Tunable Electronic Property and Robust Type-II Feature in Blue Phosphorene/MoSi2N4 Bilayer Heterostructure
Abstract
1. Introduction
2. Computational Details
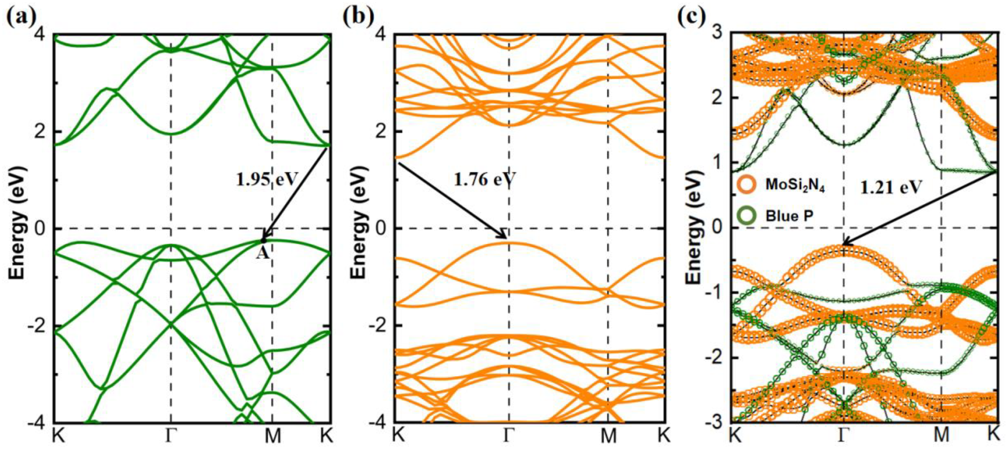
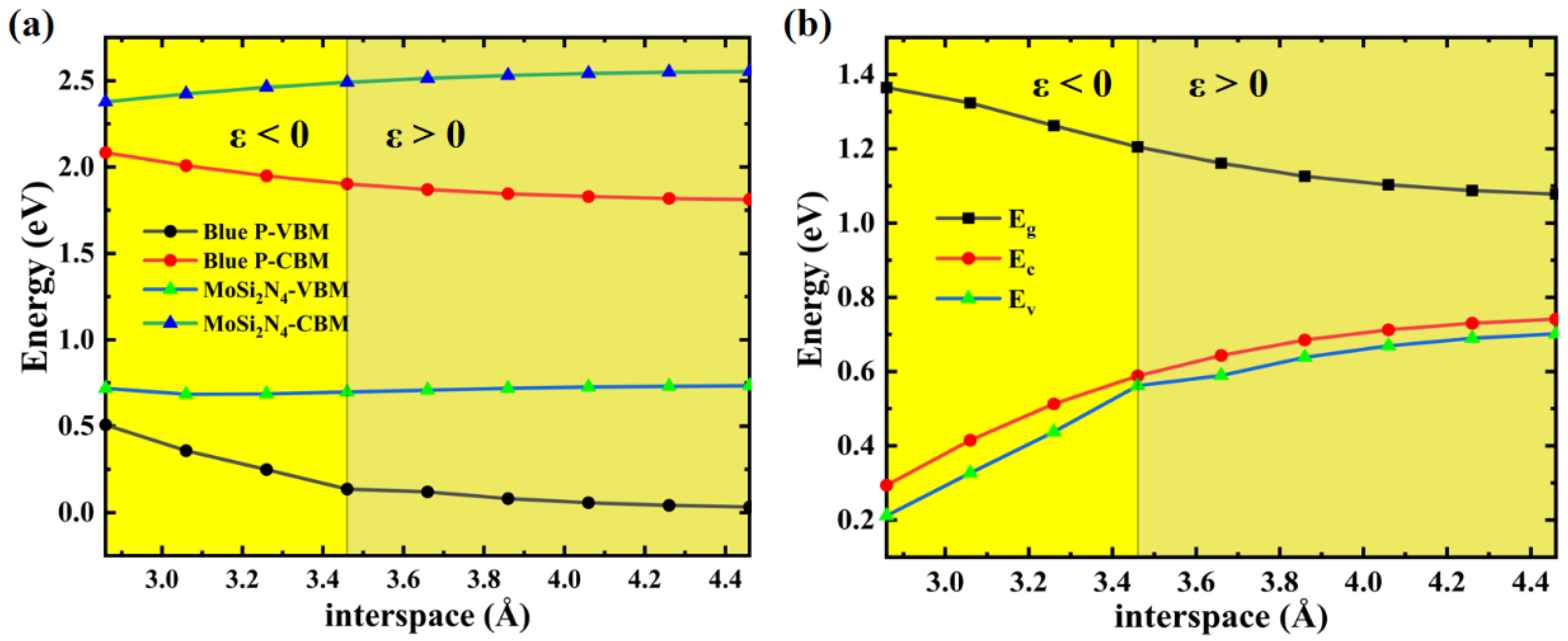
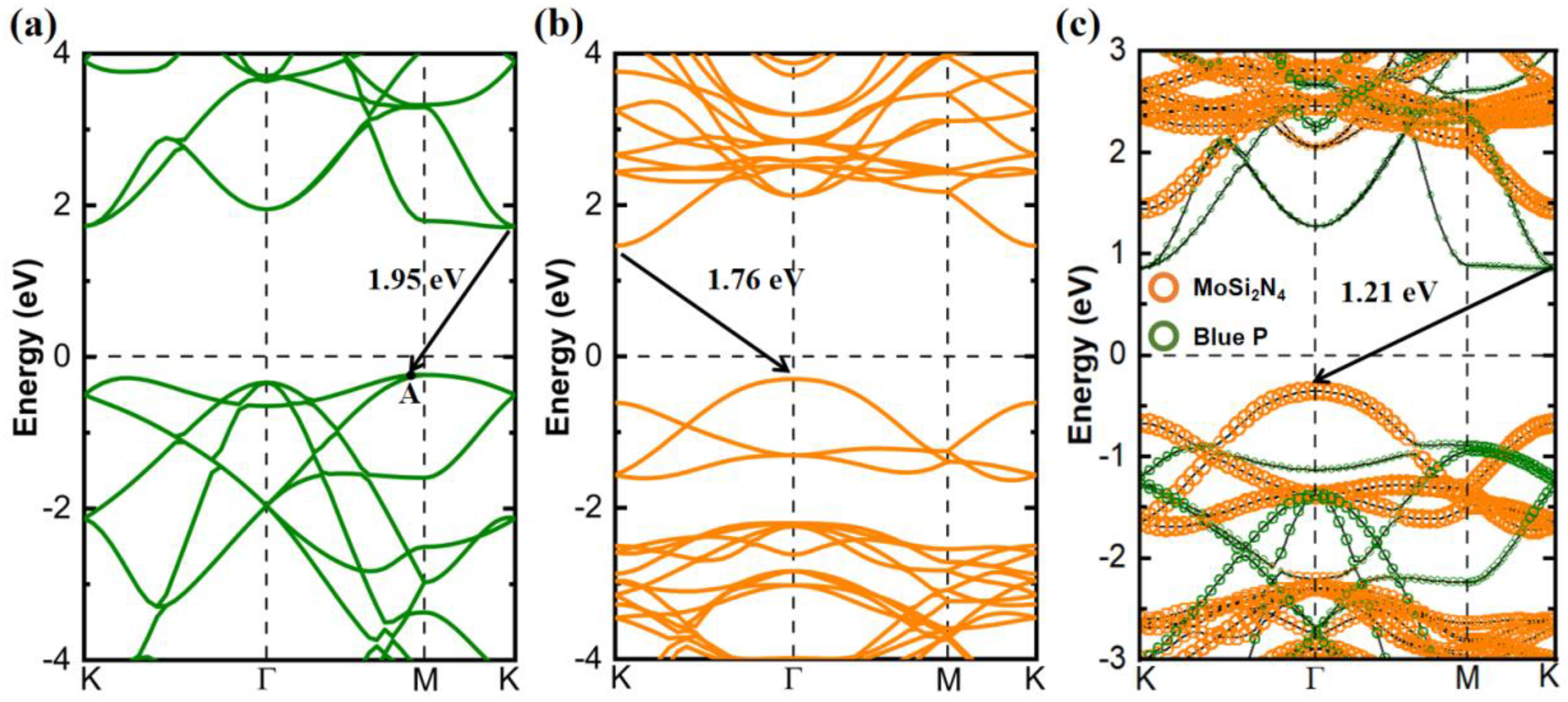
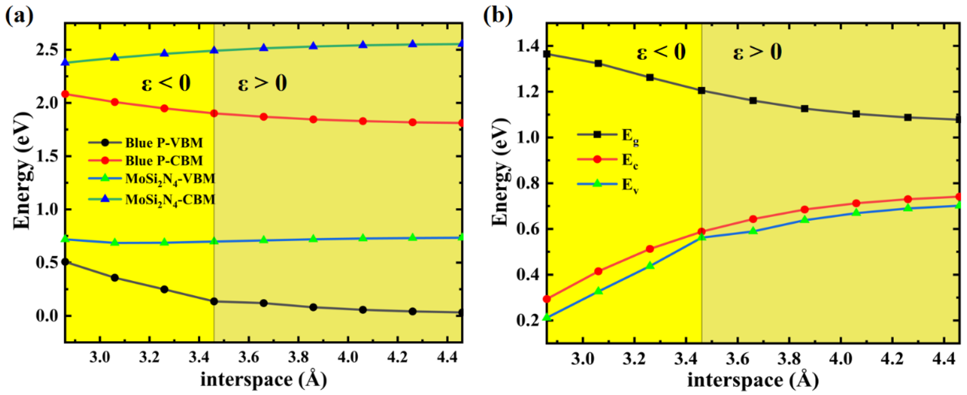
3. Results and Discussion
4. Summary
Supplementary Materials
Author Contributions
Funding
Data Availability Statement
Conflicts of Interest
References
- Novoselov, K.S.; Jiang, D.; Schedin, F.; Booth, T.J.; Khotkevich, V.V.; Morozov, S.V.; Geim, A.K. Two-dimensional atomic crystals. Proc. Natl. Acad. Sci. USA 2005, 102, 10451–10453. [Google Scholar] [CrossRef]
- Song, L.; Ci, L.J.; Lu, H.; Sorokin, P.B.; Jin, C.H.; Ni, J.; Kvashnin, A.G.; Kvashnin, D.G.; Lou, J.; Yakobson, B.I.; et al. Large Scale Growth and Characterization of Atomic Hexagonal Boron Nitride Layers. Nano Lett. 2010, 10, 3209–3215. [Google Scholar] [CrossRef]
- Shi, Y.M.; Hamsen, C.; Jia, X.T.; Kim, K.K.; Reina, A.; Hofmann, M.; Hsu, A.L.; Zhang, K.; Li, H.N.; Juang, Z.Y.; et al. Synthesis of Few-Layer Hexagonal Boron Nitride Thin Film by Chemical Vapor Deposition. Nano Lett. 2010, 10, 4134–4139. [Google Scholar] [CrossRef] [PubMed]
- Brent, J.R.; Savjani, N.; Lewis, E.A.; Haigh, S.J.; Lewis, D.J.; O’Brien, P. Production of few-layer phosphorene by liquid exfoliation of black phosphorus. Chem. Commun. 2014, 50, 13338–13341. [Google Scholar] [CrossRef] [PubMed]
- Carvalho, A.; Wang, M.; Zhu, X.; Rodin, A.S.; Su, H.B.; Neto, A.H.C. Phosphorene: From theory to applications. Nat. Rev. Mater. 2016, 1, 16061. [Google Scholar] [CrossRef]
- Liu, H.; Neal, A.T.; Zhu, Z.; Luo, Z.; Xu, X.F.; Tomanek, D.; Ye, P.D. Phosphorene: An Unexplored 2D Semiconductor with a High Hole Mobility. ACS Nano 2014, 8, 4033–4041. [Google Scholar] [CrossRef] [PubMed]
- Wei, Q.; Peng, X.H. Superior mechanical flexibility of phosphorene and few-layer black phosphorus. Appl. Phys. Lett. 2014, 104, 251915. [Google Scholar] [CrossRef]
