Next Article in Journal
Global Research Trends in Catalysis for Green Hydrogen Production from Wastewater: A Bibliometric Study (2010–2024)
Next Article in Special Issue
Scavenger-Probed Mechanisms in the Ultrasound/Chlorine Sono-Hybrid Advanced Oxidation Process
Previous Article in Journal
Catalytic Hydrogenation of Carbon Dioxide to Methanol on MOF-Confined Metal Nanoparticles: A Review
Previous Article in Special Issue
High-Performance Catalytic Oxygen Evolution with Nanocellulose-Derived Biocarbon and Fe/Zeolite/Carbon Nanotubes
 
 
Font Type:
Arial Georgia Verdana
Font Size:
Aa Aa Aa
Line Spacing:
Column Width:
Background:
Article

Photocatalytic Degradation of Safranin O: Unraveling the Roles of Dissolved Gases, Environmental Matrices, and Reactive Species

Chemical Engineering Department, College of Engineering, King Saud University, Riyadh 12372, Saudi Arabia
*
Author to whom correspondence should be addressed.
Catalysts 2025, 15(9), 914; https://doi.org/10.3390/catal15090914
Submission received: 28 August 2025 / Revised: 14 September 2025 / Accepted: 17 September 2025 / Published: 22 September 2025

Abstract

This study investigates the impacts of the gas environment, water matrix, and reactive species on the TiO2-mediated photocatalytic degradation of safranin O (SO), a dye commonly found in wastewater. A slurry reactor (UVA, 365 nm) was used to quantify SO oxidation while systematically varying the SO concentration (5–40 mg/L), the TiO2 loading (0–3 g/L), the temperature (15–45 °C), and the pH (2–12). The dissolved gases (air, nitrogen, and argon) and matrices (deionized water, mineral water, and seawater) were also examined. Eight mechanistic probes (ascorbic acid, methanol, azide, nitrite, benzoquinone, oxalate, sucrose, and phenol) were used to identify active oxidants. UVA/TiO2 achieved rapid decolorization in approximately 90 min at 10 mg/L of SO and 0.4 g/L of TiO2. Decolorization rates decreased with increasing SO concentration due to active-site competition and inner-filter effects. Rates also exhibited a bell-shaped dependence on TiO2 loading due to light scattering and aggregation at high solids concentrations. Temperature exhibited a non-monotonic profile with an optimum around 25 °C, and the pH displayed an optimum range with maximal removal occurring around pH 10 and declining at pH 12. Air saturation outperformed N2 and Ar, indicating that O2 is the terminal electron acceptor. Photocatalytic performance decreased in the order deionized water > mineral water > seawater, owing to bicarbonate/chloride scavenging and ionic-strength effects. Scavenger tests converged on OH dominance, with measurable contributions from superoxide/hydrogen peroxide (O2•−/H2O2) and valence-band holes (h+); singlet oxygen (1O2) played a minor role. These findings underscore the critical interplay between operational and environmental factors and offer a practical framework for scaling TiO2-based SO abatement in real waters.

1. Introduction

Synthetic dyes are among the most persistent and problematic types of organic pollutants found in aquatic environments. Their complex aromatic structures, high stability, and resistance to biodegradation make them particularly problematic [1]. Safranin O (SO), a cationic phenazine dye (C.I. Basic Red 2), is used in textile dyeing, biological staining, and photopolymerization processes [2]. Releasing SO into bodies of water, even at trace levels, can impart intense coloration, reduce light penetration, disrupt photosynthesis, and cause toxic or mutagenic effects in aquatic organisms [3,4]. Conventional treatment methods, such as adsorption, coagulation–flocculation, and biological oxidation, are often ineffective at removing SO due to its low biodegradability and strong affinity for water [3,5].
Heterogeneous photocatalysis using titanium dioxide (TiO2) under ultraviolet or solar irradiation is a promising advanced oxidation process. This process breaks down stubborn dyes into harmless byproducts, including carbon dioxide, water, and inorganic ions. TiO2 generates electron-hole pairs when excited by light. These pairs initiate redox reactions and produce reactive oxygen species (ROS), including hydroxyl radicals (OH), superoxide anions (O2•−), and photogenerated holes (h+) [6,7,8]. These oxidative species can indiscriminately oxidize complex dye molecules, resulting in chromophore cleavage and mineralization.
Despite the extensive literature on dye photocatalysis, a consolidated, quantitative understanding that considers dissolved gas control (O2 versus an inert purge), environmentally relevant matrices (anions), and the resulting ROS apportionment for SO is still emerging. Previous studies on SO indicate that combining TiO2 with strong electron acceptors, such as periodate [2], iodate [9], or persulfate [10], significantly alters electron-sink competition and overcomes limitations related to mass transfer or recombination. However, these improvements depend heavily on dissolved O2 and co-ion composition. Closing this gap is nontrivial because gas–liquid exchange, background ions, and surface charging are interdependent and time-varying under illumination.
Recent studies have shown that oxygen availability and interfacial mass transfer rate are critical factors in regulating ROS formation and contaminant degradation kinetics. For example, Ye et al. [11] developed a hydrophobic carbon felt/Fe-doped porous g-C3N4 photoelectron-cathode that activates dissolved oxygen directly. At pH 7 and −0.3 V (vs. Ag/AgCl), the cathode removed 76.4% of tetracycline, as well as approximately 98% of phenol and 4-chlorophenol, within 60 min. The dominant oxidants were identified as 1O2 and h+. These results underscore the importance of dissolved oxygen transport and the reaction environment in altering the operative ROS network and overall performance. A review [12] also emphasizes that pH, ionic composition, and real-water matrices (e.g., natural organic matter (NOM) and salts) influence ROS lifetimes, adsorption, and light screening. These factors alter the apparent rate constants and degradation pathways for dyes. Quantitative, pH-resolved dye studies [13] report significant variations in apparent rate constant (e.g., rhodamine B: 0.045–0.004 min−1 from acidic to alkaline conditions) and demonstrate that common anions (e.g., Cl, HCO3/CO32−, and NO3) and NOM can reduce rates through radical scavenging and surface fouling.
Unlike previous reports, which examined one variable at a time, a three-dimensional evaluation of photocatalytic performance was conducted within a standardized framework. This framework considers the dissolved-gas regime (air-, O2-, and N2-saturated), environmental matrix chemistry (pH, ionic strength, bicarbonate/carbonate buffering, and natural organic matter), and reactive-pathway assignment via targeted quenchers to probe OH, O2•−, and h+. This approach enables direct comparison of the relative contributions and interactions of gases, matrices, and reactive species under identical conditions. It responds to recent calls for multi-factor, matrix-aware assessments that more accurately predict real waters while acknowledging the limitations of interpreting scavenger tests. This approach provides a quantitative, mechanistic map of the rate-determining steps in TiO2 slurry photocatalysis. It bridges the gap between fundamental studies and application-relevant water treatment scenarios.
This study examined the photocatalytic degradation of SO on TiO2 under 365 nm UV irradiation. The oxidation kinetics of SO were investigated, as well as the impacts of SO and TiO2 concentrations, solution temperature, and pH on performance. Three aspects influencing performance were studied. First, the gas environment (air, nitrogen, and argon) was examined to determine the importance of oxygen as the terminal electron acceptor. Second, the impacts of ionic strength and anions were investigated using three aqueous matrices: deionized water, mineral water, and seawater. Third, reactive species were studied using eight complementary scavengers that target OH, h+, O2•−, and 1O2. Together, these aspects clarify how gas composition, water chemistry, and ROS pathways govern SO removal over TiO2, providing insight into the operation of photocatalysts in real-world water environments.

