A Review on the Research Progress of Zeolite Catalysts for Heavy Oil Cracking
Abstract
1. Introduction
2. Research Progress of Heavy Oil Cracking Reaction
2.1. Composition and Properties of Heavy Oil
2.2. The Main Upgrading Methods of Heavy Oil
2.2.1. Thermal Cracking Technology
2.2.2. Catalytic Cracking Technology
2.2.3. Hydrocracking Technology
2.3. Catalysts in the Heavy Oil Cracking Process
3. Structure and Application of Zeolite Catalysts
3.1. Structural Characteristics and Classification of Zeolites
3.1.1. One-Dimensional, Two-Dimensional, and Three-Dimensional Pore Structures
3.1.2. Common Zeolite Types and Their Applications in Heavy Oil Cracking
Y-Type Zeolite and Its Applications
ZSM-5 Zeolite and Its Applications
Beta Zeolite and Its Applications
Ferrierite Zeolite and Its Applications
Mordenite Zeolite and Its Applications
3.2. Acidic Characteristics of Zeolites
3.2.1. Brønsted Acid Sites (BAS) and Lewis Acid Sites (LAS)


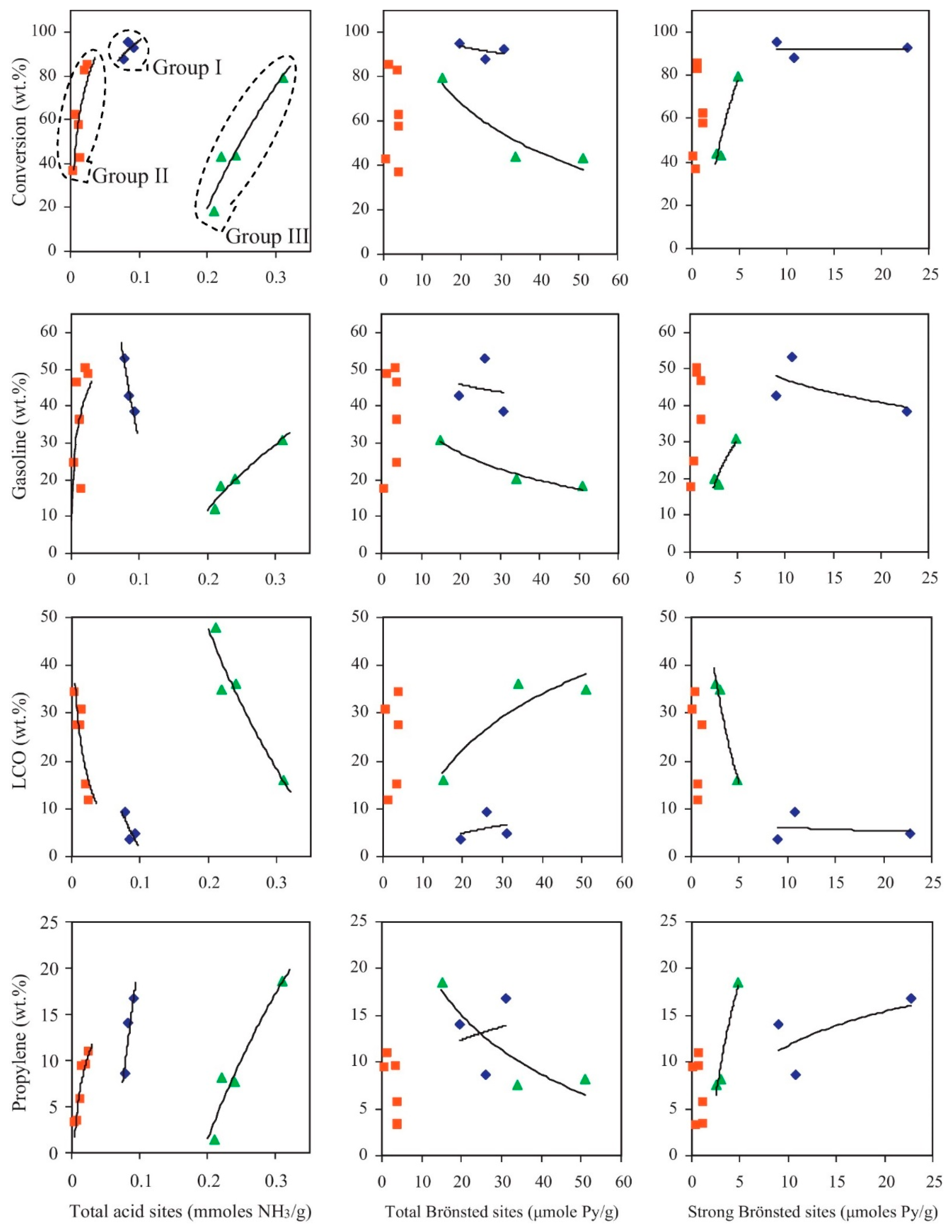
3.2.2. Effect of Acidity on Catalytic Performance
3.2.3. Catalytic Performance of Low-Acidity Aluminosilicates
3.3. Synthesis and Modification of Zeolites
3.3.1. Hydrothermal Synthesis Method
3.3.2. Post-Treatment and Modification Methods
3.3.3. Metal Ion Exchange and Heteroatom Introduction
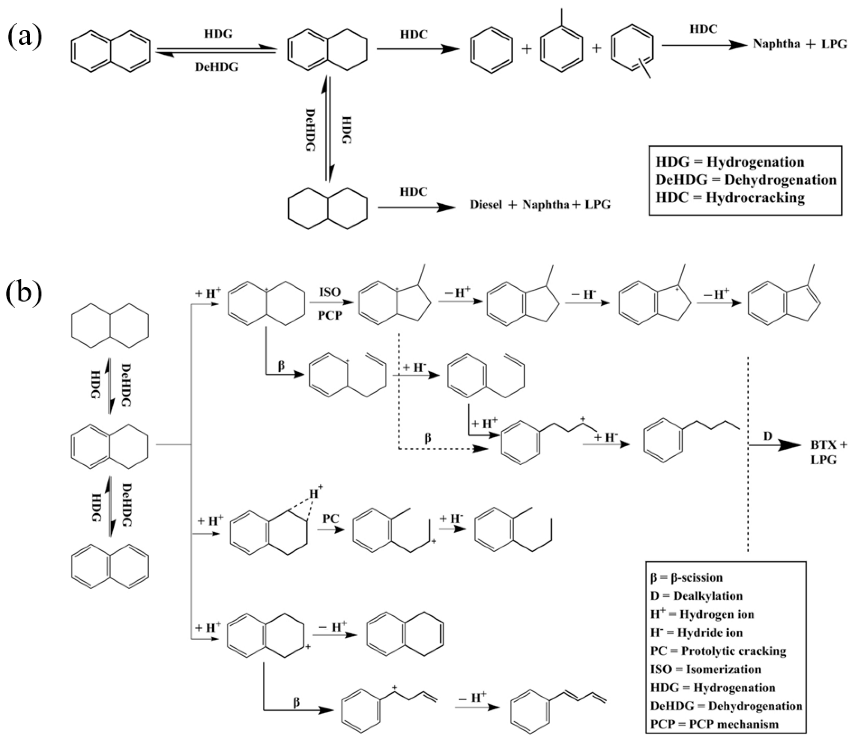
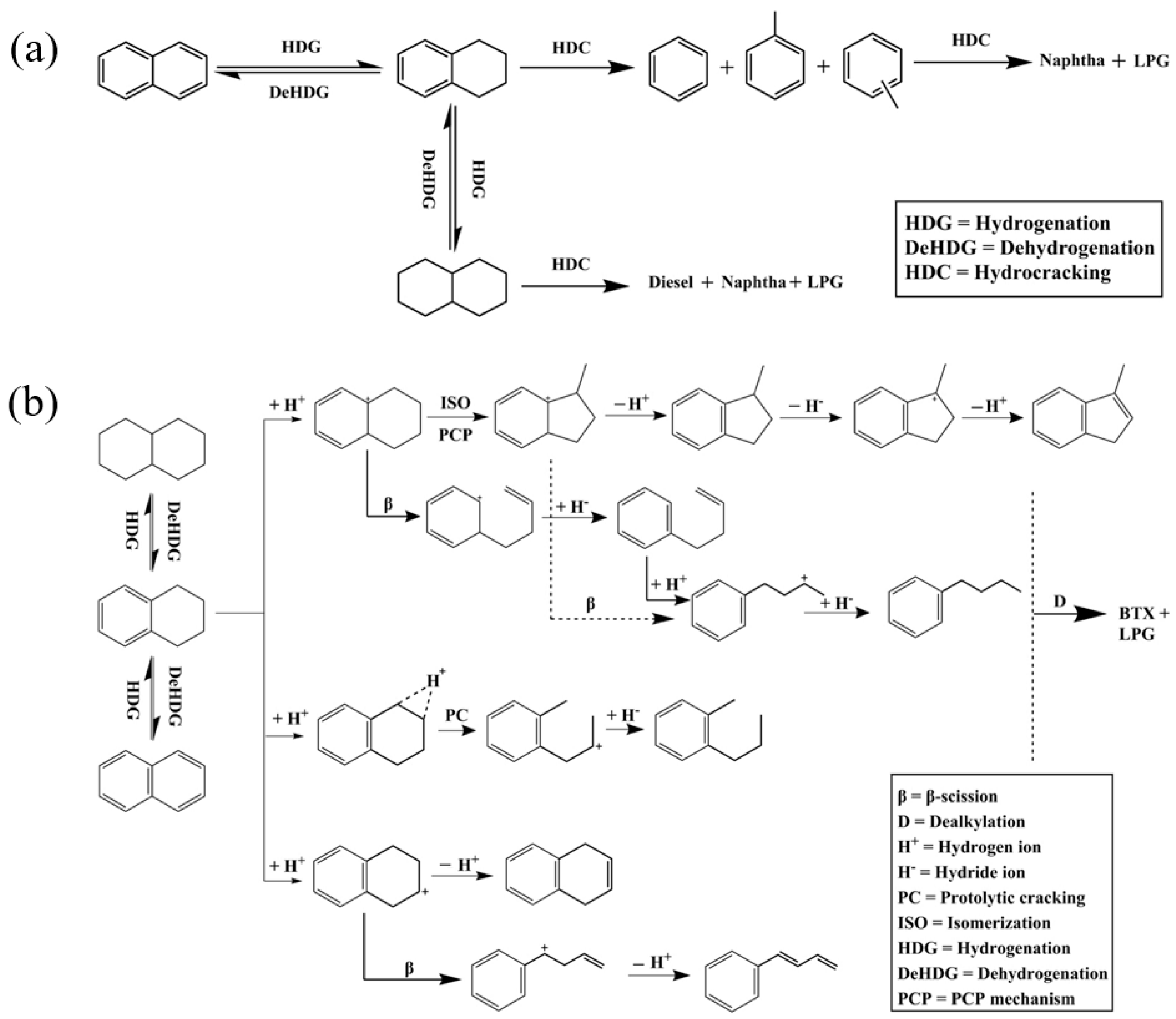
4. Study on the Reaction Mechanism of Heavy Oil Cracking
4.1. Hydrocracking Reaction Mechanism of Condensed Aromatics
4.1.1. Hydrogen Activation and Metal–Acid Synergy
4.1.2. Hydrogenation Ring Opening and C-C Bond Cleavage Pathways
4.1.3. Examples of Typical Hydrocracking Reaction Mechanisms of Condensed Aromatics
4.2. Catalytic Cracking Reaction Mechanism of Long-Chain Alkanes
4.2.1. Unimolecular and Bimolecular Cracking Mechanisms
4.2.2. Effect of Zeolite Acidity on Reaction Pathway
4.2.3. Examples of Typical Catalytic Cracking Reaction Mechanisms of Long-Chain Alkanes
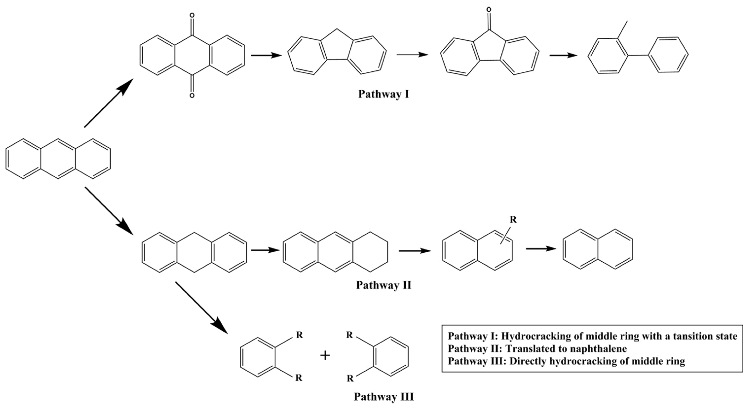
4.3. Catalytic Cracking Reaction Mechanism of Resins and Asphaltenes
5. Challenges and Optimization Strategies of Zeolite Catalysts
5.1. Catalyst Deactivation Mechanism and Anti-Deactivation Modification
5.2. Acidity Control and Structure Optimization
5.3. Mesoporation Modification and Diffusion Performance Improvement
5.4. Metal Loading and Synergistic Catalysis
5.5. High Integration of Theoretical Calculations and Experimental Data
6. Conclusions and Outlook
6.1. Research Summary
6.2. Future Development Direction of Zeolite Catalysts
Author Contributions
Funding
Data Availability Statement
Acknowledgments
Conflicts of Interest
References
- World Energy Review. 2023. Available online: https://www.eni.com/ (accessed on 5 March 2024).