- Flory, N.; Jain, A.; Bharadwaj, P.; Parzefall, M.; Taniguchi, T.; Watanabe, K.; Novotny, L. A WSe2/MoSe2 heterostructure photovoltaic device. Appl. Phys. Lett. 2015, 107, 123106. [Google Scholar] [CrossRef]
- Amin, B.; Singh, N.; Schwingenschlogl, U. Heterostructures of transition metal dichalcogenides. Phys. Rev. B 2015, 92, 075439. [Google Scholar] [CrossRef]
- Kou, L.Z.; Frauenheim, T.; Chen, C.F. Nanoscale Multilayer Transition-Metal Dichalcogenide Heterostructures: Band Gap Modulation by Interfacial Strain and Spontaneous Polarization. J. Phys. Chem. Lett. 2013, 4, 1730–1736. [Google Scholar] [CrossRef] [PubMed]
- Chen, Y.; Wang, X.D.; Wu, G.J.; Wang, Z.; Fang, H.H.; Lin, T.; Sun, S.; Shen, H.; Hu, W.D.; Wang, J.L.; et al. High-Performance Photovoltaic Detector Based on MoTe2/MoS2 Van der Waals Heterostructure. Small 2018, 14, 1703293. [Google Scholar] [CrossRef] [PubMed]
- Yang, Y.X.; Wang, Z.G. A two-dimensional MoS2/C3N broken-gap heterostructure, a first principles study. RSC Adv. 2019, 9, 19837–19843. [Google Scholar] [CrossRef] [PubMed]
- Hussain, S.; Xu, K.Q.; Ye, S.L.; Lei, L.; Liu, X.M.; Xu, R.; Xie, L.M.; Cheng, Z.H. Local electrical characterization of two-dimensional materials with functional atomic force microscopy. Front. Phys. 2019, 14, 33401. [Google Scholar] [CrossRef]
- Hong, Y.L.; Liu, Z.B.; Wang, L.; Zhou, T.Y.; Ma, W.; Xu, C.; Feng, S.; Chen, L.; Chen, M.L.; Sun, D.M.; et al. Chemical vapor deposition of layered two-dimensional MoSi2N4 materials. Science 2020, 369, 670–674. [Google Scholar] [CrossRef] [PubMed]
- Bafekry, A.; Faraji, M.; Hoat, D.M.; Shahrokhi, M.; Fadlallah, M.M.; Shojaei, F.; Feghhi, S.A.H.; Ghergherehchi, M.; Gogova, D. MoSi2N4 single-layer: A novel two-dimensional material with outstanding mechanical, thermal, electronic and optical properties. J. Phys. D Appl. Phys. 2021, 54, 155303. [Google Scholar] [CrossRef]
- Guo, S.D.; Zhu, Y.T.; Mu, W.Q.; Ren, W.C. Intrinsic piezoelectricity in monolayer MSi2N4 (M = Mo, W, Cr, Ti, Zr and Hf). Europhys. Lett. 2020, 132, 57002. [Google Scholar] [CrossRef]
