Structural Evolution under Reaction Conditions of Supported (NH4)3HPMo11VO40 Catalysts for the Selective Oxidation of Isobutane
Abstract
:1. Introduction
2. Results and Discussion
2.1. Catalytic Evaluation for Isobutane Oxidation Reaction
| Catalyst | Conversion, % a | Selectivity, % | Y(MAC+MAA), % | Carbon balance, % | ||||
|---|---|---|---|---|---|---|---|---|
| O2 | IBAN | MAC | MAA | COx | Others | |||
| CPM | - | - | - | - | - | - | - | 100.0 |
| APMV | 10.7 | 2.5 | 20.4 | 34.3 | 35.8 | 9.5 | 1.4 | 99.7 |
| APMV/CPM | 61.6 | 15.3 | 10.0 | 42.0 | 30.7 | 17.3 | 8.0 | 99.3 |
2.2. Reactivity of the Precursors of APMV and APMV/CPM in Air
2.2.1. Thermal Decomposition

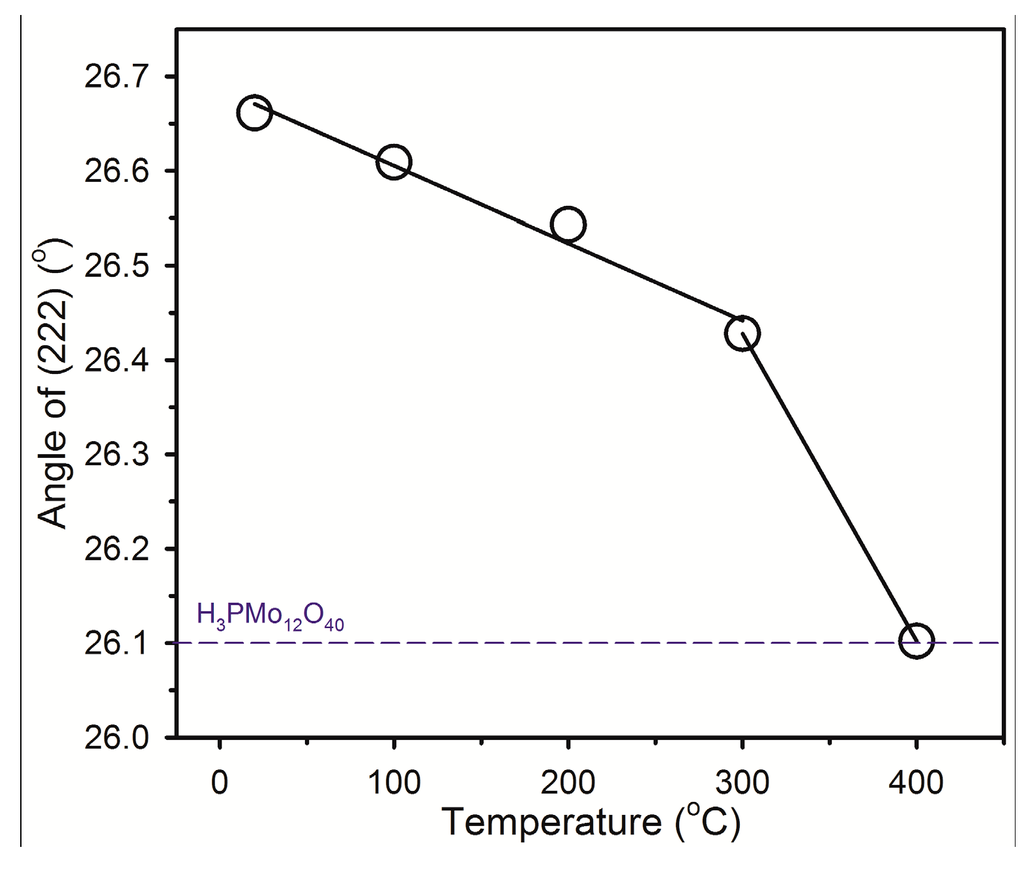
2.2.2. Temperature-Programmed XRD in Air




2.3. Reducibility of Calcined Catalysts in Hydrogen Atmosphere
2.3.1. Temperature Programmed Reduction H2-TPR

| Temperature range, °C | H2 Consumption, mmol/g | Attribution | ||
|---|---|---|---|---|
| APMV | APMV/CPM | APMV | APMV/CPM | |
| 500–650 (587) a | 575–650 (595) | 1.09 | 1.14 | Reduction of V5+ to V4+ |
| 580–670 (635) | 590–625 (610) | 0.84 | 0.27 | Reduction of V4+ to V3+ |
| 640–690 (663) | 580–700 (623) | 0.46 | 2.95 | Reduction of Mo6+ to Mo5+ |
| 600–700 (670) | 610–650 (632) | 1.96 | 0.81 | Reduction of Mo5+ to Mo4+ |

2.3.2. TP-XRD of APMV/CPM under Hydrogen Atmosphere
2.4. XPS after Pretreatment under Isobutane
| Temperature, Tpret °C | Binding energy, BE, eV | Atomic ratio a O1s(1)/O1s(2) | Surface atomic composition | ||
|---|---|---|---|---|---|
| Cs3d5/2 | P2p | O1s | Cs/O/P/Mo/V/N | ||
| R.T. b | 724.0 | 133.9 | 530.7/531.9 | 76/24 | 1.9/36.6/1.1/11.0/0.8/3.4 |
| 340 | 723.8 | 133.3 | 530.7/531.9 | 84/16 | 1.5/37.0/1.2/11.0/0.7/1.6 |
| 540 | 725.2 | 133.8 | 530.7/532.1 | 71/29 | 7.4/32.8/2.2/11.0/0.1/0 |
| 560 | 725.2 | 133.7 | 530.7/532.1 | 73/27 | 5.4/30.5/1.9/11.0/0.1/0 |
| 580 | 725.2 | 133.7 | 530.7/532.1 | 70/30 | 5.9/29.1/2.1/11.0/0.1/0 |
| R.T., post-reaction c | 724.3 | 133.6 | - | - | 2.0/–/1.0/11/0.8/1.0 |
| Temperature, Tpret, °C | Binding energy, eV | Molar ratio | |||
|---|---|---|---|---|---|
| V2p3/2 | Mo3d3/2/Mo3d5/2 | V5+/V4+ | |||
| V5+/V4+ | Mo6+ | Mo5+ | Mo4+ | ||
| R.T. a | 517.8/516.0 | 236.2/233.1 | - | - | 88/12 |
| 340 | 516.9/515.9 | 236.3/233.0 | 234.9/231.8 | - | 46/54 |
| 540 | ~516.3 | 236.1/232.9 | 234.9/231.4 | 233.3/229.9 | 0 |
| 560 | ~516.0 | 235.7/231.6 | 234.2/230.4 | 233.1/229.8 | 0 |
| 580 | ~515.8 | 236.2/232.9 | 234.5/231.3 | 233.2/229.8 | 0 |
| R.T., post-reaction b | 518.1/517.0 | –/233.2 | - | - | 29/71 |



3. Experimental Section
3.1. Material Syntheses
3.2. Characterization Methods
3.3. Catalytic Oxidation of Isobutane
4. Conclusions
Acknowledgments
Author Contributions
Conflicts of Interest
References
- Rao, K.N.; Srilakshmi, C.; Reddy, K.M.; Babu, B.H.; Lingaiah, N.; Prasad, P.S.S. Heteropoly Compounds as Ammoxidation Catalysts. In Environmentally Benign Catalysts; Patel, A., Ed.; Springer: Dordrecht, The Netherlands, 2013; pp. 11–55. [Google Scholar]