- Tong, X.; Zhang, G.; Wang, Z.; Wen, Z.; Tian, Z.; Wang, H.; Ma, F.; Wu, Y. Distribution and potential of global oil and gas resources. Pet. Explor. Dev. 2018, 45, 779–789. [Google Scholar] [CrossRef]
- Zou, C.; Zhai, G.; Zhang, G.; Wang, H.; Zhang, G.; Li, J.; Wang, Z.; Wen, Z.; Ma, F.; Liang, Y.; et al. Formation, distribution, potential and prediction of global conventional and unconventional hydrocarbon resources. Pet. Explor. Dev. 2015, 42, 14–28. [Google Scholar] [CrossRef]
- Santos, R.; Loh, W.; Bannwart, A.; Trevisan, O. An overview of heavy oil properties and its recovery and transportation methods. Braz. J. Chem. Eng. 2014, 31, 571–590. [Google Scholar] [CrossRef]
- Rana, M.S.; Sámano, V.; Ancheyta, J.; Diaz, J. A review of recent advances on process technologies for upgrading of heavy oils and residua. Fuel 2007, 86, 1216–1231. [Google Scholar] [CrossRef]
- Corma, A. Inorganic solid acids and their use in acid-catalyzed hydrocarbon reactions. Chem. Rev. 1995, 95, 559–614. [Google Scholar] [CrossRef]
- Ding, L.; Sitepu, H.; Al-Bogami, S.A.; Yami, D.; Tamimi, M.; Shaik, K.; Sayed, E. Effect of zeolite-Y modification on crude-oil direct hydrocracking. ACS Omega 2021, 6, 28654–28662. [Google Scholar] [CrossRef]
- Uzcátegui, G.; de Klerk, A. Causes of deactivation of an amorphous silica-alumina catalyst used for processing of thermally cracked naphtha in a bitumen partial upgrading process. Fuel 2021, 293, 120479. [Google Scholar] [CrossRef]
- Miao, P.; Zhu, X.; Guo, Y.; Miao, J.; Yu, M.; Li, C. Combined mild hydrocracking and fluid catalytic cracking process for efficient conversion of light cycle oil into high-quality gasoline. Fuel 2021, 292, 120364. [Google Scholar] [CrossRef]
- Katada, N.; Kawaguchi, Y.; Takeda, K.; Matsuoka, T.; Uozumi, N.; Kanai, K.; Fujiwara, S.; Kinugasa, K.; Nakamura, K.; Suganuma, S.; et al. Dealkylation of alkyl polycyclic aromatic hydrocarbon over silica monolayer solid acid catalyst. Appl. Catal. A 2017, 530, 93–101. [Google Scholar] [CrossRef]
- Prajapati, R.; Kohli, K.; Maity, S.K. Slurry phase hydrocracking of heavy oil and residue to produce lighter fuels: An experimental review. Fuel 2021, 288, 119686. [Google Scholar] [CrossRef]
- Amghizar, I.; Vandewalle, L.A.; Van Geem, K.M.; Marin, G.B. New trends in olefin production. Engineering 2017, 3, 171–178. [Google Scholar] [CrossRef]
- Zhao, F.; Xu, T.; Zhu, G.; Wang, K.; Xu, X.; Liu, L. A review on the role of hydrogen donors in upgrading heavy oil and bitumen. Sustain. Energy Fuels 2022, 6, 1866–1890. [Google Scholar] [CrossRef]
- Huo, Q.; Gong, Y.; Dou, T.; Zhao, Z.; Pan, H.; Deng, F. Novel micro- and mesoporous composite molecular sieve assembled by zeolite L nanocrystal and its performance for the hydrodesulfurization (HDS) of fluid catalytic cracking (FCC) gasoline. Energy Fuels 2010, 24, 3764–3771. [Google Scholar] [CrossRef]
- Pan, M.; Zheng, J.; Liu, Y.; Ning, W.; Tian, H.; Li, R. Construction and practical application of a novel zeolite catalyst for hierarchically cracking of heavy oil. J. Catal. 2019, 369, 72–85. [Google Scholar] [CrossRef]
- Leyva, C.; Rana, M.S.; Trejo, F.; Ancheyta, J. On the use of acid-base-supported catalysts for hydroprocessing of heavy petroleum. Ind. Eng. Chem. Res. 2007, 46, 7448–7466. [Google Scholar] [CrossRef]
- Silaghi, M.-C.; Chizallet, C.; Raybaud, P. Challenges on molecular aspects of dealumination and desilication of zeolites. Microporous Mesoporous Mater. 2014, 191, 82–96. [Google Scholar] [CrossRef]
- Ikyereve, R.E. Investigations into the Pre-Treatment Methods for the Removal of Nickel (II) and Vanadium (IV) from Crude Oil. Ph.D. Thesis, Loughborough University, Loughborough, UK, 2014. [Google Scholar]
- Orea, M.; Ranaudo, M.A.; Lugo, P.; López, L. Retention of alkane compounds on asphaltenes. Insights about the nature of asphaltene–alkane interactions. Energy Fuels 2016, 30, 8098–8113. [Google Scholar] [CrossRef]
- Primerano, K.; Mirwald, J.; Hofko, B. Asphaltenes and maltenes in crude oil and bitumen: A comprehensive review of properties, separation methods, and insights into structure, reactivity and aging. Fuel 2024, 368, 131616. [Google Scholar] [CrossRef]
- Speight, J.G. The Chemistry and Technology of Petroleum; CRC Press: Boca Raton, FL, USA, 2006. [Google Scholar]
- Demirbaş, A. Asphaltene yields from five types of fuels via different methods. Energy Convers. Manag. 2002, 43, 1091–1097. [Google Scholar] [CrossRef]
- Mousavi-Dehghani, S.A.; Riazi, M.R.; Vafaie-Sefti, M.; Mansoori, G.A. An analysis of methods for determination of onsets of asphaltene phase separations. J. Pet. Sci. Eng. 2004, 42, 145–156. [Google Scholar] [CrossRef]
- Yu, Z.X.; Wu, B.; Wu, Q.; Chen, L.; Zhu, Z.R. Catalytic hydrogenation and hydrocracking of PRO residual oil over USY-zeolite catalyst. Adv. Mater. Res. 2012, 347, 3710–3715. [Google Scholar] [CrossRef]
- Han, L. Basic Research on Composition, Structure and Efficient Conversion of Heavy Oils. Ph.D. Thesis, China University of Mining and Technology, Xuzhou, China, 2008. [Google Scholar]
- Gary, J.H.; Handwerk, J.H.; Kaiser, M.J.; Geddes, D. Petroleum Refining: Technology and Economics; CRC Press: Boca Raton, FL, USA, 2007. [Google Scholar]
- Hsu, C.S.; Robinson, P.R. Practical Advances in Petroleum Processing; Springer: New York, NY, USA, 2006; Volume 1. [Google Scholar]
- Wang, F.; Wei, Q.; Li, K.; Biney, B.W.; Liu, H.; Chen, K.; Wang, Z.; Guo, A. Coke formation of heavy oil during thermal cracking: New insights into the effect of olefinic-bond-containing aromatics. Fuel 2023, 336, 127138. [Google Scholar] [CrossRef]
- Komvokis, V.; Tan, L.X.L.; Clough, M.; Pan, S.S.; Yilmaz, B. Zeolites in fluid catalytic cracking (FCC). In Zeolites in Sustainable Chemistry: Synthesis, Characterization and Catalytic Applications; Xiao, F.-S., Meng, X., Eds.; Springer: Berlin/Heidelberg, Germany, 2016; pp. 271–297. [Google Scholar]
- Emberru, R.E.; Patel, R.; Mujtaba, I.M.; John, Y.M. A review of catalyst modification and process factors in the production of light olefins from direct crude oil catalytic cracking. Sci 2024, 6, 11. [Google Scholar] [CrossRef]
- Talebian-Kiakalaieh, A.; Tarighi, S. Synthesis of hierarchical Y and ZSM-5 zeolites using post-treatment approach to maximize catalytic cracking performance. J. Ind. Eng. Chem. 2020, 88, 167–177. [Google Scholar] [CrossRef]
- Alotibi, M.F.; Alshammari, B.A.; Alotaibi, M.H.; Alotaibi, F.M.; Alshihri, S.; Navarro, R.M.; Fierro, J.L.G. ZSM-5 zeolite based additive in FCC process: A review on modifications for improving propylene production. Catal. Surv. Asia 2020, 24, 1–10. [Google Scholar] [CrossRef]
- Speight, J.G. The Desulfurization of Heavy Oils and Residua; CRC Press: Boca Raton, FL, USA, 1999. [Google Scholar]
- Speight, J.G. New approaches to hydroprocessing. Catal. Today 2004, 98, 55–60. [Google Scholar] [CrossRef]
- Speight, J.G.; Ozum, B. Petroleum Refining Processes; CRC Press: Boca Raton, FL, USA, 2001. [Google Scholar]
- Miteva, A.; Stoyanova, V. Zeolites application in terrestrial and space industry—A review. Aerosp. Res. Bulg. 2020, 32, 209–223. [Google Scholar] [CrossRef]
- Tanimu, A.; Tanimu, G.; Alasiri, H.; Aitani, A. Catalytic cracking of crude oil: Mini review of catalyst formulations for enhanced selectivity to light olefins. Energy Fuels 2022, 36, 5152–5166. [Google Scholar] [CrossRef]
- Suganuma, S.; Katada, N. Innovation of catalytic technology for upgrading of crude oil in petroleum refinery. Fuel Process. Technol. 2020, 208, 106518. [Google Scholar] [CrossRef]
- Kotikalapudi, C.M. Selective Ring Opening of Naphthenes Present in Heavy Gas Oil Derived from Athabasca Bitumen; University of Saskatchewan: Saskatoon, SK, Canada, 2009. [Google Scholar]
