Microstructure and Mechanical Properties of Tempered Ausrolled Nanobainite Steel
Abstract
1. Introduction
2. Materials and Methods
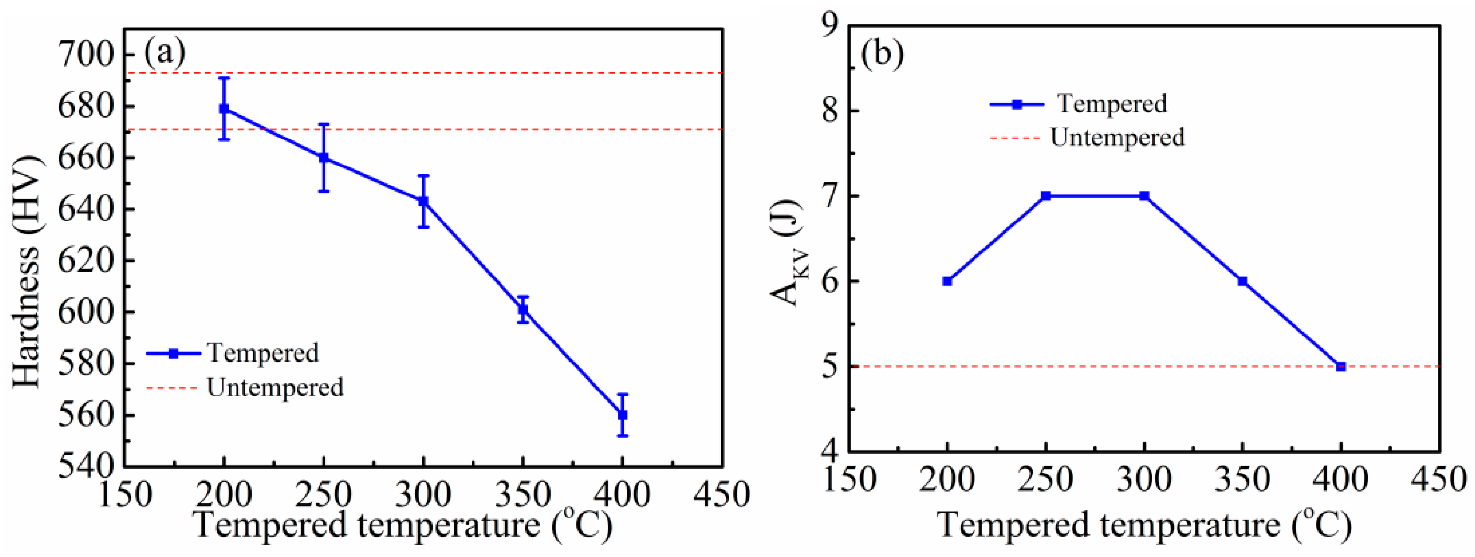
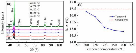
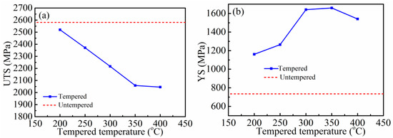
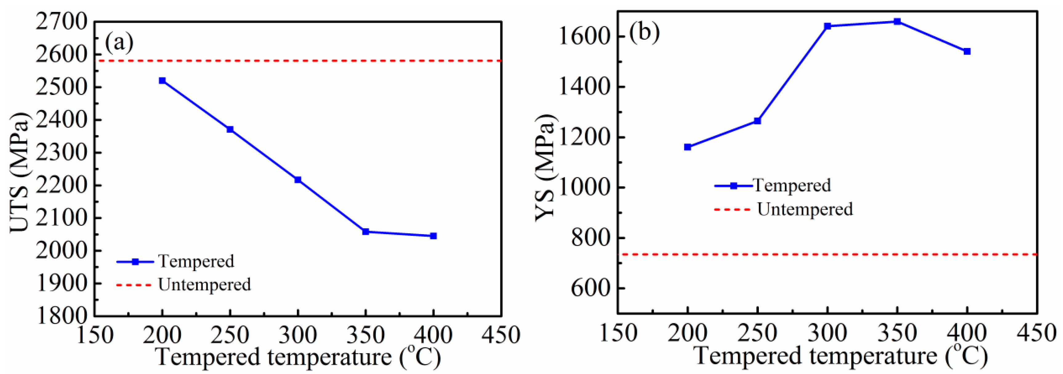
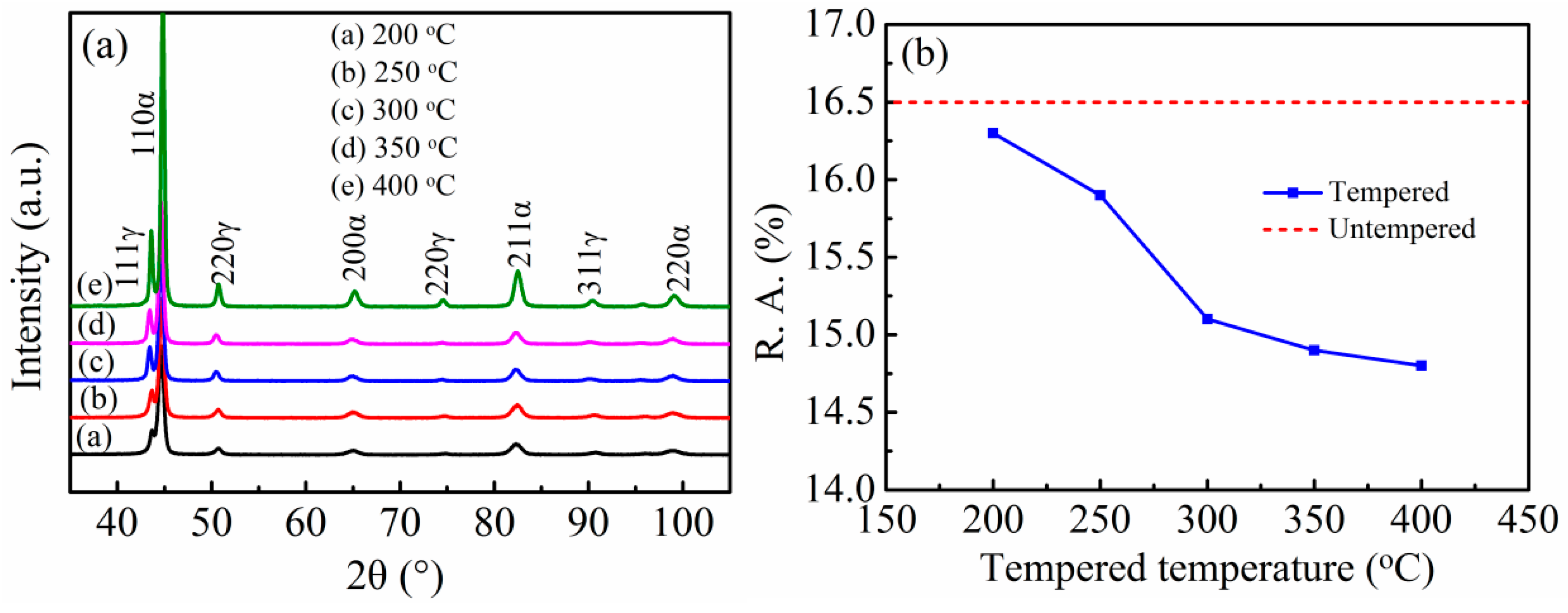
3. Results and Discussion
4. Conclusions
Author Contributions
Funding
Conflicts of Interest
References
- Caballer, F.G.; Bhadeshia, H.K.D.H.; Mawella, K.J.A.; Jones, D.G.; Brown, P. Very strong low temperature bainite. Mater. Sci. Technol. 2002, 18, 279–284. [Google Scholar] [CrossRef]
- Garcia-Mateo, C.; Caballero, F.G.; Bhadeshia, H.K.D.H. Development of hard bainite. Isij Int. 2003, 43, 1238–1243. [Google Scholar] [CrossRef]
- Caballero, F.G.; Bhadeshia, H.K.D.H. Very strong bainite. Curr. Opin. Solid State Mater. Sci. 2004, 8, 251–257. [Google Scholar] [CrossRef]
- Caballero, F.G.; Miller, M.K.; Babu, S.S.; Garcia-Mateo, C. Atomic scale observations of bainite transformation in a high carbon high silicon steel. Acta Mater. 2007, 55, 381–390. [Google Scholar] [CrossRef]
- Caballero, F.G.; Miller, M.K.; Garcia-Mateo, C. Carbon supersaturation of ferrite in a nanocrystalline bainitic steel. Acta Mater. 2010, 58, 2338–2343. [Google Scholar] [CrossRef]
- Wang, B.Q.; Song, X.Y.; Peng, H.F. Design of a spheroidization processing for ultrahigh carbon steels containing Al. Mater. Des. 2007, 28, 562–568. [Google Scholar] [CrossRef]
- Zhang, F.C.; Yang, Z.N.; Kang, J. Progress in bainitic steel used for railway crossing. J. Yanshan Univ. 2013, 37, 1–7. [Google Scholar]
