Abstract
The investigation studied the effects of 0.2 wt.% and 1 wt.% scandium (Sc) additions on the microstructure of the aluminium alloy AA 6086 in different conditions. The alloys were produced by casting into a metallic mould, followed by various heat treatments. The alloys were examined using light microscopy, scanning and transmission electron microscopy, microchemical analysis, differential scanning calorimetry and X-ray diffraction. The phase compositions and solidification sequences were modelled using the CALPHAD approach, which reasonably agreed with the experimental results. The addition of Sc to AA 6086 strongly reduced the grain size of the Al-rich solid solution and induced the appearance of Sc-rich phases AlSc2Si2 and L12-Al3X. Other phases identified in the Sc-free alloy were also found in the Sc-modified alloys. Homogenisation caused the dissolution of most phases and the formation of different types of dispersoids. In the alloy with 0.2% Sc, the distribution of dispersoids was not uniform. The plate-like AlMnCrSi dispersoids formed mainly at the dendrite centres, together with spherical L12 precipitates, while smaller α-AlMnSi and tetragonal t-Al3Zr dispersoids were created elsewhere. The addition of 0.2% Sc did not considerably affect the strengthening of AA 6086. The precipitation during isothermal ageing was slightly delayed and shifted to higher temperatures during continuous heating.
1. Introduction
The 6xxx series of aluminium alloys is based on the Al-Mg-Si system with various alloying additions [1]. These precipitation-hardened alloys are characterised by their moderate strength, excellent formability, and high ductility, allowing them to be used in automotive, aerospace, electronics, and other industries [2,3]. Typical 6xxx alloys are strengthened by GP-zones and Mg2Si type precipitates, such as β′ and β″ [4], while the addition of Cu can promote strengthening with Q’-AlCuMgSi precipitates [5,6,7]. Ding et al. [5] found that Q’ precipitates formed via precursor phases, and that the precipitation process was rather complex, while Mao et al. [6] determined the structure of β′ precipitates by the combination of phase-field and experimental studies. The addition of Zr to Al-Mg-Si causes additional strengthening and resistance to grain growth by Al3Zr dispersoids. Meng et al. [8] investigated Al-Mg-Si-Cu-Cr alloys with and without Zr addition. The Zr addition reduced the grain size by ~30% and promoted the formation of an equiaxed grain structure during solidification. During homogenization, spherical Al3Zr dispersoids, 35–60 nm in diameter, precipitated. On the other hand, Jia et al. [9] did not find a positive effect of Sc addition in Al-Mn-Zr alloys because Zr caused coarsening of Mn-rich dispersoids, which countereffect the formation of Al3Zr dispersoids.
Recently some high-strength aluminium alloys have been developed. The alloy AA 6086 is a tailor-made wrought alloy used for extruded products in demanding automotive industry applications. It has the highest tensile strength value among the 6xxx alloys, routinely exceeding 480 MPa. Nevertheless, its ductility still surpasses 10%. The alloy AA 6086 also contain Zr, which causes additional strengthening and resistance to grain growth by Al3Zr dispersoids, in addition to Mn-rich dispersoids [10]. The alloy is successfully used in the automotive industry, especially as forged steering rods.
Aluminium alloys with minor Sc additions are utilized in the military, aircraft, and marine industries because of their corrosion resistance and high strength. They can also be found as construction elements for high-performance sports equipment, such as bicycle frames [11]. The characteristics of Sc-modified Al-alloys are described in detail in several review articles [12,13,14,15].
The addition of Sc causes substantial grain refinement in the cast, wrought, and additively-manufactured alloys [16]. The Al3Sc phase with the L12 crystal structure has a very small lattice misfit with the α-Al solid solution and serves as a highly effective heterogeneous nucleation site for α-Al during solidification. Zirconium additions cause the formation of layered primary Al3(Sc,Zr) particles [17,18]. In diluted Al-Sc, Al-Zr, and Al-Sc-Zr alloys, the precipitation of L12-Al3X dispersoids causes dispersion strengthening and improved high-temperature stability [19]. The formation of core–shell L12 strongly contributes to the thermal stability of dispersoids [18,20,21,22]. The addition of Si leads to the formation of V-phase AlSc2Si2. This ternary compound AlSc2Si2 is formed if the alloy contains more than 0.078% Sc and 0.18% Si (in this work, elemental contents are given in wt.% unless otherwise specified). The aforementioned phase has a detrimental effect on the strengthening because it decreases the contents of Sc and Si in the α-Al solid solution, thus lowering the volume fraction of desirable L12-Al3X dispersoids [23].
There are many studies devoted to the effect of Sc or Sc and Zr on commercial alloys. The addition of 0.5 wt.% Sc to the 7075 alloy leads to a significant grain refinement effect, reducing the grain size by 75% compared to the alloy without Sc addition [24]. It was observed that Sc in the Al-Mg-Si alloy significantly decreases the secondary dendrite arm spacing (SDAS): at 0.8% Sc addition the structure was composed of equiaxed grains with minimal SDAS (18 μm) [25]. The grain size in Al-Mg-Si-Sc also depends on the Mg/Si ratio. Namely, the excess of Si leads to a slightly smaller grain size after the solution treatment of cast ingots [26]. A combination of small Zr and Sc alloying additions to AA 6106 was studied by Cavaliere et al. [27]. These combinations resulted in a fine grain structure close to the average grain size of 5 μm in AA 6106 with 0.5% Sc. Al3Zr and Al3(Sc,Zr) dispersoids stabilise the microstructure at higher temperatures and inhibit grain growth [28]. The microstructure of Al-Mg-Si alloys with Sc and Zr depends upon the processing route and specific heat treatments. Precipitation hardening is driven by the formation of Al3Sc and Al3(Sc,Zr) dispersoids, which impede the movement of grain boundaries and lead to a fine grain structure after recrystallisation or even preserve the non-recrystallised structure after heat treatment (homogenisation) [14].
There are several dispersoid phases in the commercial Al-Mg-Si alloys. The most important are α-AlMnSi, which often dissolve other elements, such as Cr and Fe [29,30]. The addition of Sc can also affect the type and morphology of these phases [31]. Thus, it is important to understand the effects of Sc on different microstructural aspects of the commercial Al-Mg-Si alloy.
The aim of this study is to evaluate the impact of Sc additions on the microstructural evolution during casting and heat treatment of the novel high-strength Zr-containing Al-Mg-Si alloy AA 6086. Two Sc contents were examined. First was a typical addition of 0.2% Sc, which is often applied to several Al-alloys. The second addition was 1.0% Sc, which is above the normal alloying with Sc. The intention was to stimulate the formation of Sc-rich intermetallic phases in higher volume fractions and, at the same time, to study the effect of Sc on the appearance of other phases.
