Studies of Optical, Dielectric, Ferroelectric, and Structural Phase Transitions in 0.9[KNbO3]-0.1 [BaNi1/2Nb1/2O3−δ]
Abstract
1. Introduction
2. Experimental Details
3. Results and Discussion
3.1. Room Temperature Characterizations
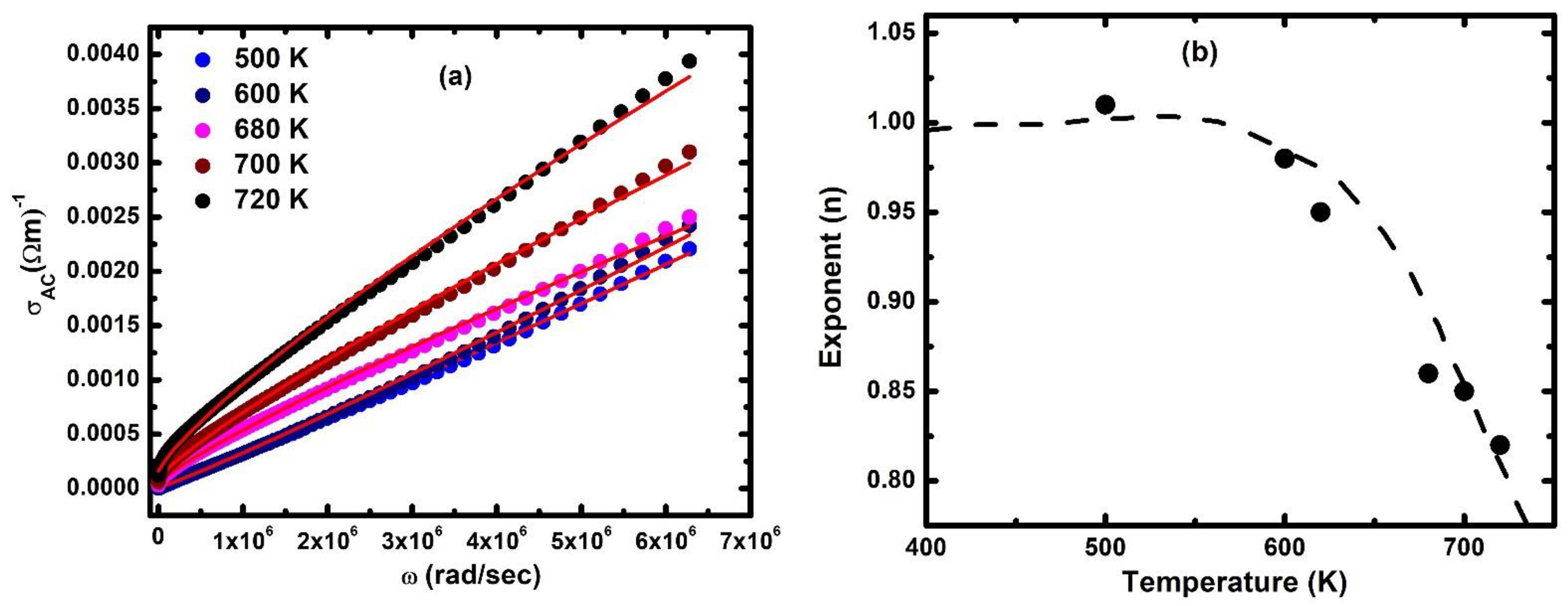
3.2. Variable Temperature Characterizations
4. Summary and Conclusions
Author Contributions
Funding
Institutional Review Board Statement
Informed Consent Statement
Data Availability Statement
Acknowledgments
Conflicts of Interest
References
- Wang, F.; Rappe, A.M. First-principles calculation of the bulk photovoltaic effect in KNbO3 and (K,Ba)(Ni,Nb)O3−δ. Phys. Rev. B 2015, 91, 165124. [Google Scholar] [CrossRef]
- Saito, Y.; Takao, H.; Tani, T.; Nonoyama, T.; Takatori, K.; Homma, T.; Nagaya, T.; Nakamura, M. Lead-free piezoceramics. Nature 2004, 432, 84. [Google Scholar] [CrossRef]
- Cross, L.E. Relaxor ferroelectrics. Ferroelectrics 1987, 76, 241. [Google Scholar] [CrossRef]
- Ye, Z.-G. Relaxor Ferroelectric Complex Perovskites: Structure, Properties and Phase Transitions. Key Eng. Mater. 1998, 155–156, 81. [Google Scholar] [CrossRef]
- Grinberg, I.; West, D.V.; Torres, M.; Gou, G.; Stein, D.M.; Wu, L.; Chen, G.; Gallo, E.M.; Akbashev, A.R.; Davies, P.K.; et al. Perovskite oxides for visible-light-absorbing ferroelectric and photovoltaic materials. Nature 2013, 503, 509. [Google Scholar] [CrossRef]
- Bussmann-Holder, A. The polarizability model for ferroelectricity in perovskite oxides. J. Phys. Condens. Matter 2012, 24, 273202. [Google Scholar] [CrossRef] [PubMed]
- Mansoor, M.A.; Ismail, A.; Yahya, R.; Arifin, Z.; Tiekink, E.R.T.; Weng, N.S.; Mazhar, M.; Esmaeili, A.R. Perovskite-Structured PbTiO3 Thin Films Grown from a Single-Source Precursor. Inorg. Chem. 2013, 52, 5624. [Google Scholar] [CrossRef]
- Park, S.-E.; Shrout, T.R. Ultrahigh strain and piezoelectric behavior in relaxor based ferroelectric single crystals. J. Appl. Phys. 1997, 82, 1804. [Google Scholar] [CrossRef]
- Fu, H.; Cohen, R.E. Polarization rotation mechanism for ultrahigh electromechanical response in single crystal piezoelectrics. Nature 2000, 403, 281. [Google Scholar] [CrossRef]
- Francombe, M.H. Ferroelectric films and their device applications. Thin Solid Films 1972, 13, 413. [Google Scholar] [CrossRef]
- Song, B.; Wang, X.; Xin, C.; Zhang, L.; Song, B.; Zhang, Y.; Wang, Y.; Wang, J.; Liu, Z.; Sui, Y.; et al. Multiferroic properties of Ba/Ni co-doped KNbO3 with narrow band-gap. J. Alloys Compd. 2017, 703, 67. [Google Scholar] [CrossRef]
- Ji, W.; Yao, K.; Liang, Y.C. Evidence of bulk photovoltaic effect and large tensor coefficient in ferroelectric BiFeO3 thin films. Phys. Rev. B 2011, 84, 094115. [Google Scholar] [CrossRef]
