Photo-Induced Hydrogen Production from Formic Acid Using a Palladium Catalyst
Abstract
1. Introduction
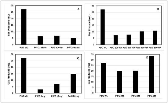
2. Results and Discussions
3. Experimental Section
4. Conclusions
Supplementary Materials
Author Contributions
Funding
Data Availability Statement
Acknowledgments
Conflicts of Interest
References
- Bosu, S.; Rajamohan, N. Recent Advancements in Hydrogen Storage—Comparative Review on Methods, Operating Conditions and Challenges. Int. J. Hydrogen Energy 2024, 52, 352–370. [Google Scholar] [CrossRef]
- Aziz, M.; Oda, T.; Kashiwagi, T. Comparison of Liquid Hydrogen, Methylcyclohexane and Ammonia on Energy Efficiency and Economy. Energy Procedia 2019, 158, 4086–4091. [Google Scholar] [CrossRef]
- Eppinger, J.; Huang, K.-W. Formic Acid as a Hydrogen Energy Carrier. ACS Energy Lett. 2017, 2, 188–195. [Google Scholar] [CrossRef]
- Coffey, R.S. The Decomposition of Formic Acid Catalysed by Soluble Metal Complexes. Chem. Commun. 1967, 18, 923b–924. [Google Scholar] [CrossRef]
- Preuster, P.; Papp, C.; Wasserscheid, P. Liquid Organic Hydrogen Carriers (LOHCs): Toward a Hydrogen-Free Hydrogen Economy. Acc. Chem. Res. 2017, 50, 74–85. [Google Scholar] [CrossRef] [PubMed]
- Enthaler, S.; von Langermann, J.; Schmidt, T. Carbon Dioxide and Formic Acid—The Couple for Environmental-Friendly Hydrogen Storage? Energy Environ. Sci. 2010, 3, 1207–1217. [Google Scholar] [CrossRef]
- Modisha, P.M.; Ouma, C.N.M.; Garidzirai, R.; Wasserscheid, P.; Bessarabov, D. The Prospect of Hydrogen Storage Using Liquid Organic Hydrogen Carriers. Energy Fuels 2019, 33, 2778–2796. [Google Scholar] [CrossRef]
- Sage, V.; Patel, J.; Hazewinkel, P.; Yasin, Q.U.A.; Wang, F.; Yang, Y.; Kozielski, K.; Li, C. Recent Progress and Techno-Economic Analysis of Liquid Organic Hydrogen Carriers for Australian Renewable Energy Export—A Critical Review. Int. J. Hydrogen Energy 2024, 56, 1419–1434. [Google Scholar] [CrossRef]
- Van Hoecke, L.; Laffineur, L.; Campe, R.; Perreault, P.; Verbruggen, S.W.; Lenaerts, S. Challenges in the Use of Hydrogen for Maritime Applications. Energy Environ. Sci. 2021, 14, 815–843. [Google Scholar] [CrossRef]
- Rao, P.C.; Yoon, M. Potential Liquid-Organic Hydrogen Carrier (LOHC) Systems: A Review on Recent Progress. Energies 2020, 13, 6040. [Google Scholar] [CrossRef]
- Meng, S.; Wu, L.; Liu, M.; Cui, Z.; Chen, Q.; Li, S.; Yan, J.; Wang, L.; Wang, X.; Qian, J.; et al. Plasma-Driven CO2 Hydrogenation to CH3OH over Fe2O3/γ-Al2O3 Catalyst. AIChE J. 2023, 69, e18154. [Google Scholar] [CrossRef]
- Fellay, C.; Dyson, P.J.; Laurenczy, G. A Viable Hydrogen-Storage System Based on Selective Formic Acid Decomposition with a Ruthenium Catalyst. Angew. Chem. Int. Ed. 2008, 47, 3966–3968. [Google Scholar] [CrossRef] [PubMed]
- Loges, B.; Boddien, A.; Junge, H.; Beller, M. Controlled Generation of Hydrogen from Formic Acid Amine Adducts at Room Temperature and Application in H2/O2 Fuel Cells. Angew. Chem. Int. Ed. 2008, 47, 3962–3965. [Google Scholar] [CrossRef] [PubMed]
