Selective Conversion of Glycerol to Acetol: Effect of the Preparation Method of CuAl Catalysts and Reaction Phase
Abstract
1. Introduction
2. Results and Discussion
2.1. Catalyst Characterization
2.1.1. Metal Content and Textural Properties
2.1.2. XRD Results
2.1.3. H2 Temperature Programmed Reduction
2.1.4. SEM-EDS Analysis and Textural Features
2.1.5. Leaching Studies and Carbon Content in Used Catalysts
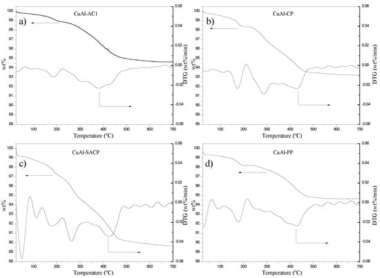
2.1.6. TGA Measurements
2.1.7. XPS Analysis
2.2. Catalytic Activity in the Liquid Phase
2.2.1. Influence of the Preparation Method
2.2.2. Influence of the Catalyst Amount
2.3. Catalytic Activity in the Gas Phase
2.4. Comparison with Other Works of Literature
3. Materials and Methods
3.1. Materials
3.2. Catalysts Preparation
3.3. Catalysts Characterization
3.4. Catalyst Tests
4. Conclusions
Author Contributions
Funding
Data Availability Statement
Acknowledgments
Conflicts of Interest
References
- When Will Fossil Fuels Run out? Available online: https://group.met.com/en/mind-the-fyouture/mindthefyouture/when-will-fossil-fuels-run-out (accessed on 14 December 2023).
- Gebremariam, S.; Marchetti, J. Economics of Biodiesel Production: Review. Energy Convers. Manag. 2018, 168, 74–84. [Google Scholar] [CrossRef]
- Climent, M.J.; Corma, A.; Iborra, S. Conversion of Biomass Platform Molecules into Fuel Additives and Liquid Hydrocarbon Fuels. Green Chem. 2014, 16, 516–547. [Google Scholar] [CrossRef]
- Raso, R.; Abad, E.; García, L.; Ruiz, J.; Oliva, M.; Arauzo, J. Renewable Hydrogen Production by Aqueous Phase Reforming of Pure/Refined Crude Glycerol over Ni/Al-Ca Catalysts. Molecules 2023, 28, 6695. [Google Scholar] [CrossRef] [PubMed]
- Faba, L.; Díaz, E.; Ordóñez, S. Aqueous-Phase Furfural-Acetone Aldol Condensation over Basic Mixed Oxides. Appl. Catal. B 2012, 113–114, 201–211. [Google Scholar] [CrossRef]
- Hoekman, S.K.; Robbins, C. Review of the Effects of Biodiesel on NOx Emissions. Fuel Process. Technol. 2012, 96, 237–249. [Google Scholar] [CrossRef]
- Apostolakou, A.A.; Kookos, I.K.; Marazioti, C.; Angelopoulos, K.C. Techno-Economic Analysis of a Biodiesel Production Process from Vegetable Oils. Fuel Process. Technol. 2009, 90, 1023–1031. [Google Scholar] [CrossRef]
- Mulugetta, Y. Evaluating the Economics of Biodiesel in Africa. Renew. Sustain. Energy Rev. 2009, 13, 1592–1598. [Google Scholar] [CrossRef]
- Pagliaro, M.; Ciriminna, R.; Kimura, H.; Rossi, M.; Della Pina, C. From Glycerol to Value-Added Products. Angew. Chem.Int. Ed. 2007, 46, 4434–4440. [Google Scholar] [CrossRef]
- OECD-FAO. Food and Agriculture Organization of the United Nations; OECD Publication: Paris, France, 2011. [Google Scholar] [CrossRef]
- Sabokmalek, S.; Alavi, S.M.; Rezaei, M.; Akbari, E. Fabrication and Catalytic Evaluation of Ni/CaO–Al2O3 in Glycerol Steam Reforming: Effect of Ni Loading. J. Energy Inst. 2023, 109, 101270. [Google Scholar] [CrossRef]
- Yuan, Z.; Wang, L.; Wang, J.; Xia, S.; Chen, P.; Hou, Z.; Zheng, X. Hydrogenolysis of Glycerol over Homogenously Dispersed Copper on Solid Base Catalysts. Appl. Catal. B 2011, 101, 431–440. [Google Scholar] [CrossRef]
