CdS Quantum Dot Encapsulated in Anatase/Silica Core–Shell Nanostructures: A Synergistic Approach for Efficient Photocatalytic Water Purification
Abstract
1. Introduction
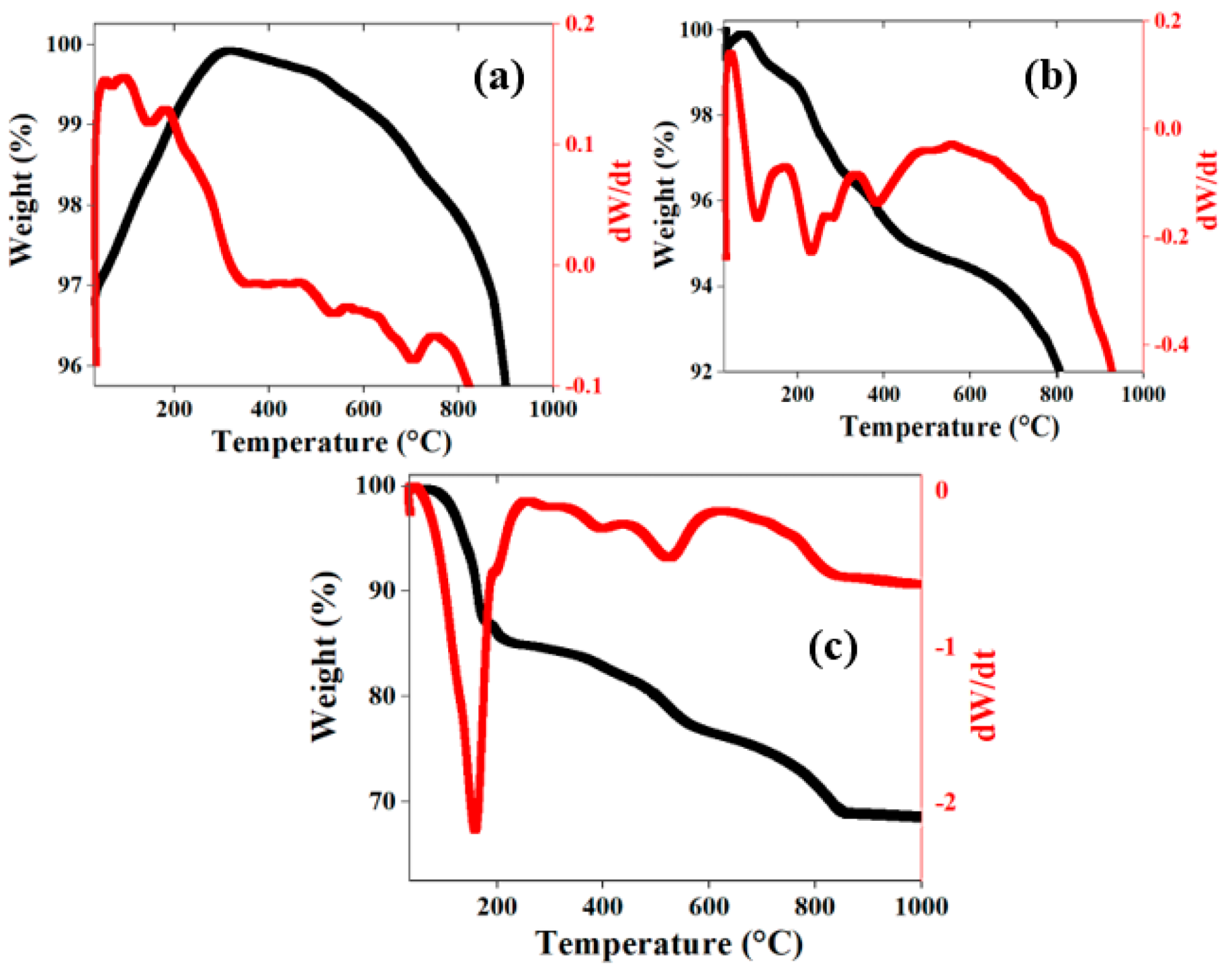
2. Results and Discussions
3. Materials and Methods
3.1. Materials
3.2. Heterogeneous Catalyst Synthesis
- For CdS-QD sol, 5 mg of commercially available CdS powder was dispersed in 100 mL of EtOH and 100 mL of deionized (DI) water. Afterward, the sol was stirred and heated for 2 h at 80 °C;
- For ANP (anatase nanoparticle) sol synthesis, 10 mL of Ti(OBu)4 was mixed in 200 mL of diluted IPA (100 mL of DI water/100 mL of IPA), followed by 5 mL of nitric acid. Under continuous stirring, the solution was heat treated at 80 °C for 2 h and labeled as anatase nanoparticle (ANP) sol. The mixture with 50 mL of CdS-QD sol and 50 mL of ANP sol was stirred and heat treated at 90 °C for 2 h. The final product had yellow grains and was named CdS-ANS;
- A total of 10 mL of TEOS was dissolved in 200 mL of diluted EtOH (100 mL of DI water/100 mL of EtOH) and 5 mL of HNO3, followed by 5 mL of the 0.005 M concentrated CTAB solution. The mixture was stirred and heat treated for 1 h at 70 °C. The silica sol was aged at room temperature for 24 h;
- For the CdS-ASCS photocatalyst, 50 mL of CdS-QDs was mixed with 50 mL of CdS-ANS sol and 50 mL of SiO2 sol under constant stirring and heat treated for 2 h at 90 °C. The final product had yellowish grains with a pH of 2.
