Reduction in the Photoluminescence Intensity Caused by Ultrathin GaN Quantum Barriers in InGaN/GaN Multiple Quantum Wells
Abstract
:1. Introduction
2. Materials and Methods
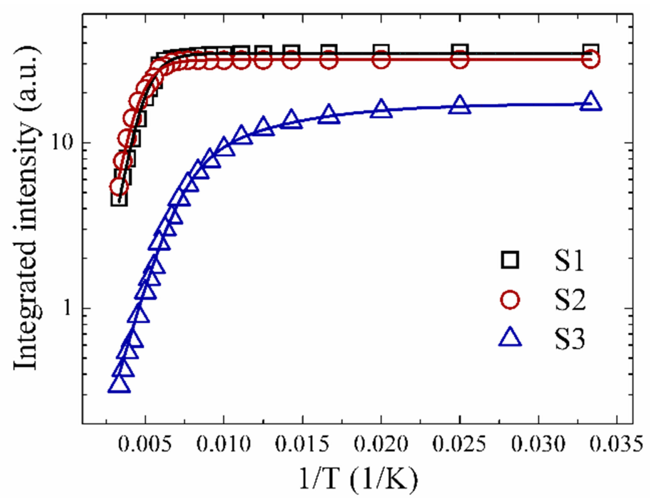
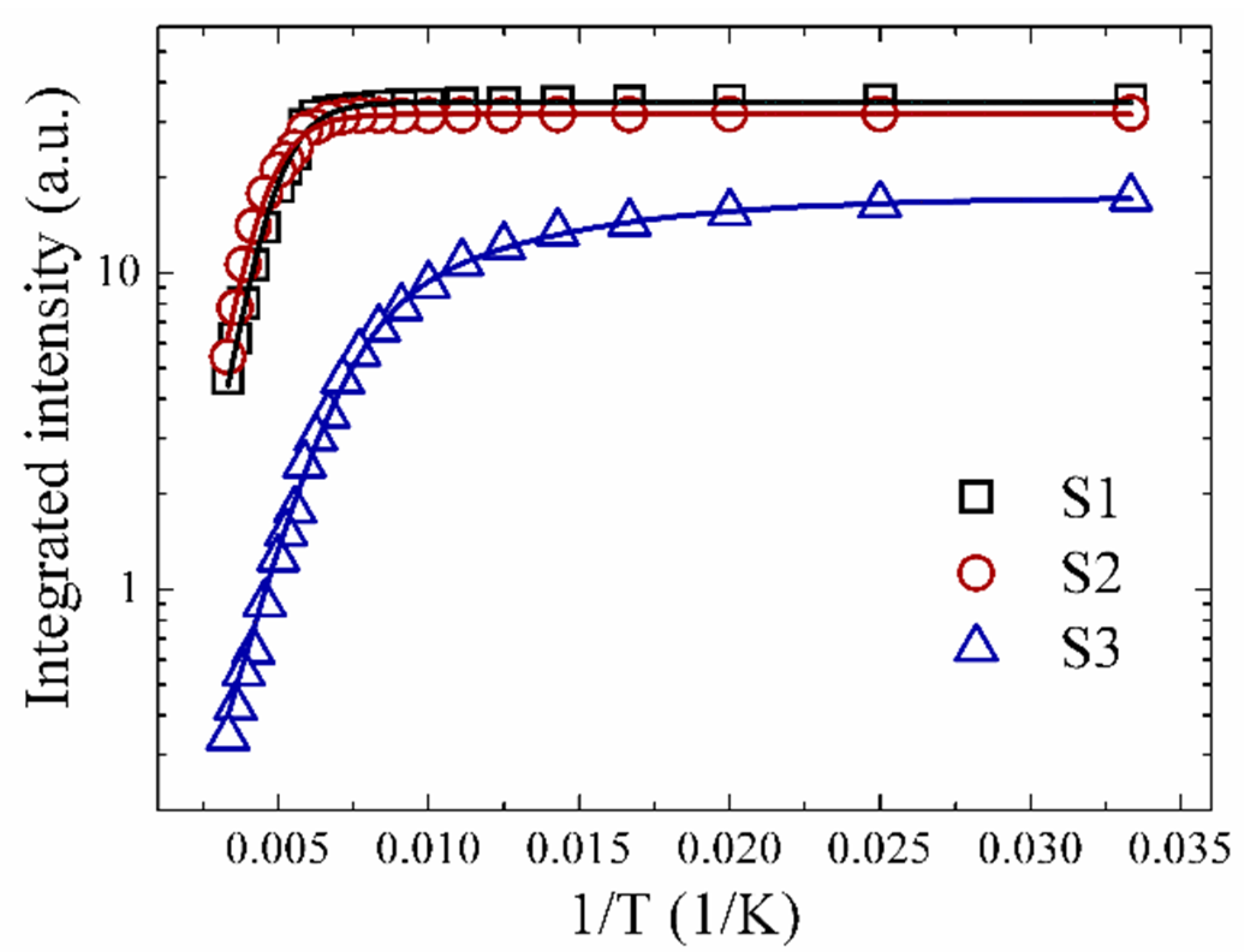
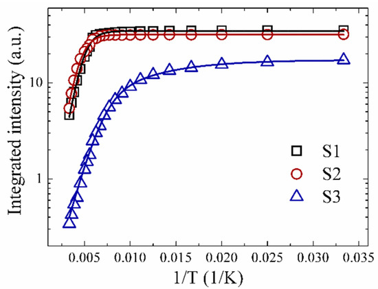
3. Results and Discussion
4. Conclusions
Author Contributions
Funding
Institutional Review Board Statement
Informed Consent Statement
Data Availability Statement
Conflicts of Interest
References
- Kim, J.; Kim, J.; Oh, S.; Choi, J.; Lee, D.H.; Cho, K.; Lee, S.; Ahn, C.H. A 20-W wide bandwidth GaN HEMT power amplifier for VHF/UHF applications. IEEE Trans. Ind. Electron. 2020, 67, 10905–10910. [Google Scholar] [CrossRef]
- Menani, A.; Dehimi, L.; Dehimi, S.; Pezzimenti, F. Modelling and optical response of a compressive-strained AlGaN/GaN quantum well laser diode. J. Semicond. 2020, 41, 062301. [Google Scholar] [CrossRef]
- Polyakov, A.Y.; Haller, C.; Butte, R.; Smirnov, N.B.; Alexanyan, L.A.; Shikoh, A.S.; Shchemerov, I.V.; Chernykh, S.V.; Lagov, P.B.; Pavlov, Y.S.; et al. Effects of 5 MeV electron irradiation on deep traps and electroluminescence from near-UV InGaN/GaN single quantum well light-emitting diodes with and without InAlN superlattice underlayer. J. Phys. D Appl. Phys. 2020, 53, 445111. [Google Scholar] [CrossRef]
- Li, D.B.; Jiang, K.; Sun, X.J.; Guo, C.L. AlGaN photonics: Recent advances in materials and ultraviolet devices. Adv. Opt. Photonics. 2018, 10, 43–110. [Google Scholar] [CrossRef]
- Zhao, D.G. III-nitride based ultraviolet laser diodes. J. Semicond. 2019, 40, 120402. [Google Scholar] [CrossRef]
- Jorge, A.; Holguin-Lerma, J.A.; Kong, M.W.; Alkhazragi, O.; Sun, X.B.; Ng, T.K.; Ooi, B.S. 480-nm distributed-feedback InGaN laser diode for 10.5-Gbit/s visible-light communication. Opt. Lett. 2020, 45, 742–745. [Google Scholar]
- Li, X.D.; Geens, K.; Amirifar, N.; Zhao, M.; You, S.Z.; Posthuma, N.; Liang, H.; Groeseneken, G.; Decoutere, S. Integration of GaN analog building blocks on p-GaN wafers for GaN ICs. J. Semicond. 2021, 42, 024103. [Google Scholar] [CrossRef]
