3.1. Results of Simulation
The simulation of the reflector’s operation in different conditions (indoor and outdoor) was performed to demonstrate the possibility of a controllable beam scan by the construction of the proposed reflector. During the simulation, the reflector model based on the FE plate with a thickness of 1 mm was used. The key parameters of the FE plate used in simulation corresponded to the measured FE material properties presented in the previous section. Thus,
was 440 with a maximum tunability
K = 1.6. The reflector’s operating frequency was ∼60 GHz. The quarter-wave transformer was used to match the FE reflector with the free space. During the simulation, a matching layer with permittivity
= 20 and thickness
= 0.3 was used. A dielectric plate with equal parameters was used as the matching layer in the manufactured FE reflector prototype and measured during this work (see
Section 3.2). As was mentioned previously in
Section 2.1, it is essential to minimize the wave reflection from the top boundary of the FE reflector structure to avoid the degradation of its radiation pattern. Thereby, the estimation of the reflection coefficient from the top side of the FE reflector at different incidence angles of electromagnetic waves was performed. To simplify this, we assumed the ferroelectric plate as a transmission line that was perfectly matched to a load; thus, it could be presented only by its characteristic wave impedance (
) (see
Figure 2). This assumption allowed us to consider the reflection only at the interface between the matching layerand FE plates by using the impedance transformation formula. Note that the equivalent electrical thickness (EET
) of the matching layer depended on the refraction angle
as
(see
Figure 2). The equivalent electrical circuit is presented in
Figure 4 with the corresponding equivalent parameters. It was clear that the non-zero angle of incidence may increase the reflections even for a layer perfectly matched in a condition of normal incidence.
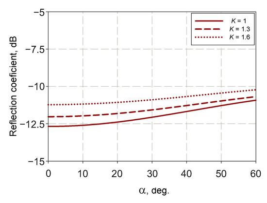
Simulation results for the dependencies of the reflection coefficient on the incident angle are presented in
Figure 5. The results were calculated for different
K limited by the maximum achievable tunability (
K) of 1.6. The results showed that for
K values up to 1.6, the reflection coefficient did not exceed −10 dB for the considered matching layer parameters at a wide range of angles of incidence.
The Radio Frequency module (Electromagnetic Waves, Frequency Domain interface) of the COMSOL Multiphysics software was used to perform the 2D electromagnetic simulation of the FE reflector device to prove the proposed beam deflection concept. One side of the FE plate was assigned as a perfect electric conductor (PEC) boundary to reflect the incoming wave. The reflector model consisted of a ferroelectric plate with a quarter-wavelength matching layer of a linear dielectric with parameters that corresponded to those considered previously. The dimension of the FE lens aperture was 10 (at 60 GHz) with the thickness of the FE plate being 1 mm. The FE plates were divided into 20 rectangular regions to provide the discrete spatial distribution of the phase shifts. The permittivity of each region was determined as , where (the ferroelectric permittivity without the control of the electric field ( = 440)) and (the tunability factor corresponding to the i-th FE region).
While performing a simulation of the radiation patterns, we considered possible cases to implement the ferroelectric reflector. The first corresponded to the outdoor system implementation, i.e., the reflector was irradiated by the plane wave, radiated by the source at a far distance (the far-field radiation condition). This condition can be satisfied by using any source antenna, but this would demand increasing the distance between the source antenna and the reflector models, which would increase the dimensions of the simulation area. To optimize the model and calculation time, we decided to use a highly directional horn antenna (∼30 dBi) placed at 30
from the reflector. The dimension of the horn aperture was 55 mm, and its length was ∼500 mm. The horn antenna used during the simulation was calculated using the method described in [
20].
Figure 6 presents the simulated radiation patterns at 60 GHz for different incident angles from −20 deg. to −50 deg. Note that a direction of zero degrees was perpendicular to the reflector plane, while waves were incident at the negative angles (counterclockwise relative to the direction of zero degrees).
The results presented the main beam deflection up to ∼15 degrees relative to the beam position reflected in the absence of control (i.e.,
K = 1 along the reflector aperture). The level of the side lobes was less than 10 dB for incident angles from −30 and −40 deg., while the remaining angles demonstrated a slightly higher level of side lobes. The insufficient matching could explain such a level of side lobes. This conclusion was proven by the simulation dependence of the side lobe levels on the frequency at the different incident angles presented in
Figure 7. The simulation was performed in the condition of maximum beam deflection (
K = 1.6). The electromagnetic simulation results were in agreement with the calculations presented in
Figure 5.
The second possible implementation of the reflector is an indoor system. In this case, the primary antenna may not be sufficiently directive to provide a plane wave incoming to the reflector due to a small aperture and/or small distance from the reflector. To perform a simulation corresponding to this case, the horn antenna with a directivity of ∼15 dBi was used as the primary antenna. The dimension of the horn aperture was 32 mm, and its length was ∼45 mm. The horn antenna used during the simulation was calculated using the method described in [
20]. In this case, the distortion of the reflector’s radiation pattern could be caused not by poor impedance matching along, but by the wavefront curvature as well. The model with the dielectric lens placed between the primary antenna and reflector was simulated to estimate the wavefront curvature’s influence.
