Abstract
To evaluate the crystallization behavior of Ti-bearing blast furnace slag-based glass ceramics, SiO2-Al2O3-CaO-MgO-TiO2 systems with various TiO2 were investigated. The crystallization process and mechanical properties were analyzed. The results show that with TiO2 increasing, exothermic peak temperature (Tp) decreases, and the crystallization is promoted by the introduction of TiO2. A small amount of TiO2 (≤4%) addition can significantly promote crystallization, and when TiO2 continues to increase, the crystallization is decreased slightly. The Avrami parameter (n) of all samples is less than 4, indicating that in prepared glass-ceramics, it is hard to achieve three-dimensional crystal growth. The main crystalline phase is akermanite–gehlenite. The addition of TiO2 has no obvious effect on the type of main crystalline phase. The prepared glass-ceramic with 4% TiO2 show good mechanical properties with the hardness values of 542.67 MPa. The recommended content of TiO2 is 4% for preparing glass-ceramics.
1. Introduction
China is the largest steel producer in the world, and the steel production capacity constantly increases. Therefore, more and more metallurgical solid waste is discharged during the smelting process. About 50% of the solid waste generated in the metallurgical industry is blast furnace slag, which is one of the important components of metallurgical solid waste [1]. The accumulated amount of Ti-bearing blast furnace slag is up to 3 million tons per year [2,3]. For blast furnace slag accumulated in a slag yard for a long time, improper handling will cause potential and long-term harm to the environment. At present, the main method of comprehensive utilization is to produce building materials with low added value, such as cement, concrete, and bricks. In addition, the blast furnace slag produced by an iron and steel plant contains less than 8% TiO2, which is a typical low or medium Ti-bearing blast furnace slag. If this extraction method is used, due to the low grade of TiO2, it is difficult to extract titanium, and the economic benefit is low. However, if low and medium Ti-bearing blast furnace slag is used to make cement, concrete, and other building materials, the TiO2 will affect the stability of building materials [4]. Therefore, efficient and comprehensive utilization of low and medium titanium blast furnace slag is still a difficult problem to be solved.
Glass-ceramic is a homogeneous polycrystalline solid material, which contains a large number of microcrystalline and glass phases [5]. Glass-ceramic has many excellent properties, such as high strength and good thermal shock resistance, which make it more widely used in many fields, such as national defense, automotive, machinery, and construction [6]. Blast furnace slag is a typical silicate material, and the main components are SiO2, CaO, MgO, and Al2O3, which are also important components of glass-ceramics [7,8,9,10]. According to the modern glass structure theory, SiO2 can be used as a network former, MgO and CaO as network modifiers, Al2O3 as a network intermediate, and a small amount of TiO2 is a good crystal nucleating agent so that these components can be used in the glass-ceramics’ production process [11,12]. The use of low and medium Ti-bearing blast furnace slag to prepare glass-ceramics is of great significance, which not only provides a new way for the comprehensive utilization of low and medium Ti-bearing blast furnace slag but also increases the added value of metallurgical solid waste, which improves its utilization and reduces its environmental pollution.
The content and distribution of the crystal and glass phases of glass-ceramic determine its performance [5,9,13]. An appropriate amount of nucleating agent can reduce the activation energy (E) of glass crystallization and increase the bulk growth index, thereby promoting glass bulk crystallization. A significant amount of research has been performed on the effects of nucleating agents in glass-ceramics. Tan et al. [14] studied the crystallization of glasses with different contents of TiO2 and phase evolution with temperature and found that the viscosity of the base glasses at high temperature decreased with the addition of TiO2 in glass-ceramics, which favored nucleation and crystal growth. Erkmen et al. [15] used blast furnace slag with Cr2O3 and TiO2 as nucleating agents to prepare glass-ceramics. The crystal phase components of glass-ceramics were mainly akermanite and gehlenite. Moreover, Back et al. [16] analyzed the effects of TiO2 and Cr2O3 on nucleation in the SiO2-Al2O3-CaO-MgO system by differential scanning calorimetry (DSC), and showed that TiO2 was effective in decreasing the crystallization temperature, while Cr2O3 effectively decreased the activation energy. Mukherjee et al. [17] found that the addition of TiO2 can act as a nucleating agent, which improved the nucleation and crystallization processes of glass and changed the crystalline distribution in glass-ceramics. When the content of crystals and the microstructure changed, the density of glass-ceramics increased, while microhardness strengthened with increasing TiO2. He et al. [18] evaluated the effects of TiO2 on the phase composition and structural properties of the prepared glass-ceramics with diopside as the main crystalline phase by DSC, X-ray diffraction (XRD), and scanning electron microscopy (SEM), and found that the optimal dosage of TiO2 was 7.69%. In addition, Javed et al. [19] studied the mechanical properties of glass-ceramics and the stability of the metal-glass-ceramic interface found that the volume fraction of the crystalline phase in glass-ceramics was a key factor in controlling mechanical properties and fracture. It was shown that TiO2 is an important crystal nucleating agent for preparing glass-ceramics, and the amount of crystal nucleating agent has an important effect on the crystallization process. What is more, the mechanical properties of glass-ceramics are closely related to crystallization. Exploring the crystallization kinetics is of great significance for glass-ceramics prepared from Ti-bearing blast furnace slag.
In the present work, the DSC method was used to analyze the crystallization kinetics of the base glass, and the influence of TiO2 as the nucleating agent on the crystallization mode of the base glass was studied. According to the results of the crystallization kinetics of the base glass, the phase composition and microstructure of SiO2-Al2O3-CaO-MgO-TiO2 based glass-ceramic were investigated with XRD and SEM. This study can provide a theoretical basis on the controlled crystallization of slag and the preparation of glass-ceramics with excellent performance. In addition, this study can provide more techniques and experimental technical support for the efficient resource utilization of low and medium Ti-bearing blast furnace slag.
