New Rod-Like H-Bonded Assembly Systems: Mesomorphic and Geometrical Aspects
Abstract
1. Introduction
![]() |
An/Bm; n = 6, 8 and 16; m = 10, 12 and 14. |
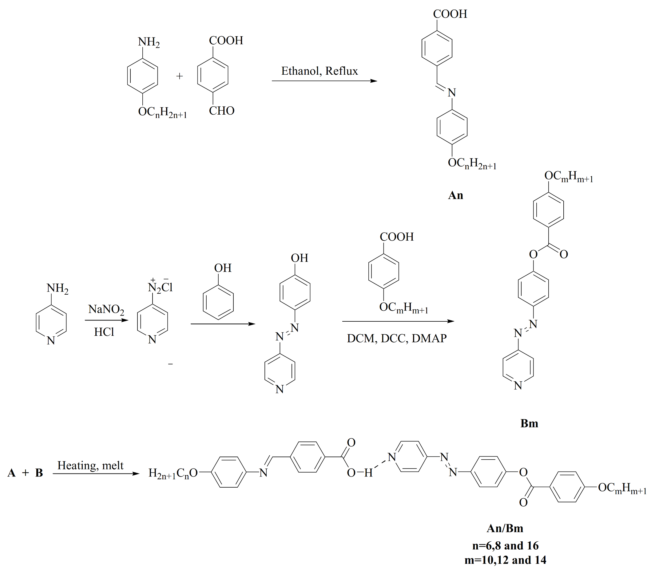
2. Experimental
Preparation of Complexes An/Bm
3. Results and Discussion
3.1. FT-IR Characterizations
3.2. Mesomorphic and Optical Studies
3.3. Thermal Parameters
3.4. Frontier Molecular Orbitals (FMOs) and Polarizability
3.5. Molecular Electrostatic Potential (MEP)
3.6. Entropy Changes
4. Conclusions
Supplementary Materials
Author Contributions
Funding
Acknowledgments
Conflicts of Interest
References
- Fairhurst, C.; Fuller, S.; Gray, J.; Holmes, M.; Tiddy, G. Handbook of Liquid Crystals; Demus, D., Goodby, J., Gray, G.W., Spiess, H.-W., Vill, V., Eds.; Wiley-VCH: New York, NY, USA, 1998; p. 341. [Google Scholar]
- Bennet, G.; Jones, B. Mesomorphism and polymorphism of some p-alkoxybenzoic and p-alkoxy-cinnamic acids. J. Chem. Soc. 1939, 420–425. [Google Scholar] [CrossRef]
- Kato, T.; Frechet, J.M. A new approach to mesophase stabilization through hydrogen bonding molecular interactions in binary mixtures. J. Am. Chem. Soc. 1989, 111, 8533–8534. [Google Scholar] [CrossRef]
- Kato, T. Hydrogen-bonded liquid crystals: Molecular self-assembly for dynamically functional materials. In Molecular Self-Assembly Organic Versus Inorganic Approaches; Springer: Berlin/Heidelberg, Germany, 2000; pp. 95–146. [Google Scholar]
- Paleos, C.M.; Tsiourvas, D. Supramolecular hydrogen-bonded liquid crystals. Liq. Cryst. 2001, 28, 1127–1161. [Google Scholar] [CrossRef]
- Demus, D.; Goodby, J.W.; Gray, G.W.; Spiess, H.W.; Vill, V. Handbook of Liquid Crystals, Volume 2A: Low Molecular Weight Liquid Crystals I: Calamitic Liquid Crystals; John Wiley & Sons: Hoboken, NJ, USA, 2011. [Google Scholar]
- Kato, T.; Kato, T.; Fréchet, J.M.; Uryu, T.; Kaneuchi, F.; Jin, C.; Fréchet, J.M. Hydrogen-bonded liquid crystals built from hydrogen-bonding donors and acceptors Infrared study on the stability of the hydrogen bond between carboxylic acid and pyridyl moieties. Liq. Cryst. 2006, 33, 1429–1437. [Google Scholar] [CrossRef]
- Nguyen, H.L.; Horton, P.N.; Hursthouse, M.B.; Legon, A.C.; Bruce, D.W. Halogen bonding: A new interaction for liquid crystal formation. J. Am. Chem. Soc. 2004, 126, 16–17. [Google Scholar] [CrossRef]
- Metrangolo, P.; Präsang, C.; Resnati, G.; Liantonio, R.; Whitwood, A.C.; Bruce, D.W. Fluorinated liquid crystals formed by halogen bonding. Chem. Commun. 2006, 31, 3290–3292. [Google Scholar] [CrossRef] [PubMed]
- Präsang, C.; Nguyen, H.L.; Horton, P.N.; Whitwood, A.C.; Bruce, D.W. Trimeric liquid crystals assembled using both hydrogen and halogen bonding. Chem. Commun. 2008, 46, 6164–6166. [Google Scholar] [CrossRef] [PubMed]
- Alaasar, M.; Poppe, S.; Tschierske, C. Photoresponsive halogen bonded polycatenar liquid crystals. J. Mol. Liq. 2019, 277, 233–240. [Google Scholar] [CrossRef]