- Cai, X.L.; Du, C.L.; Sun, Z.X.; Ye, R.; Liu, H.J.; Zhang, Y.; Duan, X.Y.; Lu, H. Recent progress of physical failure analysis of GaN HEMTs. J. Semicond. 2021, 42, 051801. [Google Scholar] [CrossRef]
- Chen, S.W.; Huang, Y.M.; Singh, K.J.; Hsu, Y.C.; Liou, F.J.; Song, J.; Choi, J.; Lee, P.T.; Lin, C.C.; Chen, Z.; et al. Full-color micro-LED display with high color stability using semipolar (20-21) InGaN LEDs and quantum-dot photoresist. Photonics Res. 2020, 8, 630–636. [Google Scholar] [CrossRef]
- Xu, F.F.; Cen, X.; Liu, B.; Wang, D.B.; Tao, T.; Zhi, T.; Wang, Q.; Xie, Z.L.; Zhou, Y.G.; Zheng, Y.D.; et al. High performance GaN-based hybrid white micro-LEDs integrated with quantum-dots. J. Semicond. 2020, 41, 032301. [Google Scholar] [CrossRef]
- Wang, Z.; Shan, X.Y.; Cui, X.G.; Tian, P.F. Characteristics and techniques of GaN-based micro-LEDs for application in next-generation display. J. Semicond. 2020, 41, 041606. [Google Scholar] [CrossRef]
- Lu, B.; Wang, Y.; Hyun, B.R.; Kuo, H.C.; Liu, Z. Color difference and thermal stability of flexible transparent InGaN/GaN multiple quantum wells mini-LED arrays. IEEE Electron Device Lett. 2020, 41, 1040–1043. [Google Scholar] [CrossRef]
- Zhou, S.J.; Liu, X.T.; Yan, H.; Chen, Z.W.; Liu, Y.; Liu, S. Highly efficient GaN-based high-power flip-chip light-emitting diodes. Opt. Express 2019, 27, A669–A692. [Google Scholar] [CrossRef] [PubMed]
- Fiorentini, V.; Bernardini, F.; Sala, F.D.; Carlo, A.D.; Lugli, P. Effects of macroscopic polarization in III-V nitride multiple quantum wells. Phys. Rev. B 1999, 60, 8849–8858. [Google Scholar] [CrossRef] [Green Version]
- Usman, M.; Mushtaq, U.; Saba, K.; Han, D.P.; Muhammad, N.; Imtiaz, W.A.; Jahangir, A. Improved optoelectronic performance of green light-emitting diodes by employing GaAlInN quantum wells without electron blocking layer. Physica E 2019, 106, 68–72. [Google Scholar] [CrossRef]
- Xu, X.L.; Wang, Q.; Li, C.F.; Ji, Z.W.; Xu, M.S.; Yang, H.F.; Xu, X.G. Enhanced localisation effect and reduced quantum-confined Stark effect of carriers in InGaN/GaN multiple quantum wells embedded in nanopillars. J. Lumin. 2018, 203, 216–221. [Google Scholar] [CrossRef]