- Raso, R.; García, L.; Ruiz, J.; Oliva, M.; Arauzo, J. Aqueous Phase Hydrogenolysis of Glycerol over Ni/Al-Fe Catalysts Without External Hydrogen Addition. Appl. Catal. B 2021, 283, 119598. [Google Scholar] [CrossRef]
- Prather, M.; SSausen, R.; Houghton, J.; Penner, J.; Isaksen, I.; Wang, W.; Dorland, R. Potential Climate Change from Aviation 6; Cambridge University Press: Cambridge, UK, 1999; Volume 1, pp. 231–266. [Google Scholar]
- Mane, R.B.; Yamaguchi, A.; Malawadkar, A.; Shirai, M.; Rode, C.V. Active Sites in Modified Copper Catalysts for Selective Liquid Phase Dehydration of Aqueous Glycerol to Acetol. RSC Adv. 2013, 3, 16499–16508. [Google Scholar] [CrossRef]
- Corma, A.; Huber, G.W.; Sauvanaud, L.; O’Connor, P. Biomass to Chemicals: Catalytic Conversion of Glycerol/Water Mixtures into Acrolein, Reaction Network. J. Catal. 2008, 257, 163–171. [Google Scholar] [CrossRef]
- Sato, S.; Akiyama, M.; Takahashi, R.; Hara, T.; Inui, K.; Yokota, M. Vapor-Phase Reaction of Polyols over Copper Catalysts. Appl. Catal. A Gen. 2008, 347, 186–191. [Google Scholar] [CrossRef]
- Sato, S.; Sakai, D.; Sato, F.; Yamada, Y. Vapor-Phase Dehydration of Glycerol into Hydroxyacetone over Silver Catalyst. Chem. Lett. 2012, 41, 965–966. [Google Scholar] [CrossRef]
- Dieuzeide, M.L.; Jobbagy, M.; Amadeo, N. Vapor-Phase Hydrogenolysis of Glycerol to 1,2-Propanediol over Cu/Al2O3 Catalyst at Ambient Hydrogen Pressure. Ind. Eng. Chem. Res. 2016, 55, 2527–2533. [Google Scholar] [CrossRef]
- Pandhare, N.N.; Pudi, S.M.; Biswas, P.; Sinha, S. Selective Hydrogenolysis of Glycerol to 1,2-Propanediol over Highly Active and Stable Cu/MgO Catalyst in the Vapor Phase. Org. Process. Res. Dev. 2016, 20, 1059–1067. [Google Scholar] [CrossRef]
- Pandhare, N.N.; Pudi, S.M.; Biswas, P.; Sinha, S. Vapor Phase Hydrogenolysis of Glycerol to 1,2-Propanediol over γ-Al2O3 Supported Copper or Nickel Monometallic and Copper-Nickel Bimetallic Catalysts. J. Taiwan Inst. Chem. Eng. 2016, 61, 90–96. [Google Scholar] [CrossRef]
- Yin, A.Y.; Guo, X.Y.; Dai, W.L.; Fan, K.N. The Synthesis of Propylene Glycol and Ethylene Glycol from Glycerol Using Raney Ni as a Versatile Catalyst. Green Chem. 2009, 11, 1514–1516. [Google Scholar] [CrossRef]
- Nakagawa, Y.; Tomishige, K. Heterogeneous Catalysis of the Glycerol Hydrogenolysis. Catal. Sci. Technol. 2011, 1, 179–190. [Google Scholar] [CrossRef]
- Lete, A.; Raso, R.; García, L.; Ruiz, J.; Arauzo, J. Synthesis of Ketones from Glycerol and 1,2-Propanediol Using Copper and Nickel Catalysts: Unraveling the Impact of Reaction Phase and Active Metal. Fuel 2024, 371, 132001. [Google Scholar] [CrossRef]
- Farias, M.F.; Domingos, Y.S.; Turolla Fernandes, G.J.; Castro, F.L.; Fernandes, V.J.; Fonseca Costa, M.J.; Araujo, A.S. Effect of Acidity in the Removal-Degradation of Benzene in Water Catalyzed by Co-MCM-41 in Medium Containing Hydrogen Peroxide. Microporous Mesoporous Mater. 2018, 258, 33–40. [Google Scholar] [CrossRef]
- Wen, G.; Xu, Y.; Ma, H.; Xu, Z.; Tian, Z. Production of Hydrogen by Aqueous-Phase Reforming of Glycerol. Int. J. Hydrogen Energy 2008, 33, 6657–6666. [Google Scholar] [CrossRef]
- Xiao, Z.; Wang, X.; Xiu, J.; Wang, Y.; Williams, C.T.; Liang, C. Synergetic Effect between Cu 0 and Cu + in the Cu-Cr Catalysts for Hydrogenolysis of Glycerol. Catal. Today 2014, 234, 200–207. [Google Scholar] [CrossRef]
