Anharmonic Motion in the Crystal Structure of 2-Mercaptopyridone
Abstract
:1. Introduction
2. Materials and Methods
3. Results and Discussion
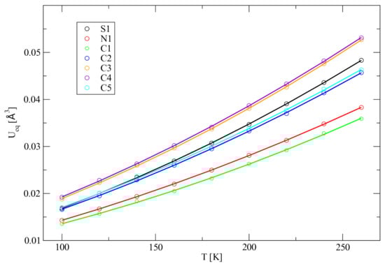
3.1. Independent Atom Model
3.2. Thermal Expansion
3.3. Hirshfeld Atom Refinement
3.4. Multipole Refinement
4. Conclusions
Supplementary Materials
Author Contributions
Funding
Data Availability Statement
Conflicts of Interest
References
- Moran, D.; Sukcharoenphon, K.; Puchta, R.; Schaefer, H.F.; Schleyer, P.V.R.; Hoff, C.D. 2-Pyridinethiol/2-Pyridinethione Tautomeric Equilibrium. A Comparative Experimental and Computational Study. J. Org. Chem. 2002, 67, 9061–9069. [Google Scholar] [CrossRef] [PubMed]
- Van Kuiken, B.E.; Ross, M.R.; Strader, M.L.; Cordones, A.A.; Cho, H.; Lee, J.H.; Schoenlein, R.W.; Khalil, M. Picosecond sulfur K-edge X-ray absorption spectroscopy with applications to excited state proton transfer. Struct. Dyn. 2017, 4, 044021. [Google Scholar] [CrossRef] [PubMed] [Green Version]
- Penfold, B.R. The crystal structure of α-thiopyridone. Acta Crystallogr. 1953, 6, 707–713. [Google Scholar] [CrossRef] [Green Version]
- Ohms, U.; Guth, H.; Kutoglu, A.; Scheringer, C. 2-Thiopyridone: X-ray and neutron diffraction study. Acta Crystallogr. Sect. B 1982, 38, 831–834. [Google Scholar] [CrossRef]
- Reynolds, J.G.; Sendlinger, S.C.; Murray, A.M.; Huffman, J.C.; Christou, G. Synthesis and Characterization of Vanadium(II,III,IV) Complexes of Pyridine-2-thiolate. Inorg. Chem. 1995, 34, 5745–5752. [Google Scholar] [CrossRef]
- Herbst-Irmer, R.; Henn, J.; Holstein, J.J.; Hübschle, C.B.; Dittrich, B.; Stern, D.; Kratzert, D.; Stalke, D. Anharmonic Motion in Experimental Charge Density Investigations. J. Phys. Chem. A 2013, 117, 633–641. [Google Scholar] [CrossRef]
- Destro, R.; Roversi, P.; Barzaghi, M.; Lo Presti, L. Anharmonic Thermal Motion Modelling in the Experimental XRD Charge Density Determination of 1-Methyluracil at T = 23 K. Molecules 2021, 26, 3075. [Google Scholar] [CrossRef]
- Schreurs, A.M.M.; Xian, X.; Kroon-Batenburg, L.M.J. EVAL15: A diffraction data integration method based on ab initio predicted profiles. J. Appl. Crystallogr. 2010, 43, 70–82. [Google Scholar] [CrossRef]
- Krause, L.; Herbst-Irmer, R.; Sheldrick, G.M.; Stalke, D. Comparison of silver and molybdenum microfocus X-ray sources for single-crystal structure determination. J. Appl. Crystallogr. 2015, 48, 3–10. [Google Scholar] [CrossRef] [Green Version]
- Kleemiss, F.; Dolomanov, O.V.; Bodensteiner, M.; Peyerimhoff, N.; Midgley, L.; Bourhis, L.J.; Genoni, A.; Malaspina, L.A.; Jayatilaka, D.; Spencer, J.L.; et al. Accurate crystal structures and chemical properties from NoSpherA2. Chem. Sci. 2021, 12, 1675–1692. [Google Scholar] [CrossRef]
- Sun, Q.; Berkelbach, T.C.; Blunt, N.S.; Booth, G.H.; Guo, S.; Li, Z.; Liu, J.; McClain, J.D.; Sayfutyarova, E.R.; Sharma, S.; et al. PySCF: The Python-based simulations of chemistry framework. WIREs Comput. Mol. Sci. 2018, 8, e1340. [Google Scholar] [CrossRef]
- Sheldrick, G.M. Crystal structure refinement with SHELXL. Acta Crystallogr. Sect. C 2015, 71, 3–8. [Google Scholar] [CrossRef]
- Dolomanov, O.V.; Bourhis, L.J.; Gildea, R.J.; Howard, J.A.K.; Puschmann, H. OLEX2: A complete structure solution, refinement and analysis program. J. Appl. Crystallogr. 2009, 42, 339–341. [Google Scholar] [CrossRef]
- Sheldrick, G.M. XPREP, Version 2008/2; Bruker AXS Inc.: Madison, WI, USA, 2008.