- Chow, Y.C.; Lee, C.; Wong, M.S.; Wu, Y.R.; Nakamura, S.; Denbaars, S.P.; Bower, J.E.; Speck, J.S. Dependence of carrier escape lifetimes on quantum barrier thickness in InGaN/GaN multiple quantum well photodetectors. Opt. Express 2020, 28, 23796. [Google Scholar] [CrossRef]
- Cai, X.M.; Lv, X.Q.; Huang, X.J.; Wang, X.L.; Wang, M.S.; Yang, L.; Zhu, H.; Zhang, B.P. Study of InGaN/GaN multiple quantum well solar cells with different barrier thicknesses. Phys. Status Solidi A 2018, 215, 1700581. [Google Scholar] [CrossRef]
- Liu, J.P.; Ryou, J.H.; Dupuis, R.D.; Han, J.; Shen, G.D.; Wang, H.B. Barrier effect on hole transport and carrier distribution in InGaN/GaN multiple quantum well visible light-emitting diodes. Appl. Phys. Lett. 2008, 93, 021102. [Google Scholar] [CrossRef]
- Lang, J.R.; Young, N.G.; Farrell, R.M.; Wu, Y.R.; Speck, J.S. Carrier escape mechanism dependence on barrier thickness and temperature in InGaN quantum well solar cells. Appl. Phys. Lett. 2012, 101, 181105. [Google Scholar] [CrossRef]
- Liu, W.; Zhao, D.G.; Jiang, D.S.; Chen, P.; Shi, D.P.; Liu, Z.S.; Zhu, J.J.; Yang, J.; Li, X.; Liang, F.; et al. Comparative study on the InGaN multiple-quantum-well solar cells assisted by capacitance-voltage measurement with additional laser illumination. J. Alloy. Compd. 2017, 725, 1130. [Google Scholar] [CrossRef]
- Namvar, E.; Fattahi, M. Interference effects on the photoluminescence spectrum of GaN/InGaN single quantum well structures. J. Lumin. 2008, 128, 155–160. [Google Scholar] [CrossRef]
- Vickers, M.E.; Kappers, M.J.; Smeeton, T.M.; Thrush, E.J.; Barnard, J.S.; Humphreys, C.J. Determination of the indium content and layer thicknesses in InGaN/GaN quantum wells by x-ray scattering. J. Appl. Phys. 2003, 94, 1565. [Google Scholar] [CrossRef]
- Schulze, F.; Bläsing, J.; Dadgar, A.; Krost, A. Exact determination of Indium incorporation in (InxGa1–xN/GaN)-multiple quantum well structures by X-ray diffraction and -reflectivity and its impact on optical properties. Cryst. Mater. 2004, 219, 191–194. [Google Scholar]
- Morkoc, H. Nitride Semiconductor Devices: Fundamentals and Applications; Wiley-VCH: Berlin, Germany, 2013; pp. 47–48. [Google Scholar]