- Mekonnen, S.; Singh, P. Dopant Introduced Valley Polarization, Spin, and Valley Hall Conductivity in Doped Monolayer MoS2. Adv. Condens. Matter Phys. 2018, 2018, 1303816. [Google Scholar] [CrossRef]
- Hsu, W.T.; Chen, Y.L.; Chen, C.H.; Liu, P.S.; Hou, T.H.; Li, L.J.; Chang, W.H. Optically initialized robust valley-polarized holes in monolayer WSe2. Nat. Commun. 2015, 6, 8963. [Google Scholar] [CrossRef]
- Sengupta, A.; Chanana, A.; Mahapatra, S. Phonon scattering limited performance of monolayer MoS2 and WSe2 n-MOSFET. AIP Adv. 2015, 5, 027101. [Google Scholar] [CrossRef]
- Ng, J.Q.; Wu, Q.Y.; Ang, L.K.; Ang, Y.S. Tunable electronic properties and band alignments of MoSi2N4/GaN and MoSi2N4/ZnO van der Waals heterostructures. Appl. Phys. Lett. 2022, 120, 103101. [Google Scholar] [CrossRef]
- Cao, L.M.; Zhou, G.H.; Wang, Q.Q.; Ang, L.K.; Ang, Y.S. Two-dimensional van der Waals electrical contact to monolayer MoSi2N4. Appl. Phys. Lett. 2021, 118, 013106. [Google Scholar] [CrossRef]
- He, Y.; Zhu, Y.H.; Zhang, M.; Du, J.; Guo, W.H.; Liu, S.M.; Tian, C.; Zhong, H.X.; Wang, X.Q.; Shi, J.J. High hydrogen production in the InSe/MoSi2N4 van der Waals heterostructure for overall water splitting. Phys. Chem. Chem. Phys. 2022, 24, 2110–2117. [Google Scholar] [CrossRef] [PubMed]
- Zeng, J.; Xu, L.; Yang, Y.W.; Luo, X.; Li, H.J.; Xiong, S.X.; Wang, L.L. Boosting the photocatalytic hydrogen evolution performance of monolayer C2N coupled with MoSi2N4: Density-functional theory calculations. Phys. Chem. Chem. Phys. 2021, 23, 8318–8325. [Google Scholar] [CrossRef] [PubMed]
- Zhao, J.; Jin, X.H.; Zeng, H.; Yao, C.; Yan, G. Spin-valley coupling and valley splitting in the MoSi2N4/CrCl3 van der Waals heterostructure. Appl. Phys. Lett. 2021, 119, 213101. [Google Scholar] [CrossRef]
- Li, L.K.; Yu, Y.J.; Ye, G.J.; Ge, Q.Q.; Ou, X.D.; Wu, H.; Feng, D.L.; Chen, X.H.; Zhang, Y.B. Black phosphorus field-effect transistors. Nat. Nanotechnol. 2014, 9, 372–377. [Google Scholar] [CrossRef]
- Chen, L.; Zhou, G.M.; Liu, Z.B.; Ma, X.M.; Chen, J.; Zhang, Z.Y.; Ma, X.L.; Li, F.; Cheng, H.M.; Ren, W.C. Scalable Clean Exfoliation of High-Quality Few-Layer Black Phosphorus for a Flexible Lithium Ion Battery. Adv. Mater. 2016, 28, 510–517. [Google Scholar] [CrossRef]