- Volkov, A.; Macchi, P.; Farrugia, L.J.; Gatti, C.; Mallinson, P.R.; Richter, T.; Koritsanszky, T. XD2016, Version 2016.01. A Computer Program for Multipole Refinement, Topological Analysis of Charge Densities and Evalution of Intermolecular Interaction Energies from Experimental or Theoretical Structure Factors. 2016.
- Grimme, S. Do Special Noncovalent π–π Stacking Interactions Really Exist? Angew. Chem. Int. Ed. 2008, 47, 3430–3434. [Google Scholar] [CrossRef]
- Takahashi, O.; Nishio, M. The CH/⋯π Hydrogen Bond. In Intermolecular Interactions in Crystals: Fundamentals of Crystal Engineering; Novoa, J.J., Ed.; The Royal Society of Chemistry: London, UK, 2018; pp. 453–477. [Google Scholar]
- Nishio, M. The CH/π hydrogen bond: Implication in chemistry. J. Mol. Struct. 2012, 1018, 2–7. [Google Scholar] [CrossRef]
- Kumar, M.; Balaji, P.V. C-H⋯π interactions in proteins: Prevalence, pattern of occurrence, residue propensities, location, and contribution to protein stability. J. Mol. Model. 2014, 20, 2136. [Google Scholar] [CrossRef]
- Spek, A.L. Structure validation in chemical crystallography. Acta Crystallogr. Sect. D 2009, 65, 148–155. [Google Scholar] [CrossRef]
- Spackman, P.R.; Turner, M.J.; McKinnon, J.J.; Wolff, S.K.; Grimwood, D.J.; Jayatilaka, D.; Spackman, M.A. CrystalExplorer: A program for Hirshfeld surface analysis, visualization and quantitative analysis of molecular crystals. J. Appl. Crystallogr. 2021, 54, 1006–1011. [Google Scholar] [CrossRef]
- Jelsch, C.; Ejsmont, K.; Huder, L. The enrichment ratio of atomic contacts in crystals, an indicator derived from the Hirshfeld surface analysis. IUCrJ 2014, 1, 119–128. [Google Scholar] [CrossRef]
- Schomaker, V.; Trueblood, K.N. Correlation of Internal Torsional Motion with Overall Molecular Motion in Crystals. Acta Crystallogr. Sect. B 1998, 54, 507–514. [Google Scholar] [CrossRef] [Green Version]
- Hirshfeld, F.L. Can X-ray data distinguish bonding effects from vibrational smearing? Acta Crystallogr. Sect. A 1976, 32, 239–244. [Google Scholar] [CrossRef]
- Lovett, D.R. Tensor Properties of Crystals, 2nd ed.; Institute of Physics Publishing: Bristol, UK, 1999. [Google Scholar]
- Ohashi, Y. A Program to Calculate the Strain Tensor from Two Sets of Unit-cell Parameters. In Comparative Crystal Chemistry; Hazen, R.M., Finger, L.W., Eds.; Wiley: Chichester, UK, 1982; pp. 92–102. [Google Scholar]
- Bürgi, H.B.; Capelli, S.C.; Birkedal, H. Anharmonicity in anisotropic displacement parameters. Acta Crystallogr. Sect. A 2000, 56, 425–435. [Google Scholar] [CrossRef]
- Salud, J.; Barrio, M.; López, D.O.; Tamarit, J.L.; Alcobé, X. Anisotropy of Intermolecular Interactions from the Study of the Thermal-Expansion Tensor. J. Appl. Crystallogr. 1998, 31, 748–757. [Google Scholar] [CrossRef] [Green Version]
- Meindl, K.; Henn, J. Foundations of residual-density analysis. Acta Crystallogr. Sect. A 2008, 64, 404–418. [Google Scholar] [CrossRef]
- Capelli, S.C.; Bürgi, H.B.; Dittrich, B.; Grabowsky, S.; Jayatilaka, D. Hirshfeld atom refinement. IUCrJ 2014, 1, 361–379. [Google Scholar] [CrossRef] [Green Version]
- Allen, F.H.; Bruno, I.J. Bond lengths in organic and metal-organic compounds revisited: X–H bond lengths from neutron diffraction data. Acta Crystallogr. Sect. B 2010, 66, 380–386. [Google Scholar] [CrossRef]