- Žula, M.; Grilc, M.; Likozar, B. Hydrocracking, hydrogenation and hydro-deoxygenation of fatty acids, esters and glycerides: Mechanisms, kinetics and transport phenomena. Chem. Eng. J. 2022, 444, 136564. [Google Scholar] [CrossRef]
- Speight, J.G. Heavy and Extra-Heavy Oil Upgrading Technologies; Gulf Professional Publishing: Oxford, UK, 2013. [Google Scholar]
- Du, H.; Liu, D.; Liu, H.; Gao, P.; Lv, R.; Li, M.; Lou, B.; Yang, Y. Role of hydrogen pressure in slurry-phase hydrocracking of venezuela heavy oil. Energy Fuels 2015, 29, 2104–2110. [Google Scholar] [CrossRef]
- Weitkamp, J. Catalytic hydrocracking—Mechanisms and versatility of the process. ChemCatChem 2012, 4, 292–306. [Google Scholar] [CrossRef]
- Clark, P.D.; Hyne, J.B.; Tyrer, J.D. Chemistry of organosulphur compound types occurring in heavy oil sands: 1. High temperature hydrolysis and thermolysis of tetrahydrothiophene in relation to steam stimulation processes. Fuel 1983, 62, 959–962. [Google Scholar] [CrossRef]
- Kozlowski, M.; Punase, A.; Nasr-El-Din, H.; Hascakir, B. The catalytic effect of clay on in-situ combustion performance. In Proceedings of the SPE Latin America and Caribbean Petroleum Engineering Conference, Quito, Ecuador, 18–20 November 2015; p. D031S030R003. [Google Scholar]
- Clark, P.D.; Hyne, J.B. Studies on the chemical reactions of heavy oils under steam stimulation condition. Aostra J. Res. 1990, 6, 29–39. [Google Scholar] [CrossRef]
- Maity, S.K.; Ancheyta, J.; Marroquín, G. Catalytic aquathermolysis used for viscosity reduction of heavy crude oils: A review. Energy Fuels 2010, 24, 2809–2816. [Google Scholar] [CrossRef]
- Zhao, X.F.; Tan, X.H.; Liu, Y.J. Behaviors of oil-soluble catalyst for aquathermolysis of heavy oil. Ind. Catal. 2008, 11, 31–34. [Google Scholar]
- Wen, S.; Zhao, Y.; Liu, Y.; Hu, S. A study on catalytic aquathermolysis of heavy crude oil during steam stimulation. In Proceedings of the SPE International Symposium on Oilfield Chemistry, Houston, TX, USA, 28 February–2 March 2007; p. SPE-106180-MS. [Google Scholar]
- Yusuf, A.; Al-Hajri, R.S.; Al-Waheibi, Y.M.; Jibril, B.Y. In-situ upgrading of Omani heavy oil with catalyst and hydrogen donor. J. Anal. Appl. Pyrolysis 2016, 121, 102–112. [Google Scholar] [CrossRef]
- Chao, K.; Chen, Y.; Li, J.; Zhang, X.; Dong, B. Upgrading and visbreaking of super-heavy oil by catalytic aquathermolysis with aromatic sulfonic copper. Fuel Process. Technol. 2012, 104, 174–180. [Google Scholar] [CrossRef]
- Chen, Y.; Wang, Y.; Wu, C.; Xia, F. Laboratory experiments and field tests of an amphiphilic metallic chelate for catalytic aquathermolysis of heavy oil. Energy Fuels 2008, 22, 1502–1508. [Google Scholar] [CrossRef]
- Liu, D.; Li, M.; Deng, W.; Que, G. Reactivity and composition of dispersed Ni catalyst for slurry-phase residue hydrocracking. Energy Fuels 2010, 24, 1958–1962. [Google Scholar] [CrossRef]
- Ortiz-Moreno, H.; Ramírez, J.; Cuevas, R.; Marroquín, G.; Ancheyta, J. Heavy oil upgrading at moderate pressure using dispersed catalysts: Effects of temperature, pressure and catalytic precursor. Fuel 2012, 100, 186–192. [Google Scholar] [CrossRef]
- Zhao, F.; Liu, Y.; Lu, N.; Xu, T.; Zhu, G.; Wang, K. A review on upgrading and viscosity reduction of heavy oil and bitumen by underground catalytic cracking. Energy Rep. 2021, 7, 4249–4272. [Google Scholar] [CrossRef]
- Fahim, M.A.; Al-Sahhaf, T.A.; Elkilani, A. Fundamentals of Petroleum Refining; Elsevier: Oxford, UK, 2009. [Google Scholar]
- Hoek, A.; Huizinga, T.; Esener, A.; Maxwell, I.; Stork, W.; Van de Meerakker, F.; Sy, O. New catalysts improves heavy feedstock hydro-cracking. Oil Gas J. 1991, 89, 16. [Google Scholar]
- El-Sawy, M.S.; Hanafi, S.A.; Ashour, F.; Aboul-Fotouh, T.M. Co-hydroprocessing and hydrocracking of alternative feed mixture (vacuum gas oil/waste lubricating oil/waste cooking oil) with the aim of producing high quality fuels. Fuel 2020, 269, 117437. [Google Scholar] [CrossRef]
- Rahmawati, S.; Wahyuni, S.; Rusdi, M.; Priyanti, N.A.; Nisa, L.C.; Muttaqin, M.Z.; Fatimah, S. Review journal: The effect of heterogeneous zeolite catalyst and modified zeolite catalysts on biogaseline yields. Int. J. Sustain. Engl. Lang. Educ. Sci. 2024, 1, 49–56. [Google Scholar] [CrossRef]
- Yim, H.; Valizadeh, S.; Cho, K.; Park, Y.-K. Production of low-aromatic oil from catalytic pyrolysis of waste plastics-derived wax. J. Anal. Appl. Pyrolysis 2025, 186, 106964. [Google Scholar] [CrossRef]
- Aghaei, E.; Karimzadeh, R.; Godini, H.R.; Gurlo, A.; Gorke, O. Improving the physicochemical properties of Y zeolite for catalytic cracking of heavy oil via sequential steam-alkali-acid treatments. Microporous Mesoporous Mater. 2020, 294, 109854. [Google Scholar] [CrossRef]
- Lin, F.; Xu, M.; Ramasamy, K.K.; Li, Z.; Klinger, J.L.; Schaidle, J.A.; Wang, H. Catalyst deactivation and its mitigation during catalytic conversions of biomass. ACS Catal. 2022, 12, 13555–13599. [Google Scholar] [CrossRef]
- Akah, A. The role of rare earths in fluid catalytic cracking (FCC) catalyst. Rare Earth A Tribut. Late Mr. Rare Earth Profr. Karl Gschneidner 2024, 164, 298–342. [Google Scholar]
- Xu, Z.; Zhu, Y.; Gong, M.; Jiao, N.; Zhang, T.; Wang, H. Review on the poisoning behavior of typical metals on cracking catalysts for chemicals production from petroleum and anti-poisoning strategies. Appl. Catal. A 2024, 685, 119897. [Google Scholar] [CrossRef]
- Rigutto, M.S.; van Veen, R.; Huve, L. Zeolites in hydrocarbon processing. Stud. Surf. Sci. Catal. 2007, 168, 855–913, XXIII–XXVI. [Google Scholar] [CrossRef]
- Martínez, C.; Corma, A. Inorganic molecular sieves: Preparation, modification and industrial application in catalytic processes. Coord. Chem. Rev. 2011, 255, 1558–1580. [Google Scholar] [CrossRef]
- Di Renzo, F.; Fajula, F. Introduction to molecular sieves: Trends of evolution of the zeolite community. Stud. Surf. Sci. Catal. 2005, 157, 1–12. [Google Scholar]
- Yilmaz, B.; Müller, U. Catalytic applications of zeolites in chemical industry. Top. Catal. 2009, 52, 888–895. [Google Scholar] [CrossRef]
- Boronat, M.; Corma, A. Factors controlling the acidity of zeolites. Catal. Lett. 2015, 145, 162–172. [Google Scholar] [CrossRef]
- Van Bokhoven, J.A.; Williams, B.A.; Ji, W.; Koningsberger, D.C.; Kung, H.H.; Miller, J.T. Observation of a compensation relation for monomolecular alkane cracking by zeolites: The dominant role of reactant sorption. J. Catal. 2004, 224, 50–59. [Google Scholar] [CrossRef]
- Xu, D. Study on the Deactivated Titanosilicate Zeolite as a Catalyst for Cracking of Pentene. Master’s Thesis, East China Normal University, Shanghai, China, 2023. [Google Scholar]
- Chu, G. Effects of Different Pore Structures and Acidity Zeolites on the Alkylation of Isobutane/Butene. Master’s Thesis, Taiyuan University of Technology, Taiyuan, China, 2022. [Google Scholar]
- Yi, F.; Chen, H.; Yang, Y.; Cao, J. Mechanisms of Brönsted and Lewis acids of zeolite on pentenes conversion by in situ DRIFTS. J. Fuel Chem. Technol. 2023, 51, 625–634. [Google Scholar] [CrossRef]
- Xu, R.; Pang, W.; Huo, Q. Molecular Sieve and Porous Material Chemistry; Science Press: Beijing, China, 2004. [Google Scholar]
- Zheng, A. Theoretical Calculation of Molecular Sieve Catalysis: From Basic to Application; Science Press: Beijing, China, 2020. [Google Scholar]
- Contini, A. Structural and Ion Exchange Study of Nanostructured Materials. Ph.D. Thesis, Keele University, Keele, UK, 2024. [Google Scholar]
- Minkiewicz, J. Solvothermal Stability Studies of Porous Inorganic and Metal-Organic Materials. Ph.D. Thesis, Cardiff University, Cardiff, UK, 2021. [Google Scholar]
- Baerlocher, C.; McCusker, L.B. Database of Zeolite Structures. Available online: http://www.iza-structure.org/databases/ (accessed on 25 February 2025).