- Zhu, Z.; Tomanek, D. Semiconducting Layered Blue Phosphorus: A Computational Study. Phys. Rev. Lett. 2014, 112, 176802. [Google Scholar] [CrossRef]
- Zhang, W.; Enriquez, H.; Tong, Y.F.; Bendounan, A.; Kara, A.; Seitsonen, A.P.; Mayne, A.J.; Dujardin, G.; Oughaddou, H. Epitaxial Synthesis of Blue Phosphorene. Small 2018, 14, 1804066. [Google Scholar] [CrossRef]
- Liu, L.Z.; Wu, X.L.; Liu, X.X.; Chu, P.K. Strain-induced band structure and mobility modulation in graphitic blue phosphorus. Appl. Surf. Sci. 2015, 356, 626–630. [Google Scholar] [CrossRef]
- Xiao, J.; Long, M.Q.; Zhang, X.J.; Ouyang, J.; Xu, H.; Gao, Y.L. Theoretical predictions on the electronic structure and charge carrier mobility in 2D Phosphorus sheets. Sci. Rep. 2015, 5, 09961. [Google Scholar] [CrossRef]
- Huang, J.; Peng, Y.F.; Han, X.Y. Tuning the electronic and optical properties of Blue P/MoSeS and Blue P/ MoSSe van der Waals heterostructure via biaxial strain. Chem. Phys. Lett. 2021, 773, 138622. [Google Scholar] [CrossRef]
- Chen, X.F.; Han, W.N.; Jia, M.L.; Ren, F.Z.; Peng, C.X.; Gu, Q.F.; Wang, B.; Yin, H.B. A direct Z-scheme MoSi2N4/BlueP vdW heterostructure for photocatalytic overall water splitting. J. Phys. D Appl. Phys. 2022, 55, 215502. [Google Scholar]
- Shu, H.B.; Wang, Y.; Sun, M.L. Enhancing electronic and optical properties of monolayer MoSe2 via a MoSe2/blue phosphorene heterobilayer. Phys. Chem. Chem. Phys. 2019, 21, 15760–15766. [Google Scholar] [CrossRef]
- Wang, B.J.; Li, X.H.; Cai, X.L.; Yu, W.Y.; Zhang, L.W.; Zhao, R.Q.; Ke, S.H. Blue Phosphorus/Mg(OH)2 van der Waals Heterostructures as Promising Visible-Light Photocatalysts for Water Splitting. J. Phys. Chem. C 2018, 122, 7075–7080. [Google Scholar] [CrossRef]
- Kresse, G.; Hafner, J. Ab initio molecular-dynamics simulation of the liquid-metal-amorphous-semiconductor transition in germanium. Phys. Rev. B Condens. Matter 1994, 49, 14251–14269. [Google Scholar] [CrossRef]
