Simultaneous Control of Bandfilling and Bandwidth in Electric Double-Layer Transistor Based on Organic Mott Insulator κ-(BEDT-TTF)2Cu[N(CN)2]Cl
Abstract
:1. Introduction
2. Materials and Methods
2.1. Subject Material: Organic Mott Insulator κ-(BEDT-TTF)2Cu[N(CN)2]Cl
2.2. Experimental Method for Bandfilling Control: EDL Doping
2.3. Experimental Method for Bandwidth Control: Uniaxial Bending Strain via Substrate
3. Results
3.1. Superconducting Phase around the Mott-Insulating Phase
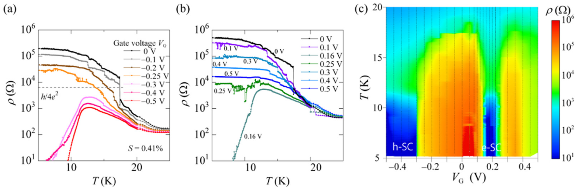
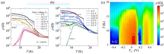
3.1.1. Strain Effect without Gate Voltage
3.1.2. Doping Effect at Fixed Strain
3.1.3. Gate Voltage vs. Strain Phase Diagram
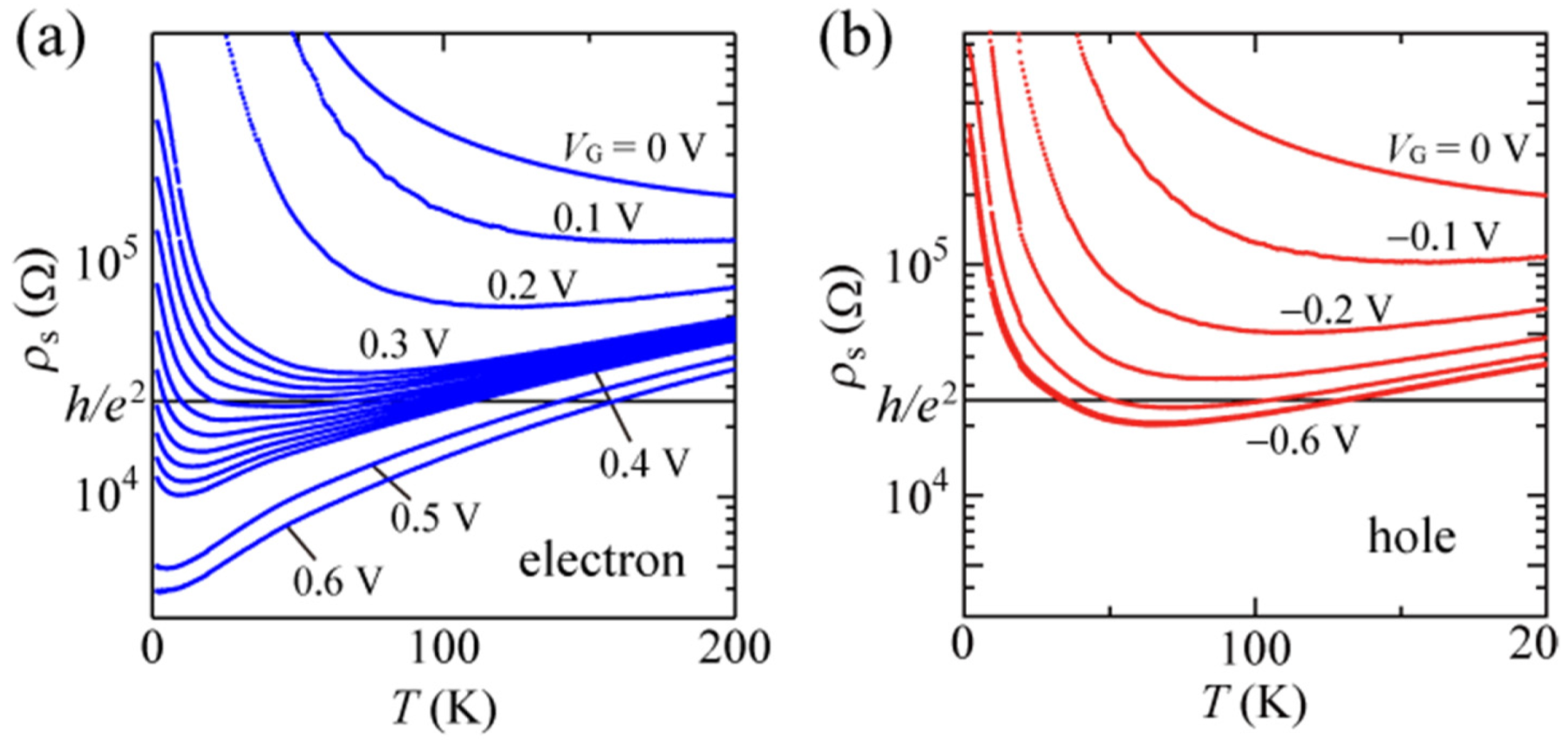
3.2. Non-Fermi Liquid Behaviors in the Normal State under Doping
3.2.1. Temperature Dependence of the Resistivity
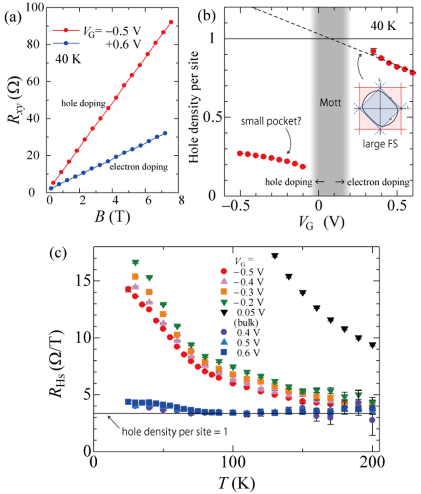
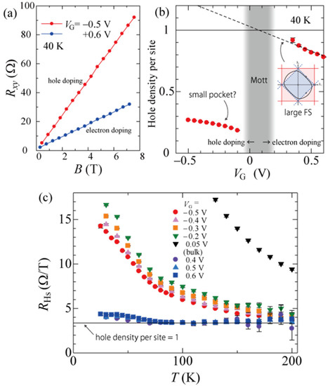
3.2.2. Hall Coefficient
3.2.3. Resistivity Anisotropy
3.2.4. Single-Particle Spectral Functions
4. Summary
Author Contributions
Funding
Data Availability Statement
Acknowledgments
Conflicts of Interest
References
- Imada, M.; Fujimori, A.; Tokura, Y. Metal-insulator transitions. Rev. Mod. Phys. 1998, 70, 1039–1263. [Google Scholar] [CrossRef] [Green Version]
- Cao, Y.; Fatemi, V.; Fang, S.; Watanabe, K.; Taniguchi, K.; Kaxiras, E.; Jarillo-Herrero, P. Unconventional superconductivity in magic-angle graphene superlattices. Nature 2018, 556, 43–50. [Google Scholar] [CrossRef]
- Li, T.; Jiang, S.; Li, L.; Zhang, Y.; Kang, K.; Zhu, J.; Watanabe, K.; Taniguchi, T.; Chowdhury, D.; Fu, L.; et al. Continuous Mott transition in semiconductor moiré superlattices. Nature 2021, 597, 350–354. [Google Scholar] [CrossRef] [PubMed]
- Kawasugi, Y.; Seki, K.; Pu, J.; Takenobu, T.; Yunoki, S.; Yamamoto, H.M.; Kato, R. Electron–hole doping asymmetry of Fermi surface reconstructed in a simple Mott insulator. Nat. Commun. 2016, 7, 12356. [Google Scholar] [CrossRef] [Green Version]
- Kawasugi, Y.; Seki, K.; Tajima, S.; Pu, J.; Takenobu, T.; Yunoki, S.; Yamamoto, H.M.; Kato, R. Two-dimensional ground-state mapping of a Mott-Hubbard system in a flexible field-effect device. Sci. Adv. 2019, 5, eaav7278. [Google Scholar] [CrossRef] [PubMed] [Green Version]
- Kawasugi, Y.; Seki, K.; Pu, J.; Takenobu, T.; Yunoki, S.; Yamamoto, H.M.; Kato, R. Non-Fermi-liquid behavior and doping asymmetry in an organic Mott insulator interface. Phys. Rev. B 2019, 100, 115141. [Google Scholar] [CrossRef] [Green Version]