2. Materials and Methods
Table 1 gives the chemical compositions of the investigated alloys. The base alloy contained Mg and Si to promote the formation of β-type precipitates and Cu to stimulate the formation of Q-type precipitates. Mn and Cr are essential parts of α-AlMnSi dispersoids, and Zr forms Al3Zr dispersoids. As mentioned before, the additions of Sc were around 0.2% and 1.0%.
Table 1.
The chemical compositions of the investigated alloys in wt.% as determined using AES-ICP (atomic emission spectroscopy—inductively coupled plasma optical emission spectroscopy (ICP-OES)), Agilent 5800 VDV (Vertical Dual View), Agilent Technologies Inc., Santa Clara, CA, USA).
The alloy was melted using commercially available Al99.8, AlMn10, AlCu25, AlBe5.5, AlSc2, and AlZr10. The alloy was cast into square copper moulds (30 mm × 30 mm) with a length of 120 mm.
Homogenisation (solution treatment) was carried out in an electric resistant furnace Bosio (Bosio, Bukovžlak, Slovenia) at 520 °C for 40 h. The temperature was slightly below the incipient melting points of the alloys. A prolonged period of 40 h was used to approach the equilibrium compositions and phase fractions of the α-Al solid solution and other intermetallic phases.
It was found in the preliminary study that the solution treatment at 520 °C for 6 h and water quenching can cause the highest hardness after artificial ageing. The effect of scandium on the precipitation processes was studied at 180 °C up to 30 h. Vickers hardness measurements HV 30 (load 294.2 N) were used for determining the effects of heat treatment (Duramin-40 M2, Ballerup, Denmark). The main reason for using this load was in obtaining the mechanical response of the whole microstructure and that the scattering of the results was much lower than by measuring microhardness. The T6 temper was obtained by the solution treatment at 520 °C for 6 h, water quenching and artificial ageing for 6 h at 180 °C.
The fundamental metallographic analysis was performed by light microscope Neophot 300 (Nikon, Tokyo, Japan), and scanning electron microscopy using Sirion 400 NC (FEI, Eindhoven, The Netherlands) equipped with an energy-dispersive spectrometer (Oxford Analytical, Bicester, UK). The phase analysis was carried out by XRD (X-ray Diffraction) using synchrotron X-rays with a wavelength of 0.0999996 nm (Sincrotrone Elettra, Trieste, Italy). More details are given in [32].
Thermo-Calc version 2021a (Thermo-Calc Software AB, Solna, Sweden) and database TCAL5 were used to simulate the solidification according to the Scheil model [20] and calculate equilibrium phases as a function of temperature.
The differential scanning calorimetry (DSC) was performed using Netzsch, STA 449c Jupiter (The Netzsch Group, Selb, Germany). The processes during melting and solidification were studied with heating and cooling rates of 10 °C/min from room temperature up to 720 °C in an argon atmosphere. The precipitation study was carried out at the same heating and cooling rates up to 500 °C; the samples were homogenised at 520 °C for 6 h before DSC.
The dilatometry tests were carried out on samples with 0% and 0.22% Sc (cylinder specimens ϕ = 4 mm, l = 10 mm) using a quenching/deformation dilatometer DIL 805A/D (TA Instruments, New Castle, DE, USA) at 180 °C for 6 h after in situ quenching from 520 °C.
Lamellas for the transmission electron microscopy (TEM) were prepared by electrolytic thinning and by Focussed Ion Beam FIB (Helios, FEI, Eindhoven, The Netherlands). High-resolution TEM Titan3 G2 60–300 (FEI, Eindhoven, The Netherlands) and energy-dispersive X-ray spectroscopy (SuperX, Bruker, Billerica, MA, USA) were used for investigating samples.
3. Results
The alloy AA 6086 has previously been investigated in detail [10,33]. In this contribution, different effects of Sc addition will be presented.
3.1. Calculated Phase Equilibria
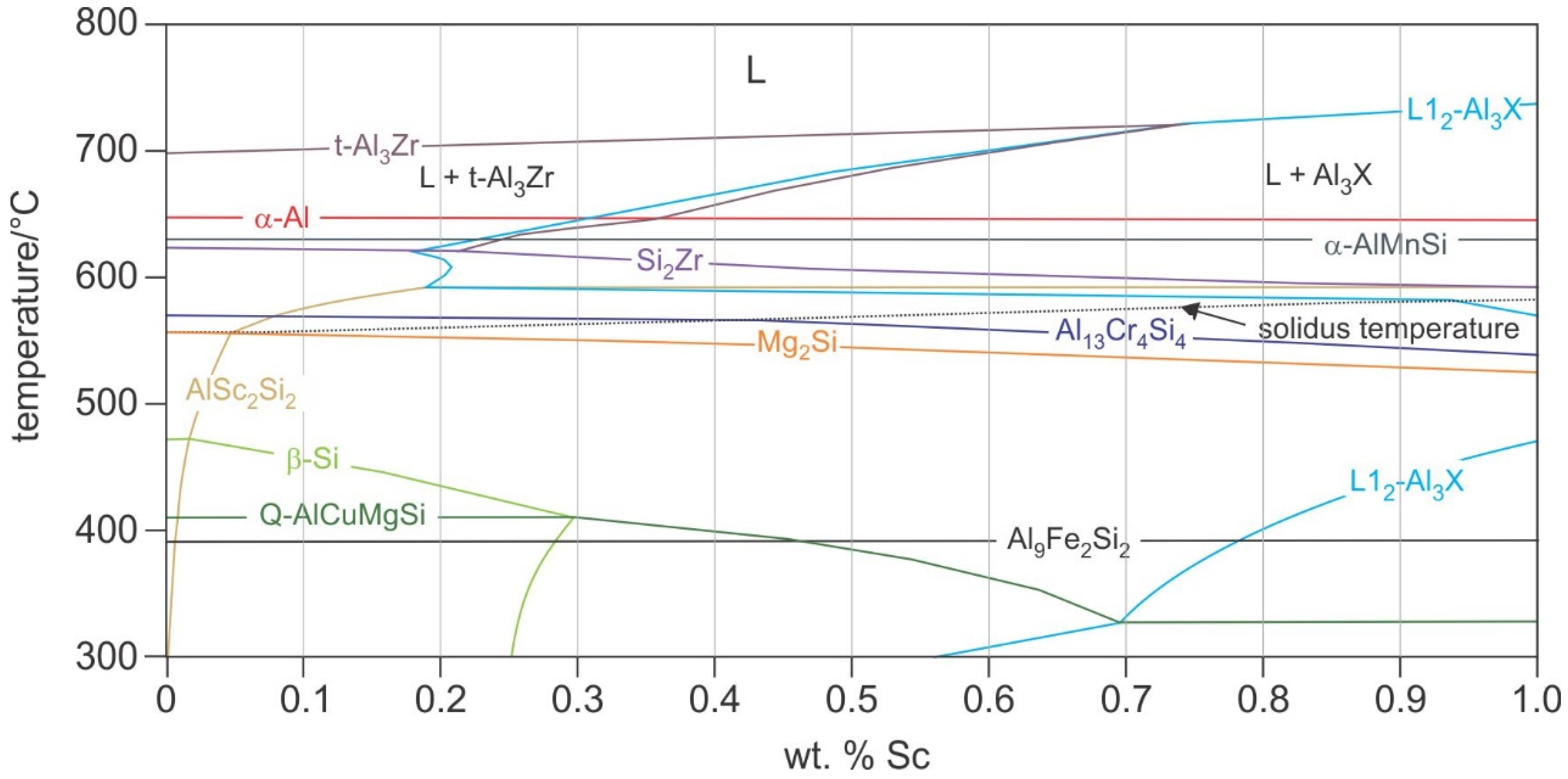
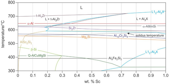
Figure 1 and Figure 2 present the effect of scandium addition to AA 6086 on the phases that can form in the aluminium corner and variations in their phase fractions as a function of temperature for the alloy 6086-0.2Sc.