- Feng, Z.; Or, S.W. Aging-induced, defect-mediated double ferroelectric hysteresis loops and large recoverable electrostrains in Mn-doped orthorhombic KnbO3-based ceramics. J. Alloy Compd. 2009, 480, L29. [Google Scholar] [CrossRef]
- Zgonik, M.; Schlesser, R.; Biaggio, I.; Voit, E.; Tscheny, J.; Gunter, P. Materials constants of KNbO3 relevant for electro- and acousto-optic. J. Appl. Phys. 1993, 74, 1287. [Google Scholar] [CrossRef]
- Nakayama, Y.; Pauzauskie, P.J.; Radenovic, A.; Onorato, R.M.; Saykally, R.J.; Liphardt, J.; Yang, P. Tunable nanowire nonlinear optical probe. Nature 2007, 447, 1098. [Google Scholar] [CrossRef] [PubMed]
- Dimmler, K.; Parris, M.; Butler, D.; Eaton, S.; Pouligny, B.; Scott, J.F.; Ishibashi, Y. Switching kinetics in KNO3 ferroelectric thin-film memories. J. Appl. Phys. 1987, 61, 5467. [Google Scholar] [CrossRef]
- Ganeshkumar, R.; Sopiha, K.V.; Wu, P.; Cheah, C.W.; Zhao, R. Ferroelectric KNbO3 nanofibers: Synthesis, characterization and their application as a humidity nanosensor. Nanotechnology 2016, 27, 395607. [Google Scholar] [CrossRef]
- Shirane, G.; Danner, H.; Pavlovic, A.; Pepinsky, R. Phase Transitions in Ferroelectric KNbO3. Phys. Rev. B 1954, 93, 672. [Google Scholar] [CrossRef]
- Zhou, W.; Deng, H.; Yang, P.; Chu, J. Structural phase transition, narrow band gap, and room-temperature ferromagnetism in [KnbO3]1−x[BaNi1/2Nb1/2O3−δ]x ferroelectrics. Appl. Phys. Lett. 2014, 105, 111904. [Google Scholar] [CrossRef]
- Bai, Y.; Siponkoski, T.; Peräntie, J.; Jantunen, H.; Juuti, J. Ferroelectric, pyroelectric, and piezoelectric properties of a photovoltaic perovskite oxide. Appl. Phys. Lett. 2017, 110, 063903. [Google Scholar] [CrossRef]
- Chen, H.; Zhang, Y.; Lu, Y. Nanoscale potassium niobate crystal structure and phase transition. Nanoscale Res. Lett. 2011, 6, 530. [Google Scholar] [CrossRef] [PubMed]
- Reeves, R.J.; Jani, M.G.; Jassemnejad, B.; Powell, R.C.; Mizell, G.J.; Fay, W. Submillisecond photorefractive response time of KnbO3:Rb+. Phys. Rev. B 1991, 43, 71. [Google Scholar] [CrossRef] [PubMed]
- Baumert, J.-C.; Walther, C.; Buchmann, P.; Kaufmann, H.; Melchior, H.; Günter, P. KNbO3 electro-optic induced optical waveguide/cut-off modulator. Appl. Phys. Lett. 1985, 46, 1018. [Google Scholar] [CrossRef]
- Shoji, I.; Kondo, T.; Kitamoto, A.; Shirane, M.; Ito, R. Absolute scale of second-order nonlinear-optical coefficients. J. Opt. Soc. Am. B 1997, 14, 2268. [Google Scholar] [CrossRef]
- Bai, Y.; Tofel, P.; Palosaari, J.; Jantunen, H.; Juuti, J. A Game Changer: A Multifunctional Perovskite Exhibiting Giant Ferroelectricity and Narrow Bandgap with Potential Application in a Truly Monolithic Multienergy Harvester or Sensor. Adv. Mater. 2017, 29, 1700767. [Google Scholar] [CrossRef] [PubMed]
