Activation of Blast Furnace Slag with CFB Fly Ash as a Supplementary Binder Material: Hydration Products and Effects of Sulfate Attack
Abstract
:1. Introduction
2. Materials
- Portland cement (OPC):
- Blast furnace slag (BFS):
- CFB fly ash:
3. Experimental Methods
- The same cement-CFB fly ash-BFS mixed binder ratio was used to make mortar specimens to test for compressive strength and to evaluate the quality stability of CFB fly ash material from different sampled batches.
- Different proportions of CFB fly ash were mixed with BFS and used as supplementary binder material to replace Portland cement in making mortar bars for determination of volume change upon sulfate attack.
3.1. Compressive Strength
3.2. Hydration Products Investigation
3.2.1. Thermal Gravimetric (TG) Analysis
3.2.2. X-ray Diffraction (XRD) Analysis
3.2.3. Scanning Electron Microscope (SEM)
3.3. Volume Stability Test (Effects of Sulfate Attack)
4. Results and Discussion
4.1. Compressive Strength Development
4.2. Hydration Products
4.2.1. Thermal Gravimetric (TG) Analysis
4.2.2. XRD Analysis
4.2.3. Scanning Electron Microscope (SEM)
4.3. Volume Stability Test
4.3.1. External Sulfate Attack (ASTM C1012)
4.3.2. Internal Sulfate Attack (ASTM C1038)
5. Conclusions
- CFB fly ash sampled from different production batches was found to have stable quality based on the steady compressive strength development exhibited by mortars made with appropriate proportion of CFB fly ash, BFS, and cement.
- The main hydration products of the CFB fly ash-BFS-cement blends were found to be C-S-H gel, ettringite (AFt), gypsum, and some portlandite (CH). Anhydrite, portlandite, and calcium silicate hydrate can be found within 24 h of hydration.
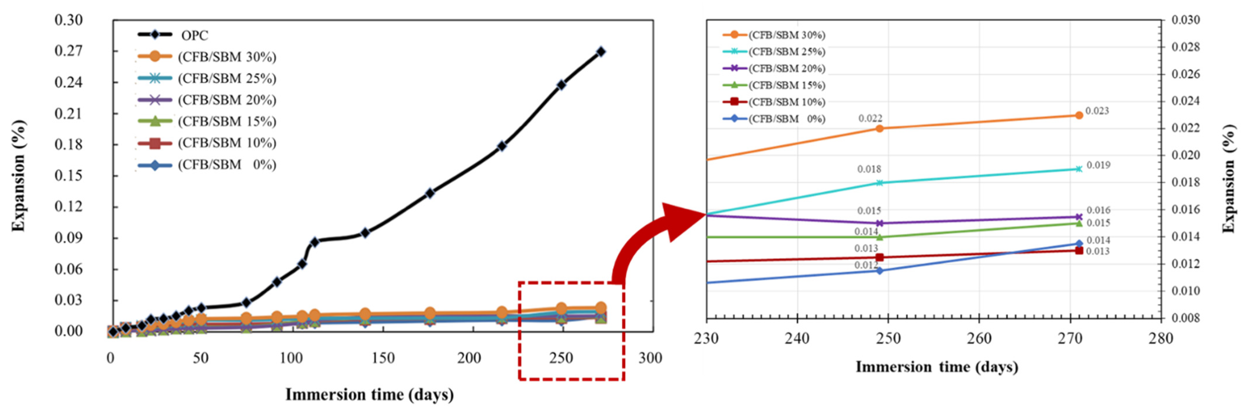
- The high content of SO3 in CFB fly ash does not cause noticeable expansion of mortars containing various amounts of CFB fly ash upon external sulfate attack. ASTM C1012 test results show all mortar mixtures containing CFB fly ash have expansion much less than 0.1% after 270 days of immersion. The binders consisting of Portland cement, BFS, and CFB fly ash have much-improved resistance to external sulfate attack than OPC.
