Suppressing Diffraction-Related Intensity Losses in Transmissive Single-Crystal X-ray Optics
Abstract
:1. Introduction
2. Materials and Methods
2.1. Experiment and Data Processing
2.2. Fitting the Glitches Spectra
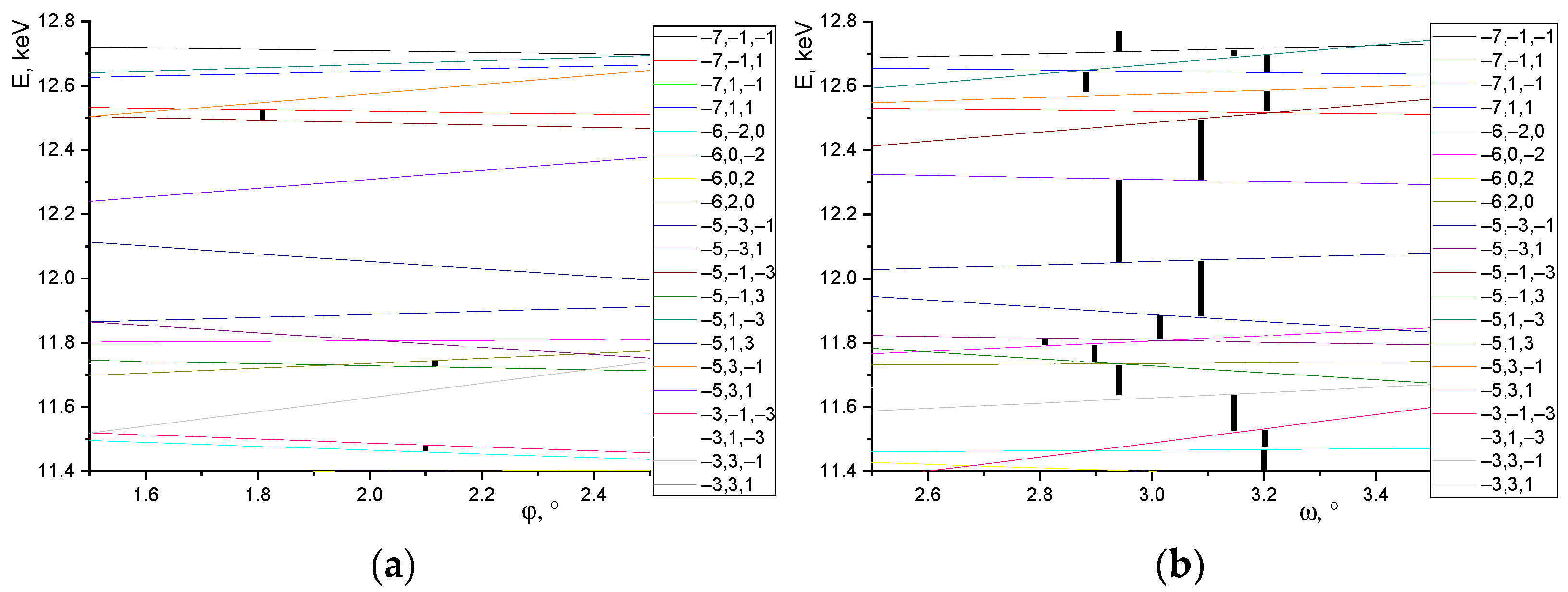
2.3. Sensitivity of the Glitches to the Rotation of the Crystal
2.4. Avoiding Glitches by Tilting the Optical Element
2.5. Finding the Exact Rotation Axis
3. Results
3.1. Determination of the Rotation Axis from Experimental Data
- χ = 0°: (0.995224, 0.066330, −0.071614);
- χ = 15°: (0.995137, 0.067263, −0.071961);
- χ = 30°: (0.995062, 0.068237, −0.072075).
- (0.995022, 0.068780, −0.072104)—calculated.
- (0.995062, 0.068237, −0.072075)—measured.
3.2. Practical Guide for Measuring without Glitches
4. Discussion
- Align the crystalline optical element;
- Measure a small glitch spectrum (0.5–2 keV);
- Rotate the optical element around one axis by a small amount (0.2° is enough);
- Measure a glitch spectrum again;
- Return the optical element to the aligned orientation and rotate around the second axis (if available), again by 0.2°;
- Repeat the measurement of the glitch spectrum;
- Using the three measured spectra find exact rotation axes;
- Calculate a table of rotations using the available motors for all energies where glitches can be observed;
- Perform an energy scan stopping at the precalculated energies, changing one of the angles, and resuming the scan.