- Ueno, K.; Shimotani, H.; Yuan, H.; Ye, J.; Kawasaki, M.; Iwasa, Y. Field-induced superconductivity in electric double layer transistors. J. Phys. Soc. Jpn. 2014, 83, 032001. [Google Scholar] [CrossRef]
- Williams, J.M.; Kini, A.M.; Wang, H.H.; Carlson, K.D.; Geiser, U.; Montgomery, L.K.; Pyrka, G.J.; Watkins, D.M.; Kommers, J.M.; Boryschuk, S.J.; et al. From semiconductorsemiconductor transition (42 K) to the highest-Tc organic superconductor, κ-(ET)2Cu[N(CN)2]Cl (Tc = 12.5 K). Inorg. Chem. 1990, 29, 3272–3274. [Google Scholar] [CrossRef]
- Mori, T.; Mori, H.; Tanaka, S. Structural Genealogy of BEDT-TTF-Based Organic Conductors II. Inclined Molecules: θ, α, and κ Phases. Bull. Chem. Soc. Jpn. 1999, 72, 179–197. [Google Scholar] [CrossRef]
- Kandpal, H.C.; Opahle, I.; Zhang, Y.-Z.; Jeschke, H.O.; Valentí, R. Revision of Model Parameters for k-Type Charge Transfer Salts: An Ab Initio Study. Phys. Rev. Lett. 2009, 103, 067004. [Google Scholar] [CrossRef] [Green Version]
- Kanoda, K. Metal–Insulator Transition in κ-(ET)2X and (DCNQI)2M: Two Contrasting Manifestation of Electron Correlation. J. Phys. Soc. Jpn. 2006, 75, 051007. [Google Scholar] [CrossRef]
- Kagawa, F.; Itou, T.; Miyagawa, K.; Kanoda, K. Transport criticality of the first-order Mott transition in the quasi-two-dimensional organic conductor κ-(BEDT-TTF)2Cu[N(CN)2]Cl. Phys. Rev. B 2004, 69, 064511. [Google Scholar] [CrossRef] [Green Version]
- Kawamoto, A.; Miyagawa, K.; Kanoda, K. Deuterated κ-(BEDT-TTF)2Cu[N(CN)2]Br: A system on the border of the superconductor–magnetic-insulator transition. Phys. Rev. B 1997, 55, 14140–14143. [Google Scholar] [CrossRef]
- Mckenzie, R.H. Similarities Between Organic and Cuprate Superconductors. Science 1997, 278, 820–821. [Google Scholar] [CrossRef] [Green Version]
- Lyubovskaya, R.N.; Zhilyaeva, E.I.; Pesotskii, S.I.; Lyubovskii, R.B.; Atovmyan, L.O.; D’yachenko, O.A.; Takhirov, T.G. Superconductivity of (ET)4Hg2.89Br8 at atmospheric pressure and Tc = 4.3 K and the critical-field anisotropy. JETP Lett. 1987, 46, 149–152. [Google Scholar]
- Taniguchi, H.; Okuhata, T.; Nagai, T.; Satoh, K.; Môri, N.; Shimizu, Y.; Hedo, M.; Uwatoko, Y. Anomalous Pressure Dependence of Superconductivity in Layered Organic Conductor, κ-(BEDT-TTF)4Hg2.89Br8. J. Phys. Soc. Jpn. 2007, 76, 113709. [Google Scholar] [CrossRef]