- Wang, H.; Bisoyi, H.K.; Wang, L.; Urbas, A.M.; Bunning, T.J.; Li, Q. Photochemically and Thermally Driven Full-Color Reflection in a Self-Organized Helical Superstructure Enabled by a Halogen-Bonded Chiral Molecular Switch. Angew. Chem. Int. Ed. 2018, 57, 1627–1631. [Google Scholar] [CrossRef]
- Saccone, M.; Catalano, L. Halogen bonding beyond crystals in materials science. J. Phys. Chem. B 2019, 123, 9281–9290. [Google Scholar] [CrossRef]
- Dong, R.; Zhou, Y.; Huang, X.; Zhu, X.; Lu, Y.; Shen, J. Functional supramolecular polymers for biomedical applications. Adv. Mater. 2015, 27, 498–526. [Google Scholar] [CrossRef] [PubMed]
- Yang, Y.; Urban, M.W. Self-healing polymeric materials. Chem. Soc. Rev. 2013, 42, 7446–7467. [Google Scholar] [CrossRef] [PubMed]
- Liu, K.; Kang, Y.; Wang, Z.; Zhang, X. 25th anniversary article: Reversible and adaptive functional supramolecular materials:“Noncovalent interaction” matters. Adv. Mater. 2013, 25, 5530–5548. [Google Scholar] [CrossRef] [PubMed]
- Yan, X.; Wang, F.; Zheng, B.; Huang, F. Stimuli-responsive supramolecular polymeric materials. Chem. Soc. Rev. 2012, 41, 6042–6065. [Google Scholar] [CrossRef]
- González-Rodríguez, D.; Schenning, A.P. Hydrogen-bonded supramolecular π-functional materials. Chem. Mater. 2011, 23, 310–325. [Google Scholar] [CrossRef]
- Naoum, M.; Fahmi, A.; Alaasar, M. Supramolecular hydrogen-bonded liquid crystals formed from 4-(4′-pyridylazophenyl)-4′′-alkoxy benzoates and 4-substituted benzoic acids. Mol. Cryst. Liq. Cryst. 2008, 487, 74–91. [Google Scholar] [CrossRef]
- Alnoman, R.B.; Ahmed, H.A.; Hagar, M.; Abu Al-Ola, K.A.; Alrefay, B.S.; Haddad, B.A.; Albalawi, R.F.; Aljuhani, R.H.; Aloqebi, L.D.; Alsenani, S.F. Induced phases of new H-bonded supramolecular liquid crystal complexes; Mesomorphic and geometrical estimation. Molecules 2020, 25, 1549. [Google Scholar] [CrossRef]
- Gimeno, N.; Ros, M.B.; Serrano, J.L.; de la Fuente, M.R. Hydrogen-Bonded Banana Liquid Crystals. Angew. Chem. 2004, 116, 5347–5350. [Google Scholar] [CrossRef]
- Gimeno, N.; Ros, M.B.; Serrano, J.L.; De la Fuente, M.R. Noncovalent interactions as a tool to design new bent-core liquid-crystal materials. Chem. Mater. 2008, 20, 1262–1271. [Google Scholar] [CrossRef]
- Alaasar, M.; Tschierske, C.; Prehm, M. Hydrogen-bonded supramolecular complexes formed between isophthalic acid and pyridine-based derivatives. Liq. Cryst. 2011, 38, 925–934. [Google Scholar] [CrossRef]
- Wang, J.; Shi, Y.; Yang, K.; Wei, J.; Guo, J. Stabilization and optical switching of liquid crystal blue phase doped with azobenzene-based bent-shaped hydrogen-bonded assemblies. Rsc Adv. 2015, 5, 67357–67364. [Google Scholar] [CrossRef]