5. Conclusions
Supplementary Materials
Author Contributions
Funding
Data Availability Statement
Acknowledgments
Conflicts of Interest
References
- Snigirev, A.; Kohn, V.; Snigireva, I.; Lengeler, B. A compound refractive lens for focusing high-energy X-rays. Nature 1996, 384, 49–51. [Google Scholar] [CrossRef]
- Polikarpov, M.; Emerich, H.; Klimova, N.; Snigireva, I.; Savin, V.; Snigirev, A. Spectral X-ray Glitches in Monocrystalline Diamond Refractive Lenses. Phys. Status Solidi B 2018, 255, 1700229. [Google Scholar] [CrossRef]
- Nöhammer, B.; Hoszowska, J.; Freund, A.K.; David, C. Diamond planar refractive lenses for third- and fourth-generation X-ray sources. J. Synchrotron Radiat. 2003, 10, 168–171. [Google Scholar] [CrossRef] [PubMed]
- Kononenko, T.V.; Ralchenko, V.G.; Ashkinazi, E.E.; Polikarpov, M.; Ershov, P.; Kuznetsov, S.; Yunkin, V.; Snigireva, I.; Konov, V.I. Fabrication of polycrystalline diamond refractive X-ray lens by femtosecond laser processing. Appl. Phys. A 2016, 122, 152. [Google Scholar] [CrossRef]
- Fox, O.J.L.; Alianelli, L.; Malik, A.M.; Pape, I.; May, P.W.; Sawhney, K.J.S. Nanofocusing optics for synchrotron radiation made from polycrystalline diamond. Opt. Express 2014, 22, 7657–7668. [Google Scholar] [CrossRef]
- Klimova, N.; Yefanov, O.; Snigirev, A. Predicting glitches of intensity in single-crystal diamond CRLs. In AIP Conference Proceedings; AIP Publishing LLC: Melville, NY, USA, 2020; Volume 2299, p. 060016. [Google Scholar]
- Klimova, N.; Yefanov, O.; Snigireva, I.; Snigirev, A. Determination of the Exact Orientation of Single-Crystal X-ray Optics from Its Glitch Spectrum and Modeling of Glitches for an Arbitrary Configuration. Crystals 2021, 11, 504. [Google Scholar] [CrossRef]
- Van Zuylen, P.; Van Der Hoek, M.J. Some Considerations on Glitches and The Design Of a Double Crystal Monochromator With Bent Crystals. In Soft X-ray Optics and Technology; International Society for Optics and Photonics: Bellingham, WA, USA, 1986; Volume 733, pp. 248–253. [Google Scholar]
- Van Der Laan, G.; Thole, B.T. Determination of glitches in soft X-ray monochromator crystals. Nucl. Instrum. Methods Phys. Res. Sect. A Accel. Spectrometers Detect. Assoc. Equip. 1988, 263, 515–521. [Google Scholar] [CrossRef]
- Bauchspiess, K.R.; Crozier, E.D. Crystal Glitches of X-ray Monochromators. In EXAFS and Near Edge Structure III, 2nd ed.; Hodgson, K.O., Hedman, B., Hahn, J.E., Eds.; Springer Proceedings in Physics; Springer: Berlin/Heidelberg, Germany, 1984; Volume 2, pp. 514–516. [Google Scholar]
- Li, G.; Bridges, F.; Wang, X. Monochromator-induced glitches in EXAFS data II. Test of the model for a pinhole sample. Nucl. Instrum. Methods Phys. Res. Sect. A Accel. Spectrometers Detect. Assoc. Equip. 1994, 340, 420–426. [Google Scholar] [CrossRef]
- Tang, Z.; Zheng, L.; Chu, S.; Wu, M.; An, P.; Zhang, L.; Hu, T. Optimal azimuthal orientation for Si(111) double-crystal monochromators to achieve the least amount of glitches in the hard X-ray region. J. Synchrotron Radiat. 2015, 22, 1147–1150. [Google Scholar] [CrossRef] [PubMed]
- Monochromator Crystal Glitch Library. Available online: https://www-ssrl.slac.stanford.edu/xas/glitch/glitch.html (accessed on 28 November 2021).
