Next Article in Journal
Effects of Crystallinity and Pore Architecture of Titanium Silicalites on α-Pinene Oxidation
Previous Article in Journal
Comparative Thermal and Supramolecular Hydrothermal Synthesis of g-C3N4 Toward Efficient Photocatalytic Degradation of Gallic Acid
Previous Article in Special Issue
Synthesis of Thermal-Stable Aviation Fuel Additives with 4-Hydroxy-2-butanone and Cycloketones
 
 
Font Type:
Arial Georgia Verdana
Font Size:
Aa Aa Aa
Line Spacing:
Column Width:
Background:
Article

Investigation on Pt-WO3 Catalytic Interface for the Hydrodeoxygenation of Anisole

Institute of Molecular Engineering Plus, College of Chemistry, Fuzhou University, Fuzhou 350108, China
*
Author to whom correspondence should be addressed.
These authors contributed equally to this work.
Catalysts 2025, 15(9), 859; https://doi.org/10.3390/catal15090859
Submission received: 31 July 2025 / Revised: 28 August 2025 / Accepted: 2 September 2025 / Published: 5 September 2025

Abstract

As a model compound for lignin derivatives, anisole and its conversion are crucial for the upgrading of biomass resources. Anisole molecule contains a characteristic aryl ether bond (Caryl-O-CH3); therefore, the selective cleavage of the C-O bond to efficiently produce high-value chemicals poses a significant challenge. Constructing bimetallic synergistic active sites through tuning the metal-support interface is considered an effective strategy. In this work, the WO3-promoted Pt/SiO2 catalysts were investigated to enhance the performance of anisole hydrodeoxygenation (HDO) to hydrocarbons. Experimental results demonstrate that WO3 significantly promotes HDO selectivity, increasing from 37.8% to 86.8% at 250 °C. Moreover, moderate doping improves low-temperature (<250 °C) HDO activity, confirming the presence of synergistic effects. In contrast, excessive WO3 suppresses anisole conversion. Characterization results reveal that WO3 stabilizes metallic Pt and facilitates H2 dissociation. Concurrently, strong hydrogen spillover between Pt and WO3 promotes oxygen vacancy formation on WO3. This transforms disordered adsorption of anisole on SiO2 into directed adsorption of the anisole’s oxygen species onto WO3. This work achieves high anisole HDO selectivity through the Pt-WO3 interface tuning, offering novel insights for efficient lignin conversion.

Graphical Abstract

1. Introduction

Driven by environmental and energy challenges, such as diminishing fossil fuel reserves and escalating environmental pollution, biomass energy has emerged as a promising alternative to alleviate energy crises and achieve carbon neutrality, leveraging its renewability, carbon-neutral nature, and resource abundance [1,2]. Biomass primarily encompasses lignocellulose, starches, saccharides, and lipids. As a major component of lignocellulosic biomass, the efficient conversion of lignin into fuels and high-value chemicals represents a pivotal research objective [3]. However, bio-oil derived from lignin depolymerization contains significant amounts of oxygen-containing functional groups, resulting in lower heating value and stability. Consequently, chemical treatments such as deoxygenation are necessary to improve its energy utilization efficiency [4,5]. Lignin-based model compounds are commonly employed for catalytic performance testing to investigate the reaction mechanisms and underlying catalyst principles. Anisole is widely selected as a lignin model compound due to its typical structure containing the representative Caryl-O-CH3 bond type characteristic of lignin [6,7,8,9,10]. The selective cleavage of the Caryl-O bond is the key step of hydrodeoxygenation (HDO), which yields benzene and cyclohexane.
Anisole hydrodeoxygenation proceeds primarily through three pathways (Figure 1) [6,11,12,13]. (1) Demethylation (DME) pathway: Anisole undergoes hydrogenolysis to form a phenol intermediate, followed by hydrogenation saturation of the aromatic ring, yielding cyclohexanone. Partial hydrogenation of cyclohexanone generates cyclohexanol. (2) Hydrogenation-Deoxygenation (HYD) pathway: Initial hydrogenation saturation of the aromatic ring produces methoxycyclohexane. Subsequent demethylation forms cyclohexanol, which undergoes dehydration to yield cyclohexane. (3) Direct Deoxygenation (DDO) pathway: Anisole undergoes direct demethoxylation to produce benzene and methanol. Benzene is then fully hydrogenated to cyclohexane over metal active sites.
The reaction primarily involves two key steps: hydrogenation occurring on metal sites and cleavage of the C-O bond on oxophilic sites [13]. Among these, the deoxygenation reaction is more difficult to occur than hydrogenation due to the higher bond energy of the C-O bond. Metals with low oxophilicity tend to favor hydrogenation over deoxygenation [14]. This leads to a mismatch between the deoxygenation and hydrogenation rates on the catalyst surface, resulting in lower yields of deoxygenation products. Bimetallic catalysts combining hydrogenation metals (Pt, Pd, Ni, Ru, Rh) with oxophilic metals (W, Mo, Al, Co, Zr, Nb) are considered highly promising [15]. Consequently, further research is needed on how to precisely control the reaction pathway of anisole hydrogenation and deoxygenation using bimetallic materials.
Platinum (Pt) catalysts exhibit good catalytic activity in the HDO reaction of lignin model compounds [16,17,18]. Studies have found that Pt-based catalysts typically serve as active centers for the adsorption and activation of aromatic rings, hydrogenation, as well as H2 adsorption and dissociation of H species in the hydrodeoxygenation of lignin model compounds [18,19]. Studies have shown that on Pt-supported acidic Al-SBA-15 molecular sieves, the synergy of metal sites and acidic sites can also efficiently drive the anisomethyl ether (HDO) reaction, which will increase the yield of cyclohexane and significantly reduce the usage of precious metals [20]. Oxophilic sites promote the adsorption of oxygen-containing molecules and activate C-O bonds, thereby enhancing the catalyst’s deoxygenation performance. Metal oxides, such as WO3 [21,22,23], MoO3 [24,25], and Nb2O5, possess the ability to preferentially bond with oxygen atoms in anisole, providing additional deoxygenation active sites in catalysts. Modifying hydrogenation metal catalysts by interfacing with oxophilic metal oxides is a crucial strategy for achieving efficient hydrodeoxygenation of anisole. The oxophilic metal oxides influence the structure of hydrogenation metal active sites by improving dispersion via geometric effects and modifying the electronic environment of the metal surface, ultimately achieving high HDO selectivity.
Furthermore, research indicates that oxygen vacancies are among the primary choices for deoxygenation sites [26,27]. Unsaturated coordination structures on metal oxide surfaces often correspond to the formation of oxygen vacancy defects. In the HDO reaction of lignin model compounds, the selective adsorption mechanism at defect sites preferentially coordinates with oxygen-containing functional groups in the substrate molecule, facilitating electron density redistribution in the C-O bond. Hydrogen species generated on adjacent hydrogenation metal sites migrate near the adsorption site, enabling efficient hydrogenolysis of the C-O bond. WO3, characterized by variable valence states, is a key component for constructing oxygen vacancies [22,28,29]. Its critical role in the formation of intrinsic oxygen defects and redox cycling processes has been widely applied in heterogeneous catalytic systems.
In this work, WO3 is dispersed onto a SiO2 support via the impregnation method to prepare Pt-xWO3/SiO2 catalysts (where x represents the molar ratio of W/Pt; for example, Pt-3WO3/SiO2 indicates a W/Pt ratio of 3:1), where WO3 is introduced to modulate both the geometric and electronic structures of Pt. The catalytic performance is systematically evaluated in gas-phase anisole hydrodeoxygenation (HDO), with particular focus on elucidating the activation mechanism of C-O bonds promoted by WO3. The study found that the introduction of WO3 forms Pt/WO3 interfacial sites, which not only enhances the catalyst’s deoxygenation capability but also improves the dispersion of Pt nanoparticles on the support while simultaneously suppressing the sintering of Pt species during the catalytic reaction.