- Lopez-Pedrajas, S.; Estevez, R.; Blanco-Bonilla, F.; Luna, D.; Bautista, F.M. Insight into the Gas-Phase Glycerol Dehydration on Transition Metal Modified Aluminium Phosphates and Zeolites. J. Chem. Technol. Biotechnol. 2017, 92, 2661–2672. [Google Scholar] [CrossRef]
- Gharibi Kharaji, A.; Beheshti, M.; Repke, J.U.; Tangestani-nejad, S.; Görke, O.; Godini, H.R. Using Response Surface Method to Analyze the Effect of Hydrothermal Post-Treatment on the Performance of Extrudates HZSM-5 Catalyst in the Methanol to Propylene Reaction. React. Kinet. Mech. Catal. 2019, 127, 375–390. [Google Scholar] [CrossRef]
- Zhou, M.; Zhang, L.; Lu, H.; Shao, L.; Chen, M. Reaction of Silicon Dioxide with Water: A Matrix Isolation Infrared and Density Functional Theoretical Study. J. Mol. Struct. 2002, 605, 249–254. [Google Scholar] [CrossRef]
- Wolosiak-Hnat, A.; Milchert, E.; Grzmil, B. Influence of Parameters on Glycerol Hydrogenolysis over a Cu/Al2O3 Catalyst. Chem. Eng. Technol. 2013, 36, 411–418. [Google Scholar] [CrossRef]
- Zhou, J.; Guo, L.; Guo, X.; Mao, J.; Zhang, S. Selective Hydrogenolysis of Glycerol to Propanediols on Supported Cu-Containing Bimetallic Catalysts. Green Chem. 2010, 12, 1835–1843. [Google Scholar] [CrossRef]
- Suprun, W.; Lutecki, M.; Haber, T.; Papp, H. Acidic Catalysts for the Dehydration of Glycerol: Activity and Deactivation. J. Mol. Catal. A Chem. 2009, 309, 71–78. [Google Scholar] [CrossRef]
- Kang, S.H.; Bae, J.W.; Sai Prasad, P.S.; Park, S.J.; Woo, K.J.; Jun, K.W. Effect of Preparation Method of Fe-Based Fischer-Tropsch Catalyst on Their Light Olefin Production. Catal. Lett. 2009, 130, 630–636. [Google Scholar] [CrossRef]
- Santos, R.C.R.d.; da Silva Júnior, M.J.; Nunes, G.L.; Valentini, A. Effect of Cu and Sb Active Sites on the Acid-Base Properties and Reactivity of Hydrated Alumina for Glycerol Conversion by Dehydrogenation and Dehydration Reactions. Catal. Sci. Technol. 2023, 13, 4223–4245. [Google Scholar] [CrossRef]
- Liu, Y.; Guo, X.; Rempel, G.L.; Ng, F.T.T. The Promoting Effect of Ni on Glycerol Hydrogenolysis to 1,2-Propanediol with in Situ Hydrogen from Methanol Steam Reforming Using a Cu/Zno/Al2O3 Catalyst. Catalysts 2019, 9, 412. [Google Scholar] [CrossRef]
- Basąg, S.; Piwowarska, Z.; Kowalczyk, A.; Węgrzyn, A.; Baran, R.; Gil, B.; Michalik, M.; Chmielarz, L. Cu-Mg-Al Hydrotalcite-like Materials as Precursors of Effective Catalysts for Selective Oxidation of Ammonia to Dinitrogen—The Influence of Mg/Al Ratio and Calcination Temperature. Appl. Clay Sci. 2016, 129, 122–130. [Google Scholar] [CrossRef]
- Chiu, C.W.; Dasari, M.A.; Suppes, G.J.; Sutterlin, W.R. Dehydration of Glycerol to Acetol via Catalytic Reactive Distillation. AIChE J. 2006, 52, 3543–3548. [Google Scholar] [CrossRef]
- Chu, Z.; Chen, H.; Yu, Y.; Wang, Q.; Fang, D. Surfactant-Assisted Preparation of Cu/ZnO/Al2O3 Catalyst for Methanol Synthesis from Syngas. J. Mol. Catal. A Chem. 2013, 366, 48–53. [Google Scholar] [CrossRef]
- Alvar, E.N.; Rezaei, M.; Alvar, H.N. Synthesis of Mesoporous Nanocrystalline MgAl2O4 Spinel via Surfactant Assisted Precipitation Route. Powder Technol. 2010, 198, 275–278. [Google Scholar] [CrossRef]