- Korkmaz, B.; Canli, N.Y.; Özdemir, Z.G.; Okutan, M.; Gursel, Y.H.; Sarac, A.; Şenkal, B.F. Synthesis and electrical properties of hydrogen bonded liquid crystal polymer. J. Mol. Liq. 2016, 219, 1030–1035. [Google Scholar] [CrossRef]
- Pfletscher, M.; Wölper, C.; Gutmann, J.S.; Mezger, M.; Giese, M. A modular approach towards functional supramolecular aggregates–subtle structural differences inducing liquid crystallinity. Chem. Commun. 2016, 52, 8549–8552. [Google Scholar] [CrossRef] [PubMed]
- Alaasar, M.; Tschierske, C. Nematic phases driven by hydrogen-bonding in liquid crystalline nonsymmetric dimers. Liq. Cryst. 2019, 46, 124–130. [Google Scholar] [CrossRef]
- Walker, R.; Pociecha, D.; Abberley, J.; Martinez-Felipe, A.; Paterson, D.; Forsyth, E.; Lawrence, G.; Henderson, P.; Storey, J.; Gorecka, E. Spontaneous chirality through mixing achiral components: A twist-bend nematic phase driven by hydrogen-bonding between unlike components. Chem. Commun. 2018, 54, 3383–3386. [Google Scholar] [CrossRef]
- Alaasar, M.; Poppe, S.; Dong, Q.; Liu, F.; Tschierske, C. Mirror symmetry breaking in cubic phases and isotropic liquids driven by hydrogen bonding. Chem. Commun. 2016, 52, 13869–13872. [Google Scholar] [CrossRef]
- Yagai, S.; Kitamura, A. Recent advances in photoresponsive supramolecular self-assemblies. Chem. Soc. Rev. 2008, 37, 1520–1529. [Google Scholar] [CrossRef]
- Ahmed, H.A.; Hagar, M.; Alhaddad, O.A.; Zaki, A.A. Optical and geometrical characterizations of non-linear supramolecular liquid crystal complexes. Crystals 2020, 10, 701. [Google Scholar] [CrossRef]
- Yeap, G.-Y.; Hng, T.-C.; Yeap, S.-Y.; Gorecka, E.; Ito, M.M.; Ueno, K.; Okamoto, M.; Mahmood, W.A.K.; Imrie, C.T. Why do non-symmetric dimers intercalate? The synthesis and characterisation of the α-(4-benzylidene-substituted-aniline-4′-oxy)-ω-(2-methylbutyl-4′-(4′′-phenyl) benzoateoxy) alkanes. Liq. Cryst. 2009, 36, 1431–1441. [Google Scholar] [CrossRef]
- Zaremba, M.; Siksnys, V. Molecular scissors under light control. Proc. Natl. Acad. Sci. USA 2010, 107, 1259–1260. [Google Scholar] [CrossRef]
- Lee, K.M.; White, T.J. Photomechanical response of composite structures built from azobenzene liquid crystal polymer networks. Polymers 2011, 3, 1447–1457. [Google Scholar] [CrossRef]
- Garcia-Amorós, J.; Reig, M.; Castro, M.C.R.; Cuadrado, A.; Raposo, M.M.M.; Velasco, D. Molecular photo-oscillators based on highly accelerated heterocyclic azo dyes in nematic liquid crystals. Chem. Commun. 2014, 50, 6704–6706. [Google Scholar] [CrossRef] [PubMed]
- Alaasar, M. Azobenzene-containing bent-core liquid crystals: An overview. Liq. Cryst. 2016, 43, 2208–2243. [Google Scholar] [CrossRef]
- Bisoyi, H.K.; Li, Q. Light-driven liquid crystalline materials: From photo-induced phase transitions and property modulations to applications. Chem. Rev. 2016, 116, 15089–15166. [Google Scholar] [CrossRef] [PubMed]