- Sswley, K.; Sun, J. Advanced rail steels:investigating the bainitic option. Railw. Track Struct. 1997, 3, 22–27. [Google Scholar]
- Zhang, F.C.; Wang, T.S.; Zhang, P.; Zheng, C.L.; Lv, B.; Zhang, M.; Zheng, Y.Z. Sliding wear and low cycle fatigue properties of new carbide free bainitic rail steel. Scr. Mater. 2008, 59, 294–296. [Google Scholar] [CrossRef]
- Peet, M. Transformation and Tempering of Low-Temperature Bainite; University of Cambridge: Cambridge, UK, 2010. [Google Scholar]
- Bhadeshia, H.K.D.H.; Edmonds, D.V. Bainite in Silicon Steels: New Composition–property Approach Part1. Metal. Sci. 1983, 17, 411–419. [Google Scholar] [CrossRef]
- Bhadeshia, H.K.D.H.; Edmonds, D.V. Bainite in Silicon Steels: New Composition–property Approach Part2. Metal. Sci. 1983, 17, 420–425. [Google Scholar] [CrossRef]
- Sherif, M.Y.; Garcia-Mateo, C.; Sourmail, T.; Bhadeshia HK, D.H. Stablility of retained austenite in trip-assisted steels. Mater. Sci. Technol. 2004, 20, 319–322. [Google Scholar] [CrossRef]
- Sherif, M.Y. Characterisation and Development of Nanostructured, Ultrahigh Strength, and Ductile Bainitic Steels; University of Cambridge: Cambridge, UK, 2005. [Google Scholar]
- Bhadeshia, H.K.D.H. Nanostructured bainite. Proc. R. Soc. A. 2010, 466, 3–18. [Google Scholar] [CrossRef]
- Caballero, F.G.; Miller, M.K.; Garcia-Mateo, C.; Capdevila, C.; Babu, S.S. Redistribution of alloying elements during tempering of a nanocrystalline steel. Acta Mater. 2008, 56, 188–199. [Google Scholar] [CrossRef]
- Hasan, H.S.; Peet, M.J.; Avettand-Fenoel, M.N.; Bhadeshia, H.K.D.H. Effect of tempering upon the tensile properties of nanostructured bainitic steel. Mater. Sci. Eng. A. 2014, 615, 340–347. [Google Scholar] [CrossRef]