2. Results and Discussion

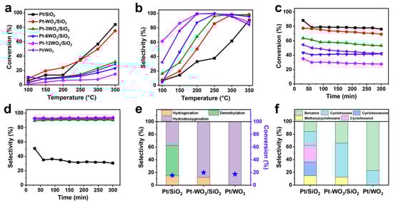
In the HDO reaction of anisole, the reaction temperature has a significant impact on the catalyst activity and selectivity. By regulating the reaction temperature, a balance can be achieved between conversion and selectivity. Figure 2a,b show the HDO performance of WO3-promoted Pt/SiO2 catalysts under temperature gradients. Overall, the conversion of anisole on WO3-promoted Pt/SiO2 catalysts increases with temperature, especially Pt/SiO2 (black line) and Pt-WO3/SiO2 (red line). Below 250 °C, Pt-WO3/SiO2 exhibits the highest activity, while above 250 °C, Pt/SiO2 shows slightly higher activity than Pt-WO3/SiO2. It can be seen that the selectivity of Pt/SiO2 and Pt-WO3/SiO2 catalysts is similar at low temperatures (100–150 °C), and their main products are methoxycyclohexane (hydrogenation product). When the temperature reaches 200 °C, the hydrogenation and deoxygenation selectivity (50.6%) of the Pt-WO3/SiO2 catalyst begins to significantly increase. At 250 °C, the difference in HDO selectivity between Pt/SiO2 and Pt-WO3/SiO2 catalysts is predominant. The HDO selectivity of Pt-WO3/SiO2 catalyst is 85.8% with benzene at 60.7% and cyclohexane at 25.1%, respectively, but the HDO selectivity of Pt/SiO2 is only 37.8%. Therefore, the appropriate addition of WO3 is beneficial for improving the selectivity of benzene and cyclohexane without significantly altering the activity of anisole HDO. However, with the further increase in W load, the activity of Pt-xWO3/SiO2 catalysts significantly decreased, which may be due to excessive WO3 hindering the contact between anisole and active sites. Linking HDO selectivity and conversion with W loading, Pt-WO3/SiO2 is the optimal catalyst, as shown in Figure S1. It can be observed that the selectivity of HDO shows a “volcano type” trend, first increasing and then decreasing, and the temperature corresponding to the maximum value decreases with the increase in W content, with Pt-3WO3/SiO2 at 300 °C, Pt-6WO3/SiO2 at 250 °C, and Pt-12WO3/SiO2 at 200 °C, as well as Pt/WO3 at 200 °C, indicating that temperature is a key factor affecting HDO selectivity. In addition, it also indicates that the structure of the catalyst is another key factor. Specifically, the W content regulates the reaction pathway on Pt-xWO3/SiO2 catalyst, gradually transitioning from the reaction pathway on Pt/SiO2 to Pt/WO3. Table S1 compares the performance of reported catalysts, highlighting the advantages of this series of catalysts in HDO selectivity.
In order to investigate the stability and selectivity of the catalyst within the thermodynamic control region, performance tests were conducted by increasing the amount of catalyst used to achieve a conversion of over 20% for anisole at 250 °C. As shown in Figure 2c,d, the conversion of anisole on WO3-promoted Pt/SiO2 catalysts remained stable for a period of 300 min, indicating that the Pt-WO3 interface structure is relatively stable. However, as the W content increased, the conversion decreased, which is consistent with the trend in the temperature gradients (Figure 2a), and the HDO selectivity of the W-promoted catalyst all approached 91%. In addition, we reduced the conversion to below 20% at 250 °C to investigate the intrinsic performance of the catalyst in the kinetic control region. As shown in Figure 2e,f, the selectivity of demethylation products (cyclohexanone and cyclohexanol) for Pt/SiO2 is 47.6%, the selectivity of hydrodeoxygenation (HDO) products (benzene and cyclohexane) is 37.5%, and the selectivity of hydrogenation products (methoxycyclohexane) is 14.8%, respectively. The selectivity to the HDO products of the Pt-WO3/SiO2 catalyst is 87.6%, and the selectivity of the hydrogenation product is 12.4%. Moreover, the selectivity of HDO products on Pt/WO3 is almost 100%, but compared to Pt-WO3/SiO2, the selectivity of cyclohexane is significantly reduced (Figure 2f), indicating that the latter has stronger hydrogenation ability than the former. Results of the kinetic test are similar to those of the thermodynamic control region activity test, indicating that the addition of WO3 to Pt/SiO2 is beneficial for the cleavage of C-O bonds and the generation of deoxygenated products. In addition, the presence of SiO2 increases the hydrogenation ability of Pt/WO3, promoting further hydrogenation of benzene to cyclohexane. The consistency between kinetic and activity measurements underscores the robustness of the Pt and WO3 synergistic effect in driving selective HDO pathways.
In order to detect the crystal phase of the catalyst support and the state of the active metal, XRD tests were conducted on Pt/SiO2, Pt-xWO3/SiO2, and Pt/WO3, and the results are shown in Figure 3. In the XRD patterns of all Pt-xWO3/SiO2 samples, a broad diffraction peak appears at 2θ = 22.5°, which belongs to SiO2 (JCPDS No.77-1315) [8]. In the XRD patterns of fresh samples, a weak peak appears at approximately 39.8° on the Pt/SiO2 curve (Figure 2b), which is assigned to the metal Pt [30], indicating weak interaction between Pt and SiO2, and Pt is prone to agglomeration during calcination. However, this characteristic diffraction peak is not observed after doping with WO3, indicating that WO3 doping can promote uniform dispersion of Pt species and suppress their aggregation. No additional diffraction peaks are observed in the Pt-(1, 3, 6) WO3/SiO2 fresh samples except for SiO2 (22.5°), which may be due to the low loading of WO3. As the WO3 loading further increases, clear diffraction peaks appear at positions of 23.1°, 23.7°, 24.1°, and 34.0°, etc. on Pt-12WO3/SiO2, which are attributed to the (001), (020), (200), and (220), etc. crystal planes of WO3 (JCPDS No.20-1324). In order to compare the changes in catalyst structure during the reaction process, XRD tests were conducted on the samples after the reaction. As shown in Figure 2c,d, the peak of Pt can only be observed at a position of 39° on the Pt/SiO2 and Pt-WO3/SiO2 curves, which reflects the stability of the Pt-WO3 interface structure. Furthermore, the WO3 related characteristic diffraction peaks of the Pt-12WO3/SiO2 and Pt/WO3 catalysts after the reaction showed disappearance, broadening, and intensity reduction, indicating that the WO3 on the catalyst surface was partially reduced to low valence WO3-x during the reaction process, while forming a certain amount of oxygen vacancies (Ov), which is consistent with the decrease in stability of WO3 under a certain temperature reduction conditions in the literature [31].
The physical structural properties, such as specific surface area and pore size, of WO3-promoted Pt/SiO2 catalysts are shown in Figure S2 and Table 1. The isotherms of each catalyst have inflection points and H4 hysteresis loops, belonging to type IV isotherms, which are inherent characteristics of mesoporous catalysts. Generally, the larger the specific surface area and pore volume, the more favorable it is for the reaction substrate to diffuse and be adsorbed onto the support surface, which can enhance the mass transfer process of HDO reaction. From Table 1, it can be seen that the specific surface area, pore volume, and pore size of Pt/SiO2 and Pt-xWO3/SiO2 catalysts are very similar, which may be due to the minor amount of Pt loading. The specific surface area and pore volume of the Pt/WO3 catalyst are much smaller than those of the Pt/SiO2 and Pt-xWO3/SiO2 catalysts. Research has shown that Pt/WO3 catalysts have acidic sites and oxygen vacancy (Ov) required for HDO reactions, but their specific surface area and pore volume are too small, resulting in less substrate adsorption and thus reducing their conversion. Our experiment also confirmed that due to the low specific surface area of WO3, the activity of Pt/WO3 is much lower than that of Pt/SiO2 (Figure 2a). It is worth noting that the pore size of the Pt/WO3 is similar to that of the Pt/SiO2 and Pt-xWO3/SiO2, which is likely due to the accumulation of mesopores caused by particle accumulation during the testing process. The actual loading amounts of Pt and W components on the catalysts were determined using ICP-OES, and the test results are shown in Table S2. The actual loading of all catalysts is slightly lower than the nominal loading amount, while the measured W/Pt ratio of the catalysts is also close to the nominal ratio.