Figure 1.
The effect of Sc on the liquidus temperature and formation of phases in the Al corner of the AA 6086 alloy. The vertical section was calculated by Thermo-Calc Software.
Figure 2.
The amounts of phases as a function of temperature for the alloy 6086-0.2Sc, calculated by Thermo-Calc Software.
The main observations obtained from both figures are given below. The liquidus temperature increases from 700 °C to 735 °C. The primary crystallisation of tetragonal t-Al3Zr takes place up to 0.73% Sc, while cubic L12-Al3X (X = Sc, Zr) forms first at higher contents. Both phases disappear during equilibrium solidification. During solidification, the phases α-Al, α-AlMnSi, Si2Zr, and AlSc2Si2 also form. The solidus temperature increases from 560 °C (without Sc) to 585 °C (1% Sc). The CALPHAD calculation predicts the formation of Al13Cr4Si4, Mg2Si, β-Si, Q-AlMgSiCu, Al9Fe2Si2, and L12-Al3X in the solid state. The addition of Sc hardly affects the formation temperatures of α-Al, α-AlMnSi, Si2Zr, Al13Cr4Si4, Mg2Si, and Al9Fe2Si2.
Scandium can be present in the intermetallic phases L12-Al3X and AlSc2Si2, but it can also be dissolved in the solid solution α-Al. The maximum solid solubility of Sc in the α-Al is about 0.4 wt.% (0.2 at. %) in the binary Al-Sc diagram [34]. The ternary compound AlSc2Si2 appears in the solid state up to 0.05% Sc, while it can be formed upon solidification at higher Sc-contents.
The alloy with 0.2% Sc is more important from the technological point of view than the alloys with 1% Sc. Currently, the price of scandium is too high; thus, its addition at this level is economically unacceptable unless for some special applications. Thus, the temperature dependence of the equilibrium fraction of phases was calculated only for the alloy with 0.2% Sc, and the main results are collected below.
- The primary solidification of t-Al3Zr. The liquidus temperature is about 705 °C.
- The formation of α-Al with the peritectic reaction: L + t-Al3Zr → α-Al, which starts at 645 °C.
- The formation of α-AlMnSi, L12-Al3X, Si2Zr, AlSc2Si2, and Al13Cr4Si4 during solidification.
- L12-Al3X disappears when AlSc2Si2 forms.
- Precipitation in the solid state: Mg2Si; βSi, Q-AlCuMgSi, and Al9Fe2Si2.
- The following phases are expected at room temperature: α-Al, α-AlMnSi, Si2Zr, AlSc2Si2, Al13Cr4Si4, Mg2Si, βSi, Q-AlCuMgSi, and Al9Fe2Si2.
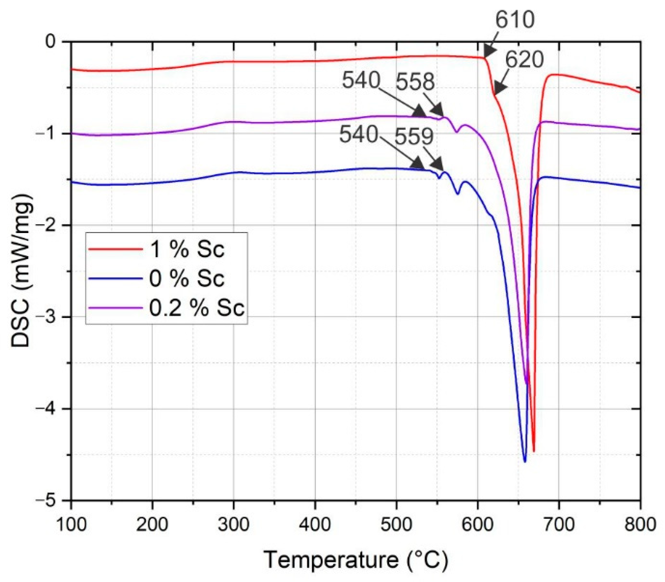
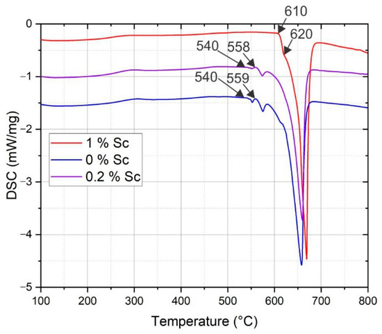
Figure 3 shows the DSC heating curve of all alloys. The addition of 0.2% Sc did not strongly affect the shape of the heating curve. The incipient melting point was around 540 °C, 10–20 °C below the calculated solidus temperature. On the other hand, the observed incipient melting point in 6086-1.0Sc was more than 20 °C higher than the calculated value. The peaks of low melting constituents disappear with the addition of 1% Sc.
