. Mater. 2007, 367, 1453–1457. [Google Scholar] [CrossRef]
- Mutoh, Y.; Ichikawa, K.; Nagata, K.; Takeuchi, M. Effect of rhenium addition on fracture toughness of tungsten at elevated temperatures. J. Mater. Sci. 1995, 30, 770–775. [Google Scholar] [CrossRef]
- Kim, Y.; Lee, K.H.; Kim, E.-P.; Cheong, D.-I.; Hong, S.H. Fabrication of high temperature oxides dispersion strengthened tungsten composites by spark plasma sintering process. Int. J. Refract. Met. Hard Mater. 2009, 27, 842–846. [Google Scholar] [CrossRef]
- Rieth, M.; Dafferner, B. Limitations of W and W–1%La2O3 for use as structural materials. J. Nucl. Mater. 2005, 342, 20–25. [Google Scholar] [CrossRef]
- Yar, M.; Wahlberg, S.; Bergqvist, H.; Salem, H.; Johnsson, M.; Muhammed, M. Spark plasma sintering of tungsten–yttrium oxide composites from chemically synthesized nanopowders and microstructural characterization. J. Nucl. Mater. 2011, 412, 227–232. [Google Scholar] [CrossRef]
- Muñoz, A.; Monge, M.A.; Savoini, B.; Rabanal, M.E.; Garces, G.; Pareja, R. La2O3-reinforced W and W–V alloys produced by hot isostatic pressing. J. Nucl. Mater. 2011, 417, 508–511. [Google Scholar] [CrossRef]
- Wesemann, I.; Spielmann, W.; Heel, P.; Hoffmann, A. Fracture strength and microstructure of ODS tungsten alloys. Int. J. Refract. Met. Hard Mater. 2010, 28, 687–691. [Google Scholar] [CrossRef]
- Liu, R.; Xie, Z.; Fang, Q.; Zhang, T.; Wang, X.; Hao, T.; Liu, C.; Dai, Y. Nanostructured yttria dispersion-strengthened tungsten synthesized by sol–gel method. J. Alloys Compd. 2015, 657, 73–80. [Google Scholar] [CrossRef]
- Liu, X.; Chen, J.; Lian, Y.; Wu, J.; Xu, Z.; Zhang, N.; Wang, Q.; Duan, X.; Wang, Z.; Zhong, J. Vacuum hot-pressed beryllium and TiC dispersion strengthened tungsten alloy developments for ITER and future fusion reactors. J. Nucl. Mater. 2013, 442, S309–S312. [Google Scholar] [CrossRef]
- Xie, Z.M.; Liu, R.; Miao, S.; Yang, X.D.; Zhang, T.; Wang, X.P.; Fang, Q.F.; Liu, C.S.; Luo, G.N.; Lian, Y.Y.; et al. Extraordinary high ductility/strength of the interface designed bulk W-ZrC alloy plate at relatively low temperature. Sci. Rep. 2015, 5, 16014. [Google Scholar] [CrossRef] [PubMed]
- Switzner, N.; Van Tyne, C.; Mataya, M. Effect of forging strain rate and deformation temperature on the mechanical properties of warm-worked 304 L stainless steel. J. Mater. Process. Technol. 2010, 210, 998–1007. [Google Scholar] [CrossRef]
- Lian, Y.; Liu, X.; Feng, F.; Song, J.; Yan, B.; Wang, Y.; Wang, J.; Chen, J. Mechanical properties and thermal shock performance of W-Y2O3composite prepared by high-energy-rate forging. Phys. Scr. 2017, T170, 014044. [Google Scholar] [CrossRef]
- Lian, Y.; Liu, X.; Xu, Z.; Song, J.; Yu, Y. Preparation and properties of CVD-W coated W/Cu FGM mock-ups. Fusion Eng. Des. 2013, 88, 1694–1698. [Google Scholar] [CrossRef]
- Lian, Y.; Liu, X.; Cheng, Z.; Wang, J.; Song, J.; Yu, Y.; Chen, J. Thermal shock performance of CVD tungsten coating at elevated temperatures. J. Nucl. Mater. 2014, 455, 371–375. [Google Scholar] [CrossRef]
- Xie, Z.; Liu, R.; Miao, S.; Zhang, T.; Wang, X.; Fang, Q.; Liu, C.; Luo, G. Effect of high temperature swaging and annealing on the mechanical properties and thermal conductivity of W–Y2O3. J. Nucl. Mater. 2015, 464, 193–199. [Google Scholar] [CrossRef]
- Shen, T.; Dai, Y.; Lee, Y. Microstructure and tensile properties of tungsten at elevated temperatures. J. Nucl. Mater. 2016, 468, 348–354. [Google Scholar] [CrossRef]
- Kurishita, H.; Arakawa, H.; Matsuo, S.; Sakamoto, T.; Kobayashi, S.; Nakai, K.; Pintsuk, G.; Linke, J.; Tsurekawa, S.; Yardley, V.; et al. Development of Nanostructured Tungsten Based Materials Resistant to Recrystallization and/or Radiation Induced Embrittlement. Mater. Trans. 2013, 54, 456–465. [Google Scholar] [CrossRef]
- Wu, X.; Yang, M.; Yuan, F.; Wu, G.; Wei, Y.; Huang, X.; Zhu, Y. Heterogeneous lamella structure unites ultrafine-grain strength with coarse-grain ductility. Proc. Natl. Acad. Sci. USA 2015, 112, 14501–14505. [Google Scholar] [CrossRef]
- Tanaka, K.; Mori, T. The hardening of crystals by non-deforming particles and fibres. Acta Met. 1970, 18, 931–941. [Google Scholar] [CrossRef]








| Working Process | Relative Density | Hardness/Hv | Average Grain Size/μm |
|---|---|---|---|
| Hot pressing | 96.8% | 436 | 3.74 |
| HERFing | 99.2% | 552 | -- |
Publisher’s Note: MDPI stays neutral with regard to jurisdictional claims in published maps and institutional affiliations. |
© 2022 by the authors. Licensee MDPI, Basel, Switzerland. This article is an open access article distributed under the terms and conditions of the Creative Commons Attribution (CC BY) license (https://creativecommons.org/licenses/by/4.0/).
Share and Cite
Feng, F.; Lian, Y.; Wang, J.; Song, J.; Yan, B.; Liu, X. Mechanical Properties and Thermal Shock Performance of High-Energy-Rate-Forged W-1%TaC Alloy. Crystals 2022, 12, 1047. https://doi.org/10.3390/cryst12081047
Feng F, Lian Y, Wang J, Song J, Yan B, Liu X. Mechanical Properties and Thermal Shock Performance of High-Energy-Rate-Forged W-1%TaC Alloy. Crystals. 2022; 12(8):1047. https://doi.org/10.3390/cryst12081047
Chicago/Turabian StyleFeng, Fan, Youyun Lian, Jianbao Wang, Jiupeng Song, Binyou Yan, and Xiang Liu. 2022. "Mechanical Properties and Thermal Shock Performance of High-Energy-Rate-Forged W-1%TaC Alloy" Crystals 12, no. 8: 1047. https://doi.org/10.3390/cryst12081047
APA StyleFeng, F., Lian, Y., Wang, J., Song, J., Yan, B., & Liu, X. (2022). Mechanical Properties and Thermal Shock Performance of High-Energy-Rate-Forged W-1%TaC Alloy. Crystals, 12(8), 1047. https://doi.org/10.3390/cryst12081047