- Sunil, B.; Srinatha, M.; Shanker, G.; Hegde, G.; Alaasar, M.; Tschierske, C. Effective tuning of optical storage devices using photosensitive bent-core liquid crystals. J. Mol. Liq. 2020, 304, 112719. [Google Scholar] [CrossRef]
- Nafee, S.S.; Hagar, M.; Ahmed, H.A.; Alhaddad, O.; El-Shishtawy, R.M.; Raffah, B.M. New two rings Schiff base liquid crystals; ball mill synthesis, mesomorphic, Hammett and DFT studies. J. Mol. Liq. 2020, 299, 112161. [Google Scholar] [CrossRef]
- Hagar, M.; Ahmed, H.; Alhaddadd, O. DFT calculations and mesophase study of coumarin esters and its azoesters. Crystals 2018, 8, 359. [Google Scholar] [CrossRef]
- Alnoman, R.B.; Hagar, M.; Ahmed, H.A.; Naoum, M.M.; Sobaih, H.A.; Almshaly, J.S.; Haddad, M.M.; Alhaisoni, R.A.; Alsobhi, T.A. Binary Liquid Crystal Mixtures Based on Schiff Base Derivatives with Oriented Lateral Substituents. Crystals 2020, 10, 319. [Google Scholar] [CrossRef]
- Hagar, M.; Ahmed, H.; Aouad, M. Mesomorphic and DFT diversity of Schiff base derivatives bearing protruded methoxy groups. Liq. Cryst. 2020. [Google Scholar] [CrossRef]
- Demus, D.; Goodby, J.; Gray, G.W.; Spiess, H.-W.; Vill, V. Handbook of Liquid Crystals; Wiley-VCHI Press: Weinheim, Germany, 1998; Volume 1. [Google Scholar]
- Ahmed, H.; Hagar, M.; Alaasar, M.; Naoum, M. Wide nematic phases induced by hydrogen-bonding. Liq. Cryst. 2018. [Google Scholar] [CrossRef]
- Ahmed, H.; Hagar, M.; Aljuhani, A. Mesophase behavior of new linear supramolecular hydrogen-bonding complexes. RSC Adv. 2018, 8, 34937–34946. [Google Scholar] [CrossRef]
- Ahmed, H.; Naoum, M. Mesophase behaviour of azobenzene-based angular supramolecular hydrogen-bonded liquid crystals. Liq. Cryst. 2016, 43, 222–234. [Google Scholar] [CrossRef]
- Goodby, J.W.; Collings, P.J.; Kato, T.; Tschierske, C.; Gleeson, H.; Raynes, P.; Vill, V. Handbook of Liquid Crystals, 8 Volume Set; John Wiley & Sons: Hoboken, NJ, USA, 2014; Volume 2. [Google Scholar]
- Tschierske, C. Development of structural complexity by liquid-crystal self-assembly. Angew. Chem. Int. Ed. 2013, 52, 8828–8878. [Google Scholar] [CrossRef]
- Armstrong, G.; Buggy, M. Hydrogen-bonded supramolecular polymers: A literature review. J. Mater. Sci. 2005, 40, 547–559. [Google Scholar] [CrossRef]
- Walker, R.; Pociecha, D.; Crawford, C.A.; Storey, J.M.; Gorecka, E.; Imrie, C.T. Hydrogen bonding and the design of twist-bend nematogens. J. Mol. Liq. 2020, 303, 112630. [Google Scholar] [CrossRef]
- Saccone, M.; Pfletscher, M.; Dautzenberg, E.; Dong, R.Y.; Michal, C.A.; Giese, M. Hydrogen-bonded liquid crystals with broad-range blue phases. J. Mater. Chem. C 2019, 7, 3150–3153. [Google Scholar] [CrossRef]
- Martinez-Felipe, A.; Velayutham, T.S.; Aripin, N.F.K.; Yusoff, M.; Farquharson, E.; Hashim, R. Glycolipids from natural sources: Dry liquid crystal properties, hydrogen bonding and molecular mobility of Palm Kernel oil mannosides. Liq. Cryst. 2020. [Google Scholar] [CrossRef]