Further analysis of the phase structure of Pt/SiO2 and Pt-WO3/SiO2 catalysts after reaction was conducted using TEM. Figure 4(a1–j1) and Figure 4(a2–j2) show the HR-TEM, STEM, and element mapping images of Pt/SiO2 and Pt-WO3/SiO2 catalysts after reaction, respectively. Overall, the morphology of the SiO2 support in the two samples remains consistent and is not affected by the introduction of WO3, both of which have a nanoparticle structure (Figure 4(a1,a2)). From the yellow dashed circle in Figure 4(c1), it can be seen that Pt particles agglomerate on the Pt/SiO2 surface after the reaction. This phenomenon is further verified in the element mapping images (Figure 4(g1,i1)). After the reaction, a small portion of Pt in the Pt-WO3/SiO2 underwent agglomeration (Figure 4(d2)), while the majority of Pt did not show significant agglomeration. The element distribution mapping (Figure 4(f2–j2)) shows that Pt and W atoms are uniformly dispersed on SiO2, and some Pt and W signals overlap, indicating the possibility of WO3 covering some Pt particles. There is evidence to suggest the presence of oxygen defects in WO3 [29,32], which facilitate strong interactions (SMSI) with the loaded Pt nanoparticles, thereby promoting high dispersion of Pt species. This is consistent with the XRD characterization conclusion, further indicating that WO3 restricts the migration of Pt nanoparticles by forming physical barriers or chemical anchoring. After doping Pt/SiO2 catalyst with WO3, the aggregation of Pt nanoparticles can be effectively suppressed, and the dispersibility of active metal Pt can be improved. Especially, the higher the WO3 doping content, the more favorable it is for Pt dispersion, verified by the XRD results (Figure 3).
Raman spectroscopy was used to study the functional group features of W and O on the surface of catalysts. The test results of fresh and reacted catalysts are shown in Figure 5a,b. No Raman characteristic peaks are detected on the fresh Pt/SiO2 sample. Three peaks appeared on the Pt-WO3/SiO2 spectrum at 264, 322, 710, and 800 cm−1, respectively. Peaks in the lower wavenumber region (264 and 322 cm−1) are attributed to the bending vibrations of W-O-W, and peaks in the higher wavenumber region (710 and 800 cm−1) are attributed to the asymmetric stretching and symmetric vibrations of O-W-O [22,33]. As the WO3 loading increased, the intensity of the characteristic peaks of W-O-W and O-W-O gradually increased. Compared to fresh catalysts, both the peak intensity of the bending and stretching modes of W-O-W and O-W-O bonds in the Raman spectra of Pt-xWO3/SiO2 catalysts after reaction are significantly reduced (Figure 5b), indicating the formation of oxygen vacancies on the catalyst surface. In addition, the peak positions are all shifted toward a higher wavenumber region, changing from 264 to 277 cm−1, 322 to 368 cm−1, 710 to 711 cm−1, 800 to 804 cm−1, and partial enlarged view of the Pt-xWO3/SiO2 series catalyst is shown in Figure S3, indicating that electron transfer occurred between Pt and W and the formation of oxygen vacancies on WO3 during the reaction process.
To verify the interaction between Pt and WO3, UV-Vis spectroscopy was used to investigate the coordination environment of WO3-promoted Pt/SiO2 catalysts. UV-Vis spectra of fresh catalysts are shown in Figure 5c. A small peak appeared at 250 nm in the Pt/SiO2 spectrum, which may be attributed to the absorption peak of Pt particles on SiO2 [34]. With the loading of WO3, the peak gradually shifted toward higher wavenumber, indicating a strong interaction between Pt and WO3. Notably, an absorption peak appeared near 204 and 265 nm, belonging to tetrahedral monotungstate and octahedral polytungstate [35,36,37,38,39]. In addition, a strong absorption peak appeared at 387 nm on the Pt/WO3 spectrum, which is related to the WO3 crystal. According to the literature [40], the absorption peaks of the three types of pure phase WO3 appear at 208, 270, and 400 nm, respectively. Compared to pure WO3, the absorption peaks of Pt-xWO3/SiO2 and Pt/WO3 catalysts loaded with Pt shifted toward the lower band, further indicating a strong interaction between W species and Pt nanoparticles. The absorption peaks of the three types of pure phase WO3 appear at 208, 270, and 400 nm, respectively.
The H2-TPR experiment was used to test the reduction degree of Pt-based catalysts. Figure 5d shows no obvious reduction peak on the Pt/SiO2 curve, which may be due to the easy reduction of Pt on SiO2 at low temperatures (<50 °C). The curves of Pt-WO3/SiO2 and Pt-3WO3/SiO2 are similar, indicating that H2 dissociated from Pt sites at low temperatures can easily reduce nearby WO3, which also confirms the strong hydrogen spillover effect between Pt-WO3. As the amount of WO3 continues to increase, a peak will appear near 348 °C on Pt-6WO3/SiO2 and Pt-12WO3/SiO2, attributed to the reduction peak of WO3 converted to WO2.9 [41,42,43], which also indicates excessive doping of WO3.
XPS spectroscopy was used to determine the surface elemental composition and chemical valence states of the catalyst’s surface. Analyze the role of introducing WO3 on the state of the Pt element in the HDO reaction process. XPS tests were conducted on Pt/SiO2 and Pt-WO3/SiO2 catalysts after the reaction. C 1s spectra are shown in Figure 6a, with three peaks appearing after peak fitting. The characteristic peaks around 284.8, 286.1, and 288.6 eV are attributed to C-C, C=O, and O-C=O, respectively (Table 2) [34,44]. It is interesting that there is a significant difference in the Pt 4f spectra of the two samples after reaction (Figure 6b). The Pt/SiO2 sample was fitted with four peaks, with binding energies of 72.8 and 76.4 eV, 74.8, and 78.2 eV, assigned to Pt2+ 4f7/2 and 4f5/2, as well as Pt4+ 4f7/2 and 4f5/2 [45,46], indicating that Pt loaded on SiO2 is easily oxidized to PtOx (Table 3). The XPS spectrum of Pt-WO3/SiO2 was also fitted with four peaks, but they appeared at 71.3 and 74.6 eV, 73.0 and 76.6 eV, respectively, assigned to 4f7/2 and 4f5/2 for Pt0 and Pt2+, respectively, indicating that the addition of WO3 can effectively stabilize Pt0, prevent oxidation during the HDO process of anisole, and promote H2 cleavage. This is attributed to the electronic interaction between Pt and WO3. Furthermore, compared to the Pt2+ 4f7/2 binding energy of Pt/SiO2 (72.8 and 76.4 eV), the binding energy of Pt-WO3/SiO2 (73.0 and 76.6 eV) shifts toward a higher direction by 0.2 eV, demonstrating the strong interaction between Pt and W, which promotes electron transfer.
Figure S4 shows the W 4f XPS spectrum of the used Pt-WOx/SiO2 catalyst. After peak fitting, the graph can be resolved into two main peaks, W 4f5/2 (38.0 eV) and W 4f7/2 (35.9 eV), as well as two weak peaks, W 4f5/2 (37.3 eV) and W 4f7/2 (34.9 eV), corresponding to the W6+ and W5+ species, respectively. Therefore, WOx in the used Pt WOx/SiO2 catalyst mainly exists in the form of W6+. As a variable valence metal, W is prone to generate oxygen vacancies on WO3 in both oxidizing and reducing atmospheres, and tends to stabilize. Therefore, compared to SiO2, WO3/SiO2 has more oxygen vacancies, which can provide specific adsorption for benzyl ether.
Compared to pure Pt/SiO2, the disordered adsorption of anisole on SiO2 is replaced by the ordered adsorption of oxygen vacancies on WO3/SiO2 after the introduction of WO3, resulting in a significant increase in HDO selectivity. The evaluation results of Pt-WO3/SiO2 catalyst indicate that the main products of its anisole HDO are benzene and cyclohexane. The reaction mechanism of the Pt-WO3/SiO2 catalyst for anisole HDO is shown in Scheme 1. The XPS results demonstrate that the introduction of WO3 support can inhibit the oxidation of Pt species. The Raman results showed a significant decrease in the peak intensity of the bending and stretching modes of the O-W-O bond after the Pt-WO3/SiO2 catalyst reaction, indicating the formation of oxygen vacancies on the WO3 surface. Oxygen vacancies can adsorb lone pair electrons on the oxygen of reaction substrates and intermediates, polarize C-O bonds, and thus obtain more hydrogenation and deoxygenation products. There is electron transfer between Pt nanoparticles and WO3, indicating that the addition of WO3 has not only geometric and physical effects on Pt species but also electronic effects. There is a synergistic effect between Pt species and WO3.