2. Results and Discussion

2.1. SO Photocatalytic Oxidation

To study the adsorption kinetics of the contaminant, a suspension containing 10 mg/L of SO and 0.4 mg/L of TiO2 was stirred magnetically in the dark at a temperature of 25 °C and pH 6 for 180 min. The SO concentration stabilized within 15 min and remained unchanged for the rest of the experiment. This indicates that adsorption-desorption equilibrium was rapidly reached under these conditions. The equilibrium uptake was low (0.0125 mg/g), which is consistent with the modest specific surface area of TiO2 P25 and the bulky, cationic nature of SO. Therefore, all photocatalytic experiments were preceded by a 30 min dark equilibration period. Kinetic analyses used the post-adsorption baseline to ensure that the reported degradation rates reflected photocatalytic degradation rather than ongoing adsorption.
Figure 1a illustrates the changes in the concentration of SO in aqueous solutions over time under three experimental conditions: photolysis at 365 nm without a catalyst, dark adsorption in the presence of TiO2, and TiO2-assisted photocatalysis under 365 nm irradiation. The results demonstrate negligible SO removal via dark adsorption (SO + TiO2 in the dark), modest photolysis (SO under UV light only), and rapid photocatalytic degradation. Photolysis alone at 365 nm results in minimal SO decomposition, with a concentration decrease of less than 2% after 120 min. This limited photolysis efficiency stems from the low quantum yield of direct SO photolysis. In the dark experiment with TiO2, the SO concentration remains essentially constant, indicating negligible adsorption or surface-mediated transformation in the absence of photon energy. The lack of decay in the SO + TiO2 trace after dark equilibration shows that adsorption alone is insufficient to deplete SO from the solution under these conditions (pH near neutral and TiO2 P25). This is consistent with the point of zero charge (PZC) of P25 around pH 6–6.5 [14,15]. At pH 6, the surface charge is minimal, so the electrostatic attraction of a cationic dye, such as SO, is limited. Taken together, the controls validate that the rapid removal observed in the full experiments (UV + TiO2) arises from semiconductor photocatalysis rather than photolysis or sorption artifacts.
Under 365 nm irradiation in the presence of TiO2, a significant decrease in SO concentration was observed, with complete degradation achieved within 90 min. This process is driven by the photocatalytic activation of TiO2, which has a mixed-phase composition of anatase (Eg ≈ 3.2 eV) and rutile (Eg ≈ 3.0 eV) [16,17]. This composition enables the absorption of UVA photons. Upon excitation, electron-hole pairs are generated. The photogenerated holes (h+) in the valence band oxidize surface-adsorbed water or hydroxide ions to produce OH radicals. Conduction-band electrons (e) reduce dissolved oxygen to O2•−, which can yield additional OH and H2O2. These reactive oxygen species, together with direct hole oxidation, nonselectively attack the conjugated structure of SO. This process initiates sequential deethylation, chromophore cleavage, and eventual mineralization to CO2 and inorganic ions. This widely recognized mechanism requires the simultaneous presence of TiO2, UV light, and dissolved oxygen, which explains the negligible SO removal observed in the photolysis and adsorption controls.
Figure 1b illustrates the changes in the UV–Vis spectrum of SO (10 mg/L) before and during the photocatalytic treatment process. The treatment was performed at 25 °C and pH 6, using 0.4 g/L of TiO2. The initial SO spectrum exhibits two absorption bands: one in the visible region at 519 nm corresponding to the chromophoric group and one in the UV region at 275 nm associated with aromatic ring structures. The progressive decrease in absorbance at 519 nm indicates a steady loss of the dye chromophore during treatment. Within the first 15 min, the intensity of this band decreased by nearly 40%, suggesting rapid chromophore disruption. After 90 min, the peak had nearly disappeared, confirming complete decolorization. This trend reflects the cleavage of the conjugated phenazinium chromophore, which is the primary cause of the intense color of SO. In addition to the changes in the visible region, significant alterations are evident in the UV portion of the spectrum. Initially, well-defined absorption shoulders gradually diminish and broaden with irradiation time, indicating the formation of intermediate species with less organized electronic structures. The disappearance of sharp spectral features is typically associated with aromatic ring fragmentation and extended conjugation cleavage. These processes are initiated by hydroxyl radicals and other ROS generated at the photocatalyst surface. First, these highly oxidative species remove the ethyl substituents from the amino groups (deethylation). Then, they cleave the conjugated phenazinium skeleton. Finally, the intermediates oxidize into carboxylic acids, CO2, and inorganic ions. The sequential loss of absorbance intensity across the visible and UV regions highlights the photocatalytic process’s efficiency. The continuous flattening of the baseline indicates that degradation occurs through actual molecular transformation rather than merely surface removal. Spectral evidence indicates that photocatalytic treatment effectively degrades the chromophoric structure of SO and promotes mineralization. The progressive attenuation of the visible absorption band, combined with the collapse of the UV features, illustrates the mechanistic pathway by which radical attack disrupts conjugation, fragments aromatic intermediates, and ultimately converts the dye into non-absorbing end products.

2.2. Impact of SO and TiO2 Concentration

Figure 2a illustrates the impact of SO concentration on its photocatalytic degradation. The SO degradation profiles clearly demonstrate dependence on the initial concentration. The steepest decline in SO concentration occurs at the lowest initial concentration (5 mg/L), indicating high degradation efficiency and rapid kinetics. However, as the initial concentration increases to 20 and 40 mg/L, the degradation curves progressively flatten. This indicates slower rates and lower removal extents within the same timeframe. This occurs because dye molecules sparsely populate the TiO2 surface at low SO concentrations, enabling each molecule to easily access photogenerated reactive species without significant competition. In contrast, at higher SO concentrations, more dye molecules compete for adsorption onto the photocatalyst surface’s limited active sites. This diminishes the interaction between the pollutant molecules and the reactive oxidants. Additionally, the solution becomes more intensely colored, which impairs light penetration and reduces the amount of photon flux that reaches the TiO2 surface. This is an example of the inner filter effect. Ultimately, these processes reduce the generation of reactive species, such as OH radicals, and their interaction with target molecules. These findings emphasize that limitations imposed by high pollutant concentrations cannot be offset without parallel adjustments in catalyst dose or light intensity.
Figure 2b shows how TiO2 loading affects SO degradation through photocatalysis. The degradation curves for various TiO2 loadings exhibit a typical bell-shaped pattern: minimal SO removal in the absence of a catalyst, rapidly increasing degradation rates up to an optimal dosage, and declining efficiency at higher dosages. At 0.01 g/L, the removal of SO is slow due to the insufficient number of active sites required to generate sufficient OH and O2•− radicals. As the TiO2 concentration increases to 0.4 g/L, the decline in normalized concentration steepens, and complete decolorization is achieved in 90 min. However, adding more TiO2 beyond the optimal dosage (i.e., 1.0 and 3.0 g/L) slows degradation, extending the time needed for complete SO elimination to over 120 min. The downturn in photocatalytic efficiency at high TiO2 loadings primarily stems from light shielding and scattering by dense particle suspensions. Additionally, elevated dosages promote cluster formation through van der Waals forces and Brownian collisions. This reduces the available surface area for SO adsorption and water/hydroxide oxidation. TiO2 loadings beyond the optimal amount induce agglomeration, which hinders the mass transfer of dye molecules and dissolved oxygen to reactive sites.
The dye concentration decays exponentially over time at various initial SO concentrations and TiO2 loadings. Thus, the influence of initial SO concentration and TiO2 loading on photocatalytic degradation performance using a pseudo-first-order kinetics model was quantitatively assessed. For each experimental condition, the apparent rate constant (k) was obtained from the slope of the linear regression of ln(C0/C) versus irradiation time. This approach allows for direct comparisons of degradation kinetics across different pollutant loads and catalyst dosages. It provides insight into the interplay between light absorption, active site availability, and mass-transfer limitations. High correlation coefficients (R2 > 0.99) for all fits confirm the model’s suitability under the tested conditions. The resulting k values, presented in Figure 3a,b, serve as robust metrics for evaluating the influence of increasing SO concentration on photon utilization efficiency and the effect of TiO2 loading on balancing enhanced active site density with potential light-screening effects.
At a constant TiO2 loading, k decreased markedly with increasing initial SO concentration (Figure 3a). The highest rate constant (approximately 0.053 min−1) was obtained at an SO concentration of 5 mg/L. Increases in SO concentration beyond 5 mg/L reduced k to 0.028, 0.006, and 0.004 min−1 at concentrations of 10, 20, and 40 mg/L, respectively. This inverse relationship reflects two effects. First, the increased optical density of the solution at higher dye concentrations limits photon penetration, reducing the fraction of the catalyst surface that is irradiated. Second, excess dye molecules competitively adsorb onto a finite number of active sites. This leads to partial site saturation and slower turnover per site. Furthermore, at higher SO concentrations, the relative abundance of ROS per dye molecule decreases, further lowering the apparent degradation rate. In contrast, varying the TiO2 loading at a fixed SO concentration produced a different trend (Figure 3b). Increasing the catalyst dosage from 0.01 to 0.4 g/L increased k from approximately 0.007 to 0.028 min−1 due to an increased number of available active sites and a higher probability of photon absorption events. However, increasing the dosage to 1 and 3 g/L decreased k to 0.027 and 0.025 min−1, respectively. This decrease at high loadings is consistent with light screening and scattering effects. Excessive particle concentration reduces the effective penetration of UVA light into the suspension and increases inter-particle shielding. This reduces the fraction of the catalyst surface that is actively participating in the reaction.
To summarize, these results underscore the importance of optimizing contaminant concentration and catalyst loading to maximize photocatalytic efficiency. The observed trends highlight the importance of maximizing reaction rates by balancing light harvesting and active site accessibility. It is also crucial to minimize limitations resulting from mass transfer and light screening.

2.3. Impact of Solution Temperature and pH

Figure 4a illustrates the change in the SO initial degradation rate via photocatalysis with solution temperature. The rate exhibits a non-monotonic trend, peaking at 25 °C, dipping at 35 °C, and rising slightly again at 45 °C. This behavior reflects the competing influences of thermal activation and charge-carrier dynamics. As the temperature increases from 15 to 25 °C, the kinetic energy of the SO molecules and reactive species increases. This accelerates the adsorption-desorption equilibria and interfacial electron-transfer rates. Beyond 25 °C, the slight decline at 35 °C indicates that increased thermal energy favors electron-hole recombination over productive radical generation. The slight rebound in the initial degradation rate at 45 °C suggests a secondary thermal activation regime, wherein increased molecular collisions and diffusion overcome recombination losses [18,19]. This rebound effect may be due to enhanced mass transfer and desorption of intermediates, which can restore radical-mediated oxidation rates [20]. However, these rates never exceed those achieved at 25 °C. Taken together, the temperature dependence of SO degradation underscores the importance of maintaining reactors at an optimal thermal setpoint (i.e., 25 °C). Operating above this optimum risks increased recombination, while cooler conditions slow radical generation and mass transfer.
Figure 4b shows the change in SO photocatalytic removal efficiency over 20 min of treatment, depending on the initial solution pH. The results demonstrate a clear dependence on the initial solution pH. Efficiency increases from approximately 38.7% at pH 2 to nearly 84.7% at pH 10. However, it then declines to around 56.7% at pH 12. This highlights that the photocatalytic system operates optimally within a narrow pH range. Beyond this range, competing processes begin to degrade performance. This pH sensitivity stems from the interplay between the TiO2 surface charge and the speciation of SO. The PZC of TiO2 P25 is around pH 6–6.5 [14,15]. This means that at pH < PZC, the catalyst surface bears a net positive charge. This repels cationic SO and hinders adsorption. Above the PZC, the surface switches to a negative charge. This charge attracts SO ions electrostatically, increasing their concentration at the interface. This increased concentration is a prerequisite for efficient photocatalysis. Beyond adsorption, the increased availability of OH ions at elevated pH levels enhances the production of OH, the primary oxidative species in TiO2-UV systems. Surface-bound OH are oxidized by photogenerated h+ to yield OH. Meanwhile, bulk OH can scavenge conduction-band electrons, reducing e/h+ recombination and boosting radical yield. However, at pH 12, excessively high OH concentrations initiate radical scavenging and secondary equilibria that undermine performance. Excess OH can react with OH to form less reactive species, such as atomic oxygen radical anion (O•−) and hydroperoxyl radical anion (HO2•−) [21]. Additionally, elevated ionic strength and surface crowding can impede photon penetration and active-site accessibility. These effects lower the net oxidative flux, which explains the drop in SO removal at pH 12 despite continued strong dye adsorption. Radical quenching and mass-transfer limitations like these have been documented in multiple TiO2 systems when the pH level exceeds the optimal range [21,22].