- Hawley, C.J.; Wu, L.; Xiao, G.; Grinberg, I.; Rappe, A.M.; Davies, P.K.; Spanier, J.E. Structural and ferroelectric phase evolution in [KNbO3]1−x[BaNi1/2Nb1/2O3−δ]x (x = 0,0.1). Phys. Rev. B 2017, 96, 054117. [Google Scholar] [CrossRef]
- Li, C.; Fang, W.; Sun, Y.; Jiang, K.; Gong, S.; Hu, Z.; Zhou, Z.; Dong, X.; Chu, J. Lattice dynamics, phase transition, and tunable fundamental band gap of photovoltaic (K,Ba)(Ni,Nb)O3−δ ceramics from spectral measurements and first-principles calculations. Phys. Rev. B 2018, 97, 094109. [Google Scholar] [CrossRef]
- Sugimoto, W.; Mimuro, K.; Sugahara, Y.; Kuroda, K. Synthesis and structural study of the KNb4O6-type compound. J Ceram. Soc Jpn. 1999, 107, 318–321. [Google Scholar] [CrossRef][Green Version]
- Smith, N. The Structure of Thin Films of Metallic Oxides and Hydrates. J. Am. Chem. Soc. 1936, 58, 173–179. [Google Scholar] [CrossRef]
- Wu, P.; Wang, G.; Chen, R.; Guo, Y.; Ma, X.; Jiang, D. Enhanced visible light absorption and photocatalytic activity of [KNbO3]1−x[BaNi0.5Nb0.5O3− δ]x synthesized by sol-gel based Pechini method. RSC Adv. 2016, 6, 82409. [Google Scholar] [CrossRef]
- López, R.; Gómez, R. Band-gap energy estimation from diffuse reflectance measurements on sol-gel and commercial TiO2: A comparative study. J. Sol. Gel. Sci. Technol. 2012, 61, 1. [Google Scholar] [CrossRef]
- Liu, J.W.; Chen, G.; Li, Z.H.; Zhang, Z.G. Hydrothermal synthesis and photocatalytic properties of ATaO3 and ANbO3 (A = Na and K). Int. J. Hydrog. Energy 2007, 32, 2269. [Google Scholar] [CrossRef]
- Mishra, K.K.; Instan, A.A.; Kumari, S.; Scott, J.F.; Katiyar, R.S. Lead palladium titanate: A room temperature nanoscale multiferroic thin film. Sci. Rep. 2020, 10, 2991. [Google Scholar] [CrossRef] [PubMed]
- Ren, Z.; Xu, G.; Wei, X.; Liu, Y.; Hou, X.; Du, P.; Weng, W.; Shen, G.; Han, G. Room-Temperature Ferromagnetism in Nickel-Doped Wide Band Gap Ferroelectric Bi0.5K0.5TiO3 Nanocrystals. Appl. Phys. Lett. 2007, 91, 063106. [Google Scholar] [CrossRef]
- Mishra, K.K.; Satya, A.T.; Bharathi, A.; Sivasubramanian, V.; Murthy VR, K.; Arora, A.K. Vibrational, magnetic, and dielectric behavior of La-substituted BiFeO3-PbTiO3. J. Appl. Phys. 2011, 110, 123529. [Google Scholar] [CrossRef]
- Bhattarai, M.K.; Mishra, K.K.; Dugu, S.; Instan, A.A.; Katiyar, R.S. Ferroelectric ordering and energy storage density of thin films capacitor by doping La3+ and Sc3+ on Pb(Zr0.53Ti0.47)O3 using pulse laser deposition technique. Appl. Phys. Lett. 2019, 114, 223902. [Google Scholar] [CrossRef]