Figure 3.
The heating DSC curves for the investigated alloys.
3.2. Grain Structure
Figure 4a–c show the grain structure of the aluminium-rich solid solution α-Al of the investigated alloys in the as-cast condition. The addition of Sc to AA 6086 strongly decreased the grain sizes (Table 2), also found in other Al alloys [13,15,35]. The addition of 0.2% Sc to this alloy decreased the grain size of equiaxed dendritic grains by about 40%, retaining the secondary arm spacing (27–29 μm). The addition of 1 wt.% Sc not only decreased the grain size by five times, but the grains became non-dendritic. The prolonged homogenisation treatment (520 °C, 40 h) did not considerably change the grain sizes (Figure 4d–f), which indicates a high resistance to grain growth. Despite some differences in microstructure, the hardness of all alloys in the as-cast state was similar (6086: 89.0 ± 0.5 HV 30; 6086-02Sc: 91.8 ± 3.1 HV 30; 6086-1Sc: 89.5 ± 2.5 HV 30).
Figure 4.
Grain structure of the investigated alloys (light micrographs): (a–c) in the as-cast condition, (d–f) after homogenisation (520 °C, 40 h).
Table 2.
Grain sizes in the as-cast condition of the investigated alloys according to ASTM E112.
This change in grain size is reflected in 2D-XRD images (Figure 5). There are five diffraction rings of the α-Al lattice planes, which are indicated in Figure 5a. The reflections from the same planes also occur in other images. The rings in the alloy 6086-0Sc are discontinuous in any condition, indicating larger grain sizes and some specific crystallographic orientations of α-Al grains. With the addition of 0.2% Sc the rings became almost continuous, and with the addition of 1% Sc the rings became thick and fully continuous, strongly suggesting the presence of tiny and randomly oriented crystal grains. It is evident that during the slowest cooling of DSC samples (10 °C/min), the crystal grains are much coarser, and the diffraction rings are discontinuous in all alloys.
3.3. Phase Compositions
The phase compositions of the alloys were determined predominantly using XRD (Figure 5 and Figure 6), EDS in SEM (Figure 7), and backscattered electron micrographs (Figure 8, Figure 9 and Figure 10). In contrast, a detailed study of dispersoids in the alloy 6086-0.2Sc in the T6 temper was carried out using an analytical TEM. The identified phases are indicated in each micrograph and diffraction pattern. Table 3 collects all phases determined experimentally, as well as those predicted by the computer modelling. In the microstructures α-Al prevailed, while other phases were predominantly in the interdendritic regions. Many different types of dispersoids formed during the homogenisation treatment, which were also present in the T6 temper.
Figure 6.
XRD patterns of the investigated alloys in the (a) as-cast condition, (b) after DSC, and (c) after homogenisation.
Figure 7.
EDS spectra of phases encountered in the investigated alloys. Carbon arises from the surface contamination, and oxygen from the surface oxidation. The first peak on the left (at 0 keV) is the zero strobe.
Table 3.
Phases identified in different conditions of the investigated alloys using XRD and EDS in SEM and TEM.
Figure 5.
2D-XRD images of the investigated alloys. (a–c) as-cast condition, (d–f) after DSC, (g–i) after homogenization.
Figure 5.
2D-XRD images of the investigated alloys. (a–c) as-cast condition, (d–f) after DSC, (g–i) after homogenization.

EDS in SEM was used to mainly determine the phases. Many phases were very small in size, thus we used a low voltage of 5 kV to reduce the interaction volume of electrons significantly, which almost eliminated the signal arising from the surrounding phases, mainly in the matrix α-Al. Figure 7 shows the typical spectra of all phases that represented a template for the identification of phases in the microstructure.
3.3.1. Phases in the As-Cast State
All alloys contained the matrix α-Al, darker Mg2Si, and brighter α-AlMnSi phases (Figure 8a–f). Mg2Si is a stoichiometric phase and did not contain other elements. On the other hand, AlMnSi was also composed of Cr and Fe, which were also present in all alloys. In the alloy 6086-1.0Sc, the phase L12-Al3X also appeared. It is predominantly positioned at the grain centres, causing nucleation of the matrix grains. This phase contained Sc and Zr in different proportions and usually had a layered structure [17]. At higher magnifications, many other phases were identified, which are shown in Figure 8b,d,f. The addition of Sc resulted in the appearance of the AlSc2Si2 phase in both Sc-rich alloys, while the L12-Al3X phase was found only in the alloy 6086-1.0Sc. Tiny amounts of t-Al3Zr, Si2Zr, Q-AlCuMgSi, β-Si, and Θ-Al2Cu were found in the alloys 6086-0Sc and 6086-0.2Sc, mainly in the areas of the terminal solidification. XRD patterns also identified most of the above-mentioned phases (Figure 6a). The phase Θ-Al2Cu was not a stable phase, but it was predicted by non-equilibrium solidification by the Scheil model.
Figure 8.
Backscattered electron (BSE) micrographs of the investigated alloys in the as-cast condition. The alloy 6086-0Sc at (a) a lower and (b) a higher magnification; the alloy 6086-0.2Sc at (c) a lower and (d) a higher magnification and the alloy 6086-1Sc at (e) a lower and (f) a higher magnification.
Figure 8.
Backscattered electron (BSE) micrographs of the investigated alloys in the as-cast condition. The alloy 6086-0Sc at (a) a lower and (b) a higher magnification; the alloy 6086-0.2Sc at (c) a lower and (d) a higher magnification and the alloy 6086-1Sc at (e) a lower and (f) a higher magnification.

3.3.2. Phases after DSC (Cooling Rate 10 °C/min)
Slow cooling during DSC caused much larger α-Al crystal grains and coarser intermetallic phases (Figure 9). The phase α-AlMnSi was present in the shape of Chinese script in 6086-0Sc and 6086-0.2Sc alloys; it also contained Cr and Fe. In these alloys, a ternary constituent composed of α-Al, β-Si, and Mg2Si formed in larger interdendritic spaces; very often, discrete bright t-Al3Zr was observed in this region. The ternary (α-Al + β-Si + Mg2Si) constituent was not present in 6086-1.0Sc. Instead, a structure consisting of L12-Al3X, α-AlMnSi, and AlSc2Si2 was frequently encountered (Figure 9f). The XRD patterns were similar to that in the as-cast state (Figure 6a,b).
Figure 9.