3.3. Experiment of Methylene Blue Photodegradation
3.4. Characterizations
4. Conclusions
Author Contributions
Funding
Data Availability Statement
Acknowledgments
Conflicts of Interest
References
- Xue, Y.; Du, C.; Wu, Z.; Zhang, L. Relationship of cellulose and lignin contents in biomass to the structure and RB-19 adsorption behavior of activated carbon. New J. Chem. 2018, 42, 16493–16502. [Google Scholar] [CrossRef]
- Ekka, B.; Sahu, M.K.; Patel, R.K.; Dash, P. Titania coated silica nanocomposite prepared via encapsulation method for the degradation of Safranin-O dye from aqueous solution: Optimization using statistical design. Water Resour. Ind. 2019, 22, 100071. [Google Scholar] [CrossRef]
- Muraro, P.C.L.; Mortari, S.R.; Vizzotto, B.S.; Chuy, G.; Dos Santos, C.; Brum, L.F.W.; da Silva, W.L. Iron oxide nanocatalyst with titanium and silver nanoparticles: Synthesis, characterization, and photocatalytic activity on the degradation of Rhodamine B dye. Sci. Rep. 2020, 10, 3055. [Google Scholar] [CrossRef] [PubMed]
- Reddy, K.R.; Hassan, M.; Gomes, V.G. Hybrid nanostructures based on titanium dioxide for enhanced photocatalysis. Appl. Catal. A Gen. 2015, 489, 1–16. [Google Scholar] [CrossRef]
- Yang, G.; Yan, W.; Zhang, Q.; Shen, S.; Ding, S. One-dimensional CdS/ZnO core/shell nanofibers via single-spinneret electrospinning: Tunable morphology and efficientphotocatalytic hydrogen production. Nanoscale 2013, 5, 12432–12439. [Google Scholar] [CrossRef]
- Janbandhu, S.Y.; Joshi, A.; Munishwar, S.R.; Gedam, R.S. CdS/TiO2 heterojunction in glass matrix: Synthesis, characterization, and application as an improved photocatalyst. Appl. Surf. Sci. 2019, 497, 143758. [Google Scholar] [CrossRef]
- Islam, S.; Alshoaibi, A. Thermally and optically functionalized Anatase nano-cavities based fiber optic pH sensor. Mater. Res. Bull. 2021, 133, 111017. [Google Scholar] [CrossRef]
- Alshoaibi, A.; Islam, S. Mesoporous zinc oxide supported silica-titania nanocomposite: Structural, optical, and photocatalytic activity. J. Alloys Compd. 2021, 881, 160582. [Google Scholar] [CrossRef]
- Vasudevan, D.; Gaddam, R.R.; Trinchi, A.; Cole, I. Core–shell quantum dots: Properties and applications. J. Alloys Compd. 2015, 636, 395–404. [Google Scholar] [CrossRef]
- Islam, S. Influence of Phthalein dyes on structural, optical, and sensing properties of zinc oxide supported Silica-titania nanocomposite. Spectrochim. Acta Part A Mol. Biomol. Spectrosc. 2024, 308, 123686. [Google Scholar] [CrossRef]
- Uma, K.; Chen, S.-W.; KrishnaKumar, B.; Jeyaprabha, C.; Yang, T.C.-K.; Lin, J.-H. Enhanced photocatalytic activity of CdS nnanostar decorated SiO2/TiO2 composite spheres and the simulation effect using FDTD model. Ionics 2021, 27, 397–406. [Google Scholar] [CrossRef]
- El-Maghrabi, H.H.; Barhoumc, A.; Nadaa, A.A.; Moustafaa, Y.M.; Seliman, S.M.; Youssef, A.M.; Bechelany, M. Synthesis of mesoporous core-shell CdS@TiO2 (0D and 1D) photocatalysts for solar-driven hydrogen fuel production. J. Photochem. Photobiol. A Chem. 2018, 351, 261–270. [Google Scholar] [CrossRef]
