You are currently viewing a new version of our website. To view the old version click .
Catalysts
  • Feature Paper
  • Article
  • Open Access

23 January 2025

Hydrogen Energy Storage via CO2 Hydrogenation over Catalysts Prepared by Layered Double Hydroxide Precursor

,
,
,
and
College of New Energy and Materials, China University of Petroleum-Beijing, Beijing 102249, China
*
Author to whom correspondence should be addressed.
This article belongs to the Special Issue Catalytic Applications of Layered Double Hydroxides

Abstract

Converting CO2 and green hydrogen into products such as methane and methanol not only has a negative carbon effect, but also stores renewable energy into energy chemicals. This represents a promising route for hydrogen energy storage technologies. The hydrogenation of CO2 to methane and methanol, which represent strongly exothermic reactions, are thermodynamically favored at low temperatures. However, the inherent inertness of CO2 makes it difficult to activate CO2 at low temperatures. Both reactions face the challenge of activating CO2 at low temperature, so catalysts exhibiting high activity under such conditions are a critical need. Layered double hydroxides (LDHs) have attracted considerable interest owing to their regular layered structure and uniform dispersion of multiple metallic components. However, there are few studies on the same effects of promoters over LDHs-derived catalysts. Here, we investigated the same effects of promoters on two LDHs-derived catalysts in different CO2 hydrogenation reactions to illustrate the effects of promoters on facilitating low-temperature CO2 activation in LDHs-derived catalysts. By adding promoters Fe and Mn to the catalysts NiAl-Fe and CuZnAl-Mn, the crystal lattices were expanded, surface areas were increased 38% and 25%, and the reduction temperatures were decreased to 97 °C and 10 °C, respectively. These promoters significantly enhanced the CO2 adsorption and activation of the catalysts NiAl-Fe and CuZnAl-Mn. The methanation catalyst NiAl-Fe achieved a CO2 conversion of 80.8% at 200 °C and 2 MPa, while the methanol synthesis catalyst CuZnAl-Mn exhibited a CO2 conversion of 21.3% and a methanol selectivity of 61.8% under the conditions of 250 °C and 3 MPa. The influence of the LDHs precursors’ structure and the addition of promoters Fe and Mn on the catalytic performance were studied by XRD, N2 adsorption–desorption, H2-TPR, H2-TPD, and CO2-TPD.