BSE electron micrographs of the investigated alloys after DSC with a cooling rate of 10 °C/min. The alloy 6086-0Sc at (a) a lower and (b) a higher magnification; the alloy 6086-0.2Sc at (c) a lower and (d) a higher magnification and the alloy 6086-1Sc at (e) a lower and (f) a higher magnification.
Figure 9.
BSE electron micrographs of the investigated alloys after DSC with a cooling rate of 10 °C/min. The alloy 6086-0Sc at (a) a lower and (b) a higher magnification; the alloy 6086-0.2Sc at (c) a lower and (d) a higher magnification and the alloy 6086-1Sc at (e) a lower and (f) a higher magnification.

3.3.3. Phases after Homogenisation (520 °C, 40 h)
Figure 10 shows the backscattered electron micrographs of the alloys after the homogenisation treatment. Dispersoids appeared in the α-Al matrix in all alloys. Dispersoids were relatively small and uniformly distributed in the alloys 6086-0Sc and 6086-1.0Sc. Conversely, rather large plate-like precipitates formed at the dendrite centres in the alloy 6086-0.2Sc. They appear needle-like in the cross-section. EDS showed similar elements as were found in α-AlMnSi that formed during solidification. The volume fraction of Mg2Si strongly reduced, and the remaining particles obtained a spheroidal shape. XRD patterns indicate a substantial decrease in or even disappearance of some phases, e.g., Q-AlCuMgSi and Al2Cu.
A detailed EDS analysis showed some differences in the chemical composition with the fine and coarse dispersoids. It was determined that in the region with coarser dispersoids (grain centres), the contents of Zr and Cr were higher by 50% and 30%, respectively, than in the area with finer dispersoids. On the other hand, the content of Sc was about 35% lower. The differences in the contents of other elements were below 10%. These are consistent with the previous microsegregation behaviour of the alloying elements [36].
Figure 10.
BSE electron micrographs of the investigated alloys after homogenisation at 520 °C for 40 h. The alloy 6086-0Sc at (a) a lower and (b) a higher magnification; the alloy 6086-0.2Sc at (c) a lower and (d) a higher magnification and the alloy 6086-1Sc at (e) a lower and (f) a higher magnification.
Figure 10.
BSE electron micrographs of the investigated alloys after homogenisation at 520 °C for 40 h. The alloy 6086-0Sc at (a) a lower and (b) a higher magnification; the alloy 6086-0.2Sc at (c) a lower and (d) a higher magnification and the alloy 6086-1Sc at (e) a lower and (f) a higher magnification.

3.4. T6 Temper of the Investigated Alloys
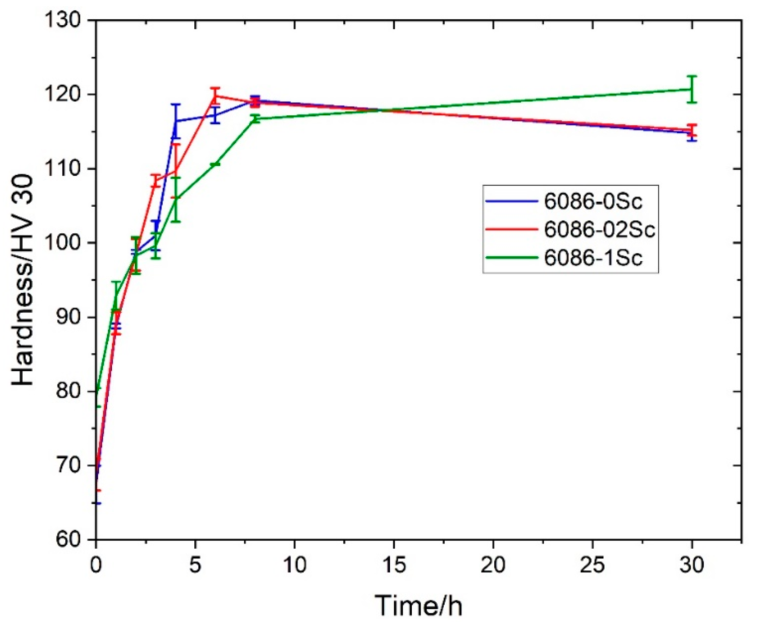
The final properties of Al-Mg-Si alloys are normally obtained by artificial ageing. The most common is the T6 temper, consisting of homogenisation (solution treatment) and artificial ageing. The investigated alloys were homogenized at 520 °C for 6 h and then artificially aged for 6 h at 180 °C. The ageing duration was determined after isothermal ageing up to 30 h at 180 °C (Figure 11). There were no significant differences between the alloys without and with 0.2% Sc. The peak hardness was achieved in the range of 5–7 h. It is also essential that the hardness was reduced by less than 10% after 30 h of ageing, which indicates a nice stability of properties. On the other hand, the hardness of 6086-1Sc was higher for about 10 units after homogenization, probably because of a higher volume fraction of the primary L12-Al3X phase and smaller grain sizes. However, the increase in hardness was smaller, and it did not achieve the maximum value after 30 h of ageing when it attained the level similar to the peak hardness in other investigated alloys.
Figure 11.
Evolution of Vickers hardness (HV 30) during artificial ageing at 180 °C for the alloys 6086-0Sc, 6086-0.2Sc, and 6086-1Sc. The starting condition is homogenised (solution treated) at 520 °C for 6 h and water quenched.
TEM micrographs (Figure 12) show an uneven distribution of dispersoids as in the homogenised condition (Figure 10b). The dispersoids were small and uniformly distributed next to the interdendritic spaces. This distribution was similar to the basic AA 6086 alloy [10], where α-AlMnSi and t-Al3Zr prevailed. The long needles dominated at the dendrite centres, and closer inspection showed that spherical precipitates were uniformly distributed in the region between the plates. The dispersoids belong to the L12-Al3X phase, which was often found in other Sc-modified Al alloys, and was not revealed by our XRD and SEM studies.
Figure 12.
HAADF (high angle annular dark field) micrographs of the sample 6086-0.2Sc in the T6 temper. (a) A larger area, (b) the region with smaller dispersoids (t-Al3Zr and α-AlMnSi), and (c) in between the coarser plates (L12-Al3X).
Figure 13 shows the elemental mapping at the dendrite centres. It is clear that many phases appeared in the sub-micrometre region. The plates contained Cr, Mn, and Si, and likely presented the α-AlMnSi phase. The brightest phase in Figure 13a contained a lot of Zr, but also some Sc and Si, so it was probably t-Al3Zr. This phase formed during manufacturing and served as a heterogeneous nucleation site for the α-AlMnSi phase. It can be observed that Sc and Zr were present in the spherical particles; thus, this was the L12-Al3X phase, which was confirmed by a detailed analysis (Figure 14). In addition, there was a phase containing Cu, Mg, and Si; this was Q-AlCuMgSi. This phase was not present at the homogenisation temperature but formed during cooling by heterogeneous nucleation of the α-AlMnSi phase.