- Kang, J.; Zhang, F.C.; Yang, X.W.; Lv, B.; Wu, K.M. Effect of tempering on the microstructure and mechanical properties of a medium carbon bainitic steel. Mater. Sci. Eng. A. 2017, 686, 150–159. [Google Scholar] [CrossRef]
- Zhao, J.; Guo, K.; He, Y.M.; Wang, Y.F.; Wang, T.S. Extremely high strength achievement in medium-c nanobainite steel. Scr. Mater. 2018, 152, 20–23. [Google Scholar] [CrossRef]
- Wang, T.S.; Zhang, M.; Wang, Y.H.; Yang, J.; Zhang, F.C. Martensitic transformation behaviour of deformed supercooled austenite. Scr. Mater. 2013, 68, 162–165. [Google Scholar] [CrossRef]
- Zhang, M.; Wang, Y.H.; Zheng, C.L.; Zhang, F.C.; Wang, T.S. Austenite deformation behavior and the effect of ausforming process on martensite starting temperature and ausformed martensite microstructure in medium-carbon si–al-rich alloy steel. Mater. Sci. Eng. A. 2014, 596, 9–14. [Google Scholar] [CrossRef]
- Zhang, M.; Wang, T.S.; Wang, Y.H.; Yang, J.; Zhang, F.C. Preparation of nanostructured bainite in medium-carbon alloysteel. Mater. Sci. Eng. A. 2013, 568, 123–126. [Google Scholar] [CrossRef]
- Zhang, M.; Wang, Y.H.; Zheng, C.L.; Zhang, F.C.; Wang, T.S. Effects of ausforming on isothermal bainite transformation behaviour and microstructural refinement in medium-carbon si–al-rich alloy steel. Mater. Des. 2014, 62, 158–174. [Google Scholar] [CrossRef]
- Zhao, J.; Jia, X.; Guo, K.; Jia, N.N.; Wang, Y.F.; Wang, Y.H.; Wang, T.S. Transformation behavior and microstructure feature of large strain ausformed low-temperature bainite in a medium C-Si rich alloy steel. Mater. Sci. Eng. A. 2017, 682, 527–534. [Google Scholar] [CrossRef]