- Perdew, J.P.; Burke, K.; Ernzerhof, M. Generalized Gradient Approximation Made Simple. Phys. Rev. Lett. 1996, 77, 3865–3868. [Google Scholar] [CrossRef]
- Grimme, S.; Ehrlich, S.; Goerigk, L. Effect of the Damping Function in Dispersion Corrected Density Functional Theory. J. Comput. Chem. 2011, 32, 1456–1465. [Google Scholar] [CrossRef]
- Grimme, S.; Antony, J.; Ehrlich, S.; Krieg, H. A consistent and accurate ab initio parametrization of density functional dispersion correction (DFT-D) for the 94 elements H-Pu. J. Chem. Phys. 2010, 132, 154104. [Google Scholar] [CrossRef]
- Wang, V.; Xu, N.; Liu, J.C.; Tang, G.; Geng, W.T. VASPKIT: A user-friendly interface facilitating high-throughput computing and analysis using VASP code. Comput. Phys. Commun. 2021, 267, 108033. [Google Scholar] [CrossRef]
- Bao, J.N.; Zhu, L.S.W.; Wang, H.C.; Han, S.F.; Jin, Y.H.; Zhao, G.Q.; Zhu, Y.H.; Guo, X.; Hou, J.H.; Yin, H.; et al. Hexagonal Boron Nitride/Blue Phosphorene Heterostructure as a Promising Anode Material for Li/Na-Ion Batteries. J. Phys. Chem. C 2018, 122, 23329–23335. [Google Scholar] [CrossRef]
- Huang, L.; Li, J.B. Tunable electronic structure of black phosphorus/blue phosphorus van der Waals p-n heterostructure. Appl. Phys. Lett. 2016, 108, 083101. [Google Scholar] [CrossRef]
- Chen, R.; Chen, D.Z.; Zhang, W.B. First-principles calculations to investigate stability, electronic and optical properties of fluorinated MoSi2N4 monolayer. Results Phys. 2021, 30, 104864. [Google Scholar] [CrossRef]
- Pham, D.K. Electronic properties of a two-dimensional van der Waals MoGe2N4/MoSi2N4 heterobilayer: Effect of the insertion of a graphene layer and interlayer coupling. RSC Adv. 2021, 11, 28659–28666. [Google Scholar] [CrossRef]
- Ren, K.; Zhu, Z.Y.; Wang, K.; Huo, W.Y.; Cui, Z. Stacking-Mediated Type-I/Type-II Transition in Two-Dimensional MoTe2/PtS2 Heterostructure: A First-Principles Simulation. Crystals 2022, 12, 425. [Google Scholar] [CrossRef]