2. Experimental Procedures
2.1. Sample Preparation
Based on the composition of blast furnace slag from an iron and steel plant, which mainly contains SiO2, Al2O3, CaO, and MgO, chemical reagents were used to prepare SiO2-Al2O3-CaO-MgO-TiO2 samples with various contents of TiO2 in this study. To explore the effect of TiO2 content on the preparation of glass-ceramics from blast furnace slag composition. The chemical composition of the samples is listed in Table 1. After accurately weighing the components of each sample, the prepared samples were ground in an agate mortar for half an hour, so that the various components could be uniformly mixed. Then the powder samples were placed into a clean platinum crucible, and the temperature was raised to 1500 °C in a high-temperature tube furnace in air for 2 h. The melting temperature of blast furnace slag is usually about 1400 °C. Furthermore, according to the phase diagram of the SiO2-Al2O3-CaO ternary slag system, the melting temperature of this slag system is 1400 °C, approximately under the condition of the designed composition content in this experiment. So 1500 °C was chosen to make the ingredients uniformly melted and mixed. Then the samples were removed and quenched with water to obtain the basic glass samples. The basic glasses were ground into powder about 200 mesh in an agate mortar; some powder were identified by XRD; for example, see the 8% TiO2 shown in Figure 1. In addition, 1% polyvinyl alcohol and 5% zinc stearate were added to the remaining powder as binders. This study used a FYD-30 electric powder compactor to press the basic glass powder into a cylinder with a diameter of 8 mm, and the cuboid with 50 × 6 × 6 mm was pressed to be used for hardness strength detection. The pressed sample was placed on a platinum sheet and heated to 600 °C for 1 h in a high-temperature tube furnace, which was to reduce the glass stress and remove the binders. According to the results of DSC, the transition temperature (Tg) of the investigated glasses was determined at about 750 °C, and the crystallization temperature was about 920 °C. The heating stage microscopy was used to observe the sintering process of the 4% TiO2 glass samples, shown in Figure 2. The figures show that the sample began to shrink when the temperature was 775 °C and remained basically unchanged after 904 °C, which is similar to the glass transition and crystallization temperature of the DSC test result. Therefore, the nucleation temperature was estimated by 800 °C, because the optimum nucleation temperature usually lies at 50–100 °C above Tg of glasses. Then, the samples were held at their crystallization temperature for 1.5 h to obtain the glass-ceramics.
Table 1.
The chemical composition of SiO2-Al2O3-CaO-MgO-based samples (wt%).
Figure 1.
X-ray diffraction (XRD) pattern of the quenched sample with 8% TiO2.
Figure 2.
Typical sequence of images of the 4% TiO2 glass sample obtained with the heating microscope digital camera.
2.2. Analysis Methods
The basic glass powders were examined by DSC (449F3, NETZSCH, Frankfurt, Germany) in air from room temperature to 1300 °C at heating rates of 5, 10, 15, and 20 °C/min, respectively, to evaluate the activation energy of crystallization (E) and Avrami parameter (n). The phase of the basic glasses and obtained glass-ceramics were examined by X-ray diffraction (XRD) (PANalytical X’Pert Powder, Spectris Pte, Amsterdam, The Netherlands). The glass-ceramic samples surfaces were polished and then observed by scanning electron microscopy (SEM) (JSM-7800F, JEOL, Tokyo, Japan). The microhardness was measured by a microhardness-tester (MH-5L, Everone Precision Instruments Co., Ltd., Shanghai, China) with a measuring force of 200 N and a load time of 15 s. The microhardness values were obtained by calculating the average of five detection values.
3. Results and Discussion
3.1. Crystallization Kinetics Analysis
Shown in Figure 3a–f are the DSC curves of the glass samples with different TiO2 contents at heating rates of 5, 10, 15, and 20 °C/min, respectively. The crystallization temperature can be determined as the exothermic peak temperature (Tp). The variations in the crystallization temperature of the investigated samples for the first crystal are shown in Figure 4, which indicates that the crystallization temperature increased with the increase in the heating rate, while it decreased with the increase in TiO2 content when the content of TiO2 was less than 4%. When TiO2 content was at a relatively high level, the increasing effect became weaker. Only negligible changes in Tp were observed with 4%, 6%, and 8% TiO2.

Figure 3.
The differential scanning calorimetry (DSC) curves of the samples with different contents of TiO2. (a) S1; (b) S2; (c) S3; (d) S4; (e) S5 and (f) S6.
Figure 4.
The Crystallization temperature of the samples with different heating rates.
The crystallization was affected by both the nucleation rate and the crystal growth velocity. More time is needed to initiate nucleation and subsequent crystal growth for the higher heating rates. Therefore, the crystallization temperature correspondingly increased at a higher heating rate [20,21]. According to some research [22,23,24], Ti4+ was in the form of TiO4, TiO5, and TiO6 structural units, and the TiO6 unit is used as network modifier, which will decrease the degree of polymerization of glasses. Ti4+ ions remain 4-fold coordination in low temperature process [25,26]. And Cheng et al. [27] concluded that heat treatment may lead silicate to depolymerize, and Ti4+ will break away from the network to reach a 6-fold coordination structure. The amount of Ti4+ ions changing from TiO4 to TiO6 increases with TiO2 content increasing, resulting in a decrease in the aggregation extent of the network so that the crystallization tends to be promoted. Therefore, the Tp shifts to a lower temperature with the increase in TiO2.