2.4. Impact of Dissolved Gases

Figure 5 illustrates the kinetics of SO photocatalytic degradation at various gas saturations. The kinetic profiles reveal a clear hierarchy of photocatalytic efficiency. Air-saturated suspensions are the most efficient, followed by non-saturated suspensions, and then N2- and Ar-saturated systems. Air saturation accelerates SO removal, reducing the normalized concentration to zero within 60 min. Under the same conditions, N2 saturation yields a normalized concentration of about 0.56, while Ar saturation lags behind with a normalized concentration of approximately 0.77. The non-saturation curve lies between the air and N2 curves, reflecting ambient O2 levels. This ordering underscores the pivotal role of dissolved gases, particularly O2, in governing radical formation and overall photocatalytic rates. Molecular oxygen is the primary electron acceptor in TiO2 photocatalysis because it captures conduction-band electrons to form O2•− radicals. These O2•− species can undergo further reactions, either via protonation to HO2•− radicals or dismutation to H2O2, with each step ultimately yielding OH radicals [23,24]. Air saturation maximizes the concentration of dissolved oxygen, ensuring efficient e/h+ separation and prolific OH generation. Conversely, in oxygen-limited environments, e−h+ recombination increases, reducing radical flux and slowing degradation kinetics. Under N2 saturation, most of the dissolved O2 is removed. However, trace amounts of residual oxygen and water molecules can support limited production of O2•− and OH via water oxidation by valence-band holes. This yields moderate SO removal, which is faster than in completely inert argon but slower than air-saturated rates. Due to its higher density, argon is more effective at displacing O2 and reducing electron-acceptor availability to nearly zero. In this case, photocatalysis proceeds only through direct, hole-mediated oxidations of adsorbed SO and minimal self-sensitized pathways. Consequently, the decay of normalized concentration is the slowest. The no-saturation case, where the reactor is neither degassed nor aerated, reflects intermediate dissolved oxygen levels and rate constants. In practice, laboratory reactors that are not sealed against air permit ongoing O2 diffusion from the headspace, sustaining moderate radical generation.

2.5. Impact of Natural Matrices

Figure 6 shows the kinetics of photocatalytic SO degradation in deionized water, mineral water, and seawater. Table 1 shows the main characteristics of the water sources used in this study. Performance decreases as the water becomes more complex. Deionized water exhibits the fastest decay due to its lack of radical scavengers and competing adsorbates. In simple media, photoexcited TiO2 efficiently transfers holes and electrons to water and oxygen, generating ROSs that attack the dye’s conjugated structure. However, the ionic matrix in mineral water slows the degradation process. After 60 min, 30.7% of the SO remains, despite the similarity in UV intensity and catalyst loading. In seawater, with its high salinity and ionic strength, over 47.4% of the SO remains under the same conditions. This ranking (i.e., deionized water > mineral water > seawater) illustrates how dissolved salts and ionic strength can reduce photocatalytic efficiency by altering radical formation, surface interactions, and light penetration.
The mineral water used in this study had a pH of 7.2 and a salinity of 561 mg/L. It was primarily composed of bicarbonate, calcium, and magnesium, with moderate levels of sulfate and chloride. Its near-neutral pH level is similar to the PZC of TiO2 P25, resulting in a slightly negative surface charge that favors electrostatic attraction to cationic SO. The bicarbonate (HCO3, 265 mg/L) and sulfate (SO42−, 68 mg/L) act as radical scavengers that compete with SO for OH radicals [25]. HCO3 quickly reacts with OH to form carbonate radicals (CO3•−), which are longer-lived but far less oxidizing (E° = 1.6 V/SHE vs. 2.7–2.8 V/SHE for OH), thereby diverting oxidation away from SO and lowering the effective rate. This reduces the net oxidative flux at the TiO2 interface. Similarly, SO42− can convert to sulfate radicals (SO4•−) under UV/TiO2, but these species react more weakly with phenazine dyes than OH radicals. A sulfate concentration of 0.71 mM in mineral water does not significantly impact SO photocatalytic oxidation. Consequently, the presence of bicarbonate (4.34 mM) in mineral water diverts some reactive species away from SO, decelerating decolorization rates relative to deionized systems. This behavior was confirmed using this concentration in deionized water. Additionally, the presence of calcium and magnesium compresses the electrical double layer, promoting TiO2 aggregation and reducing the effective surface area. Together, these effects explain the slower degradation kinetics observed in mineral water compared to deionized water.
The slowest kinetics in seawater follow from its high ionic strength and chloride (Cl) load. Cl in seawater exerts an even stronger inhibitory effect. At seawater levels (20 g/L), Cl rapidly traps OH to form chlorine radicals (Cl) and dichloride radical anions (Cl2•−). These are less potent and more selective oxidants. Chloride-mediated radical pathways also regenerate Cl, effectively cycling ROSs into nonproductive loops and lowering the steady-state concentration of OH available for SO attack. Compared to deionized and mineral water systems, this results in a significant decrease in degradation efficiency, which highlights the critical role of Cl in the photocatalytic performance of real water systems. The presence of divalent cations (Ca2+ and Mg2+) and the high ionic strength of seawater affect the surface charge and stability of TiO2 particles. Above the PZC (6–6.5), TiO2 becomes negatively charged and attracts cationic species. However, in high-salinity environments, Ca2+ and Mg2+ compress the electric double layer, screening surface charges and promoting TiO2 agglomeration. These agglomerates prematurely scatter and absorb UV light, reducing the accessible surface area and hindering the mass transfer of SO and dissolved O2 to photocatalytic sites.
The same experiments were repeated, this time with the initial pH of each natural matrix adjusted to either 5 or 7. A similar trend was observed in both cases, suggesting that pH is not responsible for these results. Therefore, it appears that the photocatalytic elimination of SO is affected by the presence of high concentrations of inorganic anions or natural organic matter in seawater. These anions compete with the dye for adsorption sites on the photocatalyst and trap free radicals, thereby reducing the degradation kinetics.