- Chen, H.; Zhao, J.; Wang, X.; Chen, X.; Zhang, Z.; Hua, M. Two-dimensional ferroelectric MoS2/Ga2O3 heterogeneous bilayers with highly tunable photocatalytic and electrical properties. Nanoscale 2022, 14, 5551–5560. [Google Scholar] [CrossRef]
- Liu, X.Y.; Jiang, B.; Liu, Y.X.; Liu, L.; Xia, T.; Zhang, X.; Ye, C.; Wang, B. Two-Dimensional As/BlueP van der Waals Hetero-Structure as a Promising Photocatalyst for Water Splitting: A DFT Study. Coatings 2020, 10, 1160. [Google Scholar] [CrossRef]
- Li, Q.; Xu, L.; Luo, K.W.; Wang, L.L.; Li, X.F. SiC/MoS2 layered heterostructures: Promising photocatalysts revealed by a first-principles study. Mater. Chem. Phys. 2018, 216, 64–71. [Google Scholar] [CrossRef]
- Gao, B.; Zhang, J.R.; Chen, L.; Guo, J.K.; Shen, S.; Au, C.T.; Yin, S.F.; Cai, M.Q. Density functional theory calculation on two-dimensional MoS2/BiOX (X = Cl, Br, I) van der Waals heterostructures for photocatalytic action. Appl. Surf. Sci. 2019, 492, 157–165. [Google Scholar] [CrossRef]
- Fu, C.F.; Luo, Q.Q.; Li, X.X.; Yang, J.L. Two-dimensional van der Waals nanocomposites as Z-scheme type photocatalysts for hydrogen production from overall water splitting. J. Mater. Chem. A 2016, 4, 18892–18898. [Google Scholar] [CrossRef]
- Fu, C.F.; Zhang, R.Q.; Luo, Q.Q.; Li, X.X.; Yang, J.L. Construction of Direct Z-Scheme Photocatalysts for Overall Water Splitting Using Two-Dimensional van der Waals Heterojunctions of Metal Dichalcogenides. J. Comput. Chem. 2019, 40, 980–987. [Google Scholar] [CrossRef]
- Zhang, Z.; Huang, B.; Qian, Q.; Gao, Z.; Tang, X.; Li, B. Strain-tunable III-nitride/ZnO heterostructures for photocatalytic water-splitting: A hybrid functional calculation. APL Mater. 2020, 8, 041114. [Google Scholar] [CrossRef]
- Guo, H.; Zhang, Z.; Huang, B.; Wang, X.; Niu, H.; Guo, Y.; Li, B.; Zheng, R.; Wu, H. Theoretical study on the photocatalytic properties of 2D InX(X = S, Se)/transition metal disulfide (MoS2 and WS2) van der Waals heterostructures. Nanoscale 2020, 12, 20025–20032. [Google Scholar] [CrossRef] [PubMed]