- Shelyapina, M.G. NMR relaxation to probe zeolites: Mobility of adsorbed molecules, surface acidity, pore size distribution and connectivity. Molecules 2024, 29, 5432. [Google Scholar] [CrossRef]
- Zhang, Q.; Yu, J.; Corma, A. Applications of zeolites to C1 chemistry: Recent advances, challenges, and opportunities. Adv. Mater. 2020, 32, 2002927. [Google Scholar] [CrossRef]
- del Campo, P.; Martínez, C.; Corma, A. Activation and conversion of alkanes in the confined space of zeolite-type materials. Chem. Soc. Rev. 2021, 50, 8511–8595. [Google Scholar] [CrossRef]
- Palčić, A.; Valtchev, V. Analysis and control of acid sites in zeolites. Appl. Catal. A 2020, 606, 117795. [Google Scholar] [CrossRef]
- Wang, Y.; Tong, C.; Liu, Q.; Han, R.; Liu, C. Intergrowth zeolites, synthesis, characterization, and catalysis. Chem. Rev. 2023, 123, 11664–11721. [Google Scholar] [CrossRef]
- He, Y.; Chen, J.; Li, D.; Zhang, Q.; Liu, D.; Liu, J.; Ma, X.; Wang, T. Efficient production of aromatics by catalytic pyrolysis of fruit waste over zeolites with 3D pore topologies. Energy 2021, 223, 120046. [Google Scholar] [CrossRef]
- Hu, Z.; Wu, T.; Xie, H.; Zhang, Y.; Ge, S.; Wu, Z. Synthesis and consequence of three-dimensionally ordered macroporous Beta zeolite supported NiW catalyst for efficient hydrocracking of 1-methylnaphthalene to BTX. Chem. Eng. J. 2024, 499, 155761. [Google Scholar] [CrossRef]
- Kostyniuk, A.; Bajec, D.; Likozar, B. Hydrocracking, hydrogenation and isomerization of model biomass tar in a packed bed reactor over bimetallic NiMo zeolite catalysts: Tailoring structure/acidity. Appl. Catal. A 2021, 612, 118004. [Google Scholar] [CrossRef]
- Cui, W.; Zhu, D.; Tan, J.; Chen, N.; Fan, D.; Wang, J.; Han, J.; Wang, L.; Tian, P.; Liu, Z. Synthesis of mesoporous high-silica zeolite Y and their catalytic cracking performance. Chin. J. Catal. 2022, 43, 1945–1954. [Google Scholar] [CrossRef]
- Zang, J.; Yu, H.; Liu, G.; Hong, M.; Liu, J.; Chen, T. Research progress on modifications of zeolite Y for improved catalytic properties. Inorganics 2023, 11, 22. [Google Scholar] [CrossRef]
- Komvokis, V.G.; Karakoulia, S.; Iliopoulou, E.F.; Papapetrou, M.C.; Vasalos, I.A.; Lappas, A.A.; Triantafyllidis, K.S. Upgrading of Fischer–Tropsch synthesis bio-waxes via catalytic cracking: Effect of acidity, porosity and metal modification of zeolitic and mesoporous aluminosilicate catalysts. Catal. Today 2012, 196, 42–55. [Google Scholar] [CrossRef]
- Li, Y.; Liu, N.; Shi, L.; Wang, X.; Meng, X. Enhancing aniline condensation reaction efficiency using alkali and rare earth element modified USY zeolite catalyst: Synergistic effects and mechanistic insights. Ind. Eng. Chem. Res. 2024, 63, 17477–17491. [Google Scholar] [CrossRef]
- Zhan, W.; Guo, Y.; Gong, X.; Guo, Y.; Wang, Y.; Lu, G. Current status and perspectives of rare earth catalytic materials and catalysis. Chin. J. Catal. 2014, 35, 1238–1250. [Google Scholar] [CrossRef]
- Chen, N.; Garwood, W. Industrial application of shape-selective catalysis. Catal. Rev. Sci. Eng. 1986, 28, 185–264. [Google Scholar] [CrossRef]
- Li, J.; Gao, M.; Yan, W.; Yu, J. Regulation of the Si/Al ratios and Al distributions of zeolites and their impact on properties. Chem. Sci. 2023, 14, 1935–1959. [Google Scholar] [CrossRef] [PubMed]
- Tian, Y.; He, X.; Chen, X.; Qiao, C.; Wang, H.; Diao, Z.; Liu, G. Transition metal modified hierarchical ZSM-5 nanosheet for catalytic cracking of n-pentane to light olefins. Fuel 2024, 363, 130902. [Google Scholar] [CrossRef]
- Liu, H.; Ma, J.; Yuan, H.; Shi, X. Catalytic cracking of oleic acid to generate aviation kerosene using platinum–modified ZSM–5 nanosheets. J. Chem. Technol. Biotechnol. 2024, 99, 2259–2269. [Google Scholar] [CrossRef]
- Wang, F.; Ge, H.; Guo, M.; Zhang, P.; Guo, S.; Tang, M. Hydrocracking of tetrahydronaphthalene for preparation of benzene and alkylbenzene catalyzed by Mo/Beta sulfide catalyst. Ind. Eng. Chem. Res. 2024, 63, 21708–21718. [Google Scholar] [CrossRef]
- Dong, Q.; Li, R.; Jiao, H. Zeolite catalysts for selective hydrocracking of polycyclic aromatic hydrocarbons—Structures and mechanisms. ChemCatChem 2024, 16, e202400117. [Google Scholar] [CrossRef]
- Kadja, G.T.M.; Ilmi, M.M.; Azhari, N.J.; Khalil, M.; Fajar, A.T.N.; Subagjo; Makertihartha, I.G.B.N.; Gunawan, M.L.; Rasrendra, C.B.; Wenten, I.G. Recent advances on the nanoporous catalysts for the generation of renewable fuels. J. Mater. Res. Technol. 2022, 17, 3277–3336. [Google Scholar] [CrossRef]
- Costa, C.S.; Dao Thi, H.; Van Geem, K.M.; Rosário Ribeiro, M.; Silva, J.M. Assessment of acidity and the zeolite porous structure on hydrocracking of HDPE. Sustain. Energy Fuels 2022, 6, 3611–3625. [Google Scholar] [CrossRef]
- Hebisch, K.L.; Chmielniak, P.A.; Cutler, V.A.; Watson, R.B.; Gołąbek, K.; Sievers, C. Promoting role of residual organic structure directing agent in skeletal butene isomerization over ferrierite. J. Catal. 2025, 441, 115847. [Google Scholar] [CrossRef]
- Mäki-Arvela, P.; Kaka khel, T.A.; Azkaar, M.; Engblom, S.; Murzin, D.Y. Catalytic hydroisomerization of long-chain hydrocarbons for the production of fuels. Catalysts 2018, 8, 534. [Google Scholar] [CrossRef]
- Liu, X.; Huang, S.; Liu, Y.; Liu, H.; Zhang, X.; Lv, J.; Qi, J.; Wang, Y.; Wang, S.; Ma, X. Enhanced catalytic performance of ferrierite zeolites via finned morphology for carbonylation of dimethyl ether. Chem. Eng. Sci. 2024, 297, 120247. [Google Scholar] [CrossRef]
- Hussain, H.M.; Mohammed, A.A. Experimental study of Iraqi light naphtha isomerization over Ni-Pt/H-mordenite. Iraqi J. Chem. Pet. Eng. 2019, 20, 61–66. [Google Scholar] [CrossRef]
- Blay, V.; Louis, B.; Miravalles, R.; Yokoi, T.; Peccatiello, K.A.; Clough, M.; Yilmaz, B. Engineering zeolites for catalytic cracking to light olefins. ACS Catal. 2017, 7, 6542–6566. [Google Scholar] [CrossRef]
- Maghrebi, R.; Buffi, M.; Bondioli, P.; Chiaramonti, D. Isomerization of long-chain fatty acids and long-chain hydrocarbons: A review. Renew. Sustain. Energy Rev. 2021, 149, 111264. [Google Scholar] [CrossRef]
- Liu, Q.; Yang, Z.; Chen, Z.; Xiao, P.; Ge, Y.; Piao, Y.; Gong, Y. Hydrothermally Ce modified HZSM-5 zeolite enhancing its strong acidity and Brønsted/Lewis acid ratio: Stably boosting ethylene/propylene ratio for cracking n-heptane. Fuel 2024, 368, 131632. [Google Scholar] [CrossRef]
- Qureshi, Z.S.; Siddiqui, M.A.; Tanimu, A.; Aitani, A.; Akah, A.C.; Xu, Q.; AlHerz, M. Steam catalytic cracking of crude oil over novel hierarchical zeolite–containing mesoporous silica–alumina core-shell catalysts. J. Anal. Appl. Pyrolysis 2022, 166, 105621. [Google Scholar] [CrossRef]
- Feng, R.; Liu, S.; Bai, P.; Qiao, K.; Wang, Y.; Al-Megren, H.A.; Rood, M.J.; Yan, Z. Preparation and characterization of γ-Al2O3 with rich Brønsted acid sites and its application in the fluid catalytic cracking process. J. Phys. Chem. C 2014, 118, 6226–6234. [Google Scholar] [CrossRef]
- Suzuki, K.; Katada, N.; Niwa, M. Detection and quantitative measurements of four kinds of OH in HY zeolite. J. Phys. Chem. C 2007, 111, 894–900. [Google Scholar] [CrossRef]
- Dedecek, J.; Sklenak, S.; Li, C.; Gao, F.; Brus, J.; Zhu, Q.; Tatsumi, T. Effect of Al/Si substitutions and silanol nests on the local geometry of Si and Al framework sites in silicone-rich zeolites: A combined high resolution 27Al and 29Si NMR and density functional theory/molecular mechanics study. J. Phys. Chem. C 2009, 113, 14454–14466. [Google Scholar] [CrossRef]
- Huang, Z.; Li, Q.; Mo, Z.; Song, L. Study on the Bronsted acidity of Y zeolite by density fhnctional theory. Petrochem. Technol. Appl. 2014, 32, 398–403. [Google Scholar]
- Alrawi, U. Hydroconversion of n-Hexane over Platinum Supported Zeolite Catalysts Prepared by Super Critical Technique. Ph.D. Thesis, Nahrain University, Baghdad, Iraq, 2008. [Google Scholar]
- Batool, S.R.; Sushkevich, V.L.; van Bokhoven, J.A. Correlating Lewis acid activity to extra-framework aluminum species in zeolite Y introduced by Ion-exchange. J. Catal. 2022, 408, 24–35. [Google Scholar] [CrossRef]
- Ji, B.; Wu, T.; Zhou, K.; Yan, Y.; Li, S. Progresses in research for hydrocracking mechanism and catalysts of polycyclic aromatic hydrocarbons. Petrochem. Technol. 2016, 45, 1263–1271. [Google Scholar]
- Guo, Q.; Deng, Y.; Duan, A.; Zhao, Z.; Niu, H. Research advance on hydrocracking technology and the relative catalysts. Ind. Catal. 2011, 19, 21–27. [Google Scholar]
- Arribas, M.A.; Martinez, A. The influence of zeolite acidity for the coupled hydrogenation and ring opening of 1-methylnaphthalene on Pt/USY catalysts. Appl. Catal. A 2002, 230, 203–217. [Google Scholar] [CrossRef]
- Liu, Y.; Yan, L.; Bai, Y.; Li, F. Catalytic upgrading of volatile from coal pyrolysis over faujasite zeolites. J. Anal. Appl. Pyrolysis 2018, 132, 184–189. [Google Scholar] [CrossRef]
- Lemberton, J.L.; Guisnet, M. Phenanthrene hydroconversion as a potential test reaction for the hydrogenating and cracking properties of coal hydroliquefaction catalysts. Appl. Catal. 1984, 13, 181–192. [Google Scholar] [CrossRef]