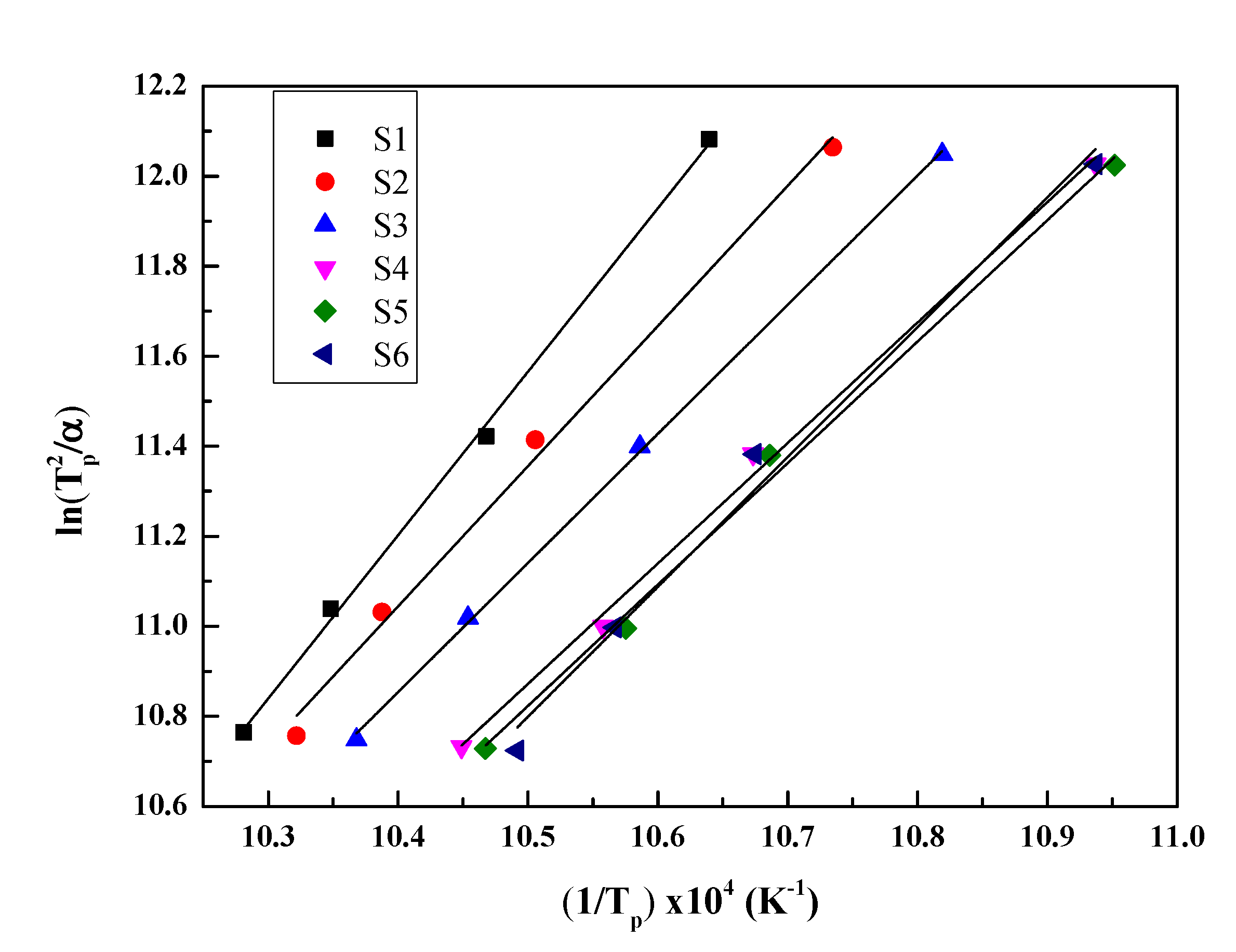
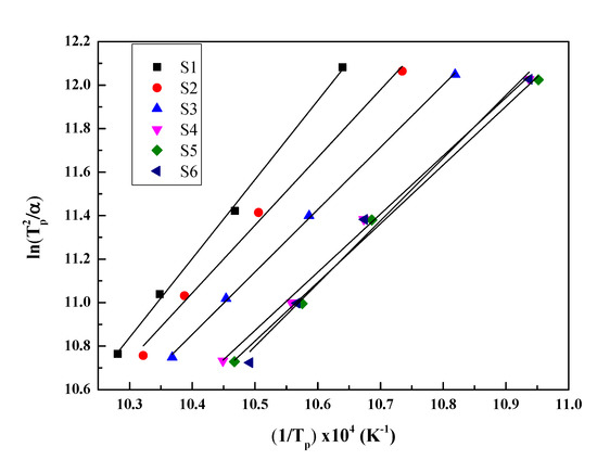
The nonisothermal crystallization kinetics of the investigated glass-ceramics was analyzed. Many models on nonisothermal crystallization kinetics have been provided by previous reports [28,29,30,31,32]. As the glass transforms into a crystalline structure, a certain activation energy is required to overcome the potential barrier to rearrangement of the structural units. The potential barrier affects the E required, which affects the crystallization ability of the glass. E reflects the ability of crystallization to some extent [20,33,34]. To obtain the activation energy of the investigated samples, the modified Kissinger equation was used [30,31,32], as shown in Equation (1):
where α is the heating rate and R is the universal gas constant. This equation is also used by Back et al. [16], which analyzes the nucleation and crystallization of the SiO2-Al2O3-CaO-MgO system from DSC curves. The linear plots of vs. for glass samples are exhibited in Figure 5.
Figure 5.
Variation of
versus for glass specimens.