- Sutter, J.P.; Boada, R.; Bowron, D.T.; Stepanov, S.A.; Díaz-Moreno, S. Rotation of X-ray polarization in the glitches of a silicon crystal monochromator. J. Appl. Crystallogr. 2016, 49, 1209–1222. [Google Scholar] [CrossRef] [PubMed]
- Abe, H.; Aquilanti, G.; Boada, R.; Bunker, B.; Glatzel, P.; Nachtegaal, M.; Pascarelli, S. Improving the quality of XAFS data. J. Synchrotron Radiat. 2018, 25, 972–980. [Google Scholar] [CrossRef] [PubMed]
- Wallace, S.M.; Alsina, M.A.; Gaillard, J.-F. An algorithm for the automatic deglitching of X-ray absorption spectroscopy data. J. Synchrotron Radiat. 2021, 28, 1178–1183. [Google Scholar] [CrossRef] [PubMed]
- Element Six Ltd. Available online: https://www.e6.com/ (accessed on 16 March 2021).
- Micro Usinage Laser. Available online: http://micro-usinage-laser.com/ (accessed on 16 March 2021).
- Polikarpov, M.; Snigireva, I.; Morse, J.; Yunkin, V.; Kuznetsov, S.; Snigirev, A. Large-acceptance diamond planar refractive lenses manufactured by laser cutting. J. Synchrotron Radiat. 2015, 22, 23–28. [Google Scholar] [CrossRef]
- New Diamond Technology. Available online: http://ndtcompany.com/ (accessed on 16 March 2021).
- Terentyev, S.; Blank, V.; Polyakov, S.; Zholudev, S.; Snigirev, A.; Polikarpov, M.; Kolodziej, T.; Qian, J.; Zhou, H.; Shvyd’Ko, Y. Parabolic single-crystal diamond lenses for coherent X-ray imaging. Appl. Phys. Lett. 2015, 107, 111108. [Google Scholar] [CrossRef] [Green Version]
- Zhang, Q.; Polikarpov, M.; Klimova, N.; Larsen, H.B.; Mathiesen, R.; Emerich, H.; Thorkildsen, G.; Snigireva, I.; Snigirev, A. Investigation of glitches induced by single-crystal diamond compound refractive lenses based on crystal orientation. In AIP Conference Proceedings; AIP Publishing LLC: Melville, NY, USA, 2019; Volume 2054, p. 060007. [Google Scholar]
- Zhang, Q.; Polikarpov, M.; Klimova, N.; Larsen, H.B.; Mathiesen, R.; Emerich, H.; Thorkildsen, G.; Snigireva, I.; Snigirev, A. Investigation of ‘glitches’ in the energy spectrum induced by single-crystal diamond compound X-ray refractive lenses. J. Synchrotron Radiat. 2019, 26, 109–118. [Google Scholar] [CrossRef] [PubMed]
- Klimova, N.; Snigireva, I.; Snigirev, A.; Yefanov, O. Using diffraction losses in the single-crystal X-ray optics for precise determination of its cell parameters and tuning the monochromator. J. Synchrotron Radiat. 2021. submitted. [Google Scholar]
- Programs to Calculate Glitches in Single Crystal X-ray Optics. Available online: https://github.com/XrayViz/Glitches (accessed on 15 March 2021).
- Yefanov, O.; Kladko, V.; Slobodyan, M.; Polischuk, Y. XVis: An educational open-source program for demonstration of reciprocal- space construction and diffraction principles. J. Appl. Cryst. 2008, 41, 647–652. [Google Scholar] [CrossRef] [Green Version]






Publisher’s Note: MDPI stays neutral with regard to jurisdictional claims in published maps and institutional affiliations. |
© 2021 by the authors. Licensee MDPI, Basel, Switzerland. This article is an open access article distributed under the terms and conditions of the Creative Commons Attribution (CC BY) license (https://creativecommons.org/licenses/by/4.0/).
Share and Cite
Klimova, N.; Snigireva, I.; Snigirev, A.; Yefanov, O. Suppressing Diffraction-Related Intensity Losses in Transmissive Single-Crystal X-ray Optics. Crystals 2021, 11, 1561. https://doi.org/10.3390/cryst11121561
Klimova N, Snigireva I, Snigirev A, Yefanov O. Suppressing Diffraction-Related Intensity Losses in Transmissive Single-Crystal X-ray Optics. Crystals. 2021; 11(12):1561. https://doi.org/10.3390/cryst11121561
Chicago/Turabian StyleKlimova, Nataliya, Irina Snigireva, Anatoly Snigirev, and Oleksandr Yefanov. 2021. "Suppressing Diffraction-Related Intensity Losses in Transmissive Single-Crystal X-ray Optics" Crystals 11, no. 12: 1561. https://doi.org/10.3390/cryst11121561
APA StyleKlimova, N., Snigireva, I., Snigirev, A., & Yefanov, O. (2021). Suppressing Diffraction-Related Intensity Losses in Transmissive Single-Crystal X-ray Optics. Crystals, 11(12), 1561. https://doi.org/10.3390/cryst11121561