3. Materials and Methods

Catalyst preparation. Pt-xWO3/SiO2 series catalysts were prepared using a simple stepwise incipient wetness impregnation method. The specific experimental procedures were as follows:
(1)
Pretreatment of silica (SiO2) particles: crush the silica (SiO2, Q50, ASONE International, Osaka, Japan, AR, 99%) particles to 80–100 mesh (particle size range of 147–177 µm) as a support for subsequent catalyst preparation.
(2)
Preparation of xWO3/SiO2 series support: Taking the synthesis of 0.3 wt.% WO3/SiO2, for example, weigh 1 g of SiO2 support into a beaker. Then, dissolve 0.0042 g of (NH4) 6H2W12O40·xH2O (Aladdin Chemicals, Shanghai, China, AR, 99.5%) in 1 mL of deionized water and sonicate to prepare a homogeneous solution. Add the (NH4) 6H2W12O40 solution dropwise onto the SiO2 support while stirring continuously to ensure a uniform dispersion of the solution. After adding all the solutions dropwise, let it stand and age for 2 h, then dry the sample in an 80 °C oven for 12 h. The dried sample was then placed in a muffle furnace and heated to 500 °C at a rate of 2 °C/min for 4 h. Other xWO3/SiO2 supports with different W loading amounts (0.9, 1.8, and 3.6 wt.%) were prepared using the above method, except for the different (NH4) 6H2W12O40·xH2O values measured.
(3)
Preparation of pure WO3 support by (NH4) 6H2W12O40·xH2O thermal decomposition method. Specifically, a certain amount of (NH4) 6H2W12O40·xH2O in a muffle furnace, raise the temperature to 600 °C at a rate of 2 °C/min and maintain it for 4 h.
(4)
The preparation process of Pt-based catalysts was the same as that of xWO3/SiO2 supports, except that 1g of SiO2, WO3, and xWO3/SiO2 supports were separately weighed into beakers. Then, 0.0060 g of H12N6O6Pt (Aladdin Chemicals, Shanghai, China, Pt ≥ 50%) was added to 1 mL of deionized water. Finally, the samples were calcined at 350 °C for 5 h in a muffle furnace. Specifically, the loading amount of Pt was 0.3wt.%, and the loading amounts of W were 0.9, 1.8, and 3.6 wt.%. Pt/W ratio was taken here to simplify the sample naming, for example, 0.3 wt.% Pt-0.3 wt.% WO3/SiO2 was named Pt-WO3/SiO2, 0.3 wt.% Pt-0.9 wt.% WO3/SiO2 was named Pt-3WO3/SiO2, and so on.
Catalyst characterization. X-ray powder diffraction (XRD) patterns were obtained on a Rigaku Smartlab diffractometer (Tokyo, Japan) with Cu Kα radiation (λ = 1.5406 Å), tube voltage of 35 kV, and operating current of 25 mA. Data collection at 5 °/min from 5° to 90°, or at 1 °/min from 35° to 45°. The diffraction patterns are referenced to Joint Committee on Powder Diffraction Standards (JCPDS) database. Textural properties of the catalyst were characterized by N2 physisorption using a Micromeritics ASAP 2020 plus analyzer (Norcross, GA, USA) at 77K. Calculate the specific surface area and pore size distribution using the BET and BJH methods. Inductively coupled plasma optical emission spectrometry (ICP-OES) was tested using the iCAP-7000 Plus spectrometer (Thermo Fisher, Waltham, MA, USA). X-ray photoelectron spectroscopy (XPS) was measured on an ESCALAB 250XI spectrometer (Thermo Fisher, USA) with Al Kα radiation (HV = 1486.6 eV). The binding energy of all samples was referenced to C 1s at 284.8 eV.
High-resolution transmission electron microscopy (HR-TEM) images and high-angle annular dark field scanning transmission electron microscopy (HAADF-STEM) images were obtained using a Talos F200s G2 field-emission perspective electron microscope (FEI, Hillsboro, OR, USA) with an acceleration voltage of 200 kV. The chemical composition of the catalyst surface was tested using the FEI Super-X energy dispersive spectroscopy (EDX) system.
Raman spectra were measured using a confocal Raman micro-spectrometer (Thermo Fisher Scientific DXR2xi, USA) equipped with a 432 nm diode laser and a CCD detector. During testing, a high signal-to-noise ratio spectrum was obtained by adjusting the exposure time, scanning frequency, and laser intensity. Select different locations for multiple tests on each sample, and take the one with the best repeatability as the final Raman spectrum. Diffuse reflectance UV-Vis spectra (DRS) were recorded on a UV-Vis spectrophotometer (Agilent Cary 5000, Santa Clara, CA, USA), using BaSO4 as a reference.
Hydrogen temperature-programmed reduction (H2-TPR) was conducted on a chemisorption analyzer (Micromeritics Auto Chem II 2920, USA) equipped with a thermal conductivity detector. For H2-TPR, weigh 100 mg of the sample into a U-shaped quartz reaction tube. Pre-treat at 300 °C for 60 min under pure He gas, then cool down to 30 °C, wait for the detection signal to stabilize, switch to 10% H2/Ar, and reach 800 °C at a heating rate of 10 °C/min. Record the signal change curve of the thermal conductivity detector continuously through the data acquisition system.
Catalytic performance evaluation. The activity test of Pt-based catalyst for HDO reaction was conducted on a continuous fixed bed at atmospheric pressure, equipped with a quartz glass reaction tube with an inner diameter of 6 mm and a length of 63 cm, and an online gas chromatography (Shimadzu GC-2014, Kyoto, Japan) with dual FID detectors. In a typical test, mix a certain amount of catalyst powder evenly with 300 mg of quartz sand (20–30 mesh) and place it in the middle of the quartz reaction tube. Before the reaction, 20 mL/min of 5 vol% H2/Ar was introduced and pre-reduced at 350 °C for 1 h. Then, the temperature was lowered to the corresponding level and stabilized for 1 h before switching the gas path, allowing 5 vol% H2/Ar to pass through a conical bubble flask containing liquid anisole and enter the quartz reaction tube together with anisole vapor for reaction. Gas chromatography was used for online analysis of reaction products.
Anisole conversion ( X Anisole ) was calculated using the following formula:
X Anisole % =   [ Anisole ] in   [ Anisole ] out   [ Anisole ] in   ×   100 %
The selectivity ( S i ) of each product was calculated using the following formula:
S i   % =   [ Mol i ] out   [ Anisole ] in   [ Anisole ] out   ×   100 %
Anisole selectivity ( S HDO ) was calculated using the following formula:
S HDO   % = Mol HDO   [ Anisole ] in   [ Anisole ] out   ×   100 %
where   [ Anisole ] in is the molar concentration of reaction anisole steam at the inlet,   [ Anisole ] out ,   [ Mol i ] out , and Mol HDO are the molar concentration of anisole, each product of HDO reaction, and the total product steam at the outlet. The important products in the HDO reaction are benzene derivatives, followed by cyclohexane.
Antoine equation:
lgP = A − B/(T + C)
where P is the saturated vapor pressure of the gas (mmHg), T is the absolute temperature (K), A, B, and C are Antoine constants, which can be obtained from the literature or databases. The Antoine equation was used to calculate the relationship between the saturated vapor pressure of the gas and temperature. Taking the calculation of the saturated vapor pressure of 20 °C anisole as an example: According to the database (NIST Chemistry WebBook), the Antoine constants of 20 °C anisole are A = 6.989, B = 1453, and C = 200. By substituting into the Antoine equation, the partial pressure of 20 °C anisole is 2.410 mmHg.