- Ressler, T.; Dorn, U.; Walter, A.; Schwarz, S.; Hahn, A.H.P. Structure and properties of PVMo11O40 heteropolyoxomolybdate supported on silica SBA-15 as selective oxidation catalyst. J. Catal. 2010, 275, 1–10. [Google Scholar] [CrossRef]
- Sun, M.; Zhang, J.; Putaj, P.; Caps, V.; Lefebvre, F.; Pelletier, J.; Basset, J.M. Catalytic Oxidation of Light Alkanes (C1–C4) by Heteropoly Compounds. Chem. Rev. 2013, 114, 981–1019. [Google Scholar] [CrossRef] [PubMed]
- Enache, D.I.; Bordes, E.; Ensuque, A.; Bozon-Verduraz, F. Vanadium oxide catalysts supported on titania and zirconia: II. Selective oxidation of ethane to acetic acid and ethylene. Appl. Catal. A 2004, 278, 103–110. [Google Scholar]
- Katryniok, B.; Paul, S.; Capron, M.; Royer, S.; Lancelot, C.; Jalowiecki-Duhamel, L.; Belliere-Baca, V.; Rey, P.; Dumeignil, F. Synthesis and characterization of zirconia-grafted SBA-15 nanocomposites. J. Mater. Chem. 2011, 21, 8159–8168. [Google Scholar] [CrossRef]
- Katryniok, B.; Paul, S.; Dumeignil, F. Recent Developments in the Field of Catalytic Dehydration of Glycerol to Acrolein. ACS Catal. 2013, 3, 1819–1834. [Google Scholar] [CrossRef]
- Brückner, A.; Scholz, G.; Heidemann, D.; Schneider, M.; Herein, D.; Bentrup, U.; Kant, M. Structural evolution of H4PVMo11O40·xH2O during calcination and isobutane oxidation: New insights into vanadium sites by a comprehensive in situ approach. J. Catal. 2007, 245, 369–380. [Google Scholar] [CrossRef]
- Song, I.; Barteau, M. Redox properties of Keggin-type heteropolyacid (HPA) catalysts: Effect of counter-cation, heteroatom, and polyatom substitution. J. Mol. Catal. A 2004, 212, 229–236. [Google Scholar] [CrossRef]
- Sun, M.; Zhang, J.Z.; Cao, C.J.; Zhang, Q.H.; Wang, Y.; Wan, H.L. Significant effect of acidity on catalytic behaviors of Cs-substituted polyoxometalates for oxidative dehydrogenation of propane. Appl. Catal. A 2008, 349, 212–221. [Google Scholar] [CrossRef]
- Paul, S.; Chu, W.; Sultan, M.; Bordes-Richard, E. Keggin-type H4PVMo11O40-based catalysts for the isobutane selective oxidation. Sci. Chin. Ser. B 2010, 53, 2039–2046. [Google Scholar] [CrossRef]
- Kozhevnikov, I. Heterogeneous acid catalysis by heteropoly acids: Approaches to catalyst deactivation. J. Mol. Catal. A 2009, 305, 104–111. [Google Scholar] [CrossRef]
- Paul, S.; LeCourtois, V.; Vanhove, D. Kinetic investigation of isobutane selective oxidation over a heteropolyanion catalyst. Ind. Eng. Chem. Res. 1997, 36, 3391–3399. [Google Scholar] [CrossRef]
- Sultan, M.; Paul, S.; Fournier, M.; Vanhove, D. Evaluation and design of heteropolycompound catalysts for the selective oxidation of isobutane into methacrylic acid. Appl. Catal. A 2004, 259, 141–152. [Google Scholar] [CrossRef]