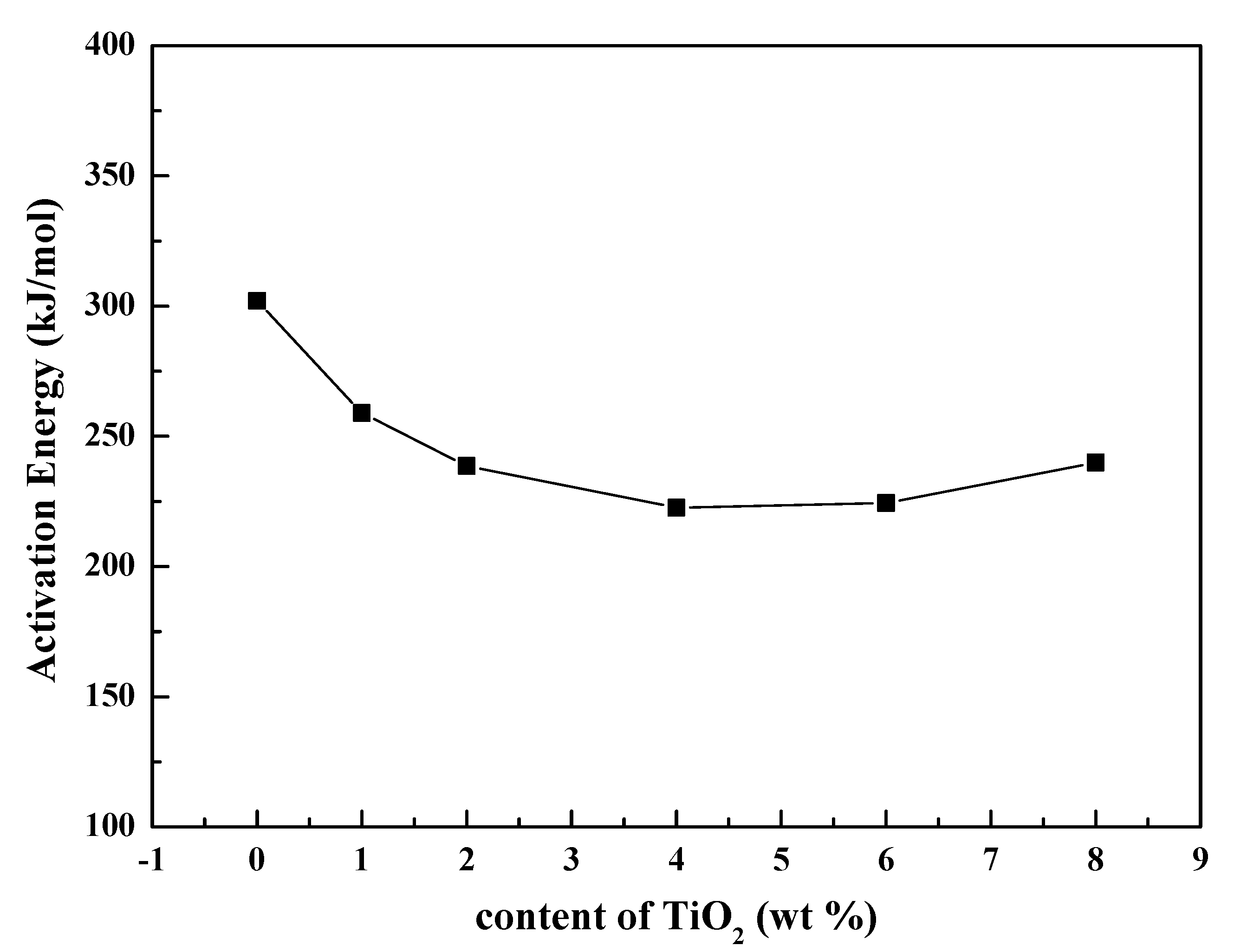
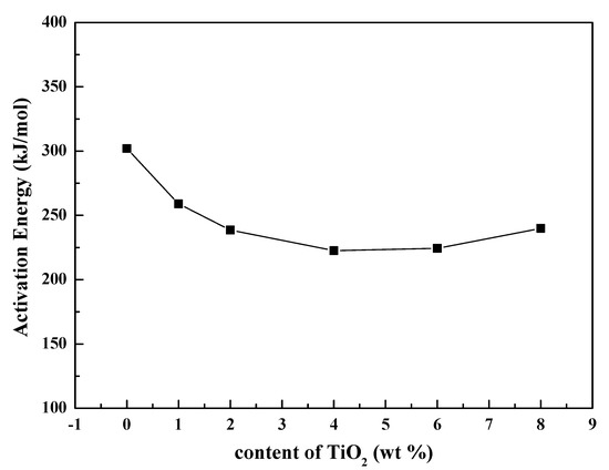
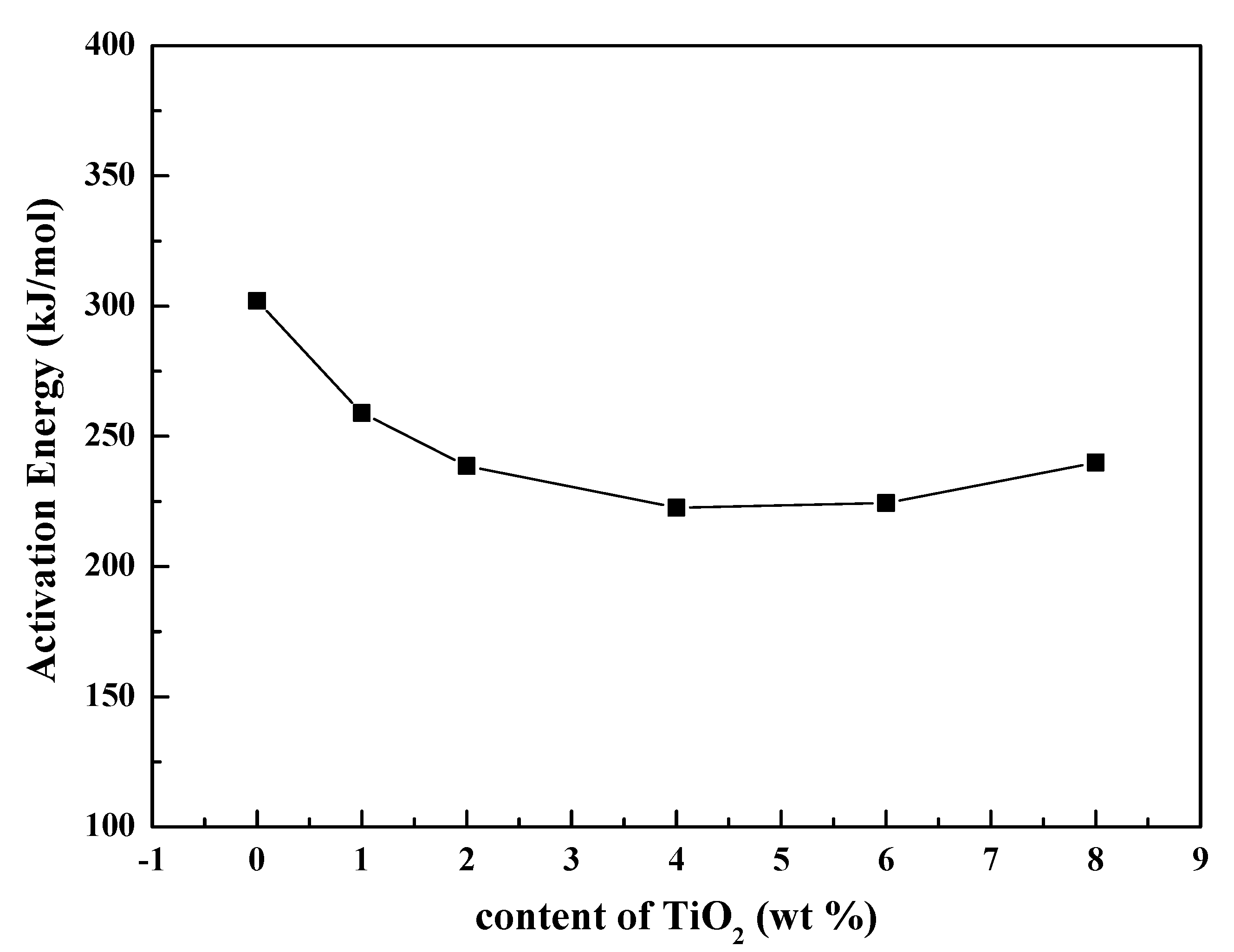
Based on the slopes of these lines, the E was calculated for each glass sample, as showed in Figure 6. It was observed that E first greatly decreased as the TiO2 content increased from 301.96 kJ/mol to 222.56 kJ/mol, and then slightly increased with further increasing TiO2 from 224.30 kJ/mol to 239.94 kJ/mol. It can be concluded that the addition of a small amount of TiO2 (≤4%) can significantly promote crystallization, and when TiO2 continues to increase, the crystallization ability decreases slightly. This may be because TiO2 is an amphoteric compound. At low content of TiO2, TiO6 is mainly formed to reduce the degree of network polymerization, thus promoting crystallization. On the contrary, TiO4 is formed to make network polymerization and reduce crystallization.
Figure 6.
The change in the activation energy of crystallization with different contents of TiO2.
There are two crystallization mechanisms of glasses: surface crystallization and bulk crystallization. As the glass has a strong crystallization ability, the crystallization process performs bulk crystallization. Conversely, glass only crystallizes on the surface. The Avrami parameter, n, is also known as the crystallization index, which reflects the difficulty of crystallization and the crystal growth mechanism. According to Johnson–Mehl-Avrami (JMA) theory, n ≈ 2 indicates the surface crystallization, n ≈ 3 indicates two-dimensional crystal growth, and n ≈ 4 indicates three-dimensional crystal growth [21,35,36,37]. In current experiments, n was evaluated by DSC experiments using the Augis–Bennett equation [38], as shown as Equation (2):
where ΔT is the full width of the exothermic peak at the half-maximum intensity. The meanings of other parameters are consistent with those of Equation (1). Table 2 shows the values of n. It can be seen that the n of all samples were less than 4, indicating that for the investigated Ti-bearing blast furnace slag-based glass-ceramics, it was hard to achieve three-dimensional crystal growth and the further improvement in crystallization behavior will be our future works. The biggest value of n was found to be 3.03 for the specimen S3, revealing that a two-dimensional crystallization proceeded in the sample with 2% TiO2. However, the crystallization of other samples was only performed by surface crystallization at any other heating rate.
Table 2.
Calculated results of the Avrami parameter (n) of different samples.