- Bhattarai, M.K.; Mishra, K.K.; Instan, A.A.; Bastakoti, B.P.; Katiyar, R.S. Enhanced energy storage density in Sc3+ substituted Pb(Zr0.53Ti0.47)O3 nanoscale flms by pulse laser deposition technique. Appl. Surf. Sci. 2019, 490, 451. [Google Scholar] [CrossRef]
- Gradauskaite, E.; Gardner, J.; Smith, R.M.; Morrison, F.D.; Lee, S.L.; Katiyar, R.S.; Scott, J.F. Lead palladium titanate: A room-temperature multiferroic. Phys. Rev. B 2017, 96, 104104. [Google Scholar] [CrossRef]
- Jonscher, A.K. Dielectric Relaxation in Solids; Chelsea Dielectrics Press: London, UK, 1983. [Google Scholar]
- Modak, D.K.; Mandal, U.K.; Sadhukhan, M.; Chaudhuri, B.K.; Komatsu, T. Ac conductivity of BaTiO3 containing (90V2O5-10P2O5) oxide glasses dispersed with nanocrystalline particles. J. Mater. Sci. 2001, 36, 2539. [Google Scholar] [CrossRef]
- Bhattarai, M.K.; Pavunny, S.P.; Instan, A.A.; Scott, J.F.; Katiyar, R.S. Effect of off-center ion substitution in morphotropic lead zirconate titanate composition. J. Appl. Phys. 2017, 121, 194102. [Google Scholar] [CrossRef]
- Portelles, J.; Almodovar, N.S.; Fuentes, J.; Raymond, O.; Heiras, J.; Siqueiros, J.M. Ac conductivity in Gd doped Pb(Zr0.53Ti0.47)O3Pb(Zr0.53Ti0.47)O3 ceramics. J. Appl. Phys. 2008, 104, 073511. [Google Scholar] [CrossRef]
- Postnikov, A.V.; Neumann, T.; Borstel, G. Phonon properties of KNbO3 and KTaO3 from first-principles calculations. Phys. Rev. B 1994, 50, 758. [Google Scholar] [CrossRef] [PubMed]
- Ravindran, T.R.; Sivasubramanian, V.; Arora, A.K. Low temperature Raman spectroscopic study of scandium molybdate. J. Phys. Condens. Matter 2005, 17, 277. [Google Scholar] [CrossRef]
- Ravindran, T.R.; Arora, A.K.; Mary, T.A. Anharmonicity and negative thermal expansion in zirconium tungstate. Phys. Rev. B 2003, 67, 64301. [Google Scholar] [CrossRef]
- Achary, S.N.; Errandonea, D.; David, S.-P.; Oscar, G.; Sadiqua, J.P.; Francisco, J.M.; Placida, R.H.; Alfonso, M.; Tyagi, A.K. Experimental and Theoretical Investigations on Structural and Vibrational Properties of Melilite-Type Sr2ZnGe2O7 at High Pressure and Delineation of a High-Pressure Monoclinic Phase. Inorg. Chem. 2015, 54, 6594. [Google Scholar] [CrossRef] [PubMed]
- Mishra, K.K.; Achary, S.N.; Chandra, S.; Ravindran, T.R.; Sinha, A.K.; Singh, M.N.; Tyagi, A.K. Structural and Thermal Properties of BaTe2O6: Combined Variable-Temperature Synchrotron X-ray Diffraction, Raman Spectroscopy, and ab Initio Calculations. Inorg. Chem. 2016, 55, 227. [Google Scholar] [CrossRef]
- Yoneda, Y.; Ohara, K.; Nagata, H. Local structure and phase transitions of KNbO3. Jpn. J. Appl. Phys. 2018, 57, 11UB07. [Google Scholar] [CrossRef]













| Element | Content of the Elements, Weight % |