- Oike, H.; Miyagawa, K.; Taniguchi, H.; Kanoda, K. Pressure-Induced Mott Transition in an Organic Superconductor with a Finite Doping Level. Phys. Rev. Lett. 2015, 114, 067002. [Google Scholar] [CrossRef] [PubMed]
- Lyubovskaya, R.N.; Lyubovskii, R.B.; Shibaeva, R.P.; Aldoshina, M.Z.; Gol’denberg, L.M.; Rozenberg, L.P.; Khidekel’, M.L.; Shul’pyakov, Y.F. Superconductivity in a BEDT-TTF organic conductor with a chloromercurate anion. JETP Lett. 1985, 42, 468–472. [Google Scholar]
- Xie, W.; Frisbie, C.D. Organic electrical double layer transistors based on rubrene single crystals: Examining transport at high surface charge densities above 1013 cm–2. J. Phys. Chem. Rev. 2011, 115, 14360–14368. [Google Scholar] [CrossRef]
- Watanabe, H.; Seo, H.; Yunoki, S. Mechanism of superconductivity and electron-hole doping asymmetry in κ-type molecular conductors. Nat. Commun. 2019, 10, 3167. [Google Scholar] [CrossRef] [Green Version]
- Huang, Z.B.; Lin, H.Q. Quantum Monte Carlo study of Spin, Charge, and Pairing correlations in the t-t’-U Hubbard model. Phys. Rev. B 2001, 64, 205101. [Google Scholar] [CrossRef]
- Qin, M.; Chung, C.-M.; Shi, H.; Vitali, E.; Hubig, C.; Schollwöck, U.; White, S.R.; Zhang, S. Absence of Superconductivity in the Pure Two-Dimensional Hubbard Model. Phys. Rev. X 2020, 10, 031016. [Google Scholar] [CrossRef]
- Gomes, N.; Silva, W.; Dutta, T.; Clay, R.; Mazumdar, S. Coulomb-enhanced superconducting pair correlations and paired-electron liquid in the frustrated quarter-filled band. Phys. Rev. B 2016, 93, 165110. [Google Scholar] [CrossRef] [Green Version]
- Luttinger, J.M. Fermi Surface and Some Simple Equilibrium Properties of a System of Interacting Fermions. Phys. Rev. 1960, 119, 1153. [Google Scholar] [CrossRef]
- Tranquada, J.M.; Sternlieb, B.J.; Axe, J.D.; Nakamura, Y.; Uchida, S. Evidence for stripe correlations of spins and holes in copper oxide superconductors. Nature 1995, 375, 561–563. [Google Scholar] [CrossRef]
- Ghiringhelli, G.; Le Tacon, M.; Minola, M.; Blanco-Canosa, S.; Mazzoli, C.; Brookes, N.B.; De Luca, G.M.; Frano, A.; Hawthorn, D.G.; He, F.; et al. Long-range incommensurate charge fluctuations in (Y,Nd)Ba2Cu3O6+x. Science 2012, 337, 821–825. [Google Scholar] [CrossRef] [PubMed] [Green Version]