- Das, D.; Llorca, J.; Dominguez, M.; Colussi, S.; Trovarelli, A.; Gayen, A. Methanol Steam Reforming Behavior of Copper Impregnated over CeO2–ZrO2 Derived from a Surfactant Assisted Coprecipitation Route. Int. J. Hydrogen Energy 2015, 40, 10463–10479. [Google Scholar] [CrossRef]
- Kang, H.T.; Zhang, C.Y.; Lv, K.; Yuan, S.L. Surfactant-Assisted Synthesis and Catalytic Activity for SOx Abatement of High-Surface-Area CuMgAlCe Mixed Oxides. Ceram. Int. 2014, 40, 5357–5363. [Google Scholar] [CrossRef]
- Charisiou, N.D.; Italiano, C.; Pino, L.; Sebastian, V.; Vita, A.; Goula, M.A. Hydrogen Production via Steam Reforming of Glycerol over Rh/γ-Al2O3 Catalysts Modified with CeO2, MgO or La2O3. Renew. Energy 2020, 162, 908–925. [Google Scholar] [CrossRef]
- Braga, T.P.; Essayem, N.; Valentini, A. Correlation Between the Basicity of Cu–MxOy–Al2O3 (M = Ba, Mg, K or La) Oxide and the Catalytic Performance in the Glycerol Conversion from Adsorption Microcalorimetry Characterization. J. Therm. Anal. Calorim. 2017, 129, 65–74. [Google Scholar] [CrossRef]
- Dang, H.T.; Le, T.K. Precursor Chain Length Dependence of Polymeric Precursor Method for the Preparation of Magnetic Fenton-like CuFe2O4-Based Catalysts. J. Solgel. Sci. Technol. 2016, 80, 160–167. [Google Scholar] [CrossRef]
- Braga, T.P.; Essayem, N.; Prakash, S.; Valentini, A. Gas-Phase Conversion of Glycerol to Acetol: Influence of Support Acidity on the Catalytic Stability and Copper Surface Properties on the Activity. J. Braz. Chem. Soc. 2016, 27, 2361–2371. [Google Scholar] [CrossRef]
- Qi, X.; Zhou, J.; Yue, Z.; Gui, Z.; Li, L. Auto-Combustion Synthesis of Nanocrystalline LaFeO3. Mater. Chem. Phys. 2002, 78, 25–29. [Google Scholar]
- Kumar, M.; Srikanth, S.; Ravikumar, B.; Lex, T.; Das, S. Synthesis of Pure and Sr-Doped LaGaO3, LaFeO3 and LaCoO3 and Sr,Mg-Doped LaGaO3 for ITSOFC Application Using Different Wet Chemical Routes. Mater. Chem. Phys. 2009, 113, 803–815. [Google Scholar] [CrossRef]
- Kondakindi, R.R.; Karan, K.; Peppley, B.A. A Simple and Efficient Preparation of LaFeO3 Nanopowders by Glycine-Nitrate Process: Effect of Glycine Concentration. Ceram. Int. 2012, 38, 449–456. [Google Scholar] [CrossRef]
- Velasquez, M.; Santamaria, A.; Batiot-Dupeyrat, C. Selective Conversion of Glycerol to Hydroxyacetone in Gas Phase over La2CuO4 Catalyst. Appl. Catal. B 2014, 160, 606–613. [Google Scholar] [CrossRef]
- Beck, M.T.; Nagypál, I. Chemistry of Complex Equilibria. Ellis Horwood Ser. Inorg. Chem. 1990, 95, 647–648. [Google Scholar]
- Diachenko, O.; Kováč, J.; Dobrozhan, O.; Novák, P.; Kováč, J.; Skriniarova, J.; Opanasyuk, A. Structural and Optical Properties of Cuo Thin Films Synthesized Using Spray Pyrolysis Method. Coatings 2021, 11, 1392. [Google Scholar] [CrossRef]
- Rajesh Ch, L.; Rao, N.M. A Solid-State Reaction Based Study, Synthesis and Characterization for CuAl2O4 Nanocrystalline Powder. Optik 2023, 294, 171472. [Google Scholar] [CrossRef]
- Solache-Carranco, H.; Juárez-Díaz, G.; Martínez-Juárez, J.; Peña-Sierra, R. Estudio de La Cristalización de Cu2O y Su Caracterización Por Difracción de Rayos X, Espectroscópica Raman y Fotoluminiscencia. Rev. Mex. Física 2009, 55, 393–398. [Google Scholar]