- Cavani, F.; Etienne, E.; Mezzogori, R.; Pigamo, A.; Trifiro, F. Improvement of catalytic performance in isobutane oxidation to methacrylic acid of Keggin-type phosphomolybdates by preparation via lacunary precursors: Nature of the active sites. Catal. Lett. 2001, 75, 99–105. [Google Scholar] [CrossRef]
- Cavani, F.; Mezzogori, R.; Pigamo, A.; Trifirò, F. Synthesis of methacrylic acid by selective oxidation of isobutane, catalysed by Keggin-type polyoxometalates: relationship between catalytic performance, reaction conditions and chemical–physical features of the catalyst. C.R. Acad. Sci. Ser. IIc Chim. 2000, 3, 523–531. [Google Scholar]
- Bordes, E. The role of structural chemistry of selective catalysts in heterogeneous mild oxidation catalysis of hydrocarbons. C.R. Acad. Sci. Ser. IIc Chim. 2000, 3, 725–733. [Google Scholar]
- Jing, F.; Katryniok, B.; Bordes-Richard, E.; Paul, S. Improvement of the catalytic performance of supported (NH4)3HPMo11VO40 catalysts in isobutane selective oxidation. Catal. Today 2013, 203, 32–39. [Google Scholar] [CrossRef]
- Jing, F.; Katryniok, B.; Dumeignil, F.; Bordes-Richard, E.; Paul, S. Catalytic selective oxidation of isobutane to methacrylic acid on supported (NH4)3HPMo11VO40 catalysts. J. Catal. 2014, 309, 121–135. [Google Scholar] [CrossRef]
- Mizuno, N.; Tateishi, M.; Iwamoto, M. Oxidation of isobutane catalyzed by CsxH3−xPMo12O40-based heteropoly compounds. J. Catal. 1996, 163, 87–94. [Google Scholar] [CrossRef]
- Kozhevnikov, I.V. Sustainable heterogeneous acid catalysis by heteropoly acids. J. Mol. Catal. A 2007, 262, 86–92. [Google Scholar] [CrossRef]
- Jing, F.; Katryniok, B.; Dumeignil, F.; Bordes-Richard, E.; Paul, S. Catalytic selective oxidation of isobutane over Csx(NH4)3−xHPMo11VO40 mixed salts. Catal. Sci. Technol. 2014, 4, 2938–2945. [Google Scholar] [CrossRef]
- Marchal-Roch, C.; Laronze, N.; Guillou, N.; Tézé, A.; Hervé, G. Study of ammonium, mixed ammonium–cesium and cesium salts derived from (NH4)5[PMo11VIVO40] as isobutyric acid oxidation catalysts: Part I: Syntheses, structural characterizations and catalytic activity of the ammonium salts. Appl. Catal. A 2000, 199, 33–44. [Google Scholar] [CrossRef]
- Courtine, P.; Bordes, E. Mode of arrangement of components in mixed vanadia catalyst and its bearing for oxidation catalysis. Appl. Catal. A 1997, 157, 45–65. [Google Scholar] [CrossRef]
- Hoffman, A.; Maniv, T.; Folman, M. AES and XPS studies of no adsorption on Al(100) single crystal. Surf. Sci. 1987, 183, 484–502. [Google Scholar] [CrossRef]
- Lee, W.J.; Lee, Y.S.; Rha, S.K.; Lee, Y.J.; Lim, K.Y.; Chung, Y.D.; Whang, C.N. Adhesion and interface chemical reactions of Cu/polyimide and Cu/TiN by XPS. Appl. Surf. Sci. 2003, 205, 128–136. [Google Scholar] [CrossRef]
- Khattak, G.D.; Salim, M.A.; Al-Harthi, A.S.; Thompson, D.J.; Wenger, L.E. Structure of molybdenum-phosphate glasses by X-ray photoelectron spectroscopy (XPS). J. Non -Cryst. Solids 1997, 212, 180–191. [Google Scholar] [CrossRef]