4. Conclusions

In summary, Pt-xWO3/SiO2 and Pt/WO3 series catalysts were prepared using a stepwise impregnation method, and the effect of WO3 doping on the HDO performance of Pt/SiO2 catalysts was investigated using anisole HDO as a probe reaction. The experimental results showed that the main products of the reaction are benzene, cyclohexane, cyclohexanol, cyclohexanone, and methoxycyclohexane. The HDO selectivity on Pt/WO3 is high, but the conversion of anisole is low. The conversion rate of anisole is high, but the HDO selectivity is low on the Pt/SiO2 catalyst. The appropriate addition of WO3 increased the HDO selectivity (91%) of Pt-xWO3/SiO2 while hardly changing the conversion of anisole, but the excessive addition of WO3 led to a decrease in conversion rate. Further characterization of Pt-based catalysts revealed that the larger specific surface area of SiO2 provides a favorable platform for the adsorption and further reaction of anisole, and it is precisely this disordered adsorption that results in lower HDO selectivity. After doping with WO3, the strong interaction between Pt and WO3 can improve the dispersion of Pt nanoparticles on SiO2 support and suppress the sintering of Pt species during the catalytic reaction process. It is precisely this strong interaction that enables WO3 to stabilize Pt0 and undergo electron transfer during the reaction process, accelerating the dissociation of H2 and reducing WO3 sites through the hydrogen overflow effect, forming oxygen vacancies. Oxygen vacancies, as hydrophilic sites, are prone to adsorb O in anisole. The spillover of H on WO3 accelerates the cleavage of C-O bonds and enhances reaction activity. In addition, compared to Pt/SiO2, the Pt-xWO3/SiO2 catalyst with added WO3 has new Pt and WO3 heterojunction active sites. The synergistic effect of Pt and WO3 accelerates the cleavage of the C-O bond in the reaction substrate, which also enhances the catalytic activity.

Supplementary Materials

The following supporting information can be downloaded at: https://www.mdpi.com/article/10.3390/catal15090859/s1, Figure S1: HDO of anisole selectivity and conversion measured under different W loading amounts; Figure S2: N2 adsorption-desorption isotherms of Pt based catalyst; Figure S3: Partial enlarged view of fresh and used Pt-xWO3/SiO2 series catalysts; Figure S4: W 4f XPS spectra of used Pt-WO3/SiO2 catalysts; Table S1: WHSV comparison with literatures on supported Pt catalyst for HDO; Table S2: Actual loading of Pt based catalyst measured by ICP. References [47,48,49] are cited in the Supplementary Materials.

Author Contributions

W.Y., N.M. and Z.A.: Investigation, formal analysis, writing—original draft, writing—review, and editing; Y.X. and J.L.: Investigation, formal analysis; L.W. and L.T.: Formal analysis and funding acquisition; Y.T.: Conceptualization, supervision, formal analysis, project administration, funding acquisition, writing—review, and editing. All authors have read and agreed to the published version of the manuscript.

Funding

This work is supported by the National Natural Science Foundation of China (21902027).

Data Availability Statement

The original contributions presented in this study are included in the article/Supplementary Material. Further inquiries can be directed to the corresponding authors.

Conflicts of Interest

The authors declare that they have no known competing financial interests or personal relationships that could have appeared to influence the work reported in this paper.