- Jiménez, J.A.; Padilla, I.; Lõpez-Delgado, A.; Fillali, L.; Lõpez-Andrés, S. Characterization of the Aluminas Formed during the Thermal Decomposition of Boehmite by the Rietveld Refinement Method. Int. J. Appl. Ceram. Technol. 2015, 12, E178–E186. [Google Scholar] [CrossRef]
- Mane, R.B.; Kondawar, S.E.; Niphadkar, P.S.; Joshi, P.N.; Patil, K.R.; Rode, C. V Effect of Preparation Parameters of Cu Catalysts on Their Physico-Chemical Properties and Activities for Glycerol Hydrogenolysis. Catal. Today 2012, 198, 321–329. [Google Scholar] [CrossRef]
- Vasiliadou, E.S.; Lemonidou, A.A. Investigating the Performance and Deactivation Behaviour of Silica-Supported Copper Catalysts in Glycerol Hydrogenolysis. Appl. Catal. A Gen. 2011, 396, 177–185. [Google Scholar] [CrossRef]
- Rao, R.; Dandekar, A.; Baker, R.T.K.; Vannice, M.A. Properties of Copper Chromite Catalysts in Hydrogenation Reactions. J. Catal. 1997, 171, 406–419. [Google Scholar] [CrossRef]
- Khasin, A.A.; Yur’Eva, T.M.; Plyasova, L.M.; Kustova, G.N.; Jobic, H.; Ivanov, A.; Chesalov, Y.A.; Zaikovskii, V.I.; Khasin, A.V.; Davydova, L.P.; et al. Mechanistic Features of Reduction of Copper Chromite and State of Absorbed Hydrogen in the Structure of Reduced Copper Chromite. Russ. J. Gen. Chem. 2008, 78, 2203–2213. [Google Scholar] [CrossRef]
- El Doukkali, M.; Iriondo, A.; Cambra, J.F.; Gandarias, I.; Jalowiecki-Duhamel, L.; Dumeignil, F.; Arias, P.L. Deactivation Study of the Pt and/or Ni-Based γ-Al2O3 Catalysts Used in the Aqueous Phase Reforming of Glycerol for H2 Production. Appl. Catal. A Gen. 2014, 472, 80–91. [Google Scholar] [CrossRef]
- Zhu, S.; Gao, X.; Zhu, Y.; Zhu, Y.; Zheng, H.; Li, Y. Promoting Effect of Boron Oxide on Cu/SiO2 Catalyst for Glycerol Hydrogenolysis to 1,2-Propanediol. J. Catal. 2013, 303, 70–79. [Google Scholar] [CrossRef]
- Shi, L.; Yan, P.; Gao, Z.; Huang, W. Effect of Copper Source on the Structure–Activity of CuAl2O4 Spinel Catalysts for CO Hydrogenation. Arab. J. Chem. 2023, 16, 104464. [Google Scholar] [CrossRef]
- Huang, Z.; Cui, F.; Kang, H.; Chen, J.; Xia, C. Characterization and Catalytic Properties of the CuO/SiO2 Catalysts Prepared by Precipitation-Gel Method in the Hydrogenolysis of Glycerol to 1,2-Propanediol: Effect of Residual Sodium. Appl. Catal. A Gen. 2009, 366, 288–298. [Google Scholar] [CrossRef]
- Guo, X.; Mao, D.; Lu, G.; Wang, S.; Wu, G. The Influence of La Doping on the Catalytic Behavior of Cu/ZrO2 for Methanol Synthesis from CO2 Hydrogenation. J. Mol. Catal. A Chem. 2011, 345, 60–68. [Google Scholar] [CrossRef]
- Águila, G.; Gracia, F.; Araya, P. CuO and CeO2 Catalysts Supported on Al2O3, ZrO2, and SiO2 in the Oxidation of CO at Low Temperature. Appl. Catal. A Gen. 2008, 343, 16–24. [Google Scholar] [CrossRef]
- Barbosa, F.F.; Pergher, S.B.C.; Braga, T.P. Synergistic Effects on Cu, Zn and Al-Based Catalyst: Tracking the Change of Active Sites during Glycerol Dehydration. Braz. J. Chem. Eng. 2024, 13, 1–21. [Google Scholar] [CrossRef]
- He, M.; Luo, M.; Fang, P. Characterization of CuO Species and Thermal Solid-Solid Interaction in CuO/CeO2-Al2O3 Catalyst by In-Situ XRD, Raman Spectroscopy and TPR. J. Rare Earths 2006, 24, 188–192. [Google Scholar] [CrossRef]
- Filho, R.W.N.D.; De Araujo Rocha, G.; Montes, C.R.; Vieira-Coelho, A.C. Synthesis and Characterization of Boehmites Obtained from Gibbsite in Presence of Different Environments. Mater. Res. 2016, 19, 659–668. [Google Scholar] [CrossRef]