|---|---|
| K | 20.12 (18.75) |
| Nb | 55.92 (47.02) |
| Ba | 7.49 (7.31) |
| Ni | 1.30 (1.56) |
| O | 15.17 (25.36) |
| Frequency (Hz) | Activation Energy (eV) | |
|---|---|---|
| FEI (<225 K) | FEII (250–500 K) | |
| 102 | 0.0006 | 0.021 |
| 103 | 0.0003 | 0.014 |
| 104 | 0.0001 | 0.011 |
| 105 | 0.0004 | 0.007 |
| 106 | 0.0001 | 0.003 |
| Rhombohedral Phase 82 K | Orthorhombic Phase 260 K | Tetragonal Phase 553 K | |||
|---|---|---|---|---|---|
| Mode Frequency (cm−1) | T-Coefficient (10−3 cm−1 K−1) | Mode Frequency (cm−1) | T-Coefficient (10−3 cm−1 K−1) | Mode Frequency (cm−1) | T-Coefficient (10−3 cm−1 K−1) |
| 110 (E + A1) | −25 (3) | 107 | −20 (2) | 100 | −10 (5) |
| 173 (E + A1) | −43 (1) | 167 | 14 (4) | 178 | −11 (2) |
| 188 (E + A1) | −2 (1) | 187 | 4 (1) | - | - |
| 218 (E + A1) | −17 (8) | - | - | - | - |
| 225 € | 67 (4) | 228 | −54 (5) | - | - |
| 259 (E + A1) | −94 (1) | - | - | - | - |
| 270 (A1) | −28 (2) | 263 | −69 (5) | 241 | −130 (1) |
| 289 (E + A1) | 0 | 287 | −30 (1) | 277 | −38 (4) |
| 528 € | −10 (1) | 528 | −31 (3) | - | - |
| 579 (E + A1) | −83 (7) | - | - | - | - |
| 598 (A1) | −21 (5) | 590 | −40 (4) | 588 | −24 (1) |
| 831 (E + A1) | −2 (1) | 830 | −14 (1) | 827 | −33 (3) |
Publisher’s Note: MDPI stays neutral with regard to jurisdictional claims in published maps and institutional affiliations. |
© 2021 by the authors. Licensee MDPI, Basel, Switzerland. This article is an open access article distributed under the terms and conditions of the Creative Commons Attribution (CC BY) license (https://creativecommons.org/licenses/by/4.0/).
Share and Cite
Rosas, B.Y.; Instan, A.A.; Mishra, K.K.; Achary, S.N.; Katiyar, R.S. Studies of Optical, Dielectric, Ferroelectric, and Structural Phase Transitions in 0.9[KNbO3]-0.1 [BaNi1/2Nb1/2O3−δ]. Crystals 2022, 12, 35. https://doi.org/10.3390/cryst12010035
Rosas BY, Instan AA, Mishra KK, Achary SN, Katiyar RS. Studies of Optical, Dielectric, Ferroelectric, and Structural Phase Transitions in 0.9[KNbO3]-0.1 [BaNi1/2Nb1/2O3−δ]. Crystals. 2022; 12(1):35. https://doi.org/10.3390/cryst12010035
Chicago/Turabian StyleRosas, Blanca Yamile, Alvaro A. Instan, Karuna Kara Mishra, Srungarpu Nagabhusan Achary, and Ram S. Katiyar. 2022. "Studies of Optical, Dielectric, Ferroelectric, and Structural Phase Transitions in 0.9[KNbO3]-0.1 [BaNi1/2Nb1/2O3−δ]" Crystals 12, no. 1: 35. https://doi.org/10.3390/cryst12010035
APA StyleRosas, B. Y., Instan, A. A., Mishra, K. K., Achary, S. N., & Katiyar, R. S. (2022). Studies of Optical, Dielectric, Ferroelectric, and Structural Phase Transitions in 0.9[KNbO3]-0.1 [BaNi1/2Nb1/2O3−δ]. Crystals, 12(1), 35. https://doi.org/10.3390/cryst12010035