References

  1. Li, C.; Zhao, X.; Wang, A.; Huber, G.W.; Zhang, T. Catalytic transformation of lignin for the production of chemicals and fuels. Chem. Rev. 2015, 115, 11559–11624. [Google Scholar] [CrossRef] [PubMed]
  2. Guo, H.; Zhang, X.; Dong, Y.; Liu, J.; Gu, X.; Dai, Y.; Tang, Y. Recent Advances in Catalytic Hydroprocessing of Lignin and Plastics for Aromatic Compound Production. Green Carbon 2025, in press. [Google Scholar] [CrossRef]
  3. Jing, Y.; Guo, Y.; Xia, Q.; Liu, X.; Wang, Y. Catalytic production of value-added chemicals and liquid fuels from lignocellulosic biomass. Chem 2019, 5, 2520–2546. [Google Scholar] [CrossRef]
  4. Sun, Z.; Fridrich, B.; De Santi, A.; Elangovan, S.; Barta, K. Bright side of lignin depolymerization: Toward new platform chemicals. Chem. Rev. 2018, 118, 614–678. [Google Scholar] [CrossRef] [PubMed]
  5. Stone, M.L.; Webber, M.S.; Mounfield, W.P.; Bell, D.C.; Christensen, E.; Morais, A.R.; Li, Y.; Anderson, E.M.; Heyne, J.S.; Beckham, G.T. Continuous hydrodeoxygenation of lignin to jet-range aromatic hydrocarbons. Joule 2022, 6, 2324–2337. [Google Scholar] [CrossRef]
  6. Prabhudesai, V.S.; Gurrala, L.; Vinu, R. Catalytic hydrodeoxygenation of lignin-derived oxygenates: Catalysis, mechanism, and effect of process conditions. Energy Fuels 2021, 36, 1155–1188. [Google Scholar] [CrossRef]
  7. Tang, Y.; Yan, G.; Zhang, S.; Li, Y.; Nguyen, L.; Iwasawa, Y.; Sakata, T.; Andolina, C.; Yang, J.C.; Sautet, P. Turning on Low-Temperature Catalytic Conversion of Biomass Derivatives through Teaming Pd1 and Mo1 Single-Atom Sites. J. Am. Chem. Soc. 2024, 146, 32366–32382. [Google Scholar] [CrossRef]
  8. Liu, X.; Zhang, S.; Zhao, H.; Lin, H.; Xu, K.; Xu, Y.; Tan, L.; Wu, L.; Tang, Y. In-situ studies on the synergistic effect of Pd-Mo bimetallic catalyst for anisole hydrodeoxygenation. Mol. Catal. 2022, 530, 112591. [Google Scholar] [CrossRef]
  9. Xu, K.; Chen, Y.; Yang, H.; Gan, Y.; Wu, L.; Tan, L.; Dai, Y.; Tang, Y. Partial hydrogenation of anisole to cyclohexanone in water medium catalyzed by atomically dispersed Pd anchored in the micropores of zeolite. Appl. Catal. B Environ. 2024, 341, 123244. [Google Scholar] [CrossRef]
  10. Zhang, S.; Liu, X.; Xu, Y.; Tang, Y. Temperature-Dependent Hydrogenation, Hydrodeoxygenation, and Hydrogenolysis of Anisole on Nickel Catalysts. Catalysts 2023, 13, 1418. [Google Scholar] [CrossRef]
  11. Zhu, X.; Lobban, L.L.; Mallinson, R.G.; Resasco, D.E. Bifunctional transalkylation and hydrodeoxygenation of anisole over a Pt/HBeta catalyst. J. Catal. 2011, 281, 21–29. [Google Scholar] [CrossRef]
  12. Lin, H.; Sun, P.; Xu, Y.; Zong, X.; Yang, H.; Liu, X.; Zhao, H.; Tan, L.; Wu, L.; Tang, Y. Enhanced selective cleavage of aryl C-O bond by atomically dispersed Pt on α-MoC for hydrodeoxygenation of anisole. Mol. Catal. 2022, 531, 112652. [Google Scholar] [CrossRef]
  13. Yang, Y.; Liu, X.; Xu, Y.; Gao, X.; Dai, Y.; Tang, Y. Palladium-incorporated α-MoC mesoporous composites for enhanced direct hydrodeoxygenation of anisole. Catalysts 2021, 11, 370. [Google Scholar] [CrossRef]
  14. Chen, Y.; Guo, H.; Yang, J.; Xu, K.; Lu, X.; Yang, Y.; Lin, H.; Wu, L.; Tan, L.; Yang, G.; et al. Catalytic hydrodeoxygenation of 5-hydroxymethylfurfural to 2,5-dimethylfuran over Pd-Co bimetallic catalysts supported on MoCx. Fuel 2024, 361, 130682. [Google Scholar] [CrossRef]
  15. Jaya, G.T.; Insyani, R.; Park, J.; Barus, A.F.; Sibi, M.G.; Ranaware, V.; Verma, D.; Kim, J. One-pot conversion of lignocellulosic biomass to ketones and aromatics over a multifunctional Cu–Ru/ZSM-5 catalyst. Appl. Catal. B Environ. 2022, 312, 121368. [Google Scholar] [CrossRef]
  16. Réocreux, R.; Ould Hamou, C.A.; Michel, C.; Giorgi, J.B.; Sautet, P. Decomposition mechanism of anisole on Pt (111): Combining single-crystal experiments and first-principles calculations. ACS Catal. 2016, 6, 8166–8178. [Google Scholar] [CrossRef]
  17. Zanuttini, M.S.; Lago, C.D.; Gross, M.S.; Peralta, M.A.; Querini, C.A. Hydrodeoxygenation of anisole with Pt catalysts. Ind. Eng. Chem. Res. 2017, 56, 6419–6431. [Google Scholar] [CrossRef]
  18. Xu, Y.; Liu, Z.; Liu, B.; Dong, B.; Pan, Y.; Li, Y.; Li, Y.; Guo, H.; Chai, Y.; Liu, C. Regulation of surface hydrophobicity and metal dispersion on Pt-based catalyst for the boosted hydrodeoxygenation of guaiacol into bio-hydrocarbons. Mol. Catal. 2024, 553, 113761. [Google Scholar] [CrossRef]
  19. Govoni, S.; Ventimiglia, A.; Ferraz, C.P.; Itabaiana, I., Jr.; Dufour, A.; Pasc, A.; Wojcieszak, R.; Dimitratos, N. Pd-Pt bimetallic catalysts for enhanced low-temperature hydrodeoxygenation of vanillin. ChemCatChem 2024, 16, e202400453. [Google Scholar] [CrossRef]
  20. Shivhare, A.; Hunns, J.A.; Durndell, L.J.; Parlett, C.M.; Isaacs, M.A.; Lee, A.F.; Wilson, K. Metal–Acid Synergy: Hydrodeoxygenation of Anisole over Pt/Al-SBA-15. ChemSusChem 2020, 13, 4945–4953. [Google Scholar] [CrossRef]
  21. Sarkar, A.; Sharma, S.; Balarabe, B.Y.; Vadivel, S.; Tyagi, T.; Das, D.; Kumar, S.; Puzari, A.; Paul, B. In-situ synthesis of star-shaped Ni supported on WO3 nanoparticles for selective hydrogenation of cinnamaldehyde. Int. J. Hydrogen Energy 2024, 59, 1174–1182. [Google Scholar] [CrossRef]
  22. Sun, M.; Zhang, Y.; Liu, W.; Zhao, X.; Luo, H.; Miao, G.; Wang, Z.; Li, S.; Kong, L. Synergy of metallic Pt and oxygen vacancy sites in Pt–WO 3− x catalysts for efficiently promoting vanillin hydrodeoxygenation to methylcyclohexane. Green Chem. 2022, 24, 9489–9495. [Google Scholar] [CrossRef]
  23. Yang, F.; Komarneni, M.R.; Libretto, N.J.; Li, L.; Zhou, W.; Miller, J.T.; Ge, Q.; Zhu, X.; Resasco, D.E. Elucidating the Structure of Bimetallic NiW/SiO2 Catalysts and Its Consequences on Selective Deoxygenation of m-Cresol to Toluene. ACS Catal. 2021, 11, 2935–2948. [Google Scholar] [CrossRef]
  24. Diao, X.; Ji, N.; Li, T.; Jia, Z.; Jiang, S.; Wang, Z.; Song, C.; Liu, C.; Lu, X.; Liu, Q. Rational design of oligomeric MoO3 in SnO2 lattices for selective hydrodeoxygenation of lignin derivatives into monophenols. J. Catal. 2021, 401, 234–251. [Google Scholar] [CrossRef]
  25. Wang, C.; Guo, L.; Wu, K.; Li, X.; Huang, Y.; Shen, Z.; Yang, H.; Yang, Y.; Wang, W.; Li, C. Rational design of Ni-MoO3–x catalyst towards efficient hydrodeoxygenation of lignin-derived bio-oil into naphthenes. J. Energy Chem. 2023, 84, 122–130. [Google Scholar] [CrossRef]
  26. Zhu, Y.; Ma, Y.; Sun, Y.; Ji, W.; Wang, L.; Lin, F.; Li, Y.; Xia, H. Synchronous Construction of Ni/CeO2/C with Double Defects as a Dual Engine for Catalytic Refinement of Lignin Oil Under Hydrogen-Free Condition. ACS Catal. 2024, 14, 17004–17013. [Google Scholar] [CrossRef]
  27. Jiang, J.; Ding, W.; Zhang, W.; Li, H. Defect-rich ZrO2 anchored Pd nanoparticles for selective hydrodeoxygenation of bio-models at room temperature. Fuel 2022, 318, 123529. [Google Scholar] [CrossRef]
  28. Xiong, J.; Mao, S.; Luo, Q.; Ning, H.; Lu, B.; Liu, Y.; Wang, Y. Mediating trade-off between activity and selectivity in alkynes semi-hydrogenation via a hydrophilic polar layer. Nat. Commun. 2024, 15, 1228. [Google Scholar] [CrossRef]
  29. Yang, M.; Wu, K.; Sun, S.; Ren, Y. Regulating oxygen defects via atomically dispersed alumina on Pt/WOx catalyst for enhanced hydrogenolysis of glycerol to 1, 3-propanediol. Appl. Catal. B Environ. Energy 2022, 307, 121207. [Google Scholar] [CrossRef]
  30. Liao, H.; Tao, X.; Wu, L.; Tang, Y.; Wang, P.; Tan, L. Anchoring Pt sites via chemical confining functional ZnOx islands in propane dehydrogenation. Fuel 2024, 369, 131730. [Google Scholar] [CrossRef]
  31. Zhong, W.; Wang, J.; Li, X.; Wang, S.; Tan, H.; Ouyang, X. Boosting the hydrodeoxygenation of PET waste to cycloalkanes by electron transfer and hydrogen spillover in HxWO3−y incorporated dendritic fibrous nanosilica supported Ni catalysts. Green Chem. 2025, 27, 4621–4631. [Google Scholar] [CrossRef]
  32. Zheng, L.; Wang, S.; Lou, S.; Liu, K.; Meng, X.; Liu, N.; Shi, L. Supported Ni-W bimetallic catalysts for hydrogenation of poly-alpha-olefins synthetic base oil. Catal. Lett. 2024, 154, 5732–5744. [Google Scholar] [CrossRef]