- Wang, Z.; Tian, Y.; Fan, H.; Gong, J.; Yang, S.; Ma, J.; Xu, J. Facile Seed-Assisted Hydrothermal Fabrication of γ-AlOOH Nanoflake Films with Superhydrophobicity. New J. Chem. 2014, 38, 1321–1327. [Google Scholar] [CrossRef]
- Fang, W.; Liu, S.; Steffensen, A.K.; Schill, L.; Kastlunger, G.; Riisager, A. On the Role of Cu+ and CuNi Alloy Phases in Mesoporous CuNi Catalyst for Furfural Hydrogenation. ACS Catal. 2023, 13, 8437–8444. [Google Scholar] [CrossRef]
- Gao, Y.; Yi, W.; Yang, J.; Jiang, K.; Yang, T.; Li, Z.; Zhang, M.; Liu, Z.; Wu, B. Effect of Calcination Atmosphere on the Performance of Cu/Al2O3 Catalyst for the Selective Hydrogenation of Furfural to Furfuryl Alcohol. Molecules 2024, 29, 2753. [Google Scholar] [CrossRef]
- Yano, T.; Ebizuka, M.; Shibata, S.; Yamane, M. Anomalous Chemical Shifts of Cu 2p and Cu LMM Auger Spectra of Silicate Glasses. J. Electron Spectrosc. Relat. Phenom. 2003, 131–132, 133–144. [Google Scholar] [CrossRef]
- Gomes, E.A.; Antunes, R.A.; Mazzer, E.M.; Lins, V. de F.C. High-Temperature Oxidation of Cu–Al–Ni–Mn Shape-Memory Alloy. Mater. Corros. 2024, 75, 1429–1437. [Google Scholar] [CrossRef]
- Yao, Y.; Goodman, D.W. Direct Evidence of Hydrogen Spillover from Ni to Cu on Ni–Cu Bimetallic Catalysts. J. Mol. Catal. A Chem. 2014, 383–384, 239–242. [Google Scholar] [CrossRef]
- Wang, Y.; Zhou, J.; Guo, X. Catalytic Hydrogenolysis of Glycerol to Propanediols: A Review. RSC Adv. 2015, 5, 74611–74628. [Google Scholar] [CrossRef]
- Yfanti, V.L.; Lemonidou, A.A. Mechanistic Study of Liquid Phase Glycerol Hydrodeoxygenation with In-Situ Generated Hydrogen. J. Catal. 2018, 368, 98–111. [Google Scholar] [CrossRef]
- Yfanti, V.L.; Ipsakis, D.; Lemonidou, A.A. Kinetic Study of Liquid Phase Glycerol Hydrodeoxygenation Under Inert Conditions over a Cu-Based Catalyst. React. Chem. Eng. 2018, 3, 559–571. [Google Scholar] [CrossRef]
- Freitas, I.C.; Manfro, R.L.; Souza, M.M.V.M. Hydrogenolysis of Glycerol to Propylene Glycol in Continuous System Without Hydrogen Addition over Cu-Ni Catalysts. Appl. Catal. B 2018, 220, 31–41. [Google Scholar] [CrossRef]
- Mane, R.B.; Rode, C.V. Simultaneous Glycerol Dehydration and In Situ Hydrogenolysis over Cu-Al Oxide Under an Inert Atmosphere. Green Chem. 2012, 14, 2780–2789. [Google Scholar] [CrossRef]
- Cai, F.; Pan, D.; Ibrahim, J.J.; Zhang, J.; Xiao, G. Hydrogenolysis of Glycerol over Supported Bimetallic Ni/Cu Catalysts with and Without External Hydrogen Addition in a Fixed-Bed Flow Reactor. Appl. Catal. A Gen. 2018, 564, 172–182. [Google Scholar] [CrossRef]
- Mendonça, V.G.S.; Freitas, I.C.; Manfro, R.L.; Souza, M.M.V.M. Effect of MgO Addition to Cu-Ni/Al2O3 Catalysts on Glycerol Hydrogenolysis in Continuous Reactor Without External Hydrogen. Appl. Catal. A Gen. 2022, 645, 118838. [Google Scholar] [CrossRef]
- Mane, R.B.; Rode, C. V Continuous Dehydration and Hydrogenolysis of Glycerol over Non-Chromium Copper Catalyst: Laboratory-Scale Process Studies. Org. Process. Res. Dev. 2012, 16, 1043–1052. [Google Scholar] [CrossRef]