2.6. Impact of Scavengers

To identify the dominant oxidants in SO photocatalysis, we tested eight scavengers targeting specific pathways: ascorbic acid (AA), methanol (MeOH), sodium azide (NaN3), sodium nitrite (NaNO2), benzoquinone (BQ), sodium oxalate (OX), sucrose (SCR), and phenol (PH).
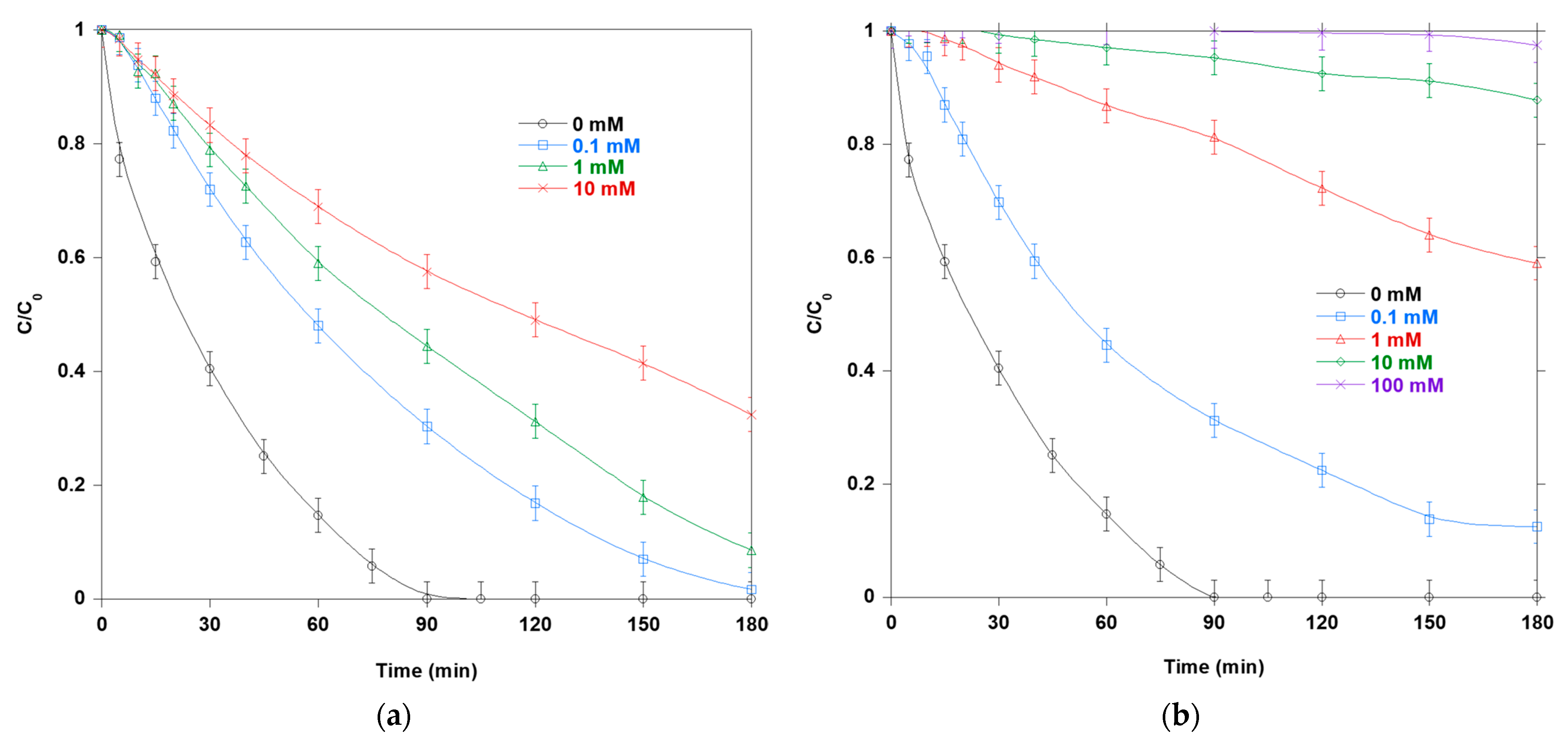
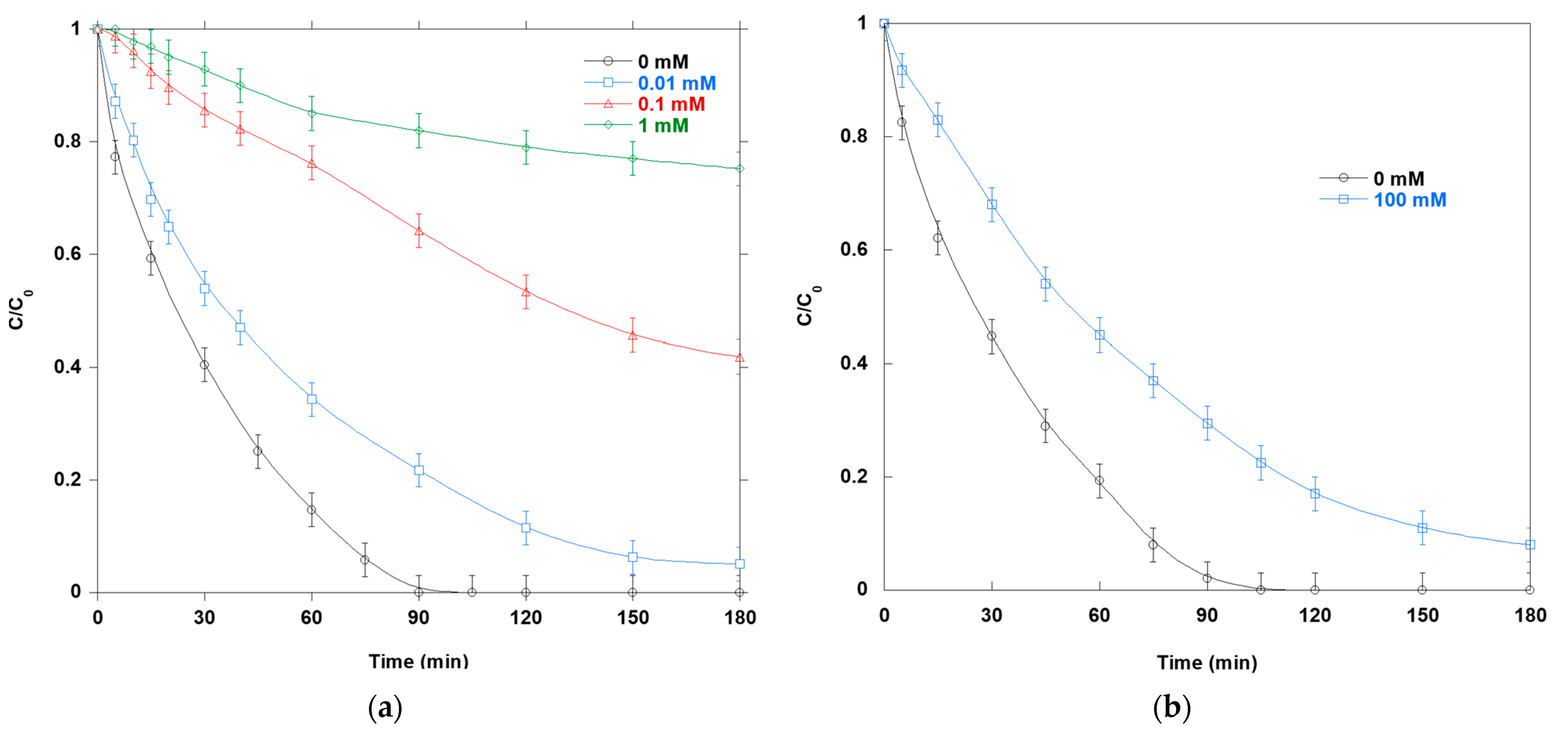
Figure 7a illustrates the impact of AA on the photocatalytic degradation of SO. Increases in AA progressively suppress SO degradation. A noticeable slowdown occurs at 0.01 mM, stronger inhibition occurs at 0.1 mM, and complete quenching occurs at 1 mM. In water, AA reacts with OH at near-diffusion-controlled rates (k ≈ 1010 M−1 s−1 [21]), efficiently outcompeting SO for radical attack. Furthermore, AA chemically quenches 1O2 (k ≈ 107–108 M−1 s−1 [26]) and reduces O2•−/H2O2 (k ≈ 105 M−1 s−1 [23]). Furthermore, AA can intercept valence-band holes at the surface (an extremely fast reaction). Thus, the steep concentration–response curve reflects the simultaneous inhibition of multiple oxidative pathways, with the OH pathway being the most strongly affected.
Figure 7b shows how adding MeOH impacts SO oxidation via photocatalysis. MeOH causes graded, concentration-dependent inhibition. Without MeOH, the solution fully decolorizes in 90 min. At 0.01 mM, the process slows slightly. At 0.1 mM, the initial rate decreases by ~44%, and complete decolorization occurs after 180 min. At 1 mM, the C/C0 ratio is approximately 0.19 after 180 min. At 10 mM, degradation is the slowest and least complete. The C/C0 ratio exceeds 0.36 after 180 min. This behavior is expected because MeOH rapidly scavenges OH radicals (9.7×108 M−1 s−1 [21]) and traps holes, forming methyl hydroperoxide (CH2OH) [27]. This process diverts oxidative equivalents from O2•−. At very low concentrations of MeOH, transient hole scavenging can extend electron lifetimes and temporarily increase O2•−. However, beyond a certain threshold, radical quenching dominates.
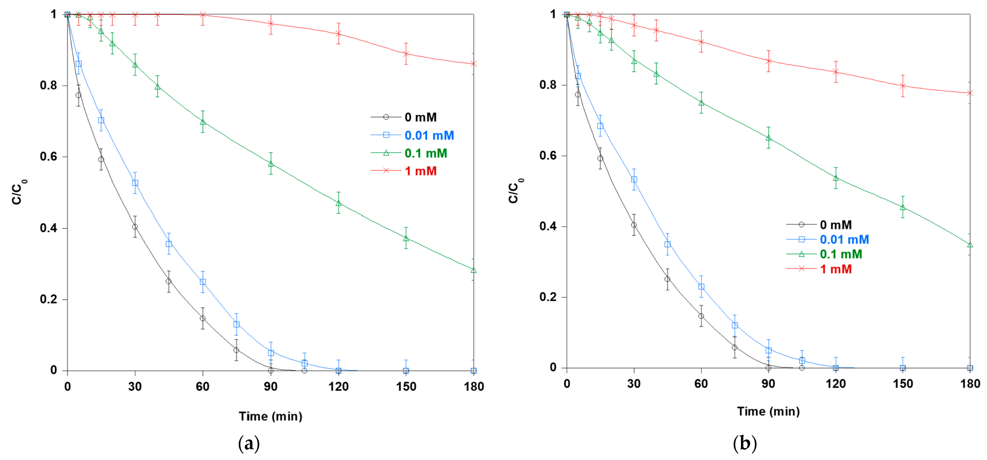
Figure 8a illustrates the photocatalytic degradation of SO in the presence of sodium azide (NaN3). N3 causes incomplete, concentration-dependent inhibition across the tested range. Even at the highest dose, full quenching is not observed. N3 efficiently deactivates 1O2 (k ≈ 108–109 M−1 s−1 [28]). Therefore, the modest level of inhibition suggests that 1O2 is not the primary oxidant under these UV/TiO2 system conditions. Additionally, N3 reacts rapidly with OH (k ≈ 1010 M−1 s−1 [21]) to form N3, a weaker oxidant that causes slow residual decay. This explains why the curves never flatten completely. To summarize, while 1O2 may be present, it contributes less than the OH/h+ pathways to this system.
Figure 8b shows how adding NaNO2 impacts SO photocatalysis. NO2 produces strong, monotonic suppression. At concentrations of 10–100 mM, it can severely slow or nearly stop SO decay. Three factors contribute to this phenomenon: fast OH radical scavenging (OH + NO2 → NO2 + OH; k ≈ 1010 M−1 s−1 [21]), NO2 consumption/oxidation at illuminated TiO2, which often yields nitrate, and UV competition. Additionally, reactive nitrogen species form (e.g., NO2) that are less effective at destroying the dye than hydroxyl radicals. The steep dose–response curve indicates that hydroxyl radical-driven oxidation is the principal route.
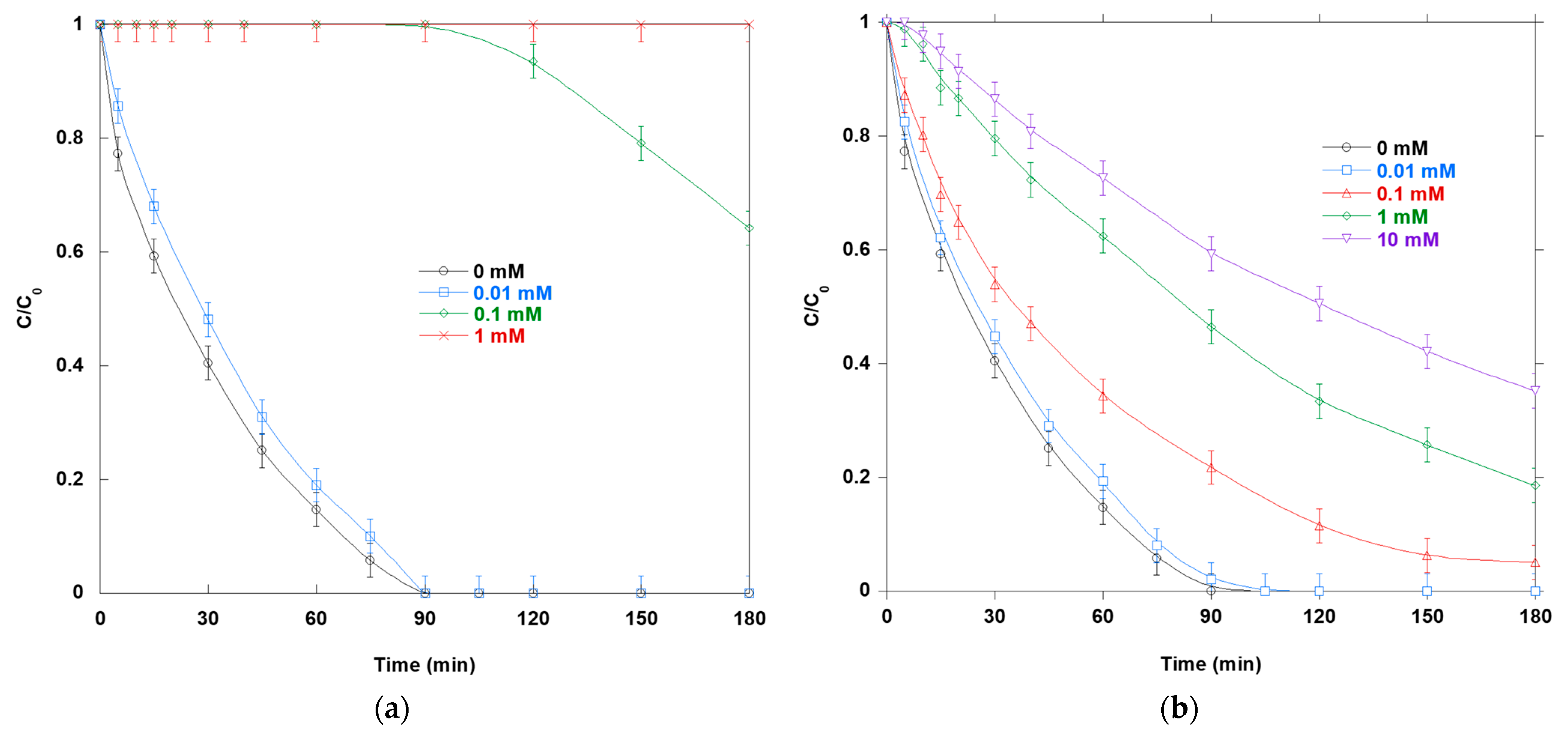
Figure 9a illustrates the photocatalytic degradation of SO in the presence of BQ. BQ slows the removal of SO in a graded fashion: 0.01 mM > 0.1 mM > 1 mM. It competes with O2 for photogenerated electrons and quickly reacts with O2•− (k ≈ 0.9–1 × 109 M−1 s−1) to form semiquinone species [29]. This curtails the formation of H2O2/OH from reduced oxygen species downstream. BQ can also react with OH (k ≈ 6.6 × 109 M−1 s−1 [29]) and act as a redox mediator, and with conduction-band electrons (k ≈ 1.35 × 109 M−1 s−1 [29]). Thus, at higher concentrations, BQ drains several channels simultaneously. Therefore, BQ inhibition confirms that the e/O2•−-assisted steps are significant, though not exclusive [29,30]. In summary, e/O2•− pathways increase oxidation (e.g., H2O2OH or other ROS). However, these pathways do not replace OH as the primary oxidant under UV/TiO2 system conditions.