- Secondary or delayed ettringite formation is likely to occur in mortars containing excessive amount of CFB fly ash. According to the internal sulfate attack (ISA) test result by ASTM C1038, it shows that mixtures containing CFB fly ash release sulfates from high SO3 content in saturated lime solution and react with the large amount of free Ca2+ provided in the solution. Excessive use of CFB fly ash in a binder mixture may lead to the formation of secondary or delayed ettringite and affect the durability of the concrete through rapid expansion behavior. To maintain the dimensional stability of concrete, a suitable amount of CFB fly ash is suggested to be mixed with BFS at a weight ratio of no more than 20%.
Author Contributions
Funding
Informed Consent Statement
Data Availability Statement
Conflicts of Interest
References
- Poon, C.S.; Kou, S.C.; Lam, L.; Lin, Z.S. Activation of fly ash/cement systems using calcium sulfate anhydrite (CaSO4). Cem. Concr. Res. 2001, 31, 873–881. [Google Scholar] [CrossRef]
- Iribarnea, J.; Iribarnea, A.; Blondinb, J.; Anthonyc, E.J. Hydration of combustion ashes a chemical and physical study. Fuel 2001, 80, 773–784. [Google Scholar] [CrossRef]
- Berry, E.E.; Anthony, E.J. Evaluation of potential uses of AFBC solid wastes. MRS Proc. 1987, 86, 353–364. [Google Scholar] [CrossRef]
- Shen, Y.; Qian, J.S.; Zhang, Z.W. Investigations of anhydrite in CFBC fly ash as cement retarders. Construct. Build. Mater. 2013, 40, 672–678. [Google Scholar] [CrossRef]
- Wu, Y.H.; Anthony, E.J.; Jia, L.F. Experimental studies on hydration of partially sulphated CFBC ash. Can. J. Chem. Eng. 2003, 81, 1200–1214. [Google Scholar] [CrossRef]
- Sheng, G.; Zhai, J.; Li, Q.; Li, F. Utilization of fly ash coming from a CFBC boiler co-firing coal and petroleum coke in Portland cement. Fuel 2007, 86, 2625–2631. [Google Scholar] [CrossRef]
- Sheng, G.; Li, Q.; Zhai, J. Investigation on the hydration of CFBC fly ash. Fuel 2012, 98, 61–66. [Google Scholar] [CrossRef]
- Fu, X.; Li, Q.; Zhai, J.; Sheng, G.; Li, F. The physical–chemical characterization of mechanically-treated CFBC fly ash. Cem. Concr. Compos. 2008, 30, 220–226. [Google Scholar] [CrossRef]
- Freidin, C. Hydration and strength development of binder based on high calcium oil shale fly ash. Cem. Concr. Res. 1998, 28, 829–839. [Google Scholar] [CrossRef]
- Sung, C.H.; Huang, R.; Wu, Y.H.; Tsaia, C.J.; Lai, H.W. Influence of sulfur trioxide on volume change and compressive strength of eco-mortar. Construct. Build. Mater. 2016, 114, 464–469. [Google Scholar] [CrossRef]
- Chen, G.Y.; Huang, W.H. Investigation on blending CFB ash with blast furnace slag as replacement for portland cement used in concrete binders. Adv. Mater. Res. 2013, 723, 623–629. [Google Scholar] [CrossRef]
- ASTM C1012; Standard Test Method for Length Change of Hydraulic-Cement Mortars Exposed to a Sulfate Solution. ASTM International: West Conshohocken, PA, USA, 2019.
- ASTM C1038; Standard Test Method for Expansion of Portland Cement Mortar Bars Stored in Water. ASTM International: West Conshohocken, PA, USA, 2020.
- Wilińska, I.; Pacewska, B. Influence of selected activating methods on hydration processes of mixtures containing high and very high amount of fly ash. J. Therm. Anal. Calorim. 2018, 133, 823–843. [Google Scholar] [CrossRef] [Green Version]
- Clifton, J.R.; Ponnersheim, J.M. Sulfate Attack of Cementitious Materials: Volumetric Relations and Expansions; NIST and U.S. Department of Commerce: Gaithersburg, MD, USA, 1994.