- Hansen, N.K.; Coppens, P. Testing aspherical atom refinements on small-molecule data sets. Acta Crystallogr. Sect. A 1978, 34, 909–921. [Google Scholar] [CrossRef]
- Hamilton, W.C. Significance tests on the crystallographic R Factor. Acta Crystallogr. 1965, 18, 502–510. [Google Scholar] [CrossRef]
- Köhler, C.; Lübben, J.; Krause, L.; Hoffmann, C.; Herbst-Irmer, R.; Stalke, D. Comparison of different strategies for modelling hydrogen atoms in charge density analyses. Acta Crystallogr. Sect. B 2019, 75, 434–441. [Google Scholar] [CrossRef] [PubMed] [Green Version]
- Blessing, R.H. On the differences between X-ray and neutron thermal vibration parameters. Acta Crystallogr. Sect. B 1995, 51, 816–823. [Google Scholar] [CrossRef] [PubMed]
- Koritsanszky, T.S.; Coppens, P. Chemical Applications of X-ray Charge-Density Analysis. Chem. Rev. 2001, 101, 1583–1628. [Google Scholar] [CrossRef]
- Gatti, C. Chemical bonding in crystals: New directions. Z. Kristallogr. Cryst. Mater. 2005, 220, 399–457. [Google Scholar] [CrossRef]
- Bader, R.F.W. Atoms in Molecules: A Quantum Theory; Clarendon Press: Oxford, UK, 1990. [Google Scholar]
- Espinosa, E.; Souhassou, M.; Lachekar, H.; Lecomte, C. Topological analysis of the electron density in hydrogen bonds. Acta Crystallogr. Sect. B 1999, 55, 563–572. [Google Scholar] [CrossRef]
- Marsman, A.W.; van Walree, C.A.; Havenith, R.W.A.; Jenneskens, L.W.; Lutz, M.; Spek, A.L.; Lutz, E.T.G.; van der Maas, J.H. Infinite, undulating chains of intermolecularly hydrogen bonded (E,E)-2,2-dimethylcyclohexane-1,3-dione dioximes in the solid state. A single crystal X-ray, charge density distribution and spectroscopic study. J. Chem. Soc. Perkin Trans. 2 2000, 3, 501–510. [Google Scholar] [CrossRef]
- Hübschle, C.B.; Dittrich, B. MoleCoolQt—A molecule viewer for charge-density research. J. Appl. Crystallogr. 2011, 44, 238–240. [Google Scholar] [CrossRef] [Green Version]











| High-Resolution Refinements of (I) | |||
|---|---|---|---|
| sum formula | |||
| formula weight | 111.16 | ||
| crystal system | monoclinic | ||
| space group | |||
| a | 6.02927(6) Å | ||
| b | 6.26010(6) Å | ||
| c | 14.10858(13) Å | ||
| 101.808(1) | |||
| V | 521.243(9) Å | ||
| Z | 4 | ||
| 1.416 | |||
| 0.47 | |||
| T | 100(2) K | ||
| crystal size | mm | ||
| 1.24 Å | |||
| absorption corr. | multi-scan (SADABS [9]) | ||
| corr. range | 0.85–0.93 | ||
| meas. refl. | 114,524 | ||
| unique refl. | 8374 | ||
| 0.022 | |||
| IAM | NoSpherA2 | Multipole | |
| reflection merging | SHELXL [12] | Olex2 [13] | XPREP [14] |
| refinement program | SHELXL [12] | Olex2 [13] | XD [15] |
| refinement on | F | ||
| used refl. | 8374 | 8374 | 8115 |
| no. parameters | 84 | 109 | 377 |
| no. restraints | 0 | 0 | 0 |
| weight_a, weight_b | 0.0486, 0.0072 | 0.0130, 0.0049 | 0.0102, 0.0020 |
| R (all ref.) | 0.0228 | 0.0146 | 0.014 |
| wR (all refl.) | 0.0775 | 0.0292 | 0.011 |
| S | 1.109 | 1.0097 | 1.036 |
| [e/Å] | −0.26/0.57 | −0.27/0.28 | −0.15/0.09 |
| Bond Distances [Å] | Bond Angles [] | ||
|---|---|---|---|
| N1–C5 | 1.3552(3) [1.354(3)] | N1–C5–C4 | 120.68(2) [120.7(2)] |