- Cavani, F.; de Santi, D.; Luciani, S.; Löfberg, A.; Bordes-Richard, E.; Cortelli, C.; Leanza, R. Transient reactivity of vanadyl pyrophosphate, the catalyst for n-butane oxidation to maleic anhydride, in response to in-situ treatments. Appl. Catal. A 2010, 376, 66–75. [Google Scholar] [CrossRef]
- Khattak, G.D.; Mekki, A.; Wenger, L.E. X-ray photoelectron spectroscopy (XPS) and magnetic susceptibility studies of vanadium phosphate glasses. J. Non-Cryst. Solids 2009, 355, 2148–2155. [Google Scholar] [CrossRef]
- Coulston, G.W.; Thompson, E.A.; Herron, N. Characterization of VPO Catalysts by X-ray Photoelectron Spectroscopy. J. Catal. 1996, 163, 122–129. [Google Scholar] [CrossRef]
- Cavani, F.; Mezzogori, R.; Pigamo, A.; Trifiro, F.; Etienne, E. Main aspects of the selective oxidation of isobutane to methacrylic acid catalyzed by Keggin-type polyoxometalates. Catal. Today 2001, 71, 97–110. [Google Scholar] [CrossRef]
- Busca, G.; Cavani, F.; Etienne, E.; Finocchio, E.; Galli, A.; Selleri, G.; Trifiro, F. Reactivity of Keggin-type heteropolycompounds in the oxidation of isobutane to methacrolein and methacrylic acid: Reaction mechanism. J. Mol. Catal. A 1996, 114, 343–359. [Google Scholar] [CrossRef]
- Lee, J.K.; Russo, V.; Melsheimer, J.; Kohler, K.; Schlogl, R. Genesis of V4+ in heteropoly compounds CsxH4−xPVMo11O40 during thermal treatment, rehydration and oxidation of methanol studied by EPR spectroscopy. Phys. Chem. Chem. Phys. 2000, 2, 2977–2983. [Google Scholar] [CrossRef]
© 2015 by the authors; licensee MDPI, Basel, Switzerland. This article is an open access article distributed under the terms and conditions of the Creative Commons Attribution license (http://creativecommons.org/licenses/by/4.0/).
Share and Cite
Jing, F.; Katryniok, B.; Bordes-Richard, E.; Dumeignil, F.; Paul, S. Structural Evolution under Reaction Conditions of Supported (NH4)3HPMo11VO40 Catalysts for the Selective Oxidation of Isobutane. Catalysts 2015, 5, 460-477. https://doi.org/10.3390/catal5010460
Jing F, Katryniok B, Bordes-Richard E, Dumeignil F, Paul S. Structural Evolution under Reaction Conditions of Supported (NH4)3HPMo11VO40 Catalysts for the Selective Oxidation of Isobutane. Catalysts. 2015; 5(1):460-477. https://doi.org/10.3390/catal5010460
Chicago/Turabian StyleJing, Fangli, Benjamin Katryniok, Elisabeth Bordes-Richard, Franck Dumeignil, and Sébastien Paul. 2015. "Structural Evolution under Reaction Conditions of Supported (NH4)3HPMo11VO40 Catalysts for the Selective Oxidation of Isobutane" Catalysts 5, no. 1: 460-477. https://doi.org/10.3390/catal5010460
APA StyleJing, F., Katryniok, B., Bordes-Richard, E., Dumeignil, F., & Paul, S. (2015). Structural Evolution under Reaction Conditions of Supported (NH4)3HPMo11VO40 Catalysts for the Selective Oxidation of Isobutane. Catalysts, 5(1), 460-477. https://doi.org/10.3390/catal5010460