- Tuchband, M.R.; Paterson, D.A.; Salamończyk, M.; Norman, V.A.; Scarbrough, A.N.; Forsyth, E.; Garcia, E.; Wang, C.; Storey, J.M.; Walba, D.M. Distinct differences in the nanoscale behaviors of the twist–bend liquid crystal phase of a flexible linear trimer and homologous dimer. Proc. Natl. Acad. Sci. USA 2019, 116, 10698–10704. [Google Scholar] [CrossRef] [PubMed]
- Saccone, M.; Pfletscher, M.; Kather, S.; Wölper, C.; Daniliuc, C.; Mezger, M.; Giese, M. Improving the mesomorphic behaviour of supramolecular liquid crystals by resonance-assisted hydrogen bonding. J. Mater. Chem. C 2019, 7, 8643–8648. [Google Scholar] [CrossRef]
- Nafee, S.S.; Ahmed, H.A.; Hagar, M. New architectures of supramolecular H-bonded liquid crystal complexes based on dipyridine derivatives. Liq. Cryst. 2020. [Google Scholar] [CrossRef]
- Alnoman, R.B.; Hagar, M.; Ahmed, H.A.; Abu Al-Ola, K.A.; Naoum, M.M.; Al-Elati, F.; Abdullah Zaid, Y.; Alsharif, A.; Al-Juhani, Y.; Abulrhelh, A. Characterization of new H-bonded liquid crystalline complexes based on iminophenyl nicotinate. Crystals 2020, 10, 499. [Google Scholar] [CrossRef]
- Al-Mutabagani, L.A.; Alshabanah, L.A.; Ahmed, H.A.; Hagar, M.; Al-Ola, K.A.A. New symmetrical U-and wavy-shaped supramolecular H-bonded systems; geometrical and mesomorphic approaches. Molecules 2020, 25, 1420. [Google Scholar] [CrossRef] [PubMed]
- Abdullah Alshabanah, L.; Al-Mutabagani, L.A.; Ahmed, H.A.; Hagar, M. Induced wide nematic phase by seven-ring supramolecular H-bonded systems: Experimental and computational evaluation. Molecules 2020, 25, 1694. [Google Scholar] [CrossRef] [PubMed]
- Hagar, M.; Ahmed, H.A.; El-Sayed, T.H.; Alnoman, R. Mesophase behavior and DFT conformational analysis of new symmetrical diester chalcone liquid crystals. J. Mol. Liq. 2019, 285, 96–105. [Google Scholar] [CrossRef]
- Alhaddad, O.; Ahmed, H.; Hagar, M. Experimental and Theoretical Approaches of New Nematogenic Chair Architectures of Supramolecular H-Bonded Liquid Crystals. Molecules 2020, 25, 365. [Google Scholar] [CrossRef]
- Alnoman, R.B.; Hagar, M.; Parveen, S.; Ahmed, H.A.; Knight, J.G. Computational and molecular docking approaches of a New axially chiral BODIPY fluorescent dye. J. Photochem. Photobiol. A Chem. 2020, 395, 112508. [Google Scholar] [CrossRef]
- Nafee, S.S.; Ahmed, H.; Hagar, M. Theoretical, experimental and optical study of new thiophene-based liquid crystals and their positional isomers. Liq. Cryst. 2020. [Google Scholar] [CrossRef]
- Hagar, M.; Ahmed, H.A.; Aljohani, G.; Alhaddad, O.A. Investigation of Some Antiviral N-Heterocycles as COVID 19 Drug: Molecular Docking and DFT Calculations. Int. J. Mol. Sci. 2020, 21, 3922. [Google Scholar] [CrossRef]