- Chang, L.C.; Bhadeshia, H.K.D.H. Austenite Films in Bainitic Microstructures. Mater. Sci. Technol. 1995, 11, 874–881. [Google Scholar] [CrossRef]
- De, A.K.; Murdock, D.C.; Mataya, M.C.; Speer, J.G.; Matlock, D.K. Quantitative Measurement of Deformation-induced Martensite in 304 Stainless Steel by X-ray Diffraction. Scr. Mater. 2004, 50, 1445–1449. [Google Scholar] [CrossRef]











| C | Mn | Si | Ni | Mo | P | S |
|---|---|---|---|---|---|---|
| 0.540 | 1.890 | 1.700 | 1.630 | 0.240 | 0.005 | 0.002 |
© 2020 by the authors. Licensee MDPI, Basel, Switzerland. This article is an open access article distributed under the terms and conditions of the Creative Commons Attribution (CC BY) license (http://creativecommons.org/licenses/by/4.0/).
Share and Cite
Zhao, J.; Liu, D.; Li, Y.; Yang, Y.; Wang, T.; Zhou, Q. Microstructure and Mechanical Properties of Tempered Ausrolled Nanobainite Steel. Crystals 2020, 10, 573. https://doi.org/10.3390/cryst10070573
Zhao J, Liu D, Li Y, Yang Y, Wang T, Zhou Q. Microstructure and Mechanical Properties of Tempered Ausrolled Nanobainite Steel. Crystals. 2020; 10(7):573. https://doi.org/10.3390/cryst10070573
Chicago/Turabian StyleZhao, Jing, Dezheng Liu, Yan Li, Yongsheng Yang, Tiansheng Wang, and Qian Zhou. 2020. "Microstructure and Mechanical Properties of Tempered Ausrolled Nanobainite Steel" Crystals 10, no. 7: 573. https://doi.org/10.3390/cryst10070573
APA StyleZhao, J., Liu, D., Li, Y., Yang, Y., Wang, T., & Zhou, Q. (2020). Microstructure and Mechanical Properties of Tempered Ausrolled Nanobainite Steel. Crystals, 10(7), 573. https://doi.org/10.3390/cryst10070573

