As-Sintered Manganese-Stabilized Zirconia Ceramics with Excellent Electrical Conductivity
Abstract
:1. Introduction
2. Experiment
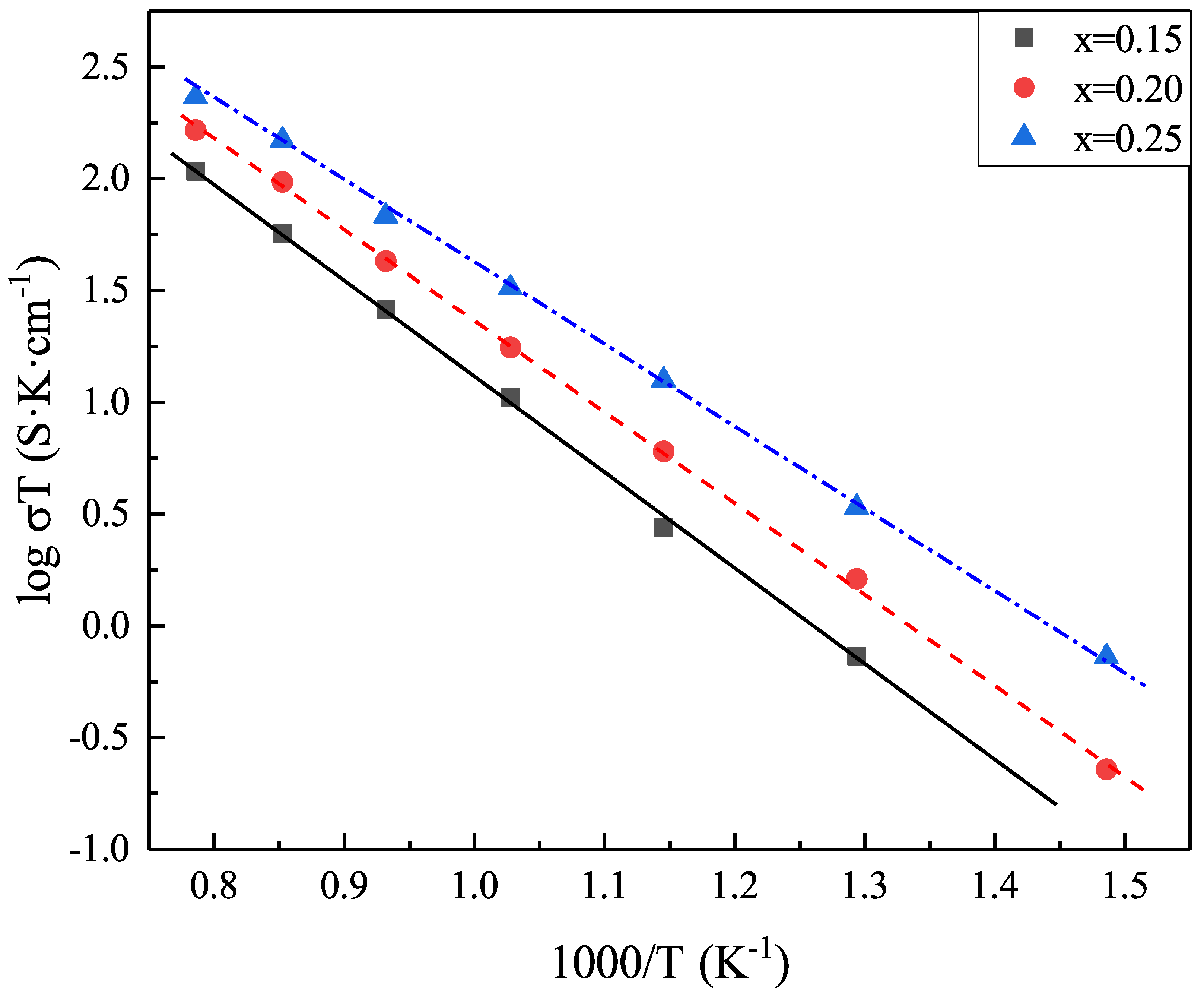
3. Results and Discussion
4. Conclusions
Author Contributions
Funding
Institutional Review Board Statement
Informed Consent Statement
Data Availability Statement
Acknowledgments
Conflicts of Interest
References
- Zakaria, Z.; Kamarudin, S.K. Enhancement on the Quaternized sodium alginate/polyvinyl alcohol membrane performance in the application of passive DEFCs. Mater. Lett. 2022, 309, 131388. [Google Scholar] [CrossRef]
- Bonnet, E.; Grenier, J.C.; Bassat, J.M.; Jacob, A.; Delatouche, B.; Bourdais, S. On the ionic conductivity of some zirconia-derived high-entropy oxides. J. Eur. Ceram. Soc. 2021, 41, 4505–4515. [Google Scholar] [CrossRef]
- Abdalaa, P.M.; Lamas, D.G.; Fantini, M.C.A.; Craievich, A.F. Retention at room temperature of the tetragonal t”-form in Sc2O3-doped ZrO2 nanopowders. J. Alloys Compd. 2010, 495, 561–564. [Google Scholar] [CrossRef]
- Sarat, S.; Sammes, N.; Smirnova, A. Bismuth oxide doped scandia-stabilized zirconia electrolyte for the intermediate temperature solid oxide fuel cells. J. Power Sources 2006, 160, 892–896. [Google Scholar] [CrossRef]
- Shukla, V.; Kumar, A.; Basheer, I.L.; Balani, K.; Subramaniam, A.; Omar, S. Structural Characteristics and Electrical Conductivity of Spark Plasma Sintered Ytterbia Co-doped Scandia Stabilized Zirconia. J. Am. Ceram. Soc. 2017, 100, 204–214. [Google Scholar] [CrossRef] [Green Version]
- Arachi, Y.; Sakai, H.; Yamamoto, O.; Takeda, Y.; Imanishai, N. Electrical conductivity of the ZrO2—Ln2O3 (lanthanides) system. Solid State Ionics 1999, 121, 133–139. [Google Scholar] [CrossRef]
- Dravid, V.P.; Ravikumar, V.; Notis, M.R.; Lyman, C.E.; Dhalenne, G.; Revcolevschi, A. Stabilization of Cubic Zirconia with Manganese Oxide. J. Am. Ceram. Soc. 1994, 77, 2758–2762. [Google Scholar] [CrossRef]
- Valigi, M.; Gazzoli, D.; Dragone, R.; Marucci, A.; Matteib, G. Manganese oxide-zirconium oxide solid solutions. An X-ray diffraction, Raman spectroscopy, thermogravimetry and magnetic study. J. Mater. Chem. 1996, 6, 403–408. [Google Scholar] [CrossRef]
- Choudhary, V.R.; Uphade, B.S.; Pataskar, S.G.; Keshavaraja, A. Low-temperature complete combustion of methane over Mn-, Co-, and Fe-stabilized ZrO2. Angew. Chem. Int. Ed. Engl. 1996, 35, 2393–2395. [Google Scholar] [CrossRef]