Figure 9b shows that adding 100 mM OX significantly reduces SO loss by consuming valence-band holes and forming oxalate-derived radicals. This indicates hole quenching. OX is a well-established sacrificial hole scavenger on TiO2 because it adsorbs and reacts with valence-band holes, producing oxalate-derived radicals such as HC2O4 and C2O4•− [31]. These radicals ultimately fragment into CO2 and CO2•− [31]. By consuming h+ at the surface, OX reduces OH formation from water/adsorbates and lengthens electron lifetimes. This slows oxidative dye degradation. However, OX does not eliminate activity entirely because CO2•−, which is formed from OX oxidation, can reduce O2 to O2•− and promote H2O2 generation. This partially compensates for the loss of hole-initiated oxidation. This sacrificial-donor behavior can enhance reductive or dark-side reactions. However, for the oxidative destruction of SO chromophores, the net effect is usually inhibitory.
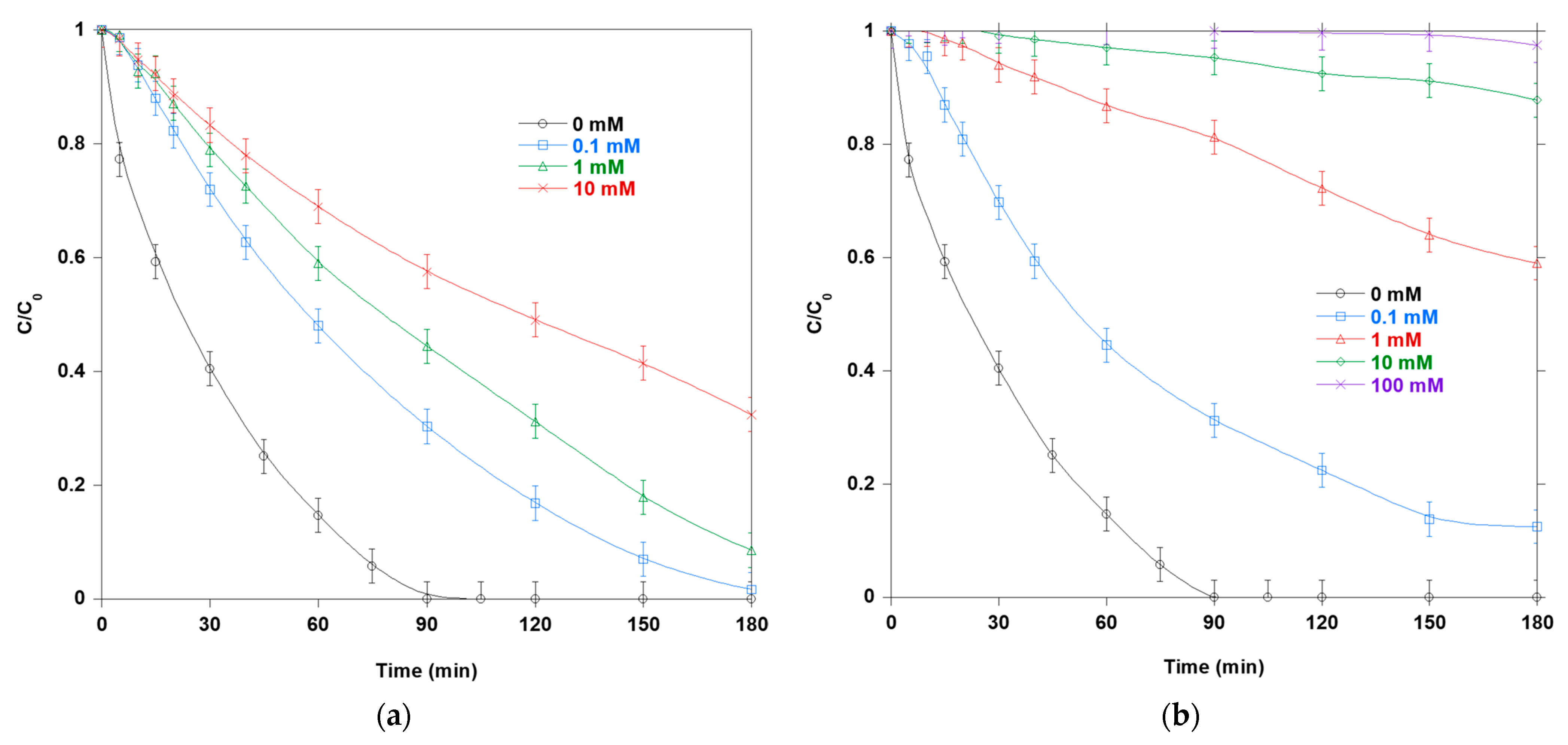
Figure 10a,b show how SCR and PH affect SO photocatalytic degradation. Both SCR and PH exhibit clear, dose-dependent inhibition at concentrations ranging from 0.01 to 1 mM. SCR, a representative carbohydrate, reacts with OH at ≈ 109 M−1 s−1 and reduces the amount available for SO attack. PH reacts with OH nearly at the diffusion limit (k ≈ 6–7 × 109 M−1 s−1 [21]), effectively competing with SO for radical attack. This directly reduces the fraction of OH available to oxidize the dye. PH adsorbs onto TiO2, competing with SO for surface sites and reducing the probability that photo-generated holes or reactive species will interact with the dye. However, neither compound completely stops degradation at the highest dose, which is consistent with the existence of a secondary, non-OH route (e.g., direct oxidation by valence-band holes or contributions from O2•−).
The strongest and most consistent inhibition across eight probes comes from scavengers that quench OH (MeOH, SCR, PH, NO2, and AA) or intercept holes (OX and AA). Despite being an efficient 1O2 quencher, N3 only partially suppresses rates. BQ indicates the presence of e/O2•−-mediated steps, though they are not dominant. Along with the concentration–response trends (e.g., near-total quenching by 1 mM AA and substantial yet incomplete inhibition at 10 mM MeOH), the data support a multi-oxidant regime. This regime is dominated by surface OH, which is generated via valence-band holes. O2•−/H2O2 provides a measurable auxiliary route, while 1O2 plays a minor role under these UV/TiO2 system conditions. Table 2 summarizes the impact of scavengers and mechanistic outcomes on SO photocatalytic degradation.
Synthesizing the above results, photocatalytic SO removal occurs in a multi-oxidant regime dominated by surface OH generated from hole chemistry. e/O2•− steps provide additional assistance, and 1O2 contributes minimally.
In order to better understand the results of the scavenger test, an examination of the energy band structure of TiO2 P25 was conducted. The 80/20 anatase/rutile TiO2 P25 composite promotes spatial charge separation when exposed to UVA light. During this process, electrons accumulate on the anatase side, while holes accumulate on the rutile side. This facilitates interfacial redox chemistry. At pH ≈ 7, the anatase band edges are estimated to be near the ECB at −0.2 to −0.4 V and the EVB at +2.7 to +3.1 V vs. NHE. These values shift by ~−59 mV/pH. Meanwhile, rutile is slightly less reducing at the CB and slightly more oxidizing at the VB. These energetics straddle the aqueous O2/O2•− couple (−0.33 V at pH 7) and the H2O/OH (or OH/OH) boundary (+2.3 V at neutral pH). Consequently, photoexcited CB electrons can reduce O2 to O2•−, H2O2, or OH, and VB holes can oxidize adsorbed H2O or OH to OH. These processes provide a mechanistic basis for the scavenger trends observed in this study (dominant OH with contributory O2•−/H2O2). A schematic (Figure 11) depicts the following four steps:
  • hν absorption and e/h+ separation;
  • e → O2 → O2•− → H2O2OH;
  • h+ + H2O/OHOH;
  • O2•−1O2 (an optional minor route).
This framework aligns with canonical TiO2 photocatalysis maps and modern ROS reviews. It is also consistent with recent operando studies showing that the working environment (pH, dissolved oxygen, and matrix ions) alters the contributions of OH, O2•−, 1O2, and h+.

