Monochannel Demultiplexer Phononic Crystal Slab Based on Hollow Pillars
Abstract
:1. Introduction
2. Model and Method of Simulations
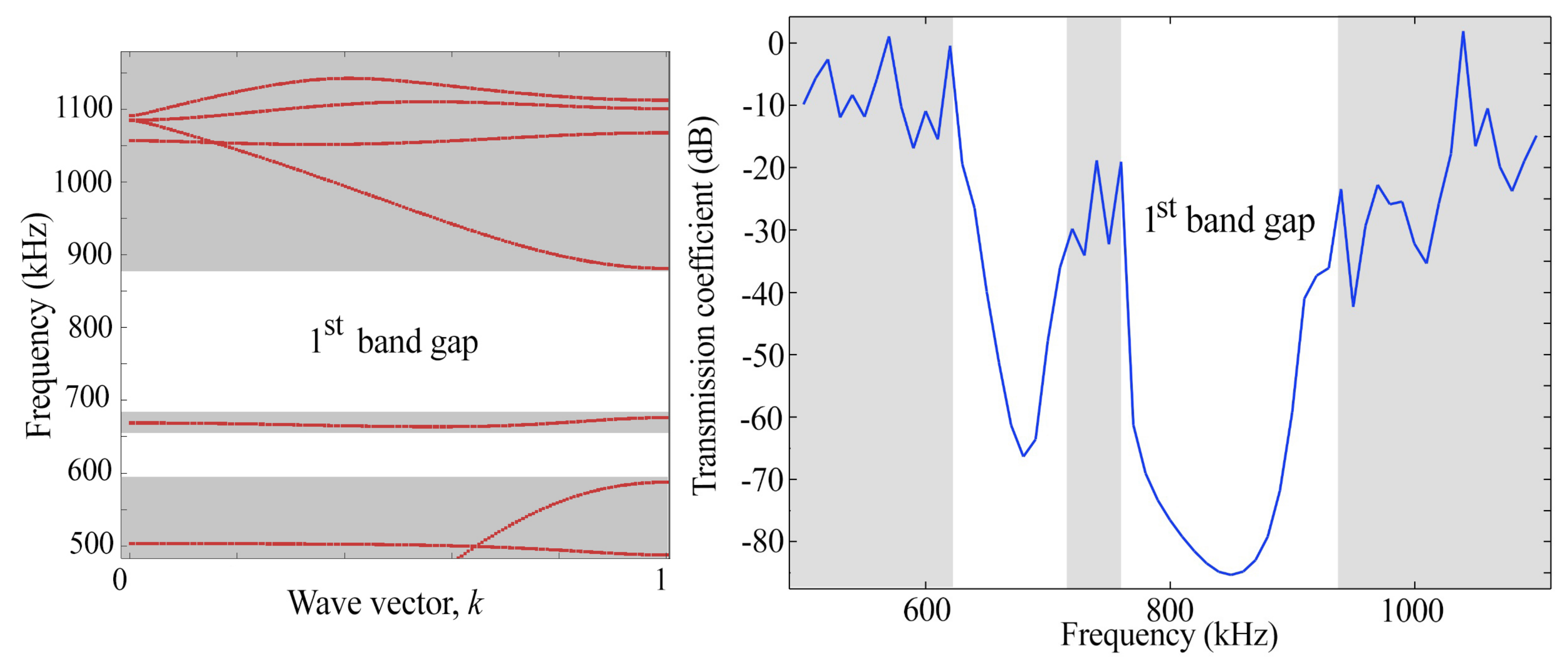
3. Result and Discussion
4. Conclusions
Author Contributions
Funding
Institutional Review Board Statement
Informed Consent Statement
Data Availability Statement
Acknowledgments
Conflicts of Interest
References
- Hussein, M.I.; Leamy, M.J.; Ruzzene, M. Dynamics of phononic materials and structures: Historical origins, recent progress, and future outlook. Appl. Mech. Rev. 2014, 66, 040802. [Google Scholar] [CrossRef]
- Pennec, Y.; Djafari-Rouhani, B.; Vasseur, J.; Khelif, A.; Deymier, P.A. Tunable filtering and demultiplexing in phononic crystals with hollow cylinders. Phys. Rev. E 2004, 69, 046608. [Google Scholar] [CrossRef] [PubMed] [Green Version]
- Khelif, A.; Choujaa, A.; Benchabane, S.; Djafari-Rouhani, B.; Laude, V. Guiding and bending of acoustic waves in highly confined phononic crystal waveguides. Appl. Phys. Lett. 2004, 84, 4400–4402. [Google Scholar] [CrossRef]
- Laude, V.; Robert, L.; Daniau, W.; Khelif, A.; Ballandras, S. Surface acoustic wave trapping in a periodic array of mechanical resonators. Appl. Phys. Lett. 2006, 89, 083515. [Google Scholar] [CrossRef] [Green Version]
- Lin, S.C.S.; Huang, T.J. Acoustic mirage in two-dimensional gradient-index phononic crystals. J. Appl. Phys. 2009, 106, 053529. [Google Scholar] [CrossRef]
- El-Kady, I.; Olsson, R., III; Fleming, J. Phononic band-gap crystals for radio frequency communications. Appl. Phys. Lett. 2008, 92, 233504. [Google Scholar] [CrossRef]
- Wu, T.T.; Wang, W.S.; Sun, J.H.; Hsu, J.C.; Chen, Y.Y. Utilization of phononic-crystal reflective gratings in a layered surface acoustic wave device. Appl. Phys. Lett. 2009, 94, 101913. [Google Scholar] [CrossRef]
- Aly, A.H.; Mehaney, A. Low band gap frequencies and multiplexing properties in 1D and 2D mass spring structures. Chin. Phys. B 2016, 25, 114301. [Google Scholar] [CrossRef]
- Moradi, P.; Gharibi, H.; Fard, A.M.; Mehaney, A. Four-channel ultrasonic demultiplexer based on two-dimensional phononic crystal towards high efficient liquid sensor. Phys. Scr. 2021, 96, 125713. [Google Scholar] [CrossRef]
- Liu, Z.; Zhang, X.; Mao, Y.; Zhu, Y.; Yang, Z.; Chan, C.T.; Sheng, P. Locally resonant sonic materials. Science 2000, 289, 1734–1736. [Google Scholar] [CrossRef]
- Goffaux, C.; Sánchez-Dehesa, J. Two-dimensional phononic crystals studied using a variational method: Application to lattices of locally resonant materials. Phys. Rev. B 2003, 67, 144301. [Google Scholar] [CrossRef] [Green Version]
- Wang, G.; Yu, D.; Wen, J.; Liu, Y.; Wen, X. One-dimensional phononic crystals with locally resonant structures. Phys. Lett. A 2004, 327, 512–521. [Google Scholar] [CrossRef]
- Khelif, A.; Adibi, A. Phononic Crystals; Springer: Berlin/Heidelberg, Germany, 2015. [Google Scholar]
- Laude, V. Phononic Crystals; de Gruyter: Berlin, Germany, 2020. [Google Scholar]