- Ostanin, S.; Ernst, A.; Sandratskii, L.M.; Bruno, P.; Däne, M.; Hughes, I.D.; Staunton, J.B.; Hergert, W.; Mertig, I.; Kudrnovský, J. Mn-stabilized zirconia: From imitation diamonds to a new potential high-TC ferromagnetic spintronics material. Phys. Rev. Lett. 2007, 98, 016101. [Google Scholar] [CrossRef] [Green Version]
- Pucci, A.; Clavel, G.; Willinger, M.G.; Zitoun, D.; Pinna, N. Transition Metal-Doped ZrO2 and HfO2 Nanocrystals. J. Phys. Chem. C 2009, 113, 12048–12058. [Google Scholar] [CrossRef]
- Zakaria, Z.; Kamarudin, S.K.; Timmiati, S.N. Influence of Graphene Oxide on the Ethanol Permeability and Ionic Conductivity of QPVA-Based Membrane in Passive Alkaline Direct Ethanol Fuel Cells. Nanoscale Res. Lett. 2019, 14, 28. [Google Scholar] [CrossRef] [PubMed] [Green Version]
- Pal, S.; Mondal, R.; Guha, S.; Chatterjee, U.; Jewrajka, S.K. Homogeneous phase crosslinked poly(acrylonitrile-co-2-acrylamido-2-methyl-1-propanesulfonic acid) conetwork cation exchange membranes showing high electrochemical properties and electrodialysis performance. Polymer 2019, 180, 121680. [Google Scholar] [CrossRef]
- Kawada, T.; Sakai, N.; Yokokawa, H.; Doklya, M. Electrical properties of transition-metal-doped YSZ. Solid State Ionics 1992, 53, 418–425. [Google Scholar] [CrossRef]
- Pomykalska, D.; Bućko, M.M.; Rekas, M. Electrical conductivity of MnOx-Y2O3-ZrO2 solid solutions. Solid State Ionics 2010, 181, 48–52. [Google Scholar] [CrossRef]
- Kim, J.H.; Choi, G.M. Mixed ionic and electronic conductivity of [(ZrO2)0.92(Y2O3)0.08]1−y · (MnO1.5)y. Solid State Ionics 2000, 130, 157–168. [Google Scholar] [CrossRef]
- Lei, Z.; Zhu, Q.S. Phase transformation and low temperature sintering of manganese oxide and scandia co-doped zirconia. Mater. Lett. 2007, 61, 1311–1314. [Google Scholar] [CrossRef]
- Nandy, A.; Dutta, A.; Pradhan, S.K. Effect of Manganese (II) Oxide on microstructure and ionic transport properties of nanostructured cubic zirconia. Electrochem. Acta 2015, 170, 360–368. [Google Scholar] [CrossRef]
- Gao, L.; Xie, M.J.; Jin, L.H.; Wang, Y.; Jin, C.Q.; Zhao, Y.H. Mn-stabilized zirconia ceramics: Phase transformation and mixed ionic-electronic conductivity. Ceram. Int. 2018, 44, 19383–19389. [Google Scholar] [CrossRef]
- Gao, L.; Zhou, L.; Li, C.S.; Feng, J.Q.; Lu, Y.F. Kinetics of stabilized cubic zirconia formation from MnO2-ZrO2 diffusion couple. J. Mater. Sci. 2013, 48, 974–977. [Google Scholar] [CrossRef]