- Nakano, F.; Goma, T.; Suganuma, S.; Tsuji, E.; Katada, N. Selective dealkylation of alkyl polycyclic aromatic hydrocarbons towards innovative upgrading process of practical heavy oil. Catal. Sci. Technol. 2021, 11, 239–249. [Google Scholar] [CrossRef]
- Hiramatsu, Y.; Aita, Y.; Umeki, T. Effect of acid properties of catalysts on fluid catalytic cracking of residual oil. J. Jpn. Pet. Inst. 2012, 55, 319–325. [Google Scholar] [CrossRef][Green Version]
- Graça, I.; Fernandes, A.; Lopes, J.M.; Ribeiro, M.F.; Laforge, S.; Magnoux, P.; Ramôa Ribeiro, F. Effect of phenol adsorption on HY zeolite for n-heptane cracking: Comparison with methylcyclohexane. Appl. Catal. A 2010, 385, 178–189. [Google Scholar] [CrossRef]
- Fritz, P.O.; Lunsford, J.H. The effect of sodium poisoning on dealuminated Y-type zeolites. J. Catal. 1989, 118, 85–98. [Google Scholar] [CrossRef]
- Lónyi, F.; Lunsford, J.H. The development of strong acidity in hexafluorosilicate-modified Y-type zeolites. J. Catal. 1992, 136, 566–577. [Google Scholar] [CrossRef]
- Beyerlein, R.; McVicker, G.; Yacullo, L.; Ziemiak, J. The influence of framework and nonframework aluminum on the acidity of high-silica, proton-exchanged FAU-framework zeolites. J. Phys. Chem. 1988, 92, 1967–1970. [Google Scholar] [CrossRef]
- Olson, D.; Haag, W.; Lago, R. Chemical and physical properties of the ZSM-5 substitutional series. J. Catal. 1980, 61, 390–396. [Google Scholar] [CrossRef]
- Haag, W.; Lago, R.; Weisz, P. The active site of acidic aluminosilicate catalysts. Nature 1984, 309, 589–591. [Google Scholar] [CrossRef]
- Xue, N.; Vjunov, A.; Schallmoser, S.; Fulton, J.L.; Sanchez-Sanchez, M.; Hu, J.Z.; Mei, D.; Lercher, J.A. Hydrolysis of zeolite framework aluminum and its impact on acid catalyzed alkane reactions. J. Catal. 2018, 365, 359–366. [Google Scholar] [CrossRef]
- Ji, Y.; Yang, H.; Yan, W. Effect of alkali metal cations modification on the acid/basic properties and catalytic activity of ZSM-5 in cracking of supercritical n-dodecane. Fuel 2019, 243, 155–161. [Google Scholar] [CrossRef]
- Bai, Y.; Liu, D.; Zhao, L.; Gao, J.; Xu, C.; Pang, H.; Gao, X. Tuning the concentrations of acid sites on ZSM-5 zeolite for improving light olefin production in catalytic pyrolysis of paraffin. Ind. Eng. Chem. Res. 2022, 61, 15842–15855. [Google Scholar]
- Peng, Z.; Zheng, J.; Zhang, J.-y.; Huan, W.; Qin, Y.-c.; Liu, H.-h.; Song, L.-j. Insight into reaction path and mechanism of catalytic cracking of n-hexane in HZSM-5 zeolites. J. Fuel Chem. Technol. 2021, 49, 1522–1530. [Google Scholar]
- Xue, Y.; Li, J.; Wang, P.; Cui, X.; Zheng, H.; Niu, Y.; Dong, M.; Qin, Z.; Wang, J.; Fan, W. Regulating Al distribution of ZSM-5 by Sn incorporation for improving catalytic properties in methanol to olefins. Appl. Catal. B 2021, 280, 119391. [Google Scholar] [CrossRef]
- Liu, P.; Yao, Y.; Zhang, X.; Wang, J. Rare earth metals ion-exchanged β-zeolites as supports of platinum catalysts for hydroisomerization of n-Heptane. Chin. J. Chem. Eng. 2011, 19, 278–284. [Google Scholar] [CrossRef]
- Yang, H.; Han, T.; Yang, W.; Sandström, L.; Jönsson, P.G. Influence of the porosity and acidic properties of aluminosilicate catalysts on coke formation during the catalytic pyrolysis of lignin. J. Anal. Appl. Pyrolysis 2022, 165, 105536. [Google Scholar] [CrossRef]
- Crespo, I.; Hertzog, J.; Carré, V.; Aubriet, F.; Valle, B. Alumina-embedded HZSM-5 with enhanced behavior for the catalytic cracking of biomass pyrolysis bio-oil: Insights into the role of mesoporous matrix in the deactivation by coke. J. Anal. Appl. Pyrolysis 2023, 172, 106009. [Google Scholar] [CrossRef]
- Hou, Y.; Bai, Z.; Lu, H.; Feng, Z.; Zhang, T.; Jia, Y.; Guo, Z.; Kong, L.; Bai, J.; Li, W. In-situ catalytic upgrading of Hami coal pyrolysis volatiles over acid-modified kaolin. Fuel 2023, 331, 125660. [Google Scholar] [CrossRef]
- Wang, G.; Liu, Y.; Zheng, J.; Pan, M.; Zhang, H.; Li, B.; Yuan, S.; Yi, Y.; Tian, H.; Li, R. Zeolite–zeolite composite fabricated by polycrystalline Y zeolite crystals parasitizing ZSM-5 zeolite. J. Mater. Res. 2015, 30, 2434–2446. [Google Scholar] [CrossRef]
- Kamil, M.S.M.; Cheralathan, K.K. Facile synthesis of hydrothermally stable mesoporous ZSM-5 zeolite from Al- SBA-16 via steam assisted crystallization. J. Porous Mater. 2020, 27, 587–601. [Google Scholar] [CrossRef]
- Jiang, H.; Guan, B.; Lin, H.; Huang, Z. Cu/SSZ-13 zeolites prepared by in situ hydrothermal synthesis method as NH3-SCR catalysts: Influence of the Si/Al ratio on the activity and hydrothermal properties. Fuel 2019, 255, 115587. [Google Scholar] [CrossRef]
- Jonscher, C.; Seifert, M.; Kretzschmar, N.; Marschall, M.S.; Le Anh, M.; Doert, T.; Busse, O.; Weigand, J.J. Origin of morphology change and effect of crystallization time and Si/Al ratio during synthesis of zeolite ZSM-5. ChemCatChem 2022, 14, e202101248. [Google Scholar] [CrossRef]
- Li, X.; Han, S.; Xu, J.; Jiang, N. Green synthesis of nano-H-ZSM-5 zeolite single-crystal aggregates via an in situ reconstruction of the topology of natural clay. Microporous Mesoporous Mater. 2023, 350, 112441. [Google Scholar] [CrossRef]
- Lee, H.C.; Woo, H.C.; Ryoo, R.; Lee, K.H.; Lee, J.S. Skeletal isomerization of n-butenes to isobutene over acid-treated natural clinoptilolite zeolites. Appl. Catal. A 2000, 196, 135–142. [Google Scholar] [CrossRef]
- Maher, P.K.; Mcdaniel, C.V. Preparation of Thermal Stable Synthetic Zeolites. US3518051A, 30 June 1970. [Google Scholar]
- Yurtaeva, A.S.; Sorokina, T.P.; Plekhova, K.S.; Potapenko, O.V.; Gulyaeva, T.I.; Talsi, V.P.; Doronin, V.P. Effect of modification conditions on the physicochemical characteristics of Y zeolite as a component of a petrochemical cracking catalyst. Pet. Chem. 2021, 61, 325–331. [Google Scholar] [CrossRef]
- Beyerlein, R.A.; McVicker, G.B. Defect structure and acid catalysis of high silica, FAU-framework zeolites: Effects of aluminum removal and of basic metal oxide addition. Stud. Surf. Sci. Catal. 2001, 134, 3–40. [Google Scholar]
- López-Fonseca, R.; de Rivas, B.; Gutiérrez-Ortiz, J.I.; Aranzabal, A.; González-Velasco, J.R. Enhanced activity of zeolites by chemical dealumination for chlorinated VOC abatement. Appl. Catal. B 2003, 41, 31–42. [Google Scholar] [CrossRef]
- Wang, W.; Liu, B.; Gao, S.; Li, M. A modified molecular sieve Y for hydrocracking. J. Fuel Chem. Technol. 2009, 37, 454–458. [Google Scholar]
- Wang, Q.L.; Giannetto, G.; Guisnet, M. Dealumination of zeolites III. Effect of extra-framework aluminum species on the activity, selectivity, and stability of Y zeolites in n-heptane cracking. J. Catal. 1991, 130, 471–482. [Google Scholar] [CrossRef]
- Qin, W.; Zhou, Y.; Rimer, J.D. Deleterious effects of non-framework Al species on the catalytic performance of ZSM-5 crystals synthesized at low temperature. React. Chem. Eng. 2019, 4, 1957–1968. [Google Scholar] [CrossRef]
- Yu, Q.; Sun, H.; Sun, H.; Li, L.; Zhu, X.; Ren, S.; Guo, Q.; Shen, B. Highly mesoporous IM-5 zeolite prepared by alkaline treatment and its catalytic cracking performance. Microporous Mesoporous Mater. 2019, 273, 297–306. [Google Scholar] [CrossRef]
- Tarach, K.; Góra-Marek, K.; Tekla, J.; Brylewska, K.; Datka, J.; Mlekodaj, K.; Makowski, W.; Igualada López, M.C.; Martínez Triguero, J.; Rey, F. Catalytic cracking performance of alkaline-treated zeolite Beta in the terms of acid sites properties and their accessibility. J. Catal. 2014, 312, 46–57. [Google Scholar] [CrossRef]
- Epelde, E.; Santos, J.I.; Florian, P.; Aguayo, A.T.; Gayubo, A.G.; Bilbao, J.; Castaño, P. Controlling coke deactivation and cracking selectivity of MFI zeolite by H3PO4 or KOH modification. Appl. Catal. A 2015, 505, 105–115. [Google Scholar] [CrossRef]
- Guo, L.; Cui, Y.; Li, H.; Fang, Y.; Prasert, R.; Wu, J.; Yang, G.; Yoneyama, Y.; Tsubaki, N. Selective formation of linear-alpha olefins (LAOs) by CO2 hydrogenation over bimetallic Fe/Co-Y catalyst. Catal. Commun. 2019, 130, 105759. [Google Scholar] [CrossRef]
- Danilova, I.G.; Dik, P.P.; Sorokina, T.P.; Gabrienko, A.A.; Kazakov, M.O.; Paukshtis, E.A.; Doronin, V.P.; Klimov, O.V.; Noskov, A.S. Effect of rare earths on acidity of high-silica ultrastable REY zeolites and catalytic performance of NiMo/REY+Al2O3 catalysts in vacuum gas oil hydrocracking. Microporous Mesoporous Mater. 2022, 329, 111547. [Google Scholar] [CrossRef]
- Moon, G.-h.; Bähr, A.; Tüysüz, H. Structural engineering of 3D carbon materials from transition metal ion-exchanged Y zeolite templates. Chem. Mater. 2018, 30, 3779–3788. [Google Scholar] [CrossRef]
- Hu, Z.; Hu, P.; Wang, X.; Wu, T.; Ge, S.; Xie, H.; Liu, B.; Chen, S.; Wu, Z. Selective hydrocracking of 1-methylnaphthalene to benzene/toluene/xylenes (BTX) over NiW/Beta bifunctional catalyst: Effects of metal–acid balance. Fuel 2024, 363, 130947. [Google Scholar] [CrossRef]
- Cao, Z.; Zhang, X.; Guo, R.; Ding, S.; Mei, J.; Wang, X.; Zheng, P.; Fan, J.; Xu, C.; Duan, A. Oriented hydrocracking of naphthalene into high-value light aromatics over difunctional catalysts: Effect of hydrogen spillover and utilization of hydroreaction characteristics for different active metals. ACS Catal. 2020, 10, 12342–12353. [Google Scholar] [CrossRef]