3.2. Crystal Phase and Morphology Analysis
The XRD patterns of the SiO2-Al2O3-CaO-MgO-TiO2 glass-ceramic specimens are represented in Figure 7. It is seen that the glass-ceramic samples precipitated akermanite–gehlenite (Ca2Mg0.5Al0.5(Si1.5Al0.5O7)) (PDF card: 79-2423) and augite (Ca(Mg0.70Al0.30) (Si1.70Al0.30) O6) (PDF card: 78-1392) in the crystalline phases, which is mostly consistent with the precipitation of related reports [15,39]. Additionally, Figure 7 illustrates that the intensity of the diffraction peak corresponding to the main crystal (Ca2Mg0.5Al0.5(Si1.5Al0.5O7)) gradually increased in the process of increasing the content of TiO2 from 0% to 2%, and the negligible change in the intensity of that was observed when the content of TiO2 increased from 4% to 8%. The addition of TiO2 had no effect on the precipitation type of the main crystalline phase. However, according to XRD detection results, the fitting calculation exhibited that the crystallinity of S1 to S6 was approximately 95.37%, 95.83%, 96.62%, 97.55%, 97.51%, and 97.46%, respectively. It demonstrates that the increase in TiO2 content promotes crystallization when TiO2 content is less than 4 wt%, and the crystallinity remains basically unchanged as TiO2 continues to increase.
Figure 7.
X-ray diffraction patterns of glass-ceramics.
Figure 8 shows SEM images of the original glass-ceramics with different contents of TiO2. The plots show the surface morphology of a glass-ceramic with different contents of TiO2 in Figure 8a–f. The surface of the sample contained many holes, resulting in the surface looking loose and porous in the TiO2-free sample shown in Figure 8a. As the concentration of TiO2 increased to 4%, the surface gradually became more compact. With further increases in TiO2 content, the densification decreased. According to the theoretical calculations of crystallization kinetics, when TiO2 content is 4%, the glass sample has the lowest crystallization activation energy with 222.56 kJ/mol, resulting in a stronger crystallization ability, so the growth of grain is denser.

Figure 8.
SEM images of the original glass-ceramics. (a) S1, (b) S2, (c) S3, (d) S4, (e) S5, and (f) S6.
Furthermore, the distribution of crystal phases of the polished glass-ceramics with different contents of TiO2 are shown in Figure 9. It can be found that crystal phases are formed in glass-ceramics with different TiO2 contents, and the crystals formed are relatively uniformly distributed in the glass-ceramics. The results of EDS analysis show that the crystal phase composition in the glass-ceramic is mainly akermanite-gehlenite (Ca2Mg0.5Al0.5(Si1.5Al0.5O7)), taking the example of 2 wt% TiO2, shown in Figure 10, which is consistent with the XRD results. Additionally, it can be seen from Figure 9a that some large size (between 10–30 μm) crystals existed in the TiO2-free sample. The crystal size gradually decreases with the increase in TiO2. When the content of TiO2 increased from 2% to 4%, the crystal size decreased to less than 10 μm, while large bulk crystals were observed with further increases in TiO2 content. TiO2, as a nucleating agent, can promote nucleation and crystallization. The number of nuclei formed is small with the TiO2-free sample, and the crystals can grow to a larger size. With the increase in TiO2 content, the number of nuclei formed increases, and the growth space of the nuclei restrict each other during crystallization so that the crystal grain size is gradually reduced, and the crystals are denser. However, when there are a large number of nuclei formed, the grains bond to each other to form the bulk crystals during the growth process. In summary, this research demonstrated that a certain amount of TiO2 can promote the precipitation of crystals and generate crystallites produced in glass-ceramics so as to improve the related performance of glass-ceramics.
Figure 9.
Scanning electron microscopy (SEM) images of the polished glass-ceramics. (a) S1, (b) S2, (c) S3, (d) S4, (e) S5, and (f) S6.
Figure 10.
SEM image of a sample with 2% TiO2, with EDS analysis overlaid on the photographs.
3.3. Hardness Performance Analysis
The Vickers hardness values for the glass-ceramic samples are presented in Figure 11. As the content of TiO2 increased, the hardness values initially increased gradually and then decreased, reaching the maxima at 4% TiO2. The prepared glass-ceramic with 4% TiO2 content showed good mechanical properties with a hardness of 542.67 MPa. According to the results of crystallization kinetics analysis and SEM, when the content of TiO2 was 4%, the crystallization activation energy was the lowest, which would promote more crystals and smaller size of crystals were precipitated, resulting in a denser surface of the glass-ceramic so that the Vickers hardness under this condition reached the highest value. Therefore, the recommended content of TiO2 is about 4% when preparing glass-ceramics using Ti-bearing blast furnace slag.
Figure 11.
The Vickers hardness of the samples with different contents of TiO2 (MPa).
4. Conclusions
The crystallization behaviors of the SiO2-Al2O3-CaO-MgO-TiO2 based glass-ceramics were investigated. The crystallization process and the mechanical properties of glass-ceramics were analyzed. The following conclusions are obtained:
With TiO2 content increasing, Tp decreases. The crystallization is promoted by the introduction of TiO2. According to the calculation results of the crystallization activation energy, a small amount of TiO2 (≤4 wt%) addition can significantly promote crystallization, and when TiO2 continues to increase, the crystallization ability decreases slightly.
The Avrami parameter (n) of all samples was less than 4, indicating that it was hard to achieve three-dimensional crystal growth in the investigated Ti-bearing blast furnace slag-based glass-ceramics. A two-dimensional crystallization proceeded in the sample with 2 wt% TiO2. However, the crystallization of other samples was only performed by surface crystallization. The main crystalline phase of the prepared glass-ceramic was akermanite–gehlenite. The addition of TiO2 had no effect on the precipitation type of the main crystalline phase.
The prepared glass-ceramics with 4 wt% TiO2 content showed good mechanical properties with a hardness value of 542.67 MPa. The recommended content of TiO2 is 4 wt% when preparing glass-ceramics using the Ti-bearing blast furnace slag.
Author Contributions
Conceptualization, J.L. and Q.L.; Methodology, F.L.; Software, M.L.; Validation, F.L. and M.L.; Formal analysis, M.L. and Q.L.; Investigation, F.L. and M.L.; Resources, J.L. and Q.L.; Data curation, F.L.; Writing—original draft preparation, F.L.; Writing—review and editing, J.L.; Visualization, J.L.; Supervision, J.L.; Project administration, J.L.; Funding acquisition, J.L. All authors have read and agreed to the published version of the manuscript.