- Comin, R.; Frano, A.; Yee, M.M.; Yoshida, Y.; Eisaki, H.; Schierle, E.; Weschke, E.; Sutarto, R.; He, F.; Soumyanarayanan, A.; et al. Charge order driven by Fermi-arc instability in Bi2Sr2−xLaxCuO6+δ. Science 2014, 343, 390–392. [Google Scholar] [CrossRef] [PubMed] [Green Version]
- Campi, G.; Poccia, N.; Bianconi, G.; Barba, L.; Arrighetti, G.; Innocenti, D.; Karpinski, J.; Zhigadlo, N.D.; Kazakov, S.M.; Burghammer, M.; et al. Inhomogeneity of charge-density-wave order and quenched disorder in a high-Tc superconductor. Nature 2015, 525, 359–362. [Google Scholar] [CrossRef] [PubMed]
- Shimizu, Y.; Miyagawa, K.; Kanoda, K.; Maesato, M.; Saito, G. Spin liquid state in an organic Mott insulator with a triangular lattice. Phys. Rev. Lett. 2003, 91, 107001. [Google Scholar] [CrossRef] [Green Version]
- Tajima, N.; Sugawara, S.; Tamura, M.; Nishio, Y.; Kajita, K. Electronic phases in an organic conductor α-(BEDT-TTF) 2I3: Ultra narrow gap semiconductor, superconductor, metal, and charge-ordered insulator. J. Phys. Soc. Jpn. 2006, 75, 051010. [Google Scholar] [CrossRef] [Green Version]












Publisher’s Note: MDPI stays neutral with regard to jurisdictional claims in published maps and institutional affiliations. |
© 2021 by the authors. Licensee MDPI, Basel, Switzerland. This article is an open access article distributed under the terms and conditions of the Creative Commons Attribution (CC BY) license (https://creativecommons.org/licenses/by/4.0/).
Share and Cite
Kawasugi, Y.; Yamamoto, H.M. Simultaneous Control of Bandfilling and Bandwidth in Electric Double-Layer Transistor Based on Organic Mott Insulator κ-(BEDT-TTF)2Cu[N(CN)2]Cl. Crystals 2022, 12, 42. https://doi.org/10.3390/cryst12010042
Kawasugi Y, Yamamoto HM. Simultaneous Control of Bandfilling and Bandwidth in Electric Double-Layer Transistor Based on Organic Mott Insulator κ-(BEDT-TTF)2Cu[N(CN)2]Cl. Crystals. 2022; 12(1):42. https://doi.org/10.3390/cryst12010042
Chicago/Turabian StyleKawasugi, Yoshitaka, and Hiroshi M. Yamamoto. 2022. "Simultaneous Control of Bandfilling and Bandwidth in Electric Double-Layer Transistor Based on Organic Mott Insulator κ-(BEDT-TTF)2Cu[N(CN)2]Cl" Crystals 12, no. 1: 42. https://doi.org/10.3390/cryst12010042
APA StyleKawasugi, Y., & Yamamoto, H. M. (2022). Simultaneous Control of Bandfilling and Bandwidth in Electric Double-Layer Transistor Based on Organic Mott Insulator κ-(BEDT-TTF)2Cu[N(CN)2]Cl. Crystals, 12(1), 42. https://doi.org/10.3390/cryst12010042