- Mehta, P.K. Mechanism of sulfate attack on portland cement concrete-another look. Cem. Concr. Res. 1983, 13, 401–406. [Google Scholar] [CrossRef]
- Taylor, H.F.W.; Famy, C.; Scrivener, K.L. Delayed ettringite formation. Cem. Concr. Res. 2001, 31, 683–693. [Google Scholar] [CrossRef]
- Rajczyk, K.; Giergiczny, E.; Glinicki, M.A. Use of DTA in the investigations of fly ashes from fluidized bed boilers. J. Therm. Anal. Calorim. 2004, 77, 165–170. [Google Scholar] [CrossRef]
- ASTM C618; Standard Specification for Coal Fly Ash and Raw or Calcined Natural Pozzolan for Use in Concrete. ASTM International: West Conshohocken, PA, USA, 2019.










| Composition | Binders | ||
|---|---|---|---|
| Portland Cement | Supplementary Binder Materials | ||
| BFS | CFB | ||
| SiO2 | 20.42 | 33.97 | 2.96 |
| Al2O3 | 4.95 | 14.69 | 0.86 |
| Fe2O3 | 3.09 | 0.34 | 0.52 |
| CaO | 61.69 | 42.01 | 54.48 |
| MgO | 3.29 | 6.26 | 1.36 |
| SO3 | 2.40 | 0.41 | 25.17 |
| K2O | -- | 0.27 | 0.36 |
| Na2O | -- | 0.15 | 0.05 |
| Free-CaO | -- | -- | 18.13 |
| Portland Cement | Supplementary Binder Materials (SBM) | Ratio of CFB Fly Ash/SBM | W/B | |
|---|---|---|---|---|
| BFS | CFB Fly Ash | |||
| 20% | 80% | 0% | 0% | 0.485 |
| 72% | 8% | 10% | ||
| 68% | 12% | 15% | ||
| 64% | 16% | 20% | ||
| 60% | 20% | 25% | ||
| 56% | 24% | 30% | ||
| Curing Age (Days) | Strength Range (MPa) | Average (MPa) | SD (σ) (MPa) | Coeff. of Variation (%) |
|---|---|---|---|---|
| 3 | 13.4–27.8 | 19.0 | 3.1 | 16 |
| 7 | 27.2–34.9 | 31.1 | 2.7 | 9 |
| 28 | 35.9–44.1 | 40.1 | 2.4 | 6 |
| 56 | 38.9–48.5 | 44.6 | 2.8 | 6 |
| Composition | Temperature Range (°C) | Weight Loss (%) | ||
|---|---|---|---|---|
| 1 Day | 3 Days | 7 Days | ||
| Gypsum, Ettringite C-S-H phase, C-A-S-H, C-A-H phase | 80–425 | 4.26 | 6.04 | 7.46 |
| Ca(OH)2 | 450–550 | 0.63 | 0.71 | 0.96 |
| CaCO3 | 600–750 | 3.31 | 2.96 | 3.64 |
Publisher’s Note: MDPI stays neutral with regard to jurisdictional claims in published maps and institutional affiliations. |
© 2021 by the authors. Licensee MDPI, Basel, Switzerland. This article is an open access article distributed under the terms and conditions of the Creative Commons Attribution (CC BY) license (https://creativecommons.org/licenses/by/4.0/).
Share and Cite
Chen, G.-Y.; Huang, W.-H. Activation of Blast Furnace Slag with CFB Fly Ash as a Supplementary Binder Material: Hydration Products and Effects of Sulfate Attack. Crystals 2022, 12, 41. https://doi.org/10.3390/cryst12010041
Chen G-Y, Huang W-H. Activation of Blast Furnace Slag with CFB Fly Ash as a Supplementary Binder Material: Hydration Products and Effects of Sulfate Attack. Crystals. 2022; 12(1):41. https://doi.org/10.3390/cryst12010041
Chicago/Turabian StyleChen, Guan-Yu, and Wei-Hsing Huang. 2022. "Activation of Blast Furnace Slag with CFB Fly Ash as a Supplementary Binder Material: Hydration Products and Effects of Sulfate Attack" Crystals 12, no. 1: 41. https://doi.org/10.3390/cryst12010041
APA StyleChen, G.-Y., & Huang, W.-H. (2022). Activation of Blast Furnace Slag with CFB Fly Ash as a Supplementary Binder Material: Hydration Products and Effects of Sulfate Attack. Crystals, 12(1), 41. https://doi.org/10.3390/cryst12010041