Funding
This research was funded by Natural Science Foundation of China (51704050, 51774054); Fundamental and Frontier Research Project of Chongqing (cstc2018jcyjAX0791) and China Postdoctoral Science Foundation (2017M612905, 2018T110944).
Acknowledgments
This work was supported by the Natural Science Foundation of China (51704050, 51774054); Fundamental and Frontier Research Project of Chongqing (cstc2018jcyjAX0791), and China Postdoctoral Science Foundation (2017M612905, 2018T110944).
Conflicts of Interest
The authors declare no conflict of interest.
References
- Wang, H.F.; Zhang, C.X.; Qi, Y.H.; Dai, X.T.; Yan, D.L. Present situation and development trend of blast furnace slag treatment. Iron Steel 2007, 42, 84–87. [Google Scholar]
- Zhen, Y.L.; Zhang, G.H.; Chou, K.C. Carbothermic Reduction of Titanium-Bearing Blast Furnace Slag. High Temp. Mater. Process.-Isr. 2016, 35, 309–319. [Google Scholar] [CrossRef]
- Lei, Y.; Sun, L.; Ma, W.; Ma, X.; Wu, J.; Li, S.; Morita, K. An approach to employ titanium-bearing blast-furnace slag to prepare Ti and Al–Si alloys. J. Alloy Compd. 2018, 769, 983–990. [Google Scholar] [CrossRef]
- Zhang, L.; Li, J.; Lu, Z. Study on property of composite cement prepared by titanium slag-CFBC fly ash as cement admixture. Cement 2016, 6, 2. [Google Scholar]
- Rawlings, R.; Wu, J.; Boccaccini, A. Glass-ceramics: Their production from wastes—A review. J. Mater. Sci. 2006, 41, 733–761. [Google Scholar] [CrossRef]
- Zhao, Y.; Chen, D.; Bi, Y.; Long, M. Preparation of low cost glass–ceramics from molten blast furnace slag. Ceram. Int. 2012, 38, 2495–2500. [Google Scholar] [CrossRef]
- Francis, A. Non-isothermal crystallization kinetics of a blast furnace slag glass. J. Am. Ceram. Soc. 2005, 88, 1859–1863. [Google Scholar] [CrossRef]
- Cheng, T.W.; Chiu, J. Fire-resistant geopolymer produced by granulated blast furnace slag. Miner. Eng. 2003, 16, 205–210. [Google Scholar] [CrossRef]
- Liu, H.; Lu, H.; Chen, D.; Wang, H.; Xu, H.; Zhang, R. Preparation and properties of glass–ceramics derived from blast-furnace slag by a ceramic-sintering process. Ceram. Int. 2009, 35, 3181–3184. [Google Scholar] [CrossRef]
- Khater, G. Influence of Cr2O3, LiF, CaF2 and TiO2 nucleants on the crystallization behavior and microstructure of glass-ceramics based on blast-furnace slag. Ceram. Int. 2011, 37, 2193–2199. [Google Scholar] [CrossRef]
- Calahoo, C.; Wondraczek, L. Ionic glasses: Structure, properties and classification. J. Non-Cryst. Solids X 2020, 100054. [Google Scholar] [CrossRef]
- Goldschmidt, V.M. Die gesetze der krystallochemie. Naturwissenschaften 1926, 21, 477–485. [Google Scholar] [CrossRef]
- Mollazadeh, S.; Yekta, B.E.; Javadpour, J.; Yusefi, A.; Jafarzadeh, T. The role of TiO2, ZrO2, BaO and SiO2 on the mechanical properties and crystallization behavior of fluorapatite-mullite glass-ceramics. J. Non-Cryst. Solids 2013, 361, 70–77. [Google Scholar] [CrossRef]
- Tan, X.; Liang, S.; Liu, R.; Guan, D.; Chai, L. Effect of TiO2 addition on the crystallization of quenched glasses in the SiO2-Al2O3-ZrO2 system. Phase Transit. 2011, 84, 1035–1044. [Google Scholar] [CrossRef]
- Erkmen, Z.; Çataklı, E.; Öveçoğlu, L.M. Characterisation and crystallisation kinetics of glass ceramics developed from Erdemir blast furnace slags containing Cr2O3 and TiO2 nucleants. Adv. Appl. Ceram. 2009, 108, 57–66. [Google Scholar] [CrossRef]
- Back, G.S.; Yoon, M.J.; Jung, W.G. Effect of the Cr2O3 and TiO2 as nucleating agents in SiO2-Al2O3-CaO-MgO glass-ceramic system. Met. Mater. Int. 2017, 23, 798–804. [Google Scholar] [CrossRef]
- Mukherjee, D.P.; Das, S.K. The influence of TiO2 content on the properties of glass ceramics: Crystallization, microstructure and hardness. Ceram. Int. 2014, 40, 4127–4134. [Google Scholar] [CrossRef]
- He, D.; Gao, C.; Pan, J.; Xu, A. Preparation of glass-ceramics with diopside as the main crystalline phase from low and medium titanium-bearing blast furnace slag. Ceram. Int. 2018, 44, 1384–1393. [Google Scholar] [CrossRef]
- Javed, H.; Sabato, A.G.; Dlouhy, I.; Halasova, M.; Bernardo, E.; Salvo, M.; Herbrig, K.; Walter, C.; Smeacetto, F. Shear Performance at Room and High Temperatures of Glass–Ceramic Sealants for Solid Oxide Electrolysis Cell Technology. Materials 2019, 12, 298. [Google Scholar] [CrossRef]