Figure 13.
Distribution of the elements within the matrix in the area with coarser dispersoids (T6 temper). (a) HAADF micrographs, mapping of (b) Mn, (c) Cr, (d) Cu, (e) Sc, (f) Zr, (g) Si and (h) Mg.
Figure 14.
The results of analytical TEM of a particle with the L12 structure (T6 temper): (a) HRTEM of indicated particle, (b) the corresponding FFT, (c) EDS linescan through the L12 particle.
The formation of L12-Al3X particles is one of the main reasons for the addition of Sc to Al alloys. Therefore, the spherical particles were analysed in detail (Figure 14). Figure 14a shows the HRTEM image and Figure 14b the corresponding FFT transform. The zone axis of α-Al was (110), and the precipitate possessed a cube orientation relationship with the matrix, which is typical for L12-Al3X. EDS analysis showed that the precipitate contained mainly Zr and Sc, but also a substantial amount of Si (Figure 14c). The quantification of several particles revealed that they contain 18.3 ± 4.4 at. % Zr, 3.0 ± 0.7 at. % Sc and 10 ± 2.8% Si.
3.5. Effect of Sc on the Artificial Ageing
The diffusivity of scandium at temperatures of artificial ageing is generally rather low in the temperature range 150–200 °C; thus, the Sc-rich precipitate cannot be formed. Nevertheless, Sc present in the solid solution can affect the precipitation of the β-type and Q-type of precipitates. Figure 15 shows the DSC heating curves for AA 6086 and AA 6086-0.2Sc. Both alloys showed two peaks in the temperature region, which is characteristic of artificial ageing. The first peak was probably related to the formation of metastable β″-Mg2Si and Q’-AlCuMgSi precipitates, and the second to the formation of β′-Mg2Si [37]. It is evident that Sc shifted both peaks to slightly higher temperatures. Thus, Sc retarded the precipitation process. The addition of Sc increased the precipitation energy by about 20%, which may be related to a higher fraction of precipitates or the additional formation of L12 precipitates. It is intended for this part to be investigated in detail in our future work.
Figure 15.
DSC heating curves for the alloys 6086-0Sc and 6086-0.2Sc. The initial condition was homogenisation for 6 h at 520 °C. (a) The whole range, (b) limited range with onset temperature and enthalpies of precipitation.
Figure 16 shows the dilatation of AA 6086 and AA 6086-0.2Sc during isothermal annealing at 180 °C. During ageing the length increased in both specimens. The increase in length in AA 6086 was continuous, and the dilatation rate decreased with time. On the other hand, in alloy AA 6086-0.2Sc, a plateau was attained within one hour, and the dimensions did not change for several hours. After approximately 17,500 s the volume started to increase abruptly, until reaching almost the same value as an Sc-lean alloy. Thus the addition of Sc delayed the beginning of precipitation, but after it started, the precipitation was rapid and, after a short period of time, both curves coincided.
Figure 16.
Change in dimensions during isothermal holding at 180 °C after quenching from 520 °C.
3.6. Overview of the Sc-Effect on AA 6086
The CALPHAD approach predicted the phases that appeared in the investigated alloys well. We did not find the phase Al13Cr4Si4, which may appear as a dispersoid phase during homogenization [38]. Nevertheless, Cr-enrichment was observed in α-AlMnSi plates (Figure 13c), which may indicate the tendency for the formation of a Cr-rich phase. Otherwise, most of the Cr is dissolved in α-AlMnSi. The phase Θ-Al2Cu appeared in the as-cast microstructure, but it was not predicted by the equilibrium calculation. However, it was anticipated by Scheil modelling.
The Sc effect on the grain sizes was similar to that in the other Al alloys. At higher Sc content the primary L12-Al3X phase also formed in large quantities, providing copious nucleation of α-Al grains. The solidification of the alloy with 0.2% Sc was apparently similar to the Sc-lean alloy, and the ternary phase AlSc2Si2 was present only in the interdendritic region. The distribution coefficient of Sc in Al is less than one; thus, the Sc content is concentrated in the last liquid. This phase disappeared during homogenization of the alloy with 0.2% Sc, but remained undissolved in the alloy with 1% Sc. It was not present as a dispersoid phase was formed by homogenization.
The addition of a small amount of Sc stimulated the formation of plate-like AlMnSi dispersoids. It was also observed in some other commercial Al-Mg-Si. In the alloy with 0.2% Sc, t-Al3Zr served as a heterogeneous nucleation site. The addition of Sc promoted plate growth. It is likely that Sc lowers the surface energy of some lattice planes. This effect has not yet been studied in detail, and it is one of the aims of our future work in this area.
Scandium did not strongly affect the precipitation of strengthening precipitates during artificial ageing, which was also found in other alloys.
4. Conclusions
By studying the effect of Sc on the novel AA 6086 aluminium alloy, the following conclusions can be drawn:
- Scandium strongly decreased the grain size of α-Al, and the addition of 1% Sc caused the formation of non-dendritic equiaxed crystal grains. Long-term homogenisation treatment did not cause any considerable increase in grain sizes.
- In the microstructure of the alloys, the most abundant phases in the as-cast conditions were α-AlMnSi, which also contained Cr and Fe, and Mg2Si, while in the alloy with 1% Sc, the L12-Al3X phase prevailed.
- A smaller Sc addition (0.2%) promoted the formation of the AlSc2Si2 phase during solidification, while at a higher Sc content (1.0% Sc), both AlSc2Si2 and L12-Al3X were formed.
- A ternary constituent (α-Al + Mg2Si + β-Si) was formed by the slow cooling of Sc-free and 0.2% Sc alloys
- Dispersoids formed during homogenisation were small and uniformly distributed in Sc-free and 1.0% Sc alloys, while in the 0.2% Sc alloy two regions formed. Large plate-like AlMnSi and spherical L12-Al3X were present mainly at the dendrite centres.
- The addition of 0.2% Sc only slightly influenced the ageing response. The addition of Sc delayed the beginning of precipitation during isothermal artificial ageing, while heating shifted precipitation to higher temperatures.
It is believed that severe plastic deformation before or simultaneously with homogenisation and optimised ageing temperatures may improve the mechanical properties, especially with a more uniform distribution of L12-Al3X dispersoids and suppression of the formation of plate-like dispersoids.