- Wu, T.; Chen, S.-L.; Yuan, G.-m.; Pan, X.; Du, J.; Zhang, Y.; Zhang, N. High metal–acid balance and selective hydrogenation activity catalysts for hydrocracking of 1-Methylnaphthalene to benzene, toluene, and xylene. Ind. Eng. Chem. Res. 2020, 59, 5546–5556. [Google Scholar] [CrossRef]
- Buchanan, J.S.; Santiesteban, J.G.; Haag, W.O. Mechanistic considerations in acid-catalyzed cracking of olefins. J. Catal. 1996, 158, 279–287. [Google Scholar] [CrossRef]
- Weitkamp, J.; Jacobs, P.A.; Martens, J.A. Isomerization and hydrocracking of C9 through C16 n-alkanes on Pt/HZSM-5 zeolite. Appl. Catal. 1983, 8, 123–141. [Google Scholar] [CrossRef]
- Chiarello, L.M.; Porto, T.G.; Wienhage, G.H.; Botton, V.; Wiggers, V.R. Pyrolysis of triglycerides for fuels and chemical production. In Handbook of Biomass Valorization for Industrial Applications; Wiley: Hoboken, NJ, USA, 2022; pp. 107–128. [Google Scholar]
- Ortega Garcia, F.; Muñoz Arroyo, J.; Flores Sánchez, P.; Mar Juárez, E.; Dominguez Esquivel, J. Hydrocracking kinetics of a heavy crude oil on a liquid catalyst. Energy Fuels 2017, 31, 6794–6799. [Google Scholar] [CrossRef]
- Zhang, N.; Ma, J.; Li, R.; Jiao, H. Hydrocracking of fused aromatic hydrocarbons catalyzed by Al-substituted HZSM-5—A case study of 9,10-dihydroanthracene. ACS Catal. 2020, 10, 9215–9226. [Google Scholar] [CrossRef]
- Epa, U. Polycyclic Aromatic Hydrocarbons (PAHs)-EPA Fact Sheet. Available online: https://archive.epa.gov/epawaste/hazard/wastemin/web/pdf/pahs.pdf (accessed on 5 April 2025).
- Choi, Y.; Lee, J.; Shin, J.; Lee, S.; Kim, D.; Lee, J.K. Selective hydroconversion of naphthalenes into light alkyl-aromatic hydrocarbons. Appl. Catal. A 2015, 492, 140–150. [Google Scholar] [CrossRef]
- Corma, A.; González-Alfaro, V.; Orchillés, A.V. Decalin and tetralin as probe molecules for cracking and hydrotreating the light cycle oil. J. Catal. 2001, 200, 34–44. [Google Scholar] [CrossRef]
- Fan, H.; Han, B.; Jiang, T.; Guo, J.; Wang, Q.; Cheng, Y.; Wu, S. Hydrocracking of anthracene to ethyl biphenyl promoted by coupling supercritical water and cracking catalysts. ChemCatChem 2011, 3, 1474–1479. [Google Scholar] [CrossRef]
- Pinilla, J.; Arcelus-Arrillaga, P.; Puron, H.; Millan, M. Reaction pathways of anthracene selective catalytic steam cracking using a NiK/Al2O3 catalyst. Fuel 2013, 109, 303–308. [Google Scholar] [CrossRef]
- Beltramone, A.R.; Resasco, D.E.; Alvarez, W.E.; Choudhary, T.V. Simultaneous hydrogenation of multiring aromatic compounds over NiMo catalyst. Ind. Eng. Chem. Res. 2008, 47, 7161–7166. [Google Scholar] [CrossRef]
- Korre, S.C.; Klein, M.T.; Quann, R.J. Polynuclear aromatic hydrocarbons hydrogenation. 1. Experimental reaction pathways and kinetics. Ind. Eng. Chem. Res. 1995, 34, 101–117. [Google Scholar] [CrossRef]
- Qian, W.; Yoda, Y.; Hirai, Y.; Ishihara, A.; Kabe, T. Hydrodesulfurization of dibenzothiophene and hydrogenation of phenanthrene on alumina-supported Pt and Pd catalysts. Appl. Catal. A 1999, 184, 81–88. [Google Scholar] [CrossRef]
- Celis-Cornejo, C.M.; Pérez-Martínez, D.J.; Orrego-Ruiz, J.A.; Baldovino-Medrano, V.G. Identification of refractory weakly basic nitrogen compounds in a deeply hydrotreated vacuum gas oil and assessment of the effect of some representative species over the performance of a Ni–MoS2/y-zeolite–alumina catalyst in phenanthrene hydrocracking. Energy Fuels 2018, 32, 8715–8726. [Google Scholar] [CrossRef]
- Lv, P.; Yan, L.; Liu, Y.; Wang, M.; Bao, W.; Li, F. Catalytic conversion of coal pyrolysis vapors to light aromatics over hierarchical Y-type zeolites. J. Energy Inst. 2020, 93, 1354–1363. [Google Scholar] [CrossRef]
- Jentoft, F.C.; Gates, B.C. Solid-acid-catalyzed alkane cracking mechanisms: Evidence from reactions of small probe molecules. Top. Catal. 1997, 4, 1–13. [Google Scholar] [CrossRef]
- Lin, L.F.; Zhao, S.F.; Zhang, D.W.; Fan, H.; Liu, Y.M.; He, M.Y. Acid strength controlled reaction pathways for the catalytic cracking of 1-Pentene to propene over ZSM-5. ACS Catal. 2015, 5, 4048–4059. [Google Scholar] [CrossRef]
- Meusinger, J.; Corma, A. Influence of zeolite composition and structure on hydrogen transfer reactions from hydrocarbons and from hydrogen. J. Catal. 1996, 159, 353–360. [Google Scholar] [CrossRef]
- Cumming, K.A.; Wojciechowski, B.W. Hydrogen transfer, coke formation, and catalyst decay and their role in the chain mechanism of catalytic cracking. Catal. Rev. 1996, 38, 101–157. [Google Scholar] [CrossRef]
- Kissin, Y.V. Chemical mechanisms of catalytic cracking over solid acidic catalysts: Alkanes and alkenes. Catal. Rev. 2001, 43, 85–146. [Google Scholar] [CrossRef]
- Flinn, R.; Larson, O.; Beuther, H. The mechanism of catalytic hydrocracking. Ind. Eng. Chem. 1960, 52, 153–156. [Google Scholar] [CrossRef]
- Abbot, J.; Wojciechowski, B. Catalytic reactions of branched paraffins on HY zeolite. J. Catal. 1988, 113, 353–366. [Google Scholar] [CrossRef]
- Greensfelder, B.; Voge, H.; Good, G. Catalytic and thermal cracking of pure hydrocarbons: Mechanisms of reaction. Ind. Eng. Chem. 1949, 41, 2573–2584. [Google Scholar] [CrossRef]
- Nace, D.M. Catalytic cracking over crystalline aluminosilicates. II. Application of microreactor technique to investigation of structural effects of hydrocarbon reactants. Ind. Eng. Chem. Prod. Res. Dev. 1969, 8, 31–38. [Google Scholar] [CrossRef]
- Thomas, C.L. Chemistry of cracking catalysts. Ind. Eng. Chem. 1949, 41, 2564–2573. [Google Scholar] [CrossRef]
- Thivasasith, A.; Maihom, T.; Pengpanich, S.; Wattanakit, C. Nanocavity effects of various zeolite frameworks on n-pentane cracking to light olefins: Combination studies of DFT calculations and experiments. Phys. Chem. Chem. Phys. 2019, 21, 22215–22223. [Google Scholar] [CrossRef]
- Chen, D.; Liu, D.; Wei, J.; Bai, Y.; Zhao, L.; Gao, J.; Xu, C. The effect of acid strength on the mechanism of catalytic pyrolysis reaction of n-hexane in ZSM5: A DFT study. Appl. Catal. A 2023, 665, 119389. [Google Scholar] [CrossRef]
- Wu, Y.; Wang, X.; Song, Q.; Zhao, L.; Su, H.; Li, H.; Zeng, X.; Zhao, D.; Xu, J. The effect of temperature and pressure on n-heptane thermal cracking in regenerative cooling channel. Combust. Flame 2018, 194, 233–244. [Google Scholar] [CrossRef]
- Fu, J.; Feng, X.; Liu, Y.; Shan, H.; Yang, C. Mechanistic insights into the pore confinement effect on bimolecular and monomolecular cracking mechanisms of n-octane over HY and HZSM-5 zeolites: A DFT study. J. Phys. Chem. C 2018, 122, 12222–12230. [Google Scholar] [CrossRef]
- Burnens, G.; Bouchy, C.; Guillon, E.; Martens, J.A. Hydrocracking reaction pathways of 2,6,10,14-tetramethylpentadecane model molecule on bifunctional silica–alumina and ultrastable Y zeolite catalysts. J. Catal. 2011, 282, 145–154. [Google Scholar] [CrossRef]
- Zhao, W.; Liu, L.; Niu, X.; Yang, X.; Sun, J.; Wang, Q. Reaction pathways control of long-chain alkanes hydroisomerization and hydrocracking via tailoring the metal-acid sites intimacy. Fuel 2023, 349, 128703. [Google Scholar] [CrossRef]
- Ancheyta, J.; Speight, J.G. Hydroprocessing of Heavy Oils and Residua; CRC Press: Boca Raton, FL, USA, 2007. [Google Scholar]
- Li, J.; Yang, Z.; Deng, G.; Yang, F.; Wang, S.; Tang, X. In-situ hydrothermal upgrading and mechanism of heavy oil with nano-Fe2O3 in the porous media. J. Anal. Appl. Pyrolysis 2024, 183, 106757. [Google Scholar] [CrossRef]
- Abdelsalam, Y.I.I.; Galiakhmetova, L.K.; Sharifullin, A.V.; Tajik, A.; Mukhamatdinova, R.E.; Davletshin, R.R.; Vakhin, A.V. Comparative study of the catalytic effects of Al(CH3COO)₃ and Al₂(SO₄)₃ on heavy oil aquathermolysis in CO2 and N2 atmospheres. Appl. Catal. A 2025, 699, 120247. [Google Scholar] [CrossRef]
- Imanbayev, Y.; Tileuberdi, Y.; Ongarbayev, Y.; Mansurov, Z.; Batyrbayev, A.; Akkazin, Y.; Krivtsov, E.; Golovko, A.; Rudyk, S. Changing the Structure of Resin-Asphaltenes Molecules in Cracking. Eurasian Chem.-Technol. J. 2017, 19, 147–154. [Google Scholar] [CrossRef]
- Fusheng, O.; Yongqian, W.; Qiao, L. A lumped kinetic model for heavy oil catalytic cracking FDFCC process. Pet. Sci. Technol. 2016, 34, 335–342. [Google Scholar] [CrossRef]
- Voronetskaya, N.; Pevneva, G. Structural transformations of heavy oil resins and asphaltenes upon thermal cracking. Solid Fuel Chem. 2021, 55, 165–170. [Google Scholar] [CrossRef]
- Yang, J.P. Study of catalytic cracking of asphaltene in near-critical water. Adv. Mater. Res. 2014, 860, 1021–1025. [Google Scholar] [CrossRef]
- Lee, K.; Lee, S.; Jun, Y.; Choi, M. Cooperative effects of zeolite mesoporosity and defect sites on the amount and location of coke formation and its consequence in deactivation. J. Catal. 2017, 347, 222–230. [Google Scholar] [CrossRef]
- Etim, U.J.; Bai, P.; Liu, X.; Subhan, F.; Ullah, R.; Yan, Z. Vanadium and nickel deposition on FCC catalyst: Influence of residual catalyst acidity on catalytic products. Microporous Mesoporous Mater. 2019, 273, 276–285. [Google Scholar] [CrossRef]