3. Materials and Methods

The photocatalyst used in this study, Degussa P25 TiO2, was provided by Evonik(Essen, Germany). It consists of approximately 80% anatase and 20% rutile. The photocatalyst has an average particle size of 30 nm and a specific surface area of 50 m2/g. The SO, NaOH, and H2SO4 were obtained from Sigma-Aldrich (Burlington, USA). All solutions were prepared using deionized water.
Photocatalytic reactions were carried out in a 500 mL cylindrical, water-jacketed glass reactor equipped with a magnetic stirrer. Illumination was provided by a low-pressure mercury lamp (Oriel 6035, 15 mW/cm2) that emitted light primarily at 365 nm. The lamp was inserted into a quartz tube and positioned vertically at the center of the reactor, approximately 3 cm above the base, fully immersing it in the reaction mixture.
Prior to irradiation, 200 mL of the SO solution mixed with TiO2 was stirred in the dark at 25 °C for 30 min to achieve adsorption–desorption equilibrium. After this equilibrium period, the lamp was switched on. Samples collected at different time intervals were centrifuged at 11,000 rpm for 25 min and analyzed at 519 nm using a Biochrom Lightwave II UV–Vis spectrophotometer with 1 cm quartz cuvettes.
The pH of the SO solution was adjusted with appropriate amounts of H2SO4 or NaOH. Note that changing the pH of the SO solution within the range of 2–12 did not affect the maximum wavelength (λmax) or the initial absorbance at λmax.
All experiments were conducted in triplicate to ensure reproducibility. Unless otherwise noted, the reported values are the means of three independent runs. Statistical differences were evaluated using a Student’s t-test, and p < 0.03 was considered significant.

4. Conclusions

Under UVA (365 nm) illumination, TiO2 photocatalysis rapidly removes color from SO. Complete loss of visible absorbance is achieved within 90 min at concentrations of 10 mg/L and 0.4 g/L, respectively. Higher SO loads slow the removal rate due to site competition and inner filtering. Meanwhile, TiO2 exhibits a bell-shaped optimum near 0.4 g/L due to light scattering and aggregation at higher concentrations of solids. Temperature and pH have pronounced but non-monotonic effects. The maximum initial rate occurs at 25 °C, and the peak 20-min removal rate occurs at pH 10 (approximately 84.7%), declining at pH 12 (approximately 56.7%). Dissolved gas control is the most effective method within a fixed time frame. Air-saturated slurries reach a C/C0 of nearly 0 within 60 min. In contrast, N2- and Ar-saturated runs remain at approximately 0.56 and 0.77, respectively. Natural matrices reduce efficiency in the following order: deionized water > mineral water > seawater. After 60 min, 30.7% of the SO remains in mineral water, while 47.4% remains in seawater. These results support the hypothesis that bicarbonate and chloride scavenge OH and that ionic strength affects dispersion and optics. Scavenger tests apportion the oxidants: OH dominates, MeOH and SCR provide graded inhibition, and PH blocks sites. Holes also contribute to the process, and a significant slowdown occurs with 100 mM OX. e/O2•− steps also assist in the process, and BQ provides graded inhibition. Finally, 1O2 plays a minor role, and N3 provides partial inhibition. Notably, 1 mM AA fully quenches the activity, while 10–100 mM NO2 yields severe to nearly complete suppression. Together, these data support a multi-oxidant regime led by surface-generated OH. This regime is initiated by valence-band holes and augmented by O2•−/H2O2. This regime has several practical implications for real waters. These include maintaining oxygenation; operating near kinetic and pH optima (approximately 25 °C and pH 10); selecting a catalyst loading matched to the light field (approximately 0.4 g/L); and anticipating performance losses in bicarbonate- and chloride-rich waters due to the matrix. A statistical analysis of the kinetic data confirms that the differences observed in degradation performance, considering the tested operational and environmental variables, are significant (p < 0.03).

Author Contributions

M.B., Conceptualization, methodology, validation, formal analysis, investigation; O.H., Conceptualization, methodology, software, validation, formal analysis, investigation, resources, data curation, writing—original draft preparation, writing—review and editing, visualization, supervision, project administration, funding acquisition. All authors have read and agreed to the published version of the manuscript.

Funding

This research received no external funding.

Data Availability Statement

Data are contained within the article.

Acknowledgments

The authors would like to thank the Ongoing Research Funding Program, (ORFFT-2025-034-3), King Saud University, Riyadh, Saudi Arabia, for financial support.

Conflicts of Interest

The authors declare no conflicts of interest.