- Wang, Y.C.; Wen-Wu, Y.U.; Zhang, J.L.; Luo, G.P.; Jiang, Q. Crystallization kinetics and microstructure of glass-ceramics prepared from Baotou steel blast furnace slag. Trans. Mater. Heat Treat. 2014, 35, 88–93. [Google Scholar]
- Li, J.; Yan, B.; Shu, Q.; Chou, K. Structure and crystallization kinetics of glassy CaO-Al2O3-SiO2-CaF2-Na2O mold fluxes with varying basicity. Metall. Mater. Trans. B 2015, 46, 2458–2469. [Google Scholar] [CrossRef]
- Mysen, B.O.; Virgo, D.; Scarfe, C.M. Relations between the anionic structure and viscosity of silicate melts-a Raman spectroscopic study. Am. Mineral. 1980, 65, 690–710. [Google Scholar]
- Zheng, K.; Liao, J.; Wang, X.; Zhang, Z. Raman spectroscopic study of the structural properties of CaO-MgO-SiO2-TiO2 slags. J. Non-Cryst. Solids 2013, 376, 209–215. [Google Scholar] [CrossRef]
- Inoue, K.; Sakida, S.; Nanba, T.; Miura, Y. Structure and Optical Properties of TiO2 Containing Oxide Glasses. Mater. Sci. Technol. (MS&T) 2006, 3, 583. [Google Scholar]
- Rezvani, M.; Eftekhari-Yekta, B.; Solati-Hashjin, M.; Marghussian, V.K. Effect of Cr2O3, Fe2O3 and TiO2 nucleants on the crystallization behaviour of SiO2–Al2O3–CaO–MgO(R2O) glass-ceramics. Ceram. Int. 2005, 31, 75–80. [Google Scholar] [CrossRef]
- Ma, M.; Ni, W.; Wang, Y.; Wang, Z.; Liu, F. The effect of TiO2 on phase separation and crystallization of glass-ceramics in CaO-MgO-Al2O3-SiO2-Na2O system. J. Non-Cryst. Solids 2008, 354, 5395–5401. [Google Scholar] [CrossRef]
- Cheng, J.; Kang, J.; Lou, X.; Zhang, X.; Liu, K.; Wang, W.; Huai, X. Effect of TiO2 on crystallization of the glass ceramics prepared from granite tailings. J. Wuhan Univ. Technol. 2015, 30, 22–26. [Google Scholar] [CrossRef]
- Lippmaa, E.; Maegi, M.; Samoson, A.; Engelhardt, G.; Grimmer, A. Structural studies of silicates by solid-state high-resolution silicon-29 NMR. J. Am. Ceram. Soc. 1980, 102, 4889–4893. [Google Scholar] [CrossRef]
- Matusita, K.; Komatsu, T.; Yokota, R. Kinetics of non-isothermal crystallization process and activation energy for crystal growth in amorphous materials. J. Mater. Sci. 1984, 19, 291–296. [Google Scholar] [CrossRef]
- Matusita, K.; Sakka, S. Kinetic study of crystallization of glass by differential thermal analysis-criterion on application of Kissinger plot. J. Non-Cryst. Solids 1980, 38, 741–746. [Google Scholar] [CrossRef]
- Kissinger, H.E. Variation of peak temperature with heating rate in differential thermal analysis. J. Res. Natl. Bur. Stand. 1956, 57, 217–221. [Google Scholar] [CrossRef]
- Bansal, N.P.; Doremus, R.H.; Bruce, A.J.; Moynihan, C. Kinetics of Crystallization of ZrF4-Ba2-LaF3 Glass by Differential Scanning Calorimetry. J. Am. Ceram. Soc. 1983, 66, 233–238. [Google Scholar] [CrossRef]
- Zhao, Y.; Xiao, H.; Tan, W. Study on compositions and crystallization character of the glass-ceramics with good abrasion resistance. J. Chin. Ceram. Soc. 2003, 31, 406–409. [Google Scholar]
- Cheng, K.; Wan, J.; Liang, K. Study on Isothermal Crystallization Kinetics of Mica Glass Ceramics. J. Inorg. Mater. 1997, 12, 149–155. [Google Scholar]
- Bayrak, G.; Yilmaz, S. Crystallization kinetics of plasma sprayed basalt coatings. Ceram. Int. 2006, 32, 441–446. [Google Scholar] [CrossRef]
- Donald, I. Crystallization kinetics of a lithium zinc silicate glass studied by DTA and DSC. J. Non-Cryst. Solids 2004, 345, 120–126. [Google Scholar] [CrossRef]
- Park, Y.J.; Heo, J. Nucleation and crystallization kinetics of glass derived from incinerator fly ash waste. Ceram. Int. 2002, 28, 669–673. [Google Scholar] [CrossRef]
- Augis, J.; Bennett, J. Calculation of the Avrami parameters for heterogeneous solid state reactions using a modification of the Kissinger method. J. Therm. Anal. Calori. 1978, 13, 283–292. [Google Scholar] [CrossRef]
- Zhang, W.; He, F.; Xie, J.; Liu, X.; Fang, D.; Yang, H.; Luo, Z. Crystallization mechanism and properties of glass ceramics from modified molten blast furnace slag. J. Non-Cryst. Solids 2018, 502, 164–171. [Google Scholar] [CrossRef]
© 2020 by the authors. Licensee MDPI, Basel, Switzerland. This article is an open access article distributed under the terms and conditions of the Creative Commons Attribution (CC BY) license (http://creativecommons.org/licenses/by/4.0/).