- Mazarío, J.; Concepción, P.; Ventura, M.; Domine, M.E. Continuous Catalytic Process for the Selective Dehydration of Glycerol over Cu-Based Mixed Oxide. J. Catal. 2020, 385, 160–175. [Google Scholar] [CrossRef]
- Jain, S.R.; Adiga, K.C.; Pal Verneker, V.R. A New Approach to Thermochemical Calculations of Condensed Fuel-Oxidizer Mixtures. Comb Ustion Flame 1981, 40, 71–79. [Google Scholar] [CrossRef]
- Jiménez Correa, M.M.; Aliprandini, P.; Soares Tenório, J.A.; Crocce, D.; Espinosa, R. Precipitation of Metals from Liquor Obtained in Nickel Mining. In Towards Materials Resource Sustainability; Springer International Publishing: Berlin/Heidelberg, Germany, 2016; pp. 333–338. ISBN 9783319487687. [Google Scholar]
- Hu, W.; Li, W.; Shen, R. Cetyltrimethylammonium Bromide-Promoted, ZnO-Supported, and Mn-Promoted Cu–Fe Catalyst for the Hydrogenation of CO to Low-Carbon Alcohols. Energy Technol. 2017, 5, 557–567. [Google Scholar] [CrossRef]
- Mirzaee, M.; Amini, M.M.; Sadeghi, M.; Mousavi, F.Y.; Sharbatdaran, M. Preparation and Characterization of Boehmite, CuO, TiO2 and Nb2O5 by Hydrothermal Assisted Sol-Gel Processing of Metal Alkoxides. J. Solgel. Sci. Technol. 2004, 31, 19–23. [Google Scholar] [CrossRef]
- Wagner, C.D.; Davis, L.E.; Zeller, M.V.; Taylor, J.A.; Raymond, R.H.; Gale, L.H. Empirical Atomic Sensitivity Factors for Quantitative Analysis by Electron Spectroscopy for Chemical Analysis. Surf. Interface Anal. 1981, 3, 211–225. [Google Scholar] [CrossRef]


















| Catalyst | Composition a (%) | SBET b (m2/g) | Vp c (cm3/g) | dp c (nm) | XRD D d (nm) |
|---|---|---|---|---|---|
| CuAl-AC1 | 50.5 | 43/31 | 0.06/0.09 | 3.2/9.9 | 21.0/21.6/27.7 |
| CuAl-PP | 52.2 | 63/100 | 0.17/0.24 | 4.7/6.2 | 28.4/23.1/35.4 |
| CuAl-CP | 47.4 | 144/153 | 0.32/0.39 | 8.0/8.0 | 14.9/-/22.3 |
| CuAl-SACP | 48.2 | 69/78 | 0.24/0.27 | 3.7/3.3 | 24.7/-/32.8 |
| Catalyst | SBET a (m2/g) | Vp b (cm3/g) | dp (nm) | XRD D c (nm) | Carbon Content (Gas Phase) d |
|---|---|---|---|---|---|
| CuAl-AC1 | 51/45 | 0.13/0.11 | 3.2/6.0 | 38.8/31.2 | 15.46 |
| CuAl-PP | 37/87 | 0.10/0.20 | 3.5/7.4 | 31.3/36.2 | 27.17 |
| CuAl-CP | 53/141 | 0.15/0.33 | 3.7/8.9 | 24.7/25.8 | 31.75 |
| CuAl-SACP | 65/69 | 0.23/0.28 | 3.1/5.0 | 20.0/33.6 | 15.54 |
| Temperature (°C)/Relative Amount (%) a | |||
|---|---|---|---|
| Catalyst | T1/F1 | T2/F2 | T3/F3 |
| CuAl-CP | 231/75.8 | 257/24.2 | - |
| CuAl-SACP | 235/41.8 | 252/58.2 | - |
| CuAl-AC1 | 185/11.9 | 228/76.0 | 355/12.1 |
| CuAl-PP | 228/77.5 | 250/20.5 | 359/2.0 |
| Used Catalysts | Cu0 (%) a | Cu+ (%) a | Cu2+ (%) a | Cu/Al Ratio b |
|---|---|---|---|---|
| CuAl-SACP | 42.4 | 28.0 | 29.5 | 0.15 |
| CuAl-PP | 23.8 | 46.1 | 30.2 | 1.18 |
| CuAl-AC1 | 12.6 | 21.9 | 65.5 | 0.13 |
| CuAl-CP | 24.3 | 36.5 | 39.2 | 0.11 |
| Catalysts | Operating Conditions (T, P, W/mglycerol) | Glycerol Conversion (%) | Acetol Yield (%) | Glycerol Rate (g gly min−1 g cat−1) | Acetol Rate (g gly min−1 g cat−1) | Ref. |
|---|---|---|---|---|---|---|
| 20%CuNi/Al2O3 | 250 °C, 40 bar, g cat min gly−1 | 80.0 | 12.0 | 0.262 | 0.039 | [78] |
| 20%Cu/Al2O3 | “ | 50.0 | 4.5 | 0.164 | 0.015 | [78] |
| Cu/CuAl2O4 a | 220 °C, 20 bar, 138.9–416.7 g cat min gly−1 | 90.0 | 19.8 | 0.216 | 0.048 | [79] |
| Cu/CuAl2O4 a | 230 °C, 20 bar, 138.9–416.7 g cat min gly−1 | 91.0 | 19.1 | 0.218 | 0.046 | [79] |