- Nafee, S.S.; Hagar, M.; Ahmed, H.A.; El-Shishtawy, R.M.; Raffah, B.M. The synthesis of new thermal stable schiff base/ester liquid crystals: A computational, mesomorphic, and optical study. Molecules 2019, 24, 3032. [Google Scholar] [CrossRef]
- Saunders, M.; Hyne, J.B. Study of hydrogen bonding in systems of hydroxylic compounds in carbon tetrachloride through the use of NMR. J. Chem. Phys. 1958, 29, 1319–1323. [Google Scholar] [CrossRef]
- Hu, Y.; Shim, Y.; Oh, J.; Park, S.; Park, S.; Ishii, Y. Synthesis of 13C-, 15N-labeled graphitic carbon nitrides and NMR-based evidence of hydrogen-bonding assisted two-dimensional assembly. Chem. Mater. 2017, 29, 5080–5089. [Google Scholar] [CrossRef]
- Lam, R.K.; Smith, J.W.; Saykally, R.J. Communication: Hydrogen Bonding Interactions in Water-Alcohol Mixtures from X-Ray Absorption Spectroscopy. J. Chem. Phys. 2016, 144, 191103. [Google Scholar] [CrossRef] [PubMed]
- Pothoczki, S.; Pethes, I.; Pusztai, L.; Temleitner, L.; Csókás, D.; Kohara, S.; Ohara, K.; Bakó, I. Hydrogen bonding and percolation in propan-2-ol--water liquid mixtures: X-ray diffraction experiments and computer simulations. arXiv 2020, arXiv:2001.11923. [Google Scholar]
- Martinez-Felipe, A.; Cook, A.G.; Abberley, J.P.; Walker, R.; Storey, J.M.; Imrie, C.T. An FT-IR spectroscopic study of the role of hydrogen bonding in the formation of liquid crystallinity for mixtures containing bipyridines and 4-pentoxybenzoic acid. RSC Adv. 2016, 6, 108164–108179. [Google Scholar] [CrossRef]
- Martínez-Felipe, A.; Imrie, C.T. The role of hydrogen bonding in the phase behaviour of supramolecular liquid crystal dimers. J. Mol. Struct. 2015, 1100, 429–437. [Google Scholar] [CrossRef]
- Paterson, D.A.; Martínez-Felipe, A.; Jansze, S.M.; TM Marcelis, A.; MD Storey, J.; Imrie, C.T. New insights into the liquid crystal behaviour of hydrogen-bonded mixtures provided by temperature-dependent FTIR spectroscopy. Liq. Cryst. 2015, 42, 928–939. [Google Scholar] [CrossRef]
- Cleland, W.; Kreevoy, M.M. Low-barrier hydrogen bonds and enzymic catalysis. Science 1994, 264, 1887–1890. [Google Scholar] [CrossRef]
- Lizu, M.; Lutfor, M.; Surugau, N.; How, S.; Arshad, S.E. Synthesis and characterization of ethyl cellulose–based liquid crystals containing azobenzene chromophores. Mol. Cryst. Liq. Cryst. 2010, 528, 64–73. [Google Scholar] [CrossRef]
- Ghanem, A.; Noel, C. FTIR investigation of two alkyl-p-terphenyl-4, 4′′-dicarboxylates in their crystalline, smectic and isotropic phases. Mol. Cryst. Liq. Cryst. 1987, 150, 447–472. [Google Scholar] [CrossRef]
- Ahmed, H.; Naoum, M.; Saad, G. Mesophase behaviour of 1:1 mixtures of 4-n-alkoxyphenylazo benzoic acids bearing terminal alkoxy groups of different chain lengths. Liq. Cryst. 2016, 43, 1259–1267. [Google Scholar] [CrossRef]
- Paterson, D.A.; Walker, R.; Abberley, J.P.; Forestier, J.; Harrison, W.T.; Storey, J.M.; Pociecha, D.; Gorecka, E.; Imrie, C.T. Azobenzene-based liquid crystal dimers and the twist-bend nematic phase. Liq. Cryst. 2017, 44, 2060–2078. [Google Scholar] [CrossRef]