- Alamer, K.; Islam, S.; Alshoaibi, A.; Alnaim, N.; Bakhtiar, H. CdTe nanoparticles encapsulation in mesoporous titania-silica nanocomposite for phenol red pH sensing. Opt. Mater. 2024, 148, 114889. [Google Scholar] [CrossRef]
- Islam, S.; Alshoaibi, A.; Bakhtiar, H.; Alamer, K.; Mazher, J.; Alhashem, Z.H.; Hatshan, M.R.; Aleithan, S.H. Mesoporous CdTe supported SiO2-TiO2 nanocomposite: Structural, optical, and photocatalytic applications. Mater. Res. Bull. 2023, 161, 112172. [Google Scholar] [CrossRef]
- Mahy, J.G.; Lejeune, L.; Haynes, T.; Lambert, S.D.; Marcilli, R.H.; Fustin, C.; Hermans, S. Eco-Friendly Colloidal Aqueous Sol-Gel Process for TiO2 Synthesis: The Peptization Method to Obtain Crystalline and Photoactive Materials at Low Temperature. Catalysts 2021, 11, 768. [Google Scholar] [CrossRef]
- Oliveira, G.V.; da Silva, W.L.; de Oliveira, E.R.; Lansarin, M.A.; Santos, J.H.Z.D. Foundry Sands as Supports for Heterogeneous Photocatalysts. Water Air Soil. Pollut. 2016, 227, 373. [Google Scholar] [CrossRef]
- Durgadevi, G.; Ajaikumar, S.; Chandran, M.; Kuppusamy, M.R.; Dinakaran, K. Synthesis and characterization of CdS nanoparticle anchored Silica-Titania mixed Oxide mesoporous particles: Efficient photocatalyst for discoloration of textile effluent. Int. J. Nano Dimens. 2019, 10, 272–280. [Google Scholar]
- Nazir, A.; Tahir, M.S.; Kamal, G.M.; Zhang, X.; Tahir, M.B.; Jiang, B.; Safdar, M. Fabrication of Ternary MoS2/CdS/Bi2S3-Based Nano Composites for Photocatalytic Dye Degradation. Molecules 2022, 28, 3167. [Google Scholar] [CrossRef]
- Islam, S.; Alshoaibi, A. Crack-alleviated gold-assisted silica-titania three-layered fiber optic pH sensor. Mater. Chem. Phys. 2024, 316, 129102. [Google Scholar] [CrossRef]
- Islam, S.; Alshoaibi, A.; Alamer, K.; Alnaim, N. Fast responsive mesoporous silver supported silica nanocomposite for pH sensing. Sens. Actuators A Phys. 2024, 365, 114896. [Google Scholar] [CrossRef]
- Widati, A.A.; Abdulloh, A.; Khasanah, M.; Kusumawati, R.; Cahyandaru, N. Fabrication of silica-titania as consolidant and self-cleaning for the conservation of andesite stone. Int. J. Conserv. Sci. 2017, 8, 411–418. [Google Scholar]
- Li, X.; Dong, H.; Wang, B.; Lv, J.; Xu, G.; Wang, D.; Wu, Y. Controllable Synthesis of MoS2/h-CdS/c-CdS Nanocomposites with Enhanced Photocatalytic Hydrogen Evolution Under Visible Light Irradiation. Catal. Lett. 2018, 148, 3445–3453. [Google Scholar] [CrossRef]
- Islam, S.; Alshoaibi, A.; Alamer, K. Mesoporous cuprous oxide supported Anatase-silica nanocomposite: Structural, optical, and Photocatalytic applications. Opt. Mater. 2024, 156, 115982. [Google Scholar] [CrossRef]
- Kumar, S.; Sharma, J.K. Stable phase CdS nanoparticles for optoelectronics: A study on surface morphology, structural and optical characterization. Mater. Sci.-Pol. 2016, 34, 368–373. [Google Scholar] [CrossRef]
- Matthias, T.; Katsumi, K.; Neimark, A.V.; Olivier, J.P.; Rodriguez-Reinoso, F.; Rouquerol, J.; Kenneth, S.W.S. Physisorption of gases, with special reference to the evaluation of surface area and pore size distribution (IUPAC Technical Report). Pure Appl. Chem. 2015, 87, 1051–1069. [Google Scholar]