Author Contributions
Conceptualization, F.Z. and S.Ž.; methodology, F.Z.; validation, T.B., J.B., M.V. and M.A.; formal analysis, F.Z.; investigation, S.Ž., T.B., M.V., J.B., M.A. and M.S.; resources, T.B. and S.Ž.; data curation, S.Ž. and F.Z.; writing—original draft preparation, S.Ž. and F.Z.; writing—review and editing, T.B. and M.S.; visualisation, S.Ž., F.Z., M.V. and M.A.; supervision, T.B., F.Z. and M.S.; project administration, T.B.; funding acquisition, F.Z. All authors have read and agreed to the published version of the manuscript.
Funding
This research was funded by the Slovenian Research Agency (research core funding No. P2-0120 and I0-0029) and company Impol R in R d.o.o. Slovenska Bistrica, Slovenia (agreement P-075-132/2018-ITM). The XRD investigations were carried out at Elettra, Sincrotrone Trieste, Italy, in the framework of Proposal 20205071. Financial support for TEM analysis was provided by the European Union’s Horizon 2020 Research and Innovation Program under grant agreement 823717 - ESTEEM3.
Institutional Review Board Statement
Not applicable.
Informed Consent Statement
Not applicable.
Data Availability Statement
Not applicable.
Acknowledgments
We thank Luisa Barba for supporting with the XRD experiments at Elettra Sincrotrone, Trieste, Italy.
Conflicts of Interest
The authors declare no conflict of interest.
References
- Mukhopadhyay, P. Alloy Designation, Processing, and Use of AA6XXX Series Aluminium Alloys. ISRN Metall. 2012, 2012, 165082. [Google Scholar] [CrossRef] [Green Version]
- Berneder, J.; Prillhofer, R.; Enser, J.; Grohmann, T. AMAG 6XXX series alloys for chassis application in the automotive industry. In Light Metals 2014; Grandfield, J., Ed.; Springer International Publishing: Cham, Switzerland, 2016; p. 177. [Google Scholar]
- Schulz, P.; Berneder, J.; Uffelmann, D.; Zelger, C.; Melzer, C. Advanced 5xxx-, 6xxx- and 7xxx- Aluminium Alloys for Applications in Automotive and Consumer Electronics. Mater. Sci. Forum 2011, 690, 451. [Google Scholar] [CrossRef]
- Yang, M.; Chen, H.; Orekhov, A.; Lu, Q.; Lan, X.; Li, K.; Zhang, S.; Song, M.; Kong, Y.; Schryvers, D.; et al. Quantified contribution of β″ and β′ precipitates to the strengthening of an aged Al–Mg–Si alloy. Mater. Sci. Eng. A 2020, 774, 138776. [Google Scholar] [CrossRef]
- Ding, L.; Jia, Z.; Nie, J.-F.; Weng, Y.; Cao, L.; Chen, H.; Wu, X.; Liu, Q. The structural and compositional evolution of precipitates in Al-Mg-Si-Cu alloy. Acta Mater. 2018, 145, 437. [Google Scholar] [CrossRef]
- Mao, H.; Kong, Y.; Cai, D.; Yang, M.; Peng, Y.; Zeng, Y.; Zhang, G.; Shuai, X.; Huang, Q.; Li, K.; et al. β″ needle-shape precipitate formation in Al-Mg-Si alloy: Phase field simulation and experimental verification. Comput. Mater. Sci. 2020, 184, 109878. [Google Scholar] [CrossRef]
- Sunde, J.K.; Marioara, C.D.; Holmestad, R. The effect of low Cu additions on precipitate crystal structures in overaged Al-Mg-Si(-Cu) alloys. Mater. Charact. 2020, 160, 110087. [Google Scholar] [CrossRef]
- Meng, Y.; Cui, J.; Zhao, Z.; He, L. Effect of Zr on microstructures and mechanical properties of an AlMgSiCuCr alloy prepared by low frequency electromagnetic casting. Mater. Charact. 2014, 92, 138. [Google Scholar] [CrossRef]
- Jia, Z.; Hu, G.; Forbord, B.; Solberg, J.K. Effect of homogenization and alloying elements on recrystallization resistance of Al-Zr-Mn alloys. Mater. Sci. Eng. A 2007, 444, 284. [Google Scholar] [CrossRef]
- Zupanič, F.; Steinacher, M.; Žist, S.; Bončina, T. Microstructure and Properties of a Novel Al-Mg-Si Alloy AA 6086. Metals 2021, 11, 368. [Google Scholar] [CrossRef]
- Dorin, T.; Ramajayam, M.; Vahid, A.; Langan, T. Chapter 12—Aluminium scandium alloys. In Fundamentals of Aluminium Metallurgy; Lumley, R.N., Ed.; Woodhead Publishing: Sawston, UK, 2018; pp. 439–494. [Google Scholar]
- Kharakterova, M.L.; Eskin, D.G.; Rokhlin, L.L. Effect of scandium and zirconium on structure and age hardening of the Al-Mg-Si alloys. Russ. Metall. 1997, 1, 104–109. [Google Scholar]
- Riva, S.; Yusenko, K.V.; Lavery, N.P.; Jarvis, D.J.; Brown, S.G.R. The scandium effect in multicomponent alloys. Int. Mater. Rev. 2016, 61, 203. [Google Scholar] [CrossRef] [Green Version]
- Royset, J.; Ryum, N. Scandium in aluminium alloys. Int. Mater. Rev. 2005, 50, 19. [Google Scholar] [CrossRef]
- Milman, Y.V. Scandium effect on increasing mechanical properties of aluminum alloys. High Temp. Mater. Processes 2006, 25, 1. [Google Scholar] [CrossRef]
- Buttard, M.; Chehab, B.; Shahani, R.; Robaut, F.; Renou, G.; Tassin, C.; Rauch, E.; Donnadieu, P.; Deschamps, A.; Blandin, J.-J.; et al. Multi-scale microstuctural investigation of a new Al-Mn-Ni-Cu-Zr aluminium alloy processed by laser powder bed fusion. Materialia 2021, 18, 101160. [Google Scholar] [CrossRef]