- Qian, S.; Iannacchione, G.S.; Finotello, D. Critical behavior of a smectic-A to nematic phase transition imbedded in a random network of voids. Phys. Rev. E 1998, 57, 4305. [Google Scholar] [CrossRef]
- Imrie, C.; Taylor, L. The preparation and properties of low molar mass liquid crystals possessing lateral alkyl chains. Liq. Cryst. 1989, 6, 1–10. [Google Scholar] [CrossRef]
- Ahmed, H.; Hagar, M.; El-Sayed, T.; Alnoman, R. Schiff base/ester liquid crystals with different lateral substituents: Mesophase behaviour and DFT calculations. Liq. Cryst. 2019, 46, 1–11. [Google Scholar] [CrossRef]
- Meredith, G.R.; VanDusen, J.; Williams, D.J. Optical and nonlinear optical characterization of molecularly doped thermotropic liquid crystalline polymers. Macromolecules 1982, 15, 1385–1389. [Google Scholar] [CrossRef]
- Khoo, I.-C.; Wu, S.-T. Optics and Nonlinear Optics of Liquid Crystals; World Scientific: Singapore, 1993. [Google Scholar]
- Chemla, D.S. Nonlinear Optical Properties of Organic Molecules and Crystals; Elsevier: Amsterdam, The Netherlands, 2012; Volume 1. [Google Scholar]
- Imrie, C.; Karasz, F.; Attard, G. Comparison of the mesogenic properties of monomeric, dimeric, and side-chain polymeric liquid crystals. Macromolecules 1993, 26, 545–550. [Google Scholar] [CrossRef]
- Donaldson, T.; Staesche, H.; Lu, Z.; Henderson, P.; Achard, M.; Imrie, C. Symmetric and non-symmetric chiral liquid crystal dimers. Liq. Cryst. 2010, 37, 1097–1110. [Google Scholar] [CrossRef]
- Henderson, P.A.; Niemeyer, O.; Imrie, C.T. Methylene-linked liquid crystal dimers. Liq. Cryst. 2001, 28, 463–472. [Google Scholar] [CrossRef]
- Henderson, P.A.; Imrie, C.T. Methylene-linked liquid crystal dimers and the twist-bend nematic phase. Liq. Cryst. 2011, 38, 1407–1414. [Google Scholar] [CrossRef]
- Henderson, P.; Cook, A.; Imrie, C. Oligomeric liquid crystals: From monomers to trimers. Liq. Cryst. 2004, 31, 1427–1434. [Google Scholar] [CrossRef]
- Cammenga, H.K.; Eysel, W.; Gmelin, E.; Hemminger, W.; Höhne, G.W.; Sarge, S.M. The temperature calibration of scanning calorimeters: Part 2. Calibration substances. Thermochim. Acta 1993, 219, 333–342. [Google Scholar] [CrossRef]
- Frisch, M.; Trucks, G.; Schlegel, H.B.; Scuseria, G.; Robb, M.; Cheeseman, J.; Scalmani, G.; Barone, V.; Mennucci, B.; Petersson, G. Gaussian 09, Revision A. 02; Gaussian Inc.: Wallingford, CT, USA, 2009; p. 200. [Google Scholar]
- Dennington, R.; Keith, T.; Millam, J. GaussView, Version 5; Semichem Inc.: Shawnee Mission, KS, USA, 2009. [Google Scholar]











| System | TCr-SmA * | ∆HCr-SmA * | TSmA-I † | ∆HSmA-I † | ∆SSmA-I †/R | ∆TSmA |
|---|---|---|---|---|---|---|
| A6/B10 | 135.4 | 41.61 | 255.6 | 6.85 | 1.56 | 120.2 |
| A6/B12 | 136.8 | 54.54 | 243.2 | 8.17 | 1.90 | 106.4 |