The dielectric lens profile was calculated using the method proposed in [
21]. The dielectric lens parameters used in model were
= 2.3, aperture size—10
, focal distance—5.3
. The horn antenna was placed at 20
from the reflector. The distance between the dielectric lens and the horn aperture was ∼
.
The comparison of the simulated results for both models allowed us to conclude that the wavefront curvature had an influence on radiation pattern distortion. The simulated results are presented in
Figure 8. Note that the simulation was performed in the condition of maximum beam deflection (
K = 1.6). The simulation results showed that the use of the lens allowed significantly decreasing the level of the side lobes. Thereby, for the indoor application, the wavefront curvature of the incident wave was a dominant mechanism of reflector radiation pattern distortion.
The FE reflector simulation with the dielectric lens was performed at different incident angles to estimate the maximum scan angle values. The simulation results are presented in
Figure 9.
Table 1 contains the simulation results of the deflection angle for both possible cases of application of the reflector (indoor and outdoor). One can see that the deflection angle values obtained at the same tunability (
K = 1.6) for the different incident angles were not equal. This follows from the increasing effective thickness of the FE plate with the increase of the incident angles, i.e., increasing the wave path in the ferroelectric material with increasing incident angle. Comparing the simulation results for the outdoor and indoor implementation cases showed that the scan angle value was up to 15 degrees for both cases. However, the levels of the side lobes for the indoor case were better. This can be explained by the inhomogeneity of the incident wave amplitude’s spatial distribution caused by the dielectric lens, in contrast with the homogeneous wave radiated by the highly directive antenna used for the simulation of the outdoor implementation. Despite this, the flatness of the wavefront incoming to the reflector was important to consider for the reflector implementation. Note that the obtained results for the maximum scan angle were not limited by the reflector design. To increase this parameter, the FE layers with a higher thickness and/or
and/or
K should be used.
3.2. Experimental Results
To confirm the possibility of electrically tunable beam deflection for the proposed FE reflector, a prototype with an operating frequency of 60 GHz was manufactured. Ferroelectric plates of BSTO with a surface area of 48 × 60 mm
and a thickness of 1 mm were used. The description of BSTO production technology and its experimental characteristics were presented earlier in the Materials Subsection. One of the BSTO ceramic plates’ surfaces was metalized by the vacuum magnetron sputtering method. Oxygen-free copper with an adhesive chromium sublayer was chosen as the metal material. The residual pressure in the chamber did not exceed 6×10
Pa. Before deposition, ionic cleaning of the surface of the substrates in a glow discharge was carried out to improve the adhesion. High-purity argon at a pressure of 1 Pa was used as a plasma-forming gas. Sputtering of chromium and copper targets was carried out at direct currents at a power of 1.25 kW and an argon pressure of 0.1 Pa. The deposition temperature was kept constant at 300
C. The growth rate was 60 nm/min. As a result, a copper layer with a thickness of 2
m was deposited on the BSTO ceramic plate’s surface. On the opposite surface of the BSTO ceramic plate, the SI-Ti-Ce layer was deposited to form the ETM. The technology description of SI-Ti-Ce deposition on the BSTO ceramic and the experimental characteristics of the deposited Si-Ti-Ce films were presented earlier in the Materials Subsection. To form the topology of the ETM layer, the photolithography procedure was performed. Twenty-one discrete electrode sections that were electrically isolated from each other were formed. The holder providing the voltage application to the control electrodes was manufactured by 3D printing. The insertion loss value of the ferroelectric reflector prototype was estimated as ∼4 dB on the basis of the material measurements presented in the Materials Subsection. The exploded-view drawing and photo of the FE reflector prototype are presented in
Figure 10.
The conical horns with an aperture diameter of 30 mm were used as the source and detector antennas during the measurements of radiation patterns at 60 GHz. To provide the required control voltage applied to the ferroelectric ceramic during the experimental investigation of the prototype, we used a laboratory voltage source in combination with a self-made voltage up-conversion device. The maximum achievable voltage of this setup was limited to 5 kV, which corresponded to
K = 1.4 for the ferroelectric ceramic plate used. During the experiment, the angle of incidence was ∼40 deg. The distance between the source antenna and the reflector was 60 mm. The model with the corresponding dimensions of the source antenna, the reflector aperture, and the distance between them was used to provide a comparison between the simulation and measurement results.
Figure 11 presents the simulated and measured radiation patterns for different ferroelectric tunability values. The measured results showed that the deflection angle value of the reflector prototype was ∼8 deg, while the simulated one was about ∼10 deg. However, we should note that the most significant difference in the deflection angle could be observed at the highest tunability value (
K = 1.4). The radiation pattern distortion could explain this due to the cumulative effect of poor impedance matching and incident wavefront curvature.