- Liu, W.; Liang, F.; Zhao, D.G.; Yang, J.; Jiang, D.S.; Zhu, J.; Liu, Z.S. Effects of photogenerated carriers in GaN layers on the photoluminescence characteristics of violet light-emitting InGaN/GaN multiple quantum wells. Mater. Res. Express 2019, 6, 076203. [Google Scholar] [CrossRef]
- Wang, L.; Wang, J.; Zhao, W.; Zou, X.; Luo, Y. Effects of InGaN barriers with low indium content on internal quantum efficiency of blue InGaN multiple quantum wells. Chin. Phys. B 2010, 19, 076803. [Google Scholar]
- Lee, S.K.; Lim, H.S.; Lee, J.H.; Kwack, H.S.; Cho, H.K.; Kwon, H.K.; Oh, M.S. Correlation between defect properties and internal quantum efficiency in blue-emitting InGaN based light emitting diodes. J. Appl. Phys. 2012, 111, 103115. [Google Scholar] [CrossRef]
- Alkauskas, A.; McCluskey, M.D.; Van de Walle, C.G. Tutorial: Defects in semiconductors—Combining experiment and theory. J. Appl. Phys. 2016, 119, 181101. [Google Scholar] [CrossRef]
- Moram, M.A.; Vickers, M.E. X-ray diffraction of III-nitrides. Rep. Prog. Phys. 2009, 72, 036502. [Google Scholar] [CrossRef]
- Krost, A.; Bläsing, J.; Lünenbürger, M.; Protzmann, H.; Heuken, M. Evaluation of strain and In content in InGaN/GaN multiquantum wells by x-ray analysis. Appl. Phys. Lett. 1999, 75, 689. [Google Scholar] [CrossRef]
- Liu, S.T.; Yang, J.; Zhao, D.G.; Jiang, D.S.; Liang, F.; Chen, P.; Zhu, J.J.; Liu, Z.S.; Liu, W.; Xing, Y.; et al. The influence of thermal annealing process after GaN cap layer growth on structural and optical properties of InGaN/InGaN multi-quantum wells. Opt. Mater. 2018, 86, 460–463. [Google Scholar] [CrossRef]
- Yang, J.; Zhao, D.G.; Jiang, D.S.; Chen, P.; Liu, Z.S.; Zhu, J.J.; Li, X.; Liu, W.; Liang, F.; Zhang, L.Q.; et al. Physical implications of activation energy derived from temperature dependent photoluminescence of InGaN-based materials. Chin. Phys. B 2017, 26, 077101. [Google Scholar] [CrossRef]
- Kumar, K. Fundamentals of Quantum Mechanics; Cambridge University Press: Cambridge, UK, 2018; pp. 88–94. [Google Scholar]