| A6/B14 | 128.8 | 48.39 | 225.3 | 5.93 | 1.43 | 96.5 |
| A8/B10 | 147.4 | 62.98 | 237.5 | 6.68 | 1.57 | 90.1 |
| A8/B12 | 148.3 | 55.51 | 234.8 | 6.77 | 1.60 | 86.5 |
| A8/B14 | 129.0 | 54.47 | 230.7 | 5.59 | 1.33 | 101.7 |
| A16/B10 | 127.1 | 67.13 | 227.1 | 9.05 | 2.18 | 100.0 |
| A16/B12 | 128.7 | 66.73 | 226.0 | 8.81 | 2.12 | 97.3 |
| A16/B14 | 125.3 | 71.04 | 215.1 | 7.08 | 1.74 | 89.8 |
| Parameter | A6/B10 | A6/B12 | A6/B14 | A8/B10 | A16/B10 |
|---|---|---|---|---|---|
| Ecorr | 0.957322 | 1.014402 | 1.071444 | 1.014393 | 1.242606 |
| ZPVE | −2532.136516 | −2610.703606 | −2689.270726 | −2610.703625 | −2924.972062 |
| Etot | −2532.078335 | −2610.642704 | −2689.207085 | −2610.642717 | −2924.900273 |
| H | −2532.077391 | −2610.641759 | −2689.206140 | −2610.641773 | −2924.899329 |
| G | −2532.246843 | −2610.818015 | −2689.389523 | −2610.818111 | −2925.103243 |
| System | A6/B10 | A6/B12 | A6/B14 | A8/B10 | A16/B10 |
|---|---|---|---|---|---|
| TCr-SmA | 135.4 | 136.8 | 128.8 | 147.4 | 127.1 |
| TSmA-I | 255.6 | 243.2 | 225.3 | 237.5 | 227.1 |
| ∆SSmA-I/R | 1.56 | 1.9 | 1.43 | 1.57 | 2.18 |
| ∆Tc | 120.2 | 106.4 | 96.5 | 90.1 | 100 |
| μ Total | 7.72 | 7.71 | 7.69 | 7.66 | 7.61 |
| Polarizability α | 719.44 | 743.29 | 767.05 | 743.74 | 839.47 |
| Parameter | A6/B10 | A6/B12 | A6/B14 | A8/B10 | A16/B10 |
|---|---|---|---|---|---|
| ELUMO | −0.11545 | −0.11543 | −0.11542 | −0.11541 | −0.11530 |
| EHOMO | −0.21456 | −0.21455 | −0.21454 | −0.21457 | −0.21450 |
| ΔEHOMO-LUMO | 0.09911 | 0.09912 | 0.09912 | 0.09916 | 0.09920 |
| S Softness | 10.090 | 10.089 | 10.089 | 10.085 | 10.081 |
© 2020 by the authors. Licensee MDPI, Basel, Switzerland. This article is an open access article distributed under the terms and conditions of the Creative Commons Attribution (CC BY) license (http://creativecommons.org/licenses/by/4.0/).
Share and Cite
Al-Mutabagani, L.A.; Abdullah Alshabanah, L.; Ahmed, H.A.; Abu Al-Ola, K.A.; Hagar, M. New Rod-Like H-Bonded Assembly Systems: Mesomorphic and Geometrical Aspects. Crystals 2020, 10, 795. https://doi.org/10.3390/cryst10090795
Al-Mutabagani LA, Abdullah Alshabanah L, Ahmed HA, Abu Al-Ola KA, Hagar M. New Rod-Like H-Bonded Assembly Systems: Mesomorphic and Geometrical Aspects. Crystals. 2020; 10(9):795. https://doi.org/10.3390/cryst10090795
Chicago/Turabian StyleAl-Mutabagani, Laila A., Latifah Abdullah Alshabanah, Hoda A. Ahmed, Khulood A. Abu Al-Ola, and Mohamed Hagar. 2020. "New Rod-Like H-Bonded Assembly Systems: Mesomorphic and Geometrical Aspects" Crystals 10, no. 9: 795. https://doi.org/10.3390/cryst10090795
APA StyleAl-Mutabagani, L. A., Abdullah Alshabanah, L., Ahmed, H. A., Abu Al-Ola, K. A., & Hagar, M. (2020). New Rod-Like H-Bonded Assembly Systems: Mesomorphic and Geometrical Aspects. Crystals, 10(9), 795. https://doi.org/10.3390/cryst10090795