| Ni/Cu/ Al2O3 | 230 °C, 35 bar, 259.2 g cat min gly−1 | 25.7 | 4.4 | 0.099 | 0.017 | [80] |
| Ni/Cu/ Al2O3 b | “ | 77.9 | 10.7 | 0.301 | 0.041 | [80] |
| Ni-Cu/Al2O3 | 250 °C, 40 bar, 304.9 g cat min gly−1 | 90.0 | 10.0 | 0.295 | 0.033 | [81] |
| CuNi10/MgO-Al2O3 | “ | 65.0 | 23.5 | 0.213 | 0.077 | [81] |
| CuNi20/MgO-Al2O3 | “ | 60.0 | 23.5 | 0.197 | 0.077 | [81] |
| CuNi30/MgO-Al2O3 | “ | 75.0 | 25.0 | 0.246 | 0.082 | [81] |
| Cu:Al-1 (50:50) | 220 °C, 20 bar, 170.7 g cat min gly−1 | 91.0 | 47.3 | 0.533 | 0.277 | [82] |
| CuO/Al2O3 a,c | 240 °C, 1 bar, 150 g cat min gly−1 | 78.0 | 35.0 | 0.520 | 0.182 | [83] |
| Cu-Mg/Al-1 a,c | “ | 61.5 | 53.0 | 0.410 | 0.217 | [83] |
| Cu-Mg/Al-2 a,c | “ | 58.0 | 46.5 | 0.387 | 0.180 | [83] |
| Cu-Mg/Al-3 a,c | “ | 68.0 | 46.8 | 0.453 | 0.212 | [83] |
| Cu-Mg/Al-4 a,c | “ | 68.0 | 55.0 | 0.453 | 0.249 | [83] |
| Cu-Mg/Al-5 a,c | “ | 64.0 | 46.0 | 0.427 | 0.196 | [83] |
| Cu-Mg/Al-6 a,c | “ | 62.5 | 32.0 | 0.417 | 0.133 | [83] |
| CuAl-AC1 | 227 °C, 34 bar, 10 g cat min gly−1 | 4.0 | 2.0 | 0.396 | 0.205 | TW |
| CuAl-PP | “ | 2.2 | 1.4 | 0.220 | 0.138 | TW |
| CuAl-CP | “ | 4.0 | 2.0 | 0.399 | 0.199 | TW |
| CuAl-SACP | “ | 2.5 | 1.3 | 0.247 | 0.128 | TW |
| CuAl-PP | 227 °C, 34 bar, 30 g cat min gly−1 | 5.1 | 2.8 | 0.169 | 0.095 | TW |
| CuAl-CP | “ | 7.9 | 2.9 | 0.262 | 0.096 | TW |
| CuAl-AC1 a | 227 °C, 1 bar, 30 g cat min gly−1 | 49.7 | 47.9 | 1.656 | 1.598 | TW |
| CuAl-PP a | “ | 42.4 | 38.4 | 1.413 | 1.279 | TW |
| CuAl-CP a | “ | 46.9 | 43.6 | 1.563 | 1.453 | TW |
| CuAl-SACP a | “ | 60.0 | 58.1 | 2.001 | 1.938 | TW |
Disclaimer/Publisher’s Note: The statements, opinions and data contained in all publications are solely those of the individual author(s) and contributor(s) and not of MDPI and/or the editor(s). MDPI and/or the editor(s) disclaim responsibility for any injury to people or property resulting from any ideas, methods, instructions or products referred to in the content. |
© 2025 by the authors. Licensee MDPI, Basel, Switzerland. This article is an open access article distributed under the terms and conditions of the Creative Commons Attribution (CC BY) license (https://creativecommons.org/licenses/by/4.0/).
Share and Cite
Maldonado-Martín, F.; García, L.; Ruiz, J.; Oliva, M.; Arauzo, J. Selective Conversion of Glycerol to Acetol: Effect of the Preparation Method of CuAl Catalysts and Reaction Phase. Catalysts 2025, 15, 348. https://doi.org/10.3390/catal15040348
Maldonado-Martín F, García L, Ruiz J, Oliva M, Arauzo J. Selective Conversion of Glycerol to Acetol: Effect of the Preparation Method of CuAl Catalysts and Reaction Phase. Catalysts. 2025; 15(4):348. https://doi.org/10.3390/catal15040348
Chicago/Turabian StyleMaldonado-Martín, Francisco, Lucía García, Joaquín Ruiz, Miriam Oliva, and Jesús Arauzo. 2025. "Selective Conversion of Glycerol to Acetol: Effect of the Preparation Method of CuAl Catalysts and Reaction Phase" Catalysts 15, no. 4: 348. https://doi.org/10.3390/catal15040348
APA StyleMaldonado-Martín, F., García, L., Ruiz, J., Oliva, M., & Arauzo, J. (2025). Selective Conversion of Glycerol to Acetol: Effect of the Preparation Method of CuAl Catalysts and Reaction Phase. Catalysts, 15(4), 348. https://doi.org/10.3390/catal15040348