- Feng, B.; Wei, Y.-C.; Song, W.-Y.; Xu, C.-M. A review on the structure-performance relationship of the catalysts during propane dehydrogenation reaction. Pet. Sci. 2022, 19, 819–838. [Google Scholar] [CrossRef]
- Bibby, D.M.; Howe, R.F.; McLellan, G.D. Coke formation in high-silica zeolites. Appl. Catal. A 1992, 93, 1–34. [Google Scholar] [CrossRef]
- Wang, C.; Leng, S.; Guo, H.; Cao, L.; Huang, J. Acid and alkali treatments for regulation of hydrophilicity/hydrophobicity of natural zeolite. Appl. Surf. Sci. 2019, 478, 319–326. [Google Scholar] [CrossRef]
- Ogura, M.; Shinomiya, S.-Y.; Tateno, J.; Nara, Y.; Nomura, M.; Kikuchi, E.; Matsukata, M. Alkali-treatment technique—New method for modification of structural and acid-catalytic properties of ZSM-5 zeolites. Appl. Catal. A 2001, 219, 33–43. [Google Scholar] [CrossRef]
- Zhao, L.; Shen, B.; Gao, J.; Xu, C. Investigation on the mechanism of diffusion in mesopore structured ZSM-5 and improved heavy oil conversion. J. Catal. 2008, 258, 228–234. [Google Scholar] [CrossRef]
- Tao, Y.; Kanoh, H.; Abrams, L.; Kaneko, K. Mesopore-modified zeolites: Preparation, characterization, and applications. Chem. Rev. 2006, 106, 896–910. [Google Scholar] [CrossRef]
- Bi, C.; Wang, X.; You, Q.; Liu, B.; Li, Z.; Zhang, J.; Hao, Q.; Sun, M.; Chen, H.; Ma, X. Catalytic upgrading of coal pyrolysis volatiles by Ga-substituted mesoporous ZSM-5. Fuel 2020, 267, 117217. [Google Scholar] [CrossRef]
- Cao, W.; Li, Z.; Zhang, Y.; Fu, P. Hydrodeoxygenation of lignin phenol derivatives to aromatic hydrocarbons: A mini-review of metal/acid bifunctional catalysts. Energy Fuels 2024, 38, 23246–23267. [Google Scholar] [CrossRef]
- Shi, Y.; Xing, E.; Wu, K.; Wang, J.; Yang, M.; Wu, Y. Recent progress on upgrading of bio-oil to hydrocarbons over metal/zeolite bifunctional catalysts. Catal. Sci. Technol. 2017, 7, 2385–2415. [Google Scholar] [CrossRef]
- Idris, N.A.B. Catalytic Hydroprocessing of Fatty Acid to Renewable Diesel Using Lanthanum-Modified Zeolite-Based Catalysts; The University of Newcastle: Callaghan, Australia, 2022. [Google Scholar]
- Van der Mynsbrugge, J.; Bell, A.T. Challenges for the theoretical description of the mechanism and kinetics of reactions catalyzed by zeolites. J. Catal. 2021, 404, 832–849. [Google Scholar] [CrossRef]
- Lalsare, A.D.; Khan, T.S.; Leonard, B.; Vukmanovich, R.; Tavazohi, P.; Li, L.; Hu, J. Graphene-supported Fe/Ni, β-Mo2C nanoparticles: Experimental and DFT integrated approach to catalyst development for synergistic hydrogen production through lignin-rich biomass reforming and reduced shale gas flaring. ACS Catal. 2021, 11, 364–382. [Google Scholar] [CrossRef]
- Li, S.-C.; Lin, Y.-C.; Li, Y.-P. Understanding the catalytic activity of microporous and mesoporous zeolites in cracking by experiments and simulations. Catalysts 2021, 11, 1114. [Google Scholar] [CrossRef]
- He, X.; Tian, Y.; Qiao, C.; Liu, G. Acid-driven architecture of hierarchical porous ZSM–5 with high acidic quantity and its catalytic cracking performance. Chem. Eng. J. 2023, 473, 145334. [Google Scholar] [CrossRef]
- Bond, G.C. Supported metal catalysts: Some unsolved problems. Chem. Soc. Rev. 1991, 20, 441–475. [Google Scholar] [CrossRef]
- Kalz, K.F.; Kraehnert, R.; Dvoyashkin, M.; Dittmeyer, R.; Gläser, R.; Krewer, U.; Reuter, K.; Grunwaldt, J.-D. Future challenges in heterogeneous catalysis: Understanding catalysts under dynamic reaction conditions. ChemCatChem 2017, 9, 17–29. [Google Scholar] [CrossRef]
- Nørskov, J.K.; Bligaard, T.; Rossmeisl, J.; Christensen, C.H. Towards the computational design of solid catalysts. Nat. Chem. 2009, 1, 37–46. [Google Scholar] [CrossRef]
- Liu, C.; Li, G.; Hensen, E.J.; Pidko, E.A. Nature and catalytic role of extraframework aluminum in faujasite zeolite: A theoretical perspective. ACS Catal. 2015, 5, 7024–7033. [Google Scholar] [CrossRef]
- Pan, T.; Wu, Z.; Yip, A.C.K. Advances in the green synthesis of microporous and hierarchical zeolites: A short review. Catalysts 2019, 9, 274. [Google Scholar] [CrossRef]
- Mallette, A.J.; Seo, S.; Rimer, J.D. Synthesis strategies and design principles for nanosized and hierarchical zeolites. Nat. Synth. 2022, 1, 521–534. [Google Scholar] [CrossRef]
- Liu, X.; Wang, C.; Zhou, J.; Liu, C.; Liu, Z.; Shi, J.; Wang, Y.; Teng, J.; Xie, Z. Molecular transport in zeolite catalysts: Depicting an integrated picture from macroscopic to microscopic scales. Chem. Soc. Rev. 2022, 51, 8174–8200. [Google Scholar] [CrossRef] [PubMed]
- Schweitzer, J.-M.; Rey, J.; Bignaud, C.; Bucko, T.s.; Raybaud, P.; Moscovici-Mirande, M.; Portejoie, F.; James, C.; Bouchy, C.; Chizallet, C. Multiscale modeling as a tool for the prediction of catalytic performances: The case of n-heptane hydroconversion in a large-pore zeolite. ACS Catal. 2022, 12, 1068–1081. [Google Scholar] [CrossRef]
- Arribas, D. Surface-Catalysed Dehydrogenation and Aromatisation Reactions of Hydrocarbons; International Council on Mining and Metals: London, UK, 2024. [Google Scholar]
- Li, J.; Zheng, D.; Yao, Z.; Wang, S.; Xu, R.; Deng, S.; Chen, B.; Wang, J. Formation mechanism of monocyclic aromatic hydrocarbons during pyrolysis of styrene butadiene rubber in waste passenger car tires. ACS Omega 2022, 7, 42890–42900. [Google Scholar] [CrossRef] [PubMed]
- Jin, J.; Peng, C.; Wang, J.; Liu, H.; Gao, X.; Liu, H.; Xu, C. Facile synthesis of mesoporous zeolite Y with improved catalytic performance for heavy oil fluid catalytic cracking. Ind. Eng. Chem. Res. 2014, 53, 3406–3411. [Google Scholar] [CrossRef]
- Gutiérrez, A.; Arandes, J.M.; Castaño, P.; Olazar, M.; Bilbao, J. Preliminary studies on fuel production through LCO hydrocracking on noble-metal supported catalysts. Fuel 2012, 94, 504–515. [Google Scholar] [CrossRef]
- Xie, Y.; Zhang, Y.; He, L.; Jia, C.Q.; Yao, Q.; Sun, M.; Ma, X. Anti-deactivation of zeolite catalysts for residue fluid catalytic cracking. Appl. Catal. A 2023, 657, 119159. [Google Scholar] [CrossRef]
- Qazi, U.Y.; Javaid, R.; Ikhlaq, A.; Khoja, A.H.; Saleem, F. A comprehensive review on zeolite chemistry for catalytic conversion of biomass/waste into green fuels. Molecules 2022, 27, 8578. [Google Scholar] [CrossRef]







































| Sample | Typical Composition Range (wt%) | ||
|---|---|---|---|
| Asphaltene | Resin | Oil Fraction 1 | |
| Conventional oil | <0.1–12 | 3–22 | 67–97 |
| Heavy oil | 11–45 | 14–39 | 24–64 |
| Residue | 11–29 | 29–39 | <39 |
| The Main Upgrading Methods of Heavy Oil | Common Reactions | Is a Catalyst Required? | Common Catalysts | Reaction Temperature (℃) | Reaction Pressure | Advantage | Shortcoming |
|---|---|---|---|---|---|---|---|
| Thermal cracking technology [7,18,26,27,28] | C-C bond breaks to generate low-boiling-point small hydrocarbon molecules | No | None | 500–700 | Medium pressure (pressurized vessel) | The process is simple, the equipment investment is low, and no expensive catalyst is required | Poor reaction selectivity, wide product distribution, low light oil yield, easy generation of coke, resulting in coking of the reactor, affecting normal production operation |
| Catalytic cracking technology [29,30,31,32,33,34,35,36,37] | C-C bond cleavage and recombination to produce light oil products | Yes | Y-type zeolite, ZSM-5 zeolite | Relatively low (usually 400–600) | Normal pressure or low pressure | Avoid high-temperature coking, high product quality and stability, high light oil yield, wide application range | The catalyst cost is high, and pretreatment such as deasphalting and demetallization is required, which may produce a certain amount of coke |
| Hydrocracking technology [10,11,38,39,40,41,42,43] | Hydrogenation ring opening and C-C bond cleavage to produce light oil products | Yes | NiMo/Y zeolite, Pt/ZSM-5 zeolite | 300–450 | high pressure | Lower energy consumption, reduced impurity content (such as sulfur and nitrogen), improved oil quality, and reduced coke generation | High hydrogen consumption, large equipment investment, and optimizing catalyst stability and activity is challenging |
| Catalyst Type | Typical Catalysts | Main Benefits | Main Disadvantages |
|---|---|---|---|
| Mineral catalysts [44,45] | Clay minerals (such as montmorillonite, quartz, etc.) | 1. Abundant reserves; 2. large specific surface area; 3. many acid sites. | 1. The catalytic performance is limited by the reservoir temperature; 2. the activity is not as good as that of modern synthetic catalysts. |
| Water-soluble catalysts [46,47] | Metal ion catalysts (such as Ru, Fe, Mo, etc.) | 1. Low cost; 2. excellent laboratory performance; 3. can be used for desulfurization and viscosity reduction. | 1. They are difficult to fully contact with heavy oil; 2. the effect of industrial application is limited. |
| Oil-soluble catalysts [48,49,50,51,52] | Nickel sulfonate, molybdenum oleate, aromatic metal sulfonate complex | 1. Good compatibility with heavy oil; 2. highly efficient in reducing viscosity. | 1. Complex preparation; 2. high cost. |
| Dispersed catalysts [53,54] | Transition metal dispersions (such as Mo, Ni, Co-based catalysts) | 1. Large contact area; 2. effectively inhibit the diffusion of free radicals. | 1. Require complex dispersion and pretreatment; 2. there are problems with catalyst regeneration. |