References

  1. Dionisio, K.L.; Phillips, K.; Price, P.S.; Grulke, C.M.; Williams, A.; Biryol, D.; Hong, T.; Isaacs, K.K. Data Descriptor: The Chemical and Products Database, a Resource for Exposure-Relevant Data on Chemicals in Consumer Products. Sci. Data 2018, 5, 180125. [Google Scholar] [CrossRef]
  2. Bendjama, M.; Hamdaoui, O.; Ferkous, H.; Alghyamah, A. Degradation of Safranin O in Water by UV/TiO2/IO4 Process: Effect of Operating Conditions and Mineralization. Catalysts 2022, 12, 1460. [Google Scholar] [CrossRef]
  3. Periyasamy, A.P. Recent Advances in the Remediation of Textile-Dye-Containing Wastewater: Prioritizing Human Health and Sustainable Wastewater Treatment. Sustainability 2024, 16, 495. [Google Scholar] [CrossRef]
  4. Islam, M.M.; Aidid, A.R.; Mohshin, J.N.; Mondal, H.; Ganguli, S.; Chakraborty, A.K. A Critical Review on Textile Dye-Containing Wastewater: Ecotoxicity, Health Risks, and Remediation Strategies for Environmental Safety. Clean. Chem. Eng. 2025, 11, 100165. [Google Scholar] [CrossRef]
  5. Barhdadi, I.; Seddik, N.B.; Allaoui, I.; Boumhidi, B.; El Kharim, Y.; Hadri, M.; Draoui, K. Detailed Study of Safranin-O Adsorption on Sepiolite Clay: Kinetics, Thermodynamics, Isotherms and Theoretical Calculations for Optimal Water Treatment Efficiency. J. Mol. Struct. 2024, 1308, 138130. [Google Scholar] [CrossRef]
  6. Nosaka, Y.; Nosaka, A. Understanding Hydroxyl Radical (OH) Generation Processes in Photocatalysis. ACS Energy Lett. 2016, 1, 356–359. [Google Scholar] [CrossRef]
  7. Skipitari, M.; Kalaitzopoulou, E.; Papadea, P.; Varemmenou, A.; Gavriil, V.E.; Sarantopoulou, E.; Cefalas, A.C.; Tsakas, S.; Rosmaraki, E.; Margiolaki, I.; et al. Titanium Dioxide Nanoparticle-Based Hydroxyl and Superoxide Radical Production for Oxidative Stress Biological Simulations. J. Photochem. Photobiol. A Chem. 2023, 435, 114290. [Google Scholar] [CrossRef]
  8. Chen, K.; Dong, W.; Huang, Y.; Wang, F.; Zhou, J.L.; Li, W. Photocatalysis for Sustainable Energy and Environmental Protection in Construction: A Review on Surface Engineering and Emerging Synthesis. J. Environ. Chem. Eng. 2025, 13, 117529. [Google Scholar] [CrossRef]
  9. Bendjama, M.; Hamdaoui, O.; Ferkous, H.; Alghyamah, A. Removal of Safranin O from Water by UV/TiO2/IO3 Advanced Oxidation Process: Parametric Study and Impact of Inorganic Ions and Humic Acid. Catalysts 2023, 13, 447. [Google Scholar] [CrossRef]
  10. Bekkouche, S.; Merouani, S.; Hamdaoui, O.; Bouhelassa, M. Efficient Photocatalytic Degradation of Safranin O by Integrating Solar-UV/TiO2/Persulfate Treatment: Implication of Sulfate Radical in the Oxidation Process and Effect of Various Water Matrix Components. J. Photochem. Photobiol. A Chem. 2017, 345, 80–91. [Google Scholar] [CrossRef]
  11. Ye, F.; Qian, J.; Xia, J.; Li, L.; Wang, S.; Zeng, Z.; Mao, J.; Ahamad, M.; Xiao, Z.; Zhang, Q. Efficient Photoelectrocatalytic Degradation of Pollutants over Hydrophobic Carbon Felt Loaded with Fe-Doped Porous Carbon Nitride via Direct Activation of Molecular Oxygen. Environ. Res. 2024, 249, 118497. [Google Scholar] [CrossRef]
  12. Al Miad, A.; Saikat, S.P.; Alam, M.K.; Sahadat Hossain, M.; Bahadur, N.M.; Ahmed, S. Metal Oxide-Based Photocatalysts for the Efficient Degradation of Organic Pollutants for a Sustainable Environment: A Review. Nanoscale Adv. 2024, 6, 4781–4803. [Google Scholar] [CrossRef]
  13. Chen, Y.; Ma, D.; He, G.; Pan, S. Effects of PH on the Photocatalytic Activity and Degradation Mechanism of Rhodamine B over Fusiform Bi Photocatalysts under Visible Light. Water 2024, 16, 2389. [Google Scholar] [CrossRef]
  14. Tombácz, E.; Nesztor, D.; Szekeres, M.; Lewandowski, H.; Klumpp, E.; Gerencsér-Berta, R. Protolytic Reactions at Electrified TiO2 P25 Interface: Quantitative and Thermodynamic Characterization. Molecules 2025, 30, 696. [Google Scholar] [CrossRef] [PubMed]
  15. Liao, H.; Reitberger, T. Generation of Free OHaq Radicals by Black Light Illumination of Degussa (Evonik) P25 TiO2 Aqueous Suspensions. Catalysts 2013, 3, 418–443. [Google Scholar] [CrossRef]
  16. Luttrell, T.; Halpegamage, S.; Tao, J.; Kramer, A.; Sutter, E.; Batzill, M. Why Is Anatase a Better Photocatalyst than Rutile?—Model Studies on Epitaxial TiO2 Films. Sci. Rep. 2014, 4, 4043. [Google Scholar] [CrossRef] [PubMed]
  17. Ohtani, B.; Prieto-Mahaney, O.O.; Li, D.; Abe, R. What Is Degussa (Evonik) P25? Crystalline Composition Analysis, Reconstruction from Isolated Pure Particles and Photocatalytic Activity Test. J. Photochem. Photobiol. A Chem. 2010, 216, 179–182. [Google Scholar] [CrossRef]
  18. Chen, Y.W.; Hsu, Y.H. Effects of Reaction Temperature on the Photocatalytic Activity of TiO2 with Pd and Cu Cocatalysts. Catalysts 2021, 11, 966. [Google Scholar] [CrossRef]
  19. Murillo-Acevedo, Y.; Bernal-Sanchez, J.; Giraldo, L.; Sierra-Ramirez, R.; Moreno-Piraján, J.C. Initial Approximation to the Design and Construction of a Photocatalysis Reactor for Phenol Degradation with TiO2 Nanoparticles. ACS Omega 2019, 4, 19605–19613. [Google Scholar] [CrossRef]
  20. Timmerhuis, N.A.B.; Wood, J.A.; Lammertink, R.G.H. Connecting Experimental Degradation Kinetics to Theoretical Models for Photocatalytic Reactors: The Influence of Mass Transport Limitations. Chem. Eng. Sci. 2021, 245, 116835. [Google Scholar] [CrossRef]
  21. Buxton, G.V.; Greenstock, C.L.; Helman, W.P.; Ross, A.B.; Buxton, G.V.; Greenstock, C.L.; Helman, P.; Ross, A.B. Critical Review of Rate Constants for Reactions of Hydrated Electrons, Hydrogen Atoms and Hydroxyl Radicals (OH/O) in Aqueous Solution. J. Phys. Chem. Ref. Data 1988, 17, 513–886. [Google Scholar] [CrossRef]
  22. Rosa, D.; Manetta, G.; Di Palma, L. Experimental Assessment of the PH Effect and Ions on the Photocatalytic Activity of Iron-Doped Titanium Dioxide Supported on Polystyrene Pellets: Batch and Continuous Tests. Chem. Eng. Sci. 2024, 291, 119918. [Google Scholar] [CrossRef]
  23. Tu, Y.J.; Njus, D.; Schlegel, H.B. A Theoretical Study of Ascorbic Acid Oxidation and HOO/O2•− Radical Scavenging. Org. Biomol. Chem. 2017, 15, 4417–4431. [Google Scholar] [CrossRef]
  24. Li, X.; Chen, C.; Zhao, J. Mechanism of Photodecomposition of H2O2 on TiO2 Surfaces under Visible Light Irradiation. Langmuir 2001, 17, 4118–4122. [Google Scholar] [CrossRef]
  25. Merouani, S.; Hamdaoui, O.; Saoudi, F.; Chiha, M.; Pétrier, C. Influence of Bicarbonate and Carbonate Ions on Sonochemical Degradation of Rhodamine B in Aqueous Phase. J. Hazard. Mater. 2010, 175, 593–599. [Google Scholar] [CrossRef]
  26. Wilkinson, F.; Brummer, J.G. Rate constants for the decay and reactions of the lowest electronically excited singlet state of molecular oxygen in solution. J. Phys. Chem. Ref. Data 1981, 10, 809–899. [Google Scholar] [CrossRef]
  27. Thompson, T.L.; Yates, J.T. Monitoring Hole Trapping in Photoexcited TiO2(110) Using a Surface Photoreaction. J. Phys. Chem. B. 2005, 109, 18230–18236. [Google Scholar] [CrossRef] [PubMed]
  28. Li, M.Y.; Cline, C.S.; Koker, E.B.; Carmichael, H.H.; Chignell, C.F.; Bilski, P. Quenching of Singlet Molecular Oxygen (1O2) by Azide Anion in Solvent Mixtures. Photochem. Photobiol. 2001, 74, 760–764. [Google Scholar] [CrossRef] [PubMed]
  29. Vital-Grappin, A.D.; Ariza-Tarazona, M.C.; Luna-Hernández, V.M.; Villarreal-Chiu, J.F.; Hernández-López, J.M.; Siligardi, C.; Cedillo-González, E.I. The Role of the Reactive Species Involved in the Photocatalytic Degradation of Hdpe Microplastics Using c,n-Tio2 Powders. Polymers 2021, 13, 999. [Google Scholar] [CrossRef] [PubMed]
  30. Weng, B.; Ariza-Pérez, A.; Martín-Gómez, J.; Carmen Herrera-Beurnio, M.; López-Tenllado, F.J.; Hidalgo-Carrillo, J.; Marinas, A.; Urbano, F.J. Role of P-Benzoquinone in the Photocatalytic Production of Solketal. Molecules 2025, 30, 3339. [Google Scholar] [CrossRef]
  31. Russo, C.; Volpe, C.; Giustiniano, M. The Multiple Facets of Oxalate Dianion in Photochemistry. ChemPhotoChem 2025, 9, e202400407. [Google Scholar] [CrossRef]
Figure 1. (a) Degradation kinetics of SO under photolysis without a catalyst, dark adsorption in the presence of TiO2, and photocatalysis; (b) changes in the UV–Vis spectrum of SO before and during the photocatalytic treatment process (SO concentration: 10 mg/L, TiO2 loading: 0.4 g/L, T: 25 °C, and pH 6).
Figure 1. (a) Degradation kinetics of SO under photolysis without a catalyst, dark adsorption in the presence of TiO2, and photocatalysis; (b) changes in the UV–Vis spectrum of SO before and during the photocatalytic treatment process (SO concentration: 10 mg/L, TiO2 loading: 0.4 g/L, T: 25 °C, and pH 6).
Catalysts 15 00914 g001
Figure 2. (a) SO concentration impact on its photocatalytic degradation; (b) TiO2 loading impact on SO degradation via photocatalysis (SO concentration: 10 mg/L for (b), TiO2 loading: 0.4 g/L for (a), T: 25 °C, and pH 6).
Figure 2. (a) SO concentration impact on its photocatalytic degradation; (b) TiO2 loading impact on SO degradation via photocatalysis (SO concentration: 10 mg/L for (b), TiO2 loading: 0.4 g/L for (a), T: 25 °C, and pH 6).
Catalysts 15 00914 g002
Figure 3. Pseudo-first-order rate constant obtained (a) at various SO loadings and (b) different photocatalyst dosages (conditions are the same as in Figure 2).
Figure 3. Pseudo-first-order rate constant obtained (a) at various SO loadings and (b) different photocatalyst dosages (conditions are the same as in Figure 2).
Catalysts 15 00914 g003
Figure 4. (a) Evolution of SO initial degradation rate as a function of solution temperature; (b) SO photocatalytic removal efficiency after 20 min vs. initial solution pH (SO concentration: 10 mg/L, TiO2 loading: 0.4 g/L, T: 25 °C for (b) and pH 6 for (a)).
Figure 4. (a) Evolution of SO initial degradation rate as a function of solution temperature; (b) SO photocatalytic removal efficiency after 20 min vs. initial solution pH (SO concentration: 10 mg/L, TiO2 loading: 0.4 g/L, T: 25 °C for (b) and pH 6 for (a)).
Catalysts 15 00914 g004
Figure 5. SO photocatalytic degradation kinetics under various gas saturations (SO concentration: 10 mg/L, TiO2 loading: 0.4 g/L, T: 25 °C, and pH 6).
Figure 5. SO photocatalytic degradation kinetics under various gas saturations (SO concentration: 10 mg/L, TiO2 loading: 0.4 g/L, T: 25 °C, and pH 6).
Catalysts 15 00914 g005
Figure 6. SO photocatalytic degradation kinetics in deionized water, mineral water, and seawater (SO concentration: 10 mg/L, TiO2 loading: 0.4 g/L, T: 25 °C, and pH 6).
Figure 6. SO photocatalytic degradation kinetics in deionized water, mineral water, and seawater (SO concentration: 10 mg/L, TiO2 loading: 0.4 g/L, T: 25 °C, and pH 6).
Catalysts 15 00914 g006
Figure 7. (a) Ascorbic acid impact on SO photocatalytic degradation; (b) Methanol impact on SO photocatalytic degradation (SO concentration: 10 mg/L, TiO2 loading: 0.4 g/L, T: 25 °C, and pH 6).
Figure 7. (a) Ascorbic acid impact on SO photocatalytic degradation; (b) Methanol impact on SO photocatalytic degradation (SO concentration: 10 mg/L, TiO2 loading: 0.4 g/L, T: 25 °C, and pH 6).
Catalysts 15 00914 g007
Figure 8. (a) Azide impact on SO photocatalytic degradation; (b) Nitrite impact on SO photocatalytic degradation (SO concentration: 10 mg/L, TiO2 loading: 0.4 g/L, T: 25 °C, and pH 6).
Figure 8. (a) Azide impact on SO photocatalytic degradation; (b) Nitrite impact on SO photocatalytic degradation (SO concentration: 10 mg/L, TiO2 loading: 0.4 g/L, T: 25 °C, and pH 6).
Catalysts 15 00914 g008
Figure 9. (a) Benzoquinone impact on SO photocatalytic degradation; (b) Oxalate impact on SO photocatalytic degradation (SO concentration: 10 mg/L, TiO2 loading: 0.4 g/L, T: 25 °C, and pH 6).
Figure 9. (a) Benzoquinone impact on SO photocatalytic degradation; (b) Oxalate impact on SO photocatalytic degradation (SO concentration: 10 mg/L, TiO2 loading: 0.4 g/L, T: 25 °C, and pH 6).
Catalysts 15 00914 g009
Figure 10. (a) Sucrose impact on SO photocatalytic degradation; (b) Phenol impact on SO photocatalytic degradation (SO concentration: 10 mg/L, TiO2 loading: 0.4 g/L, T: 25 °C, and pH 6).
Figure 10. (a) Sucrose impact on SO photocatalytic degradation; (b) Phenol impact on SO photocatalytic degradation (SO concentration: 10 mg/L, TiO2 loading: 0.4 g/L, T: 25 °C, and pH 6).
Catalysts 15 00914 g010
Figure 11. (a) Energy band structure of TiO2 P25 relative to the redox potentials of key reactive oxygen species; (b) Schematic representation of photogenerated charge-carrier separation and reactive species generation under UVA irradiation. Solid arrows indicate dominant pathways; dashed arrows indicate minor contributions.
Figure 11. (a) Energy band structure of TiO2 P25 relative to the redox potentials of key reactive oxygen species; (b) Schematic representation of photogenerated charge-carrier separation and reactive species generation under UVA irradiation. Solid arrows indicate dominant pathways; dashed arrows indicate minor contributions.
Catalysts 15 00914 g011
Table 1. Principal characteristics of water sources employed.
Table 1. Principal characteristics of water sources employed.
Mineral WaterSeawater
pH7.27.5
Salinity561 mg/L35.0 g/L
Ca2+99 mg/L0.4 g/L
Mg2+24 mg/L1.3 g/L
K+2.1 mg/L-
Na+15.8 mg/L11.0 g/L
HCO3265 mg/L-
SO42−68 mg/L3.0 g/L
Cl72 mg/L20.0 g/L
NO315 mg/L-
NO2<0.02 mg/L-
Total organic carbon0.33 mg/L0.97 mg/L
Table 2. Summary of the impact of scavengers on SO photocatalytic degradation.
Table 2. Summary of the impact of scavengers on SO photocatalytic degradation.
ScavengerTarget (s)BehaviorImpactMechanistic Outcome
AAOH, 1O2, O2•−, h+Fast with OH;
k(1O2+AA) ~3×108 M−1 s−1
0.01–1 mM: progressive to full quenchDrains multiple ROS; confirms OH dominance
MeOHOH, h+k(OH+MeOH) ~109 M−1 s−1; forms CH2OHStrong graded inhibition; incomplete at 10 mMOH path primary; holes also involved
N31O2 (physical), OH (→ N3)k(1O2) ~108–109 M−1 s−1Partial inhibition only1O2 secondary; OH/h+ dominate.
NO2OH (sink), h+ (acceptor)k(OH+NO2) ~1010 M−1 s−1Strong/near-total suppression at high concentrationConfirms OH as principal oxidant
BQO2•−, e (also OH)Fast with O2•−; e acceptorGraded inhibitionO2•−/e contribute but are not dominant
OXh+Surface hole scavenger; suppresses OH formationMarked slowing at 100 mMh+-initiated surface OH crucial
SCROHCarbohydrates ~109 M−1 s−1Dose-dependent inhibitionConfirms OH pathway
Disclaimer/Publisher’s Note: The statements, opinions and data contained in all publications are solely those of the individual author(s) and contributor(s) and not of MDPI and/or the editor(s). MDPI and/or the editor(s) disclaim responsibility for any injury to people or property resulting from any ideas, methods, instructions or products referred to in the content.