1. Introduction

As one of the predominant greenhouse gases, CO2 has caused global environmental and energy problems, leading to an increasing focus on the conversion and utilization of CO2 [1,2,3]. Carbon dioxide represents a cheap and accessible carbon source. The efficient and economical conversion and utilization of CO2 could substantially contribute to mitigating carbon emissions and advancing sustainable development [4,5,6,7]. The standard formation enthalpy ( Δ f H ) of CO2 is −393.5 kJ/mol, and the CO2 is suitable as a raw material for chemical energy storage due to its notably low Δ f H . The standard Gibbs free energy ( Δ f G ) of CO2 is −394.4 kJ/mol, further highlighting the thermodynamic stability of CO2. Therefore, the chemical conversion of CO2 requires a large amount of energy or hydrogen to facilitate the reaction. With the development of renewable energy such as wind and solar power, along with advancements in water electrolysis for hydrogen production technology, the cost of green hydrogen is experiencing a decline. This reduction in cost significantly enhances the economic viability and practicality of converting CO2 into products like methane and methanol through hydrogenation processes. Not only do these two reactions represent viable pathways for CO2 utilization, but they also hold the potential to store intermittent renewable energy as methane and methanol, serving dual roles as energy carriers and contributors to carbon emission mitigation [8,9,10,11].
Both CO2 methanation and CO2 hydrogenation to methanol are exothermic reactions with a decrease in the number of molecules, and are favored at low temperatures and high pressures. As shown in Figure 1, the CO2 hydrogenation to methanol faces significant thermodynamic limitations, contrasting with the CO2 methanation, which does not encounter such restrictions. Both reactions are significantly exothermic, indicating that the position of equilibrium is highly dependent on the reaction type and temperature. Despite both reactions being thermodynamically favored at low temperatures, the challenge of activating CO2 at those temperatures is a shared issue for both reactions. And the high temperature is conducive to the occurrence of side reaction reverse water gas shift (RWGS). Therefore, investigating catalysts that exhibit high activity at low temperatures is essential for enhancing the thermodynamic favorability of these reactions, particularly in the context of methanol synthesis via CO2 hydrogenation [12]. The catalyst systems play a crucial role in the activation and conversion of CO2 to generate desired products. For the CO2 methanation reaction, metals such as Ni, Co, Ru, Rh, and Fe have been employed as active components [11,12,13,14,15]. Ru and Rh catalysts, despite their higher activities, are not suitable for large-scale industrial applications due to their high costs. Co- and Fe-based catalysts tend to generate high-carbon hydrocarbons, which leads to diminished CH4 selectivity. In contrast, Ni-based catalysts exhibit favorable methanation performance coupled with economic viability, making them the most extensively researched class of catalysts. Notably, NiAl systems are among the most frequently investigated catalysts within this category [16,17,18]. In the realm of methanol synthesis catalysts, the predominant categories include Cu-based catalysts [3,19,20,21], metal oxide catalysts [4,22], precious metal catalysts [23,24,25,26], etc. Cu-based catalysts, in particular, have garnered extensive research attention due to their economical preparation costs and favorable catalytic performance. Notably, within this category, CuZnAl system catalysts [20,27,28,29] stand out as the most widely utilized industrial catalysts. In addition, oxide catalysts such as ZnO-Cr2O3, ZnO-ZrO2 [30], and In2O3 [31,32,33] also exhibit significant CO2 catalytic activity for methanol synthesis. The application of precious metal catalysts like Pt and Pd catalysts in industrial production is constrained by their high costs. In addition to the above common catalyst systems, Hu et al. have reported on the MoS2 nanosheet catalyst, which efficiently catalyzes CO2 hydrogenation to methanol through sulfur vacancies in the plane [34]. In summary, the predominant catalyst systems for CO2 hydrogenation to methane and methanol are NiAl and CuZnAl, respectively. While these systems offer favorable economics, their capacity to activate CO2 at low temperatures remains inferior to that of precious metal catalysts. Enhancing the low-temperature activation capabilities of these catalysts is crucial for their industrial application. The promoter Fe [35,36] enhances the catalyst’s CO2 adsorption and activation capabilities by inducing oxygen vacancies, while also improving the catalyst’s reducibility and alkalinity. The promoter Mn [37,38], on the other hand, augments the catalyst’s low-temperature CO2 activation ability by increasing the BET specific surface area and promoting the dispersion of active components. Consequently, we incorporated Fe and Mn as promoters into the catalysts for our study.
Figure 1. (a) The standard thermodynamic parameters; (b) the equilibrium constants of methanation and methanol synthesis reactions.
For the catalytic conversion of CO2, the presence of active components is essential, and the adsorption capacity of the catalyst for CO2 is also important. The LDHs structure can not only disperse multiple metal components evenly, but it can also adjust the alkalinity and interaction between interfaces through synthetic methods. Therefore, it is often used to synthesize adsorbent and catalytic materials [1,2,36,39,40,41]. The synthesis of catalysts by LDHs can allow them to obtain strong CO2 adsorption capacity, and the adsorption and activation of CO2 can be further enhanced by promoters. However, limited research has explored the similarities among LDHs-derived catalysts with different components in terms of their catalytic conversion of CO2. Therefore, we focused on the prevalent active components employed in CO2 methanation and the hydrogenation of CO2 to methanol, synthesizing the respective catalysts through LDHs structure precursors. The strategic incorporation of promoters was employed to enhance catalytic performance. Consequently, we successfully prepared NiAl-Fe and CuZnAl-Mn catalysts, which are designed for the catalytic conversion of CO2 to methane and methanol, respectively. Both catalysts, derived from LDHs precursors, have exhibited promising CO2 catalytic activity at low temperatures. By investigating the same effect of promoters on catalysts derived from LDHs, we aim to bring new ideas to the design of catalysts for CO2 hydrogenation.