- Grasemann, M.; Laurenczy, G. Formic Acid as a Hydrogen Source—Recent Developments and Future Trends. Energy Environ. Sci. 2012, 5, 8171–8181. [Google Scholar] [CrossRef]
- Atilhan, S.; Park, S.; El-Halwagi, M.M.; Atilhan, M.; Moore, M.; Nielsen, R.B. Green Hydrogen as an Alternative Fuel for the Shipping Industry. Curr. Opin. Chem. Eng. 2021, 31, 100668. [Google Scholar] [CrossRef]
- Kumar, A.; Daw, P.; Milstein, D. Homogeneous Catalysis for Sustainable Energy: Hydrogen and Methanol Economies, Fuels from Biomass, and Related Topics. Chem. Rev. 2022, 122, 385–441. [Google Scholar] [CrossRef]
- Navlani-García, M.; Salinas-Torres, D.; Cazorla-Amorós, D. Hydrogen Production from Formic Acid Attained by Bimetallic Heterogeneous PdAg Catalytic Systems. Energies 2019, 12, 4027. [Google Scholar] [CrossRef]
- Martin, C.; Quintanilla, A.; Casas, J.A. Continuous Hydrogen Production from Liquid-Phase Formic Acid Dehydrogenation over Pd/AC Catalysts: A Kinetic Study. Catal. Today 2024, 439, 114828. [Google Scholar] [CrossRef]
- Martin, C.; Quintanilla, A.; Vega, G.; Casas, J.A. Formic Acid-to-Hydrogen on Pd/AC Catalysts: Kinetic Study with Catalytic Deactivation. Appl. Catal. B Environ. 2022, 317, 121802. [Google Scholar] [CrossRef]
- Sanchez, F.; Alotaibi, M.H.; Motta, D.; Chan-Thaw, C.E.; Rakotomahevitra, A.; Tabanelli, T.; Roldan, A.; Hammond, C.; He, Q.; Davies, T.; et al. Hydrogen Production from Formic Acid Decomposition in the Liquid Phase Using Pd Nanoparticles Supported on CNFs with Different Surface Properties. Sustain. Energy Fuels 2018, 2, 2705–2716. [Google Scholar] [CrossRef]
- Biehler, E.; Quach, Q.; Huff, C.; Abdel-Fattah, T.M. Organo-Nanocups Assist the Formation of Ultra-Small Palladium Nanoparticle Catalysts for Hydrogen Evolution Reaction. Materials 2022, 15, 2692. [Google Scholar] [CrossRef]
- Horten, M.; Osborn, J.; Abdel-Fattah, T.M. Gold Nanoparticles Supported over Low-Cost Supports for Hydrogen Generation from a Hydrogen Feedstock Material. ECS Trans. 2017, 75, 13. [Google Scholar] [CrossRef]
- Zhan, C.; Yi, J.; Hu, S.; Zhang, X.-G.; Wu, D.-Y.; Tian, Z.-Q. Plasmon-Mediated Chemical Reactions. Nat. Rev. Methods Primers 2023, 3, 12. [Google Scholar] [CrossRef]
- Zhang, X.; Chen, Y.L.; Liu, R.-S.; Tsai, D.P. Plasmonic Photocatalysis. Rep. Prog. Phys. 2013, 76, 046401. [Google Scholar] [CrossRef] [PubMed]
- Li, K.; Hogan, N.J.; Kale, M.J.; Halas, N.J.; Nordlander, P.; Christopher, P. Balancing Near-Field Enhancement, Absorption, and Scattering for Effective Antenna–Reactor Plasmonic Photocatalysis. Nano Lett. 2017, 17, 3710–3717. [Google Scholar] [CrossRef]
- Zhou, L.; Martirez, J.M.P.; Finzel, J.; Zhang, C.; Swearer, D.F.; Tian, S.; Robatjazi, H.; Lou, M.; Dong, L.; Henderson, L.; et al. Light-Driven Methane Dry Reforming with Single Atomic Site Antenna-Reactor Plasmonic Photocatalysts. Nat. Energy 2020, 5, 61–70. [Google Scholar] [CrossRef]