- Zhang, Z.; Qian, Q.; Li, B.; Chen, K.J. Interface Engineering of Monolayer MoS2/GaN Hybrid Heterostructure: Modified Band Alignment for Photocatalytic Water Splitting Application by Nitridation Treatment. ACS Appl. Mater. Interfaces 2018, 10, 17419–17426. [Google Scholar] [CrossRef] [PubMed]
- Ren, K.; Ma, X.; Liu, X.; Xu, Y.; Huo, W.; Li, W.; Zhang, G. Prediction of 2D IV-VI semiconductors: Auxetic materials with direct bandgap and strong optical absorption. Nanoscale 2022, 14, 8463–8473. [Google Scholar] [CrossRef] [PubMed]









| Blue P | MoSi2N4 | Blue P/MoSi2N4 | ||||
|---|---|---|---|---|---|---|
| T1 | T2 | B1 | B2 | |||
| Lattice (Å) | 3.27 | 2.90 | 5.78 | 5.78 | 5.78 | 5.78 |
| Eb (meV/Å2) | / | / | −14.12 | −14.11 | −14.10 | −14.11 |
| dz (Å) | / | / | 3.46 | 3.45 | 3.48 | 3.47 |
| Eg (eV) | 1.95/3.01 | 1.76/2.41 | 1.21/1.92 | 1.21 | 1.21 | 1.21 |
Publisher’s Note: MDPI stays neutral with regard to jurisdictional claims in published maps and institutional affiliations. |
© 2022 by the authors. Licensee MDPI, Basel, Switzerland. This article is an open access article distributed under the terms and conditions of the Creative Commons Attribution (CC BY) license (https://creativecommons.org/licenses/by/4.0/).
Share and Cite
Cai, X.; Zhang, Z.; Chen, G.; Wang, Q.; Jia, Y. Tunable Electronic Property and Robust Type-II Feature in Blue Phosphorene/MoSi2N4 Bilayer Heterostructure. Crystals 2022, 12, 1407. https://doi.org/10.3390/cryst12101407
Cai X, Zhang Z, Chen G, Wang Q, Jia Y. Tunable Electronic Property and Robust Type-II Feature in Blue Phosphorene/MoSi2N4 Bilayer Heterostructure. Crystals. 2022; 12(10):1407. https://doi.org/10.3390/cryst12101407
Chicago/Turabian StyleCai, Xiaolin, Zhengwen Zhang, Guoxing Chen, Qin Wang, and Yu Jia. 2022. "Tunable Electronic Property and Robust Type-II Feature in Blue Phosphorene/MoSi2N4 Bilayer Heterostructure" Crystals 12, no. 10: 1407. https://doi.org/10.3390/cryst12101407
APA StyleCai, X., Zhang, Z., Chen, G., Wang, Q., & Jia, Y. (2022). Tunable Electronic Property and Robust Type-II Feature in Blue Phosphorene/MoSi2N4 Bilayer Heterostructure. Crystals, 12(10), 1407. https://doi.org/10.3390/cryst12101407