Share and Cite

MDPI and ACS Style

Bendjama, M.; Hamdaoui, O. Photocatalytic Degradation of Safranin O: Unraveling the Roles of Dissolved Gases, Environmental Matrices, and Reactive Species. Catalysts 2025, 15, 914. https://doi.org/10.3390/catal15090914

AMA Style

Bendjama M, Hamdaoui O. Photocatalytic Degradation of Safranin O: Unraveling the Roles of Dissolved Gases, Environmental Matrices, and Reactive Species. Catalysts. 2025; 15(9):914. https://doi.org/10.3390/catal15090914

Chicago/Turabian Style

Bendjama, Meriem, and Oualid Hamdaoui. 2025. "Photocatalytic Degradation of Safranin O: Unraveling the Roles of Dissolved Gases, Environmental Matrices, and Reactive Species" Catalysts 15, no. 9: 914. https://doi.org/10.3390/catal15090914

APA Style

Bendjama, M., & Hamdaoui, O. (2025). Photocatalytic Degradation of Safranin O: Unraveling the Roles of Dissolved Gases, Environmental Matrices, and Reactive Species. Catalysts, 15(9), 914. https://doi.org/10.3390/catal15090914

Note that from the first issue of 2016, this journal uses article numbers instead of page numbers. See further details here.

Article Metrics

Back to TopTop