| N1–C1 | 1.3623(2) [1.357(3)] | C5–N1–C1 | 124.531(16) [124.6(2)] |
| C1–C2 | 1.4201(2) [1.417(4)] | N1–C1–C2 | 115.572(17) [115.0(2)] |
| C2–C3 | 1.3779(3) [1.376(4)] | C3–C2–C1 | 120.88(2) [120.9(2)] |
| C3–C4 | 1.4104(4) [1.399(4)] | C2–C3–C4 | 120.685(18) [120.6(3)] |
| C4–C5 | 1.3689(3) [1.352(4)] | C5–C4–C3 | 117.63(2) [118.0(3)] |
| S1–C1 | 1.69981(19) [1.692(2)] | N1–C1–S1 | 120.368(12) [120.6(2)] |
| C2–C1–S1 | 124.052(15) [124.3(2)] | ||
| H | C | N | S | |
|---|---|---|---|---|
| H | 0.85 | |||
| C | 1.09 | 1.46 | ||
| N | 0.84 | / | / | |
| S | 1.47 | 0.09 | 0.0 | 0.31 |
| T [K] | H3⋯Cg [Å] | H-Perp [Å] | C3-H3⋯Cg [] | C3⋯Cg [Å] |
|---|---|---|---|---|
| 100 | 2.76 | 2.74 | 134 | 3.4893(12) |
| 120 | 2.77 | 2.75 | 134 | 3.4984(12) |
| 140 | 2.78 | 2.76 | 134 | 3.5079(12) |
| 160 | 2.79 | 2.77 | 134 | 3.5177(12) |
| 180 | 2.80 | 2.78 | 134 | 3.5275(13) |
| 200 | 2.81 | 2.79 | 134 | 3.5373(14) |
| 220 | 2.83 | 2.81 | 134 | 3.5489(15) |
| 240 | 2.85 | 2.82 | 134 | 3.5602(16) |
| 260 | 2.86 | 2.84 | 134 | 3.5715(16) |
| Bond A–B | [eÅ] | [eÅ] | [eÅ] | [eÅ] | [eÅ] | |
|---|---|---|---|---|---|---|
| S1–C1 | 1.459(8) | −5.24(2) | −8.19 | −7.55 | 10.50 | 0.08 |
| N1–C5 | 2.280(16) | −25.71(7) | −19.83 | −16.91 | 11.03 | 0.17 |
| N1–C1 | 2.233(12) | −24.47(6) | −19.45 | −16.63 | 11.61 | 0.17 |
| C1–C2 | 2.079(11) | −17.44(4) | −16.37 | −13.45 | 12.38 | 0.22 |
| C2–C3 | 2.227(13) | −20.64(4) | −17.59 | −14.82 | 11.77 | 0.19 |
| C3–C4 | 2.078(13) | −18.97(4) | −16.19 | −14.40 | 11.62 | 0.12 |
| C4–C5 | 2.284(13) | −22.49(4) | −18.92 | −14.98 | 11.42 | 0.26 |
| H1–S1 | 0.172(6) | 1.009(8) | −0.84 | −0.72 | 2.57 | 0.17 |
| H5–S1 | 0.062(4) | 0.597(2) | −0.22 | −0.15 | 0.96 | 0.44 |
| Bond A–B | A–B [Å] | A– [Å] | –B [Å] |
|---|---|---|---|
| S1–C1 | 1.6995(3) | 0.8652 | 0.8343 |
| N1–C5 | 1.3551(4) | 0.8142 | 0.5409 |
| N1–C1 | 1.3621(4) | 0.8056 | 0.5565 |
| C1–C2 | 1.4188(3) | 0.7239 | 0.6950 |
| C2–C3 | 1.3783(5) | 0.6932 | 0.6852 |
| C3–C4 | 1.4111(5) | 0.7134 | 0.6978 |
| C4–C5 | 1.3702(4) | 0.6654 | 0.7049 |
| H1–S1 | 2.2712 | 0.7684 | 1.5029 |
| H5–S1 | 2.8604 | 1.1154 | 1.7451 |
Publisher’s Note: MDPI stays neutral with regard to jurisdictional claims in published maps and institutional affiliations. |
© 2022 by the authors. Licensee MDPI, Basel, Switzerland. This article is an open access article distributed under the terms and conditions of the Creative Commons Attribution (CC BY) license (https://creativecommons.org/licenses/by/4.0/).
Share and Cite
Lutz, M.; Smak, T.J.; Sanderse, A.T. Anharmonic Motion in the Crystal Structure of 2-Mercaptopyridone. Crystals 2022, 12, 338. https://doi.org/10.3390/cryst12030338
Lutz M, Smak TJ, Sanderse AT. Anharmonic Motion in the Crystal Structure of 2-Mercaptopyridone. Crystals. 2022; 12(3):338. https://doi.org/10.3390/cryst12030338
Chicago/Turabian StyleLutz, Martin, Tom J. Smak, and Arnaud T. Sanderse. 2022. "Anharmonic Motion in the Crystal Structure of 2-Mercaptopyridone" Crystals 12, no. 3: 338. https://doi.org/10.3390/cryst12030338
APA StyleLutz, M., Smak, T. J., & Sanderse, A. T. (2022). Anharmonic Motion in the Crystal Structure of 2-Mercaptopyridone. Crystals, 12(3), 338. https://doi.org/10.3390/cryst12030338