- Robatjazi, H.; Zhao, H.; Swearer, D.F.; Hogan, N.J.; Zhou, L.; Alabastri, A.; McClain, M.J.; Nordlander, P.; Halas, N.J. Plasmon-Induced Selective Carbon Dioxide Conversion on Earth-Abundant Aluminum-Cuprous Oxide Antenna-Reactor Nanoparticles. Nat. Commun. 2017, 8, 27. [Google Scholar] [CrossRef] [PubMed]
- De Marchi, S.; Núñez-Sánchez, S.; Bodelón, G.; Pérez-Juste, J.; Pastoriza-Santos, I. Pd Nanoparticles as a Plasmonic Material: Synthesis, Optical Properties and Applications. Nanoscale 2020, 12, 23424–23443. [Google Scholar] [CrossRef]
- Sadjadi, S.; Malmir, M.; Lazzara, G.; Cavallaro, G.; Heravi, M.M. Preparation of Palladated Porous Nitrogen-Doped Carbon Using Halloysite as Porogen: Disclosing Its Utility as a Hydrogenation Catalyst. Sci. Rep. 2020, 10, 2039. [Google Scholar] [CrossRef]
- Voogt, E.H.; Mens, A.J.M.; Gijzeman, O.L.J.; Geus, J.W. XPS Analysis of Palladium Oxide Layers and Particles. Surf. Sci. 1996, 350, 21–31. [Google Scholar] [CrossRef]
- Wang, H.; Wang, Z.; Zhang, Z.; Fan, Y.; Fu, X.; Dai, W. Enhanced Photocatalytic Hydrogen Production from Formic Acid with Reversible Electron Transfers in PdO/TiO2. Fuel 2024, 362, 130865. [Google Scholar] [CrossRef]
- Al-Azmi, A.; Keshipour, S. Carbon-Doping as Efficient Strategy for Improving Photocatalytic Activity of Polysilicon Supported Pd in Hydrogen Evolution from Formic Acid. Polymers 2021, 13, 3919. [Google Scholar] [CrossRef]






Disclaimer/Publisher’s Note: The statements, opinions and data contained in all publications are solely those of the individual author(s) and contributor(s) and not of MDPI and/or the editor(s). MDPI and/or the editor(s) disclaim responsibility for any injury to people or property resulting from any ideas, methods, instructions or products referred to in the content. |
© 2025 by the authors. Licensee MDPI, Basel, Switzerland. This article is an open access article distributed under the terms and conditions of the Creative Commons Attribution (CC BY) license (https://creativecommons.org/licenses/by/4.0/).
Share and Cite
Abdel-Fattah, T.M.; Biehler, E.; Smeaton, M.A.; Gennett, T.; Leick, N. Photo-Induced Hydrogen Production from Formic Acid Using a Palladium Catalyst. Catalysts 2025, 15, 213. https://doi.org/10.3390/catal15030213
Abdel-Fattah TM, Biehler E, Smeaton MA, Gennett T, Leick N. Photo-Induced Hydrogen Production from Formic Acid Using a Palladium Catalyst. Catalysts. 2025; 15(3):213. https://doi.org/10.3390/catal15030213
Chicago/Turabian StyleAbdel-Fattah, Tarek M., Erik Biehler, Michelle A. Smeaton, Thomas Gennett, and Noemi Leick. 2025. "Photo-Induced Hydrogen Production from Formic Acid Using a Palladium Catalyst" Catalysts 15, no. 3: 213. https://doi.org/10.3390/catal15030213
APA StyleAbdel-Fattah, T. M., Biehler, E., Smeaton, M. A., Gennett, T., & Leick, N. (2025). Photo-Induced Hydrogen Production from Formic Acid Using a Palladium Catalyst. Catalysts, 15(3), 213. https://doi.org/10.3390/catal15030213