  33. Bi, W.; Wang, J.; Zhang, R.; Ge, Q.; Zhu, X. Tuning interfacial sites of WOx/Pt for enhancing reverse water gas shift reaction. ACS Catal. 2024, 14, 11205–11217. [Google Scholar] [CrossRef]
  34. An, Z.; Ma, N.; Xu, Y.; Yang, H.; Zhao, H.; Wu, L.; Tan, L.; Zou, C.; Meng, F.; Zhang, B. Shape dependency of CO2 hydrogenation on ceria supported singly dispersed Ru catalysts. J. Catal. 2024, 429, 115245. [Google Scholar] [CrossRef]
  35. Xiao, Y.; Wang, Y.; Wang, C.; Fang, W.; Liu, P.; Hui, Y.; Li, H.; Zhou, H.; Xiao, F.-S. Tungsten Species on Beta Zeolite with Abundant Silanol Nests for Efficient Olefin Metathesis. Chem Bio Eng. 2025, 2, 485–492. [Google Scholar] [CrossRef]
  36. Hu, B.; Liu, H.; Tao, K.; Xiong, C.; Zhou, S. Highly active doped mesoporous KIT-6 catalysts for metathesis of 1-butene and ethene to propene: The influence of neighboring environment of W species. J. Phys. Chem. C 2013, 117, 26385–26395. [Google Scholar] [CrossRef]
  37. Briot, E.; Piquemal, J.-Y.; Vennat, M.; Brégeault, J.-M.; Chottard, G.; Manoli, J.-M. Aqueous acidic hydrogen peroxide as an efficient medium for tungsten insertion into MCM-41 mesoporous molecular sieves with high metal dispersion. J. Mater. Chem. 2000, 10, 953–958. [Google Scholar] [CrossRef]
  38. De Lucas, A.; Valverde, J.; Canizares, P.; Rodriguez, L. Partial oxidation of methane to formaldehyde over W/SiO2 catalysts. Appl. Catal. A Gen. 1999, 184, 143–152. [Google Scholar] [CrossRef]
  39. Karakonstantis, L.; Matralis, H.; Kordulis, C.; Lycourghiotis, A. Tungsten–Oxo-Species Deposited on Alumina. II. Characterization and Catalytic Activity of Unpromoted W (vi)/γ-Al2O3Catalysts Prepared by Equilibrium Deposition Filtration (EDF) at Various pH’s and Non-Dry Impregnation (NDI). J. Catal. 1996, 162, 306–319. [Google Scholar] [CrossRef]
  40. Anh, T.N.; Hien, N.T.; Linh, D.T.H.; Hanh, N.T.; Do, L.T.; Vu, N.H.; Hoang, N.M.; Quang, D.V.; Dao, V.-D. 92.58% efficiency of solar-driven degradation of tetracycline solution by Pt/WO3 nanohybrid. Inorg. Chem. Commun. 2024, 161, 112100. [Google Scholar] [CrossRef]
  41. Zhou, W.; Luo, J.; Wang, Y.; Liu, J.; Zhao, Y.; Wang, S.; Ma, X. WOx domain size, acid properties and mechanistic aspects of glycerol hydrogenolysis over Pt/WOx/ZrO2. Appl. Catal. B Environ. 2019, 242, 410–421. [Google Scholar] [CrossRef]
  42. García-Fernández, S.; Gandarias, I.; Requies, J.; Güemez, M.; Bennici, S.; Auroux, A.; Arias, P. New approaches to the Pt/WOx/Al2O3 catalytic system behavior for the selective glycerol hydrogenolysis to 1,3-propanediol. J. Catal. 2015, 323, 65–75. [Google Scholar] [CrossRef]
  43. Santiesteban, J.; Calabro, D.; Borghard, W.; Chang, C.; Vartuli, J.; Tsao, Y.; Natal-Santiago, M.; Bastian, R. H-spillover and SMSI effects in paraffin hydroisomerization over Pt/WOx/ZrO2Bifunctional catalysts. J. Catal. 1999, 183, 314–322. [Google Scholar] [CrossRef]
  44. Xu, X.; Liu, L.; Tong, Y.; Fang, X.; Xu, J.; Jiang, D.-e.; Wang, X. Facile Cr3+-doping strategy dramatically promoting Ru/CeO2 for low-temperature CO2 methanation: Unraveling the roles of surface oxygen vacancies and hydroxyl groups. ACS Catal. 2021, 11, 5762–5775. [Google Scholar] [CrossRef]
  45. Du, X.; Gao, C.; Huang, J.; Cui, Y.; Liu, S.; Wang, C. Efficient Reductive Amination of Furfural to a Primary Amine on a Pt/TiO2 Catalyst: A Manifestation of the Nanocluster Proximity Effect. ACS Catal. 2025, 15, 4654–4664. [Google Scholar] [CrossRef]
  46. Chen, J.; Xiong, S.; Liu, H.; Shi, J.; Mi, J.; Liu, H.; Gong, Z.; Oliviero, L.; Maugé, F.; Li, J. Reverse oxygen spillover triggered by CO adsorption on Sn-doped Pt/TiO2 for low-temperature CO oxidation. Nat. Commun. 2023, 14, 3477. [Google Scholar] [CrossRef] [PubMed]
  47. Ranga, C.; Lødeng, R.; Alexiadis, V.I.; Rajkhowa, T.; Bjørkan, H.; Chytil, S.; Svenum, I.H.; Walmsley, J.; Detavernier, C.; Poelman, H.; et al. Effect of composition and preparation of supported MoO3 catalysts for anisole hydrodeoxygenation. Chem. Eng. J. 2018, 335, 120–132. [Google Scholar] [CrossRef]
  48. Sudhakar, P.; Pandurangan, A. Pt/Ni wet impregnated over Al incorporated mesoporous silicates: A highly efficient catalyst for anisole hydrodeoxygenation. J. Porous Mater. 2017, 25, 747–759. [Google Scholar] [CrossRef]
  49. Peters, J.E.; Carpenter, J.R.; Dayton, D.C. Anisole and Guaiacol Hydrodeoxygenation Reaction Pathways over Selected Catalysts. Energy Fuels 2015, 29, 909–916. [Google Scholar] [CrossRef]
Figure 1. Reaction pathway for the HDO of anisole.
Figure 1. Reaction pathway for the HDO of anisole.
Catalysts 15 00859 g001
Figure 2. (a) Conversion and (b) Selectivity of WO3-promoted Pt/SiO2 catalysts in anisole hydrodeoxygenation reaction under temperature gradients. (c,d) Stability of WO3-promoted Pt/SiO2 catalysts at 250 °C. Catalyst kinetic test: (e) conversion (star) and selectivity (column) of different reaction paths, (f) product distribution at 250 °C.
Figure 2. (a) Conversion and (b) Selectivity of WO3-promoted Pt/SiO2 catalysts in anisole hydrodeoxygenation reaction under temperature gradients. (c,d) Stability of WO3-promoted Pt/SiO2 catalysts at 250 °C. Catalyst kinetic test: (e) conversion (star) and selectivity (column) of different reaction paths, (f) product distribution at 250 °C.
Catalysts 15 00859 g002
Figure 3. (a,c) XRD patterns of WO3-promoted Pt/SiO2 catalysts before and after reaction. (b,d) Partial enlarged view from 35° to 45°. The JCPDS card are referenced to WO3 (20-1324) and Pt (04-0802).
Figure 3. (a,c) XRD patterns of WO3-promoted Pt/SiO2 catalysts before and after reaction. (b,d) Partial enlarged view from 35° to 45°. The JCPDS card are referenced to WO3 (20-1324) and Pt (04-0802).
Catalysts 15 00859 g003
Figure 4. HR-TEM, STEM, and element mapping of (a1j1) Pt/SiO2 and (a2j2) Pt-WO3/SiO2 catalysts after reaction.
Figure 4. HR-TEM, STEM, and element mapping of (a1j1) Pt/SiO2 and (a2j2) Pt-WO3/SiO2 catalysts after reaction.
Catalysts 15 00859 g004
Figure 5. Raman spectra of (a) fresh and (b) used Pt-xWO3/SiO2 catalysts. (c) UV-Vis spectra and (d) H2-TPR curves of fresh catalysts.
Figure 5. Raman spectra of (a) fresh and (b) used Pt-xWO3/SiO2 catalysts. (c) UV-Vis spectra and (d) H2-TPR curves of fresh catalysts.
Catalysts 15 00859 g005
Figure 6. (a) C 1s and (b) Pt 4f XPS spectra of used catalysts.
Figure 6. (a) C 1s and (b) Pt 4f XPS spectra of used catalysts.
Catalysts 15 00859 g006
Scheme 1. Reaction mechanism of Pt-WO3/SiO2 catalysts for the HDO of anisole.
Scheme 1. Reaction mechanism of Pt-WO3/SiO2 catalysts for the HDO of anisole.
Catalysts 15 00859 sch001
Table 1. N2 physical absorption and desorption analysis for catalysts.
Table 1. N2 physical absorption and desorption analysis for catalysts.
SampleSBET [a]
(m2·g−1)
Vtotal [b]
(cm3·g−1)
dmeso [a]
(nm)
Pt/SiO2650.2617
Pt-WO3/SiO2670.3927
Pt-3WO3/SiO2610.2720
Pt-6WO3/SiO2660.2818
Pt-12WO3/SiO2650.3019
Pt/WO30.960.00519
[a] obtained by the BET method. [b] obtained by a single plot method.
Table 2. C 1s XPS peaks fitting results of the used catalysts.
Table 2. C 1s XPS peaks fitting results of the used catalysts.
SampleC-C
(eV)
C=O
(eV)
O-C=O
(eV)
Pt/SiO2284.8286.1288.6
Pt-WO3/SiO2284.8286.1288.9
Table 3. Pt 4f XPS peaks fitting results of the used catalysts.
Table 3. Pt 4f XPS peaks fitting results of the used catalysts.
SamplePt0 4f(7/2)
(eV)
Pt0 4f(5/2) (eV)Pt2+ 4f(7/2)
(eV)
Pt2+ 4f(5/2)
(eV)
Pt4+ 4f(7/2)
(eV)
Pt4+ 4f(5/2)
(eV)
Pt0/(Pt0 + Ptσ+)
4f(5/2)
(%)
Pt/SiO2//72.876.474.878.20
Pt-WO3/SiO271.374.773.076.6//77.6
Disclaimer/Publisher’s Note: The statements, opinions and data contained in all publications are solely those of the individual author(s) and contributor(s) and not of MDPI and/or the editor(s). MDPI and/or the editor(s) disclaim responsibility for any injury to people or property resulting from any ideas, methods, instructions or products referred to in the content.