- Zhang, H.; Yang, D.; Ma, X.; Ji, Y.; Li, S.; Que, D. Self-assembly of CdS: From nanoparticles to nanorods and arrayed nanorod bundles. Mater. Chem. Phys. 2005, 93, 65–69. [Google Scholar] [CrossRef]
- Boer, K.W.; Pohl, U.W. Optical Properties of Defects. In Semiconductor Physics; Springer: Cham, Switzerland, 2023. [Google Scholar]
- Singh, M.; Goyal, M.; Devlal, K. Size and shape effects on the band gap of semiconductor compound nanomaterials. J. Taibah Univ. Sci. 2018, 12, 470–475. [Google Scholar] [CrossRef]
- Wageh, S.; Maize, M.; Donia, A.M.; Al-Ghamdi, A.A.; Umar, A. Synthesis and Characterization of Mercaptoacetic Acid Capped Cadmium Sulphide Quantum Dots. J. Nanosci. Nanotechnol. 2015, 15, 9861–9867. [Google Scholar] [CrossRef]
- Karthika, S.; Prathibha, V.; Ann, M.K.A.; Viji, V.; Biju, P.R.; Unnikrishnan, N.V. Structural and Spectroscopic Studies of Sm3+/CdS Nanocrystallites in Sol–Gel TiO2-ZrO2 Matrix. J. Electron. Mater. 2014, 43, 447–451. [Google Scholar] [CrossRef]
- Islam, S. Au and zincite assisted silica-titania nanocomposite coated fiber optic pH sensor: Structural thermal, and optical characteristics. Opt. Mater. 2023, 136, 113405. [Google Scholar] [CrossRef]
- Kaur, A.; Kaur, M.; Singh, V.; Vyas, P. Nanocomposites of Ferrites with TiO2, SiO2 and Carbon Quantum Dots as Photocatalysts for Degradation of Organic Pollutants and Microbes. Magnetochemistry 2023, 9, 127. [Google Scholar] [CrossRef]
- Rehman, G.; Tahir, M.; Goh, P.S.; Ismail, A.F.; Khan, I.U. Controlled synthesis of reduced graphene oxide supported magnetically separable Fe3O4@rGO@AgI ternary nanocomposite for enhanced photocatalytic degradation of phenol. Powder Technol. 2019, 356, 547–558. [Google Scholar] [CrossRef]
- Wu, X.Q.; Shao, Z.D.; Liu, Q.; Xie, Z.; Zhao, F.; Zheng, Y.M. Flexible and porous TiO2/SiO2/carbon composite electrospun nanofiber mat with enhanced interfacial charge separation for photocatalytic degradation of organic pollutants in water. J. Colloid Interface Sci. 2019, 553, 156–166. [Google Scholar] [CrossRef]
- Babyszko, A.; Wanag, A.; Sadłowski, M.; Morawski, A.W. Synthesis and Characterization of SiO2/TiO2 as Photocatalyst on Methylene Blue Degradation. Catalysts 2022, 12, 1372. [Google Scholar] [CrossRef]
- Hamisu, A.; Adeyi, A.A.; Chijioke-Okere, M. Preparation and visible light-catalytic activity of cadmium doped titania nanotube. J. Mater. Environ. Sci. 2021, 12, 329–345. [Google Scholar]
- Ullah, H.; Viglašová, E.; Galambos, M. Visible Light-Driven Photocatalytic Rhodamine B Degradation Using CdS Nanorods. Processes 2021, 9, 263. [Google Scholar] [CrossRef]
- Ravikumar, S.; Mani, D.; Chicardi, E.; Sepúlveda, R.; Balu, K.; Pandiyan, V.; Ahn, Y.-H. Development of highly efficient cost-effective CdS/Ag nanocomposite for removal of azo dyes under UV and solar light. Ceram. Int. 2023, 49, 9551–9559. [Google Scholar] [CrossRef]














| Sample Name | Crystal Phase | Dv (nm) | Space Group | Phase (%) | a (Å) | C (Å) | Cell Volume (A3) | Lattice |