- Althib, H. Effect of quantum barrier width and quantum resonant tunneling through InGaN/GaN parabolic quantum well-LED structure on LED efficiency. Results Phys. 2021, 22, 103943. [Google Scholar] [CrossRef]
- Wang, Y.; Pei, X.J.; Xing, Z.G.; Guo, L.W.; Jia, H.Q.; Chen, H.; Zhou, J.M. Anomalous tunneling effect on photoluminescence of asymmetric coupled double InGaN/GaN quantum wells. Appl. Phys. Lett. 2007, 91, 061902. [Google Scholar] [CrossRef]
- Schneider, H.; Klitzing, K.V. Thermionic emission and Gaussian transport of holes in a GaAs/AlGaAs multiple-quantum-well structure. Phys. Rev. B 1988, 38, 6160–6165. [Google Scholar] [CrossRef]




| Parameters | S1 | S2 | S3 |
|---|---|---|---|
| E1 | 111.5 meV | 110.6 meV | 70.6 meV |
| C1 | 407.9 | 488.4 | 613.0 |
| E2 | - | - | 16.0 meV |
| C2 | - | - | 4.2 |
Publisher’s Note: MDPI stays neutral with regard to jurisdictional claims in published maps and institutional affiliations. |
© 2022 by the authors. Licensee MDPI, Basel, Switzerland. This article is an open access article distributed under the terms and conditions of the Creative Commons Attribution (CC BY) license (https://creativecommons.org/licenses/by/4.0/).
Share and Cite
Liu, W.; Liang, F.; Zhao, D.; Yang, J.; Chen, P.; Liu, Z. Reduction in the Photoluminescence Intensity Caused by Ultrathin GaN Quantum Barriers in InGaN/GaN Multiple Quantum Wells. Crystals 2022, 12, 339. https://doi.org/10.3390/cryst12030339
Liu W, Liang F, Zhao D, Yang J, Chen P, Liu Z. Reduction in the Photoluminescence Intensity Caused by Ultrathin GaN Quantum Barriers in InGaN/GaN Multiple Quantum Wells. Crystals. 2022; 12(3):339. https://doi.org/10.3390/cryst12030339
Chicago/Turabian StyleLiu, Wei, Feng Liang, Degang Zhao, Jing Yang, Ping Chen, and Zongshun Liu. 2022. "Reduction in the Photoluminescence Intensity Caused by Ultrathin GaN Quantum Barriers in InGaN/GaN Multiple Quantum Wells" Crystals 12, no. 3: 339. https://doi.org/10.3390/cryst12030339
APA StyleLiu, W., Liang, F., Zhao, D., Yang, J., Chen, P., & Liu, Z. (2022). Reduction in the Photoluminescence Intensity Caused by Ultrathin GaN Quantum Barriers in InGaN/GaN Multiple Quantum Wells. Crystals, 12(3), 339. https://doi.org/10.3390/cryst12030339