Share and Cite

MDPI and ACS Style

Yan, W.; Li, J.; Ma, N.; An, Z.; Xu, Y.; Wu, L.; Tan, L.; Tang, Y. Investigation on Pt-WO3 Catalytic Interface for the Hydrodeoxygenation of Anisole. Catalysts 2025, 15, 859. https://doi.org/10.3390/catal15090859

AMA Style

Yan W, Li J, Ma N, An Z, Xu Y, Wu L, Tan L, Tang Y. Investigation on Pt-WO3 Catalytic Interface for the Hydrodeoxygenation of Anisole. Catalysts. 2025; 15(9):859. https://doi.org/10.3390/catal15090859

Chicago/Turabian Style

Yan, Wanru, Jiating Li, Nan Ma, Zemin An, Yuanjie Xu, Lizhi Wu, Li Tan, and Yu Tang. 2025. "Investigation on Pt-WO3 Catalytic Interface for the Hydrodeoxygenation of Anisole" Catalysts 15, no. 9: 859. https://doi.org/10.3390/catal15090859

APA Style

Yan, W., Li, J., Ma, N., An, Z., Xu, Y., Wu, L., Tan, L., & Tang, Y. (2025). Investigation on Pt-WO3 Catalytic Interface for the Hydrodeoxygenation of Anisole. Catalysts, 15(9), 859. https://doi.org/10.3390/catal15090859

Note that from the first issue of 2016, this journal uses article numbers instead of page numbers. See further details here.

Article Metrics

Back to TopTop