- Deymier, P.A. Acoustic Metamaterials and Phononic Crystals; Springer Science & Business Media: Berlin/Heidelberg, Germany, 2013; Volume 173. [Google Scholar]
- Liu, J.; Guo, H.; Wang, T. A review of acoustic metamaterials and phononic crystals. Crystals 2020, 10, 305. [Google Scholar] [CrossRef]
- Pourabolghasem, R.; Khelif, A.; Mohammadi, S.; Eftekhar, A.A.; Adibi, A. Physics of band-gap formation and its evolution in the pillar-based phononic crystal structures. J. Appl. Phys. 2014, 116, 013514. [Google Scholar] [CrossRef] [Green Version]
- Miniaci, M.; Mazzotti, M.; Radzieński, M.; Kherraz, N.; Kudela, P.; Ostachowicz, W.; Morvan, B.; Bosia, F.; Pugno, N.M. Experimental observation of a large low-frequency band gap in a polymer waveguide. Front. Mater. 2018, 5, 8. [Google Scholar] [CrossRef] [Green Version]
- Sun, Y.; Yu, Y.; Zuo, Y.; Qiu, L.; Dong, M.; Ye, J.; Yang, J. Band gap and experimental study in phononic crystals with super-cell structure. Results Phys. 2019, 13, 102200. [Google Scholar] [CrossRef]
- Zhang, X.; He, J.; Takezawa, A.; Kang, Z. Robust topology optimization of phononic crystals with random field uncertainty. Int. J. Numer. Methods Eng. 2018, 115, 1154–1173. [Google Scholar] [CrossRef]
- Rayleigh, L. CXII. The problem of the whispering gallery. London Edinburgh Dublin Philos. Mag. J. Sci. 1910, 20, 1001–1004. [Google Scholar] [CrossRef] [Green Version]
- Raman, C.V.; Sutherland, G. On the whispering-gallery phenomenon. Proc. R. Soc. Lond. Ser. A Contain. Pap. A Math. Phys. Character 1922, 100, 424–428. [Google Scholar]
- Sturman, B.; Breunig, I. Acoustic whispering gallery modes within the theory of elasticity. J. Appl. Phys. 2015, 118, 013102. [Google Scholar] [CrossRef]
- Jin, Y.; Fernez, N.; Pennec, Y.; Bonello, B.; Moiseyenko, R.P.; Hémon, S.; Pan, Y.; Djafari-Rouhani, B. Tunable waveguide and cavity in a phononic crystal plate by controlling whispering-gallery modes in hollow pillars. Phys. Rev. B 2016, 93, 054109. [Google Scholar] [CrossRef] [Green Version]
- Li, F.; Xuan, M.; Wu, Y.; Bastien, F. Acoustic whispering gallery mode coupling with Lamb waves in liquid. Sensors Actuators A Phys. 2013, 189, 335–338. [Google Scholar] [CrossRef]
- Kaproulias, S.; Sigalas, M. Whispering gallery modes for elastic waves in disk resonators. AIP Adv. 2011, 1, 041902. [Google Scholar] [CrossRef]
- Jin, Y.; Pennec, Y.; Pan, Y.; Djafari-Rouhani, B. Phononic crystal plate with hollow pillars actively controlled by fluid filling. Crystals 2016, 6, 64. [Google Scholar] [CrossRef] [Green Version]
- Rostami-Dogolsara, B.; Moravvej-Farshi, M.K.; Nazari, F. Designing phononic crystal based tunable four-channel acoustic demultiplexer. J. Mol. Liq. 2019, 281, 100–107. [Google Scholar] [CrossRef]
- Wang, T.T.; Wang, Y.F.; Wang, Y.S.; Laude, V. Tunable fluid-filled phononic metastrip. Appl. Phys. Lett. 2017, 111, 041906. [Google Scholar] [CrossRef]