- Li, J.H.; Oberdorfer, B.; Wurster, S.; Schumacher, P. Impurity effects on the nucleation and growth of primary Al3(Sc,Zr) phase in Al alloys. J. Mater. Sci. 2014, 49, 5961. [Google Scholar] [CrossRef]
- Knipling, K.E.; Karnesky, R.A.; Lee, C.P.; Dunand, D.C.; Seidman, D.N. Precipitation evolution in Al-0.1Sc, Al-0.1Zr and Al-0.1Sc-0.1Zr (at.%) alloys during isochronal aging. Acta Mater. 2010, 58, 5184. [Google Scholar] [CrossRef]
- Knipling, K.E.; Seidman, D.N.; Dunand, D.C. Ambient- and high-temperature mechanical properties of isochronally aged Al-0.06Sc, Al-0.06Zr and Al-0.06Sc-0.06Zr (at.%) alloys. Acta Mater. 2011, 59, 943. [Google Scholar] [CrossRef] [Green Version]
- Tolley, A.; Radmilovic, V.; Dahmen, U. Segregation in Al-3(Sc,Zr) precipitates in Al-Sc-Zr alloys. Scr. Mater. 2005, 52, 621. [Google Scholar] [CrossRef]
- Zupanič, F.; Gspan, C.; Burja, J.; Bončina, T. Quasicrystalline and L12 precipitates in a microalloyed Al-Mn-Cu alloy. Mater. Today Commun. 2020, 22, 100809. [Google Scholar] [CrossRef]
- Zupanič, F.; Bončina, T. Heat-Resistant Al-Alloys with Quasicrystalline and L12- Precipitates. Solid State Phenom. 2022, 327, 26. [Google Scholar] [CrossRef]
- Dumbre, J.; Kairy, S.K.; Anber, E.; Langan, T.; Taheri, M.L.; Dorin, T.; Birbilis, N. Understanding the formation of (Al,Si)3Sc and V-phase (AlSc2Si2) in Al-Si-Sc alloys via ex situ heat treatments and in situ transmission electron microscopy studies. J. Alloy. Compd. 2021, 861, 158511. [Google Scholar] [CrossRef]
- Milman, Y.V.; Lotsko, D.V.; Sirko, O.I. ‘Sc Effect’ of Improving Mechanical Properties in Aluminium Alloys. Mater. Sci. Forum 2000, 331–337, 1107. [Google Scholar] [CrossRef]
- Xu, C.; Xiao, W.; Hanada, S.; Yamagata, H.; Ma, C. The effect of scandium addition on microstructure and mechanical properties of Al–Si–Mg alloy: A multi-refinement modifier. Mater. Charact. 2015, 110, 160. [Google Scholar] [CrossRef]
- Jiang, S.; Wang, R. Grain size-dependent Mg/Si ratio effect on the microstructure and mechanical/electrical properties of Al-Mg-Si-Sc alloys. J. Mater. Sci. Technol. 2019, 35, 1354. [Google Scholar] [CrossRef]
- Cavaliere, P.; Cabibbo, M. Effect of Sc and Zr additions on the microstructure and fatigue properties of AA6106 produced by equal-channel-angular-pressing. Mater. Charact. 2008, 59, 197. [Google Scholar] [CrossRef]
- Xu, C.; Xiao, W.L.; Zheng, R.X.; Hanada, S.; Yamagata, H.; Ma, C.L. The synergic effects of Sc and Zr on the microstructure and mechanical properties of Al-Si-Mg alloy. Mater. Des. 2015, 88, 485. [Google Scholar] [CrossRef]
- Strobel, K.; Sweet, E.; Easton, M.; Nie, J.F.; Couper, M. Dispersoid Phases in 6xxx Series Aluminium Alloys. Mater. Sci. Forum 2010, 654–656, 926. [Google Scholar] [CrossRef]
- Liu, C.L.; Azizi-Alizamini, H.; Parson, N.C.; Poole, W.J.; Du, Q. Microstructure evolution during homogenization of Al-Mg-Si-Mn-Fe alloys: Modelling and experimental results. Trans. Nonferrous Met. Soc. China 2017, 27, 747. [Google Scholar] [CrossRef]
- Cann, J.L.; de Luca, A.; Dunand, D.C.; Dye, D.; Miracle, D.B.; Oh, H.S.; Olivetti, E.A.; Pollock, T.M.; Poole, W.J.; Yang, R.; et al. Sustainability through alloy design: Challenges and opportunities. Prog. Mater. Sci. 2021, 117, 100722. [Google Scholar] [CrossRef]
- Macerl, M.; Zupanič, F.; Hočuršćak, L.; Klobčar, D.; Kovács, A.; Bončina, T. Microstructure and Properties after Friction Stir Processing of Twin-Roll Cast Al-Mn-Cu-Be Alloy. Crystals 2022, 12, 630. [Google Scholar] [CrossRef]
- Zupanič, F.; Steinacher, M.; Bončina, T. As-cast microstructure of a novel Al-Mg-Si alloy. Livar. Vestn. 2019, 66, 125. [Google Scholar]
- Murray, J.L. The Al-Sc (aluminum-scandium) system. J. Phase Equilibria 1998, 19, 380. [Google Scholar] [CrossRef]
- Dang, J.-z.; Huang, Y.-f.; Cheng, J. Effect of Sc and Zr on microstructures and mechanical properties of as-cast Al-Mg-Si-Mn alloys. Trans. Nonferrous Met. Soc. China 2009, 19, 540. [Google Scholar] [CrossRef]
- Dorin, T.; Ramajayam, M.; Babaniaris, S.; Langan, T.J. Micro-segregation and precipitates in as-solidified Al-Sc-Zr-(Mg)-(Si)-(Cu) alloys. Mater. Charact. 2019, 154, 353. [Google Scholar] [CrossRef]
- Vlach, M.; Čížek, J.; Smola, B.; Melikhova, O.; Vlček, M.; Kodetová, V.; Kudrnová, H.; Hruška, P. Heat treatment and age hardening of Al–Si–Mg–Mn commercial alloy with addition of Sc and Zr. Mater. Charact. 2017, 129, 1. [Google Scholar] [CrossRef]
- Wang, S.; Dong, L.; Han, X.; Fan, Y.; Chen, B. Orientations and interfaces between α′-Al13Cr4Si4 and the matrix in Al-Si-Cr-Mg alloy. Mater. Charact. 2020, 160, 110096. [Google Scholar] [CrossRef]
Publisher’s Note: MDPI stays neutral with regard to jurisdictional claims in published maps and institutional affiliations. |
© 2022 by the authors. Licensee MDPI, Basel, Switzerland. This article is an open access article distributed under the terms and conditions of the Creative Commons Attribution (CC BY) license (https://creativecommons.org/licenses/by/4.0/).