- Herle, J.V.; Vasquez, R. Conductivity of Mn and Ni-doped stabilized zirconia electrolyte. J. Eur. Ceram. Soc. 2004, 24, 1177–1180. [Google Scholar] [CrossRef]
- Rahaman, M.A.; Rout, S.; Thomas, J.P.; McGillivary, D.; Leung, K.T. Defect-rich dopant-free ZrO2 nanostructures with superior dilute ferromagnetic semiconductor properties. J. Am. Chem. Soc. 2016, 138, 11896–11906. [Google Scholar] [CrossRef] [PubMed]
- Renuka, L.; Anantharaju, K.S.; Sharma, S.C.; Nagaswarupa, H.P.; Prashantha, S.C.; Nagabhushana, H.; Vidya, Y.S. Hollow microspheres Mg-doped ZrO2 nanoparticles: Green assisted synthesis and applications in photocatalysis and photoluminescence. J. Alloys Compd. 2016, 672, 609–622. [Google Scholar] [CrossRef]




| Composition | σ 600°C (S/cm) | σ 800°C (S/cm) | σ 1000°C (S/cm) | E (eV) |
|---|---|---|---|---|
| ZrMnO | 0.0031 | 0.024 | 0.085 | 0.86 |
| ZrMnO | 0.0069 | 0.040 | 0.130 | 0.81 |
| ZrMnO | 0.0144 | 0.064 | 0.182 | 0.72 |
| 8YSZ [6] | 0.0039 | 0.040 | 0.140 | 0.84 |
| 11ScSZ [6] | ∼0.0001 | 0.112 | 0.302 | 0.70 |
Publisher’s Note: MDPI stays neutral with regard to jurisdictional claims in published maps and institutional affiliations. |
© 2022 by the authors. Licensee MDPI, Basel, Switzerland. This article is an open access article distributed under the terms and conditions of the Creative Commons Attribution (CC BY) license (https://creativecommons.org/licenses/by/4.0/).
Share and Cite
Gao, L.; Guan, R.; Zhang, S.; Zhi, H.; Jin, C.; Jin, L.; Wei, Y.; Wang, J. As-Sintered Manganese-Stabilized Zirconia Ceramics with Excellent Electrical Conductivity. Crystals 2022, 12, 620. https://doi.org/10.3390/cryst12050620
Gao L, Guan R, Zhang S, Zhi H, Jin C, Jin L, Wei Y, Wang J. As-Sintered Manganese-Stabilized Zirconia Ceramics with Excellent Electrical Conductivity. Crystals. 2022; 12(5):620. https://doi.org/10.3390/cryst12050620
Chicago/Turabian StyleGao, Ling, Ruidong Guan, Shengnan Zhang, Hao Zhi, Changqing Jin, Lihua Jin, Yongxing Wei, and Jianping Wang. 2022. "As-Sintered Manganese-Stabilized Zirconia Ceramics with Excellent Electrical Conductivity" Crystals 12, no. 5: 620. https://doi.org/10.3390/cryst12050620
APA StyleGao, L., Guan, R., Zhang, S., Zhi, H., Jin, C., Jin, L., Wei, Y., & Wang, J. (2022). As-Sintered Manganese-Stabilized Zirconia Ceramics with Excellent Electrical Conductivity. Crystals, 12(5), 620. https://doi.org/10.3390/cryst12050620