- Motaei, F.; Bahrami, A. Eight-channel acoustic demultiplexer based on solid-fluid phononic crystals with hollow cylinders. Photonics Nanostructures-Fundam. Appl. 2020, 39, 100765. [Google Scholar] [CrossRef]
- Konstantopoulou, A.; Aravantinos-Zafiris, N.; Sigalas, M. Tunable bandgaps and defect states in 3D phononic hollow structures. J. Appl. Phys. 2020, 127, 075101. [Google Scholar] [CrossRef]
- Motaei, F.; Bahrami, A.; Badri Ghavifekr, H. Magnetically controlled three-channel phononic switch. Mech. Adv. Mater. Struct. 2021, 1–9. [Google Scholar] [CrossRef]
- Watkins, A.A.; Bilal, O.R. Demultiplexing infrasound phonons with tunable magnetic lattices. Front. Mater. Rising Stars 2020 2021. [Google Scholar] [CrossRef]
- Wu, T.C.; Wu, T.T.; Hsu, J.C. Waveguiding and frequency selection of Lamb waves in a plate with a periodic stubbed surface. Phys. Rev. B 2009, 79, 104306. [Google Scholar] [CrossRef]
- Oudich, M.; Assouar, M.B.; Hou, Z. Propagation of acoustic waves and waveguiding in a two-dimensional locally resonant phononic crystal plate. Appl. Phys. Lett. 2010, 97, 193503. [Google Scholar] [CrossRef]
- Moradi, P.; Bahrami, A. Three channel GHz-ranged demultiplexer in solid-solid phononic crystals. Chin. J. Phys. 2019, 59, 291–297. [Google Scholar] [CrossRef]
- Zuo, S.; Huang, H.; Wu, X.; Zhang, M.; Ni, T. Low-frequency band gap of locally resonant phononic crystals with a dual-base plate. J. Acoust. Soc. Am. 2018, 143, 1326–1332. [Google Scholar] [CrossRef]
- Wu, T.T.; Huang, Z.G.; Tsai, T.C.; Wu, T.C. Evidence of complete band gap and resonances in a plate with periodic stubbed surface. Appl. Phys. Lett. 2008, 93, 111902. [Google Scholar] [CrossRef]
- Pennec, Y.; Djafari-Rouhani, B.; Larabi, H.; Vasseur, J.; Hladky-Hennion, A. Low-frequency gaps in a phononic crystal constituted of cylindrical dots deposited on a thin homogeneous plate. Phys. Rev. B 2008, 78, 104105. [Google Scholar] [CrossRef]







Publisher’s Note: MDPI stays neutral with regard to jurisdictional claims in published maps and institutional affiliations. |
© 2022 by the authors. Licensee MDPI, Basel, Switzerland. This article is an open access article distributed under the terms and conditions of the Creative Commons Attribution (CC BY) license (https://creativecommons.org/licenses/by/4.0/).
Share and Cite
Faiz, M.S.; Abd Aziz, N. Monochannel Demultiplexer Phononic Crystal Slab Based on Hollow Pillars. Crystals 2022, 12, 165. https://doi.org/10.3390/cryst12020165
Faiz MS, Abd Aziz N. Monochannel Demultiplexer Phononic Crystal Slab Based on Hollow Pillars. Crystals. 2022; 12(2):165. https://doi.org/10.3390/cryst12020165
Chicago/Turabian StyleFaiz, Mohd Syafiq, and Norazreen Abd Aziz. 2022. "Monochannel Demultiplexer Phononic Crystal Slab Based on Hollow Pillars" Crystals 12, no. 2: 165. https://doi.org/10.3390/cryst12020165
APA StyleFaiz, M. S., & Abd Aziz, N. (2022). Monochannel Demultiplexer Phononic Crystal Slab Based on Hollow Pillars. Crystals, 12(2), 165. https://doi.org/10.3390/cryst12020165