| Solid acid catalysts [55] | Zeolites (such as ZSM-5, Y-type zeolite), superacids (such as SO42−/ZrO2) | 1. Strong acidity and high catalytic activity; 2. good selectivity, suitable for controlling product distribution; 3. can remove impurities and reduce viscosity. | 1. It is easy to coke and block the pores; 2. they are sensitive to metal impurities and easy to deactivate. |
| Bifunctional catalysts [56,57,58] | Metal + acidic support (such as Pd/Al2O3, Ni-Mo/Al2O3, ZSM-5-supported catalyst) | 1. They have both cracking and hydrogenation functions; 2. they improve product quality; 3. they have strong stability. | 1. Precious metal catalysts are susceptible to sulfur poisoning; 2. high requirements for raw material pretreatment. |
| Zeolite Type | Structure Type | Pore Structure and Pore Size | Characteristic | Main Applications |
|---|---|---|---|---|
| Y-type zeolite [87,88,89,90,91] | FAU | Three-dimensional macroporous structure, supercage pore size is about 1.2 nm, twelve-membered ring pore size is about 0.74 nm | 1. Macroporous structure, suitable for processing large molecular hydrocarbons; 2. strong acidity, promoting the breakage of C-C bonds; 3. modification can improve stability and anti-coking ability. | Mainly used in fluid catalytic cracking (FCC) process to process heavy oil macromolecular hydrocarbons and produce light oil products and low-carbon olefins |
| ZSM-5 zeolite [37,92,93,94,95] | MFI | Three-dimensional pore structure, ten-membered ring pore, pore diameter about 0.55 nm | 1. Excellent shape-selective catalytic performance, suitable for cracking and aromatization of light hydrocarbons; 2. high silicon–aluminum ratio, good thermal stability; 3. the introduction of a mesoporous structure can improve diffusion performance | The cracking reaction of long-chain alkanes produces low-carbon olefins and aromatics, which is especially suitable for processes with high selectivity requirements for target products |
| Beta zeolite [96,97] | BEA | Three-dimensional cross-macroporous structure, pore size about 0.66 nm | 1. Three-dimensional pore structure, suitable for the diffusion and reaction of macromolecular hydrocarbons; 2. strong acidity and high thermal stability; 3. after modification, the anti-deactivation ability can be improved | Heavy oil hydrocracking, cracking of polycyclic aromatic hydrocarbons to produce light oil products and low-carbon olefins |
| Ferrierite zeolite [98,99,100,101,102] | FER | Two-dimensional pore structure, ten-membered ring straight pore (about 0.54 nm), eight-membered ring cross pore (about 0.42 nm) | 1. Unique dual-channel structure, excellent shape-selective catalytic performance; 2. strong acidity, suitable for the reaction of small molecular hydrocarbons; 3. pore restriction has certain obstacles to the diffusion of large molecular hydrocarbons | Isomerization reaction of light hydrocarbons and cracking reaction of long-chain alkanes to produce branched alkanes and low-carbon olefins |
| Mordenite zeolite [81,103,104,105] | MOR | One-dimensional linear pore structure, pore diameter about 0.65 nm | 1. Strong acidity, promoting C-C bond breaking; 2. linear pore structure, poor diffusion performance; 3. easy to generate coke, leading to deactivation | Isomerization and cracking of long-chain alkanes to produce high-octane isomers and light olefins |
| Method Category | Specific Methods | Key Role | Advantages | Limitation | Application | |
|---|---|---|---|---|---|---|
| Hydrothermal synthesis method [136,137,138,139,140] | Crystallization under high temperature and high pressure using silicon source (sodium silicate, silica sol), aluminum source (sodium aluminate, aluminum sulfate), template (TPAOH), etc. | Construction of a zeolite framework with regular pore structure and acidic sites | 1. Controllable silicon–aluminum ratio and crystal size. 2. Applicable to various zeolites (such as Y-type, ZSM-5, Beta). 3. Adjustable acidity and pore morphology | 1. The template cost is high, and the environmental friendliness is poor. 2. The crystallization process is strongly affected by temperature and pH, and defects are prone to occur. | Preparation of Y-type zeolite for FCC catalytic cracking and ZSM-5 zeolite for light olefin production | |
| Post-treatment and modification methods | Dealumination treatment [141,142,143,144,145,146] | 1. Hydrothermal dealumination. 2. Chemical dealumination (acid treatment, chelating agent). 3. Composite dealumination | Improve the silicon–aluminum ratio, adjust the acid distribution, and reduce coke generation | 1. Reduce strong acid sites and extend catalyst life. 2. Improve thermal stability. 3. Composite dealumination balances framework stability and activity | 1. Excessive dealumination leads to structural collapse. 2. Hydrothermal dealumination increases non-framework aluminum, which may affect catalytic performance | Modified Y-type zeolite is used for vacuum wax oil cracking to increase the yield of light oil and low-carbon olefins |
| Acid treatment [147,148] | Use dilute acid (such as HCl, HNO3) to dissolve the aluminum element in the zeolite framework | Remove non-framework aluminum and excess acid sites to optimize acid distribution | 1. Reduce the probability of side reactions. 2. Improve selectivity and stability. 3. Eliminate structural defects | 1. Excessive acid treatment may damage the skeleton structure. 2. Some acid sites may be irreversibly destroyed | Heavy oil cracking reaction, improving reaction selectivity and reducing by-product generation | |
| Alkali treatment [149,150,151] | Treat zeolite with NaOH or KOH solution under appropriate conditions | Introducing mesoporous structures to improve the diffusion performance of macromolecular hydrocarbons | 1. Improve specific surface area and pore volume. 2. Increase catalytic activity. 3. Improve diffusion efficiency, especially suitable for the conversion of polycyclic aromatic hydrocarbons | 1. Overtreatment may cause crystal collapse. 2. Alkalinity regulation needs to be precise to avoid affecting the pore structure | Modified Beta zeolite is used for cracking of polycyclic aromatic hydrocarbons to improve the selectivity of light components in heavy oil | |
| Metal ion exchange and heteroatom introduction | Metal ion exchange [152,153] | Replace the original cations with rare earth metal (La, Ce) and noble metal (Pt, Pd) cations | Enhance the stability and thermal stability of acidic sites and endow catalysts with new functional active centers | 1. Enhance the ability to resist metal poisoning. 2. Pt and Pd promote hydrocracking and dearomatization reactions. 3. Significantly improve the yield of light oil and low-carbon olefins | 1. The cost of precious metals is high. 2. Metal deposition can easily lead to partial pore blockage or catalyst deactivation | Modified Y-type zeolite is used for gasoline and diesel production, and Pt-ZSM-5 is used for light oil hydrocracking |
| Heteroatom introduction [154] | Doping with heteroatoms such as phosphorus and boron | Regulate acidity intensity and distribution to reduce side reactions | 1. Phosphorus reduces strong acidity, improves selectivity, and reduces coke formation. 2. Boron enhances skeleton stability and anti-deactivation ability | 1. The introduction of heteroatoms may have an adverse effect on the distribution of acidic active sites. 2. The number of heteroatoms needs to be precisely controlled | Phosphorus-modified Y-type zeolite is used for FCC reaction, and boron-modified zeolite is used for high-temperature catalytic cracking | |
Disclaimer/Publisher’s Note: The statements, opinions and data contained in all publications are solely those of the individual author(s) and contributor(s) and not of MDPI and/or the editor(s). MDPI and/or the editor(s) disclaim responsibility for any injury to people or property resulting from any ideas, methods, instructions or products referred to in the content. |
© 2025 by the authors. Licensee MDPI, Basel, Switzerland. This article is an open access article distributed under the terms and conditions of the Creative Commons Attribution (CC BY) license (https://creativecommons.org/licenses/by/4.0/).
Share and Cite
Wei, L.; Wang, H.; Dong, Q.; Li, Y.; Xiang, H. A Review on the Research Progress of Zeolite Catalysts for Heavy Oil Cracking. Catalysts 2025, 15, 401. https://doi.org/10.3390/catal15040401
Wei L, Wang H, Dong Q, Li Y, Xiang H. A Review on the Research Progress of Zeolite Catalysts for Heavy Oil Cracking. Catalysts. 2025; 15(4):401. https://doi.org/10.3390/catal15040401
Chicago/Turabian StyleWei, Lisha, Hui Wang, Qi Dong, Yongwang Li, and Hongwei Xiang. 2025. "A Review on the Research Progress of Zeolite Catalysts for Heavy Oil Cracking" Catalysts 15, no. 4: 401. https://doi.org/10.3390/catal15040401
APA StyleWei, L., Wang, H., Dong, Q., Li, Y., & Xiang, H. (2025). A Review on the Research Progress of Zeolite Catalysts for Heavy Oil Cracking. Catalysts, 15(4), 401. https://doi.org/10.3390/catal15040401