|---|---|---|---|---|---|---|---|---|
| CdS-QDs | Hawleyite | 4.05 | F -4 3 m (216) | 90.67 | 5.81000 Å | 196.10 | Cubic | |
| CdSO4 | P -3 m 1 (164) | 2.03 | 5.01200 Å | 7.63700 Å | 166.14 | Hexagonal | ||
| CdS-ANS | Anatase | 2.9 | I 41/a m d:1 (141) | 16.79 | 3.78920 Å | 9.53700 Å | 136.90 | Tetragonal |
| Hawleyite | F -4 3 m (216) | 69.01 | 5.81800 Å | 196.93 | Cubic | |||
| CdS-ASCS | Anatase | 1.3 | I 41/a m d:1 (141) | 73.13 | 3.78920 Å | 9.53700 Å | 136.90 | Tetragonal |
| Hawleyite | F -4 3 m (216) | 10.51 | 5.81000 Å | 196.10 | Cubic | |||
| Quartz | P 62 2 2 (180) | 17.13 | 5.01000 Å | 5.47000 Å | 118.90 | Hexagonal |
| Nano Photocatalyst | Dye | Degradation (%), Time, Rate Constant | Light Source | Ref. |
|---|---|---|---|---|
| CdTe doped SiO2-TiO2 | MB | 95%, 180 min; 0.01 min−1 | 6 W UV lamp | [12] |
| TiO2/SiO2/carbon nanofiber | Rhodamine B (RhB) | 61%; 120 min; 0.009 min−1 | 15 W UV lamp | [34] |
| SiO2-TiO2 | MB | 43%, 300 min, 0.225 min−1 | 20 W UV lamp | [35] |
| Cd doped TiO2 nanotube | MB | 60.1%, 240 min | 10 Watt LED | [36] |
| CdS nanorods (5 mg–10 mg) | RhB | 57–88.4%, 120 min 0.15 × 10−2 min−1 | 300 W incandescent lamp | [37] |
| CdS doped silver | Reactive Red 120 | 93%, 120 min, 0.0284 min−1 | 8 W mercury UV lamp | [38] |
| CdS-QDs CdS-ANS CdS-ASCS | MB | 57% (0.004 min−1), 74% (0.006 min−1), 91% (0.01 min−1), 240 min | 6 W UV lamp | This work |
Disclaimer/Publisher’s Note: The statements, opinions and data contained in all publications are solely those of the individual author(s) and contributor(s) and not of MDPI and/or the editor(s). MDPI and/or the editor(s) disclaim responsibility for any injury to people or property resulting from any ideas, methods, instructions or products referred to in the content. |
© 2025 by the authors. Licensee MDPI, Basel, Switzerland. This article is an open access article distributed under the terms and conditions of the Creative Commons Attribution (CC BY) license (https://creativecommons.org/licenses/by/4.0/).
Share and Cite
Alshoaibi, A.; Islam, S.; Alamer, K. CdS Quantum Dot Encapsulated in Anatase/Silica Core–Shell Nanostructures: A Synergistic Approach for Efficient Photocatalytic Water Purification. Catalysts 2025, 15, 182. https://doi.org/10.3390/catal15020182
Alshoaibi A, Islam S, Alamer K. CdS Quantum Dot Encapsulated in Anatase/Silica Core–Shell Nanostructures: A Synergistic Approach for Efficient Photocatalytic Water Purification. Catalysts. 2025; 15(2):182. https://doi.org/10.3390/catal15020182
Chicago/Turabian StyleAlshoaibi, Adil, Shumaila Islam, and Kawther Alamer. 2025. "CdS Quantum Dot Encapsulated in Anatase/Silica Core–Shell Nanostructures: A Synergistic Approach for Efficient Photocatalytic Water Purification" Catalysts 15, no. 2: 182. https://doi.org/10.3390/catal15020182
APA StyleAlshoaibi, A., Islam, S., & Alamer, K. (2025). CdS Quantum Dot Encapsulated in Anatase/Silica Core–Shell Nanostructures: A Synergistic Approach for Efficient Photocatalytic Water Purification. Catalysts, 15(2), 182. https://doi.org/10.3390/catal15020182