2. Results and Discussion

Figure 2 shows the CO2 conversion and CH4 selectivity of CO2 methanation on NiAl and NiAl-Fe catalysts. As shown in Figure 2, there is an initial increase in the CO2 conversion of both catalysts followed by a decline with further temperature rises. A distinct inflection point is observed at 400 °C in CO2 conversion. Below this temperature, the NiAl-Fe catalyst demonstrates markedly higher CO2 conversion compared to the NiAl catalyst, with the disparity widening at lower temperatures. Notably, at 200 °C, NiAl exhibits negligible activity, in contrast to the CO2 conversion of 80.9% achieved by NiAl-Fe. Above 400 °C, the CO2 conversions of both catalysts converge, approaching the theoretical value of thermodynamic equilibrium. Figure 2 demonstrates that within the experimental temperature range, the CH4 selectivity for both catalysts is quite similar, with a general downward trend as temperature increases. Below 350 °C and above 500 °C, the CH4 selectivity for the NiAl catalyst is slightly higher than that observed for the NiAl-Fe catalyst.
Figure 2. Catalytic results of CO2 methanation over NiAl and NiAl-Fe at different temperatures (2 MPa, 12,000 h−1).
These results indicate that the precursor of hydrotalcite structure and the promoter modification are instrumental in enhancing the low-temperature activity of CO2 methanation catalysts. Theoretically, for temperatures below 361 °C, CO2 methanation (K > 1.0 × 104 at T < 361 °C) is almost not limited by thermodynamic equilibrium, and the reaction is mainly affected by CO2 activation. Figure 2 demonstrates that below 400 °C, CO2 activation is significantly influenced by the catalyst, with lower temperatures leading to greater deviations from thermodynamic equilibrium value. The discrepancies among different catalysts are pronounced at these temperatures. At high temperatures, the inherent energy of the CO2 molecule, facilitated by the catalyst and hydrogen, is adequate for CO2 activation. The CO2 conversion is predominantly limited by the thermodynamic equilibrium of methanation and RWGS. Above 400 °C, as shown in Figure 2, the CO2 conversions for both catalysts converge, approaching the thermodynamic equilibrium value closely.
Figure 2 illustrates that the CH4 selectivity for the NiAl-Fe catalyst is slightly lower than that for the NiAl catalyst at temperatures below 350 °C and above 500 °C. This trend may be attributed to the Fischer–Tropsch process performance of the Fe promoter in NiAl-Fe, which is known to generate minor quantities of C2+ hydrocarbons and oxygenated organics. Additionally, the sharp decline in CH4 selectivity beyond 500 °C is likely due to the promotion of the endothermic RWGS reaction at high temperatures. The CH4 selectivity of the test results closely aligns with the thermodynamic equilibrium results, suggesting that the hydrotalcite-derived catalyst exhibits good catalytic performance.
Figure 3 presents the CO2 conversion and methanol selectivity for the hydrogenation of CO2 to methanol over the CuZnAl and CuZnAl-Mn catalysts. Figure 3 indicates that the CO2 conversion for both catalysts increases with rising temperature. At 210 °C, the CO2 conversions for the two catalysts are comparable, but beyond this temperature, the CuZnAl-Mn exhibits significantly higher CO2 conversion than the CuZnAl catalyst, with the disparity intensifying at elevated temperatures. Figure 3 reveals that the methanol selectivity for both catalysts declines as temperature increases, and the CuZnAl-Mn catalyst consistently demonstrates higher methanol selectivity than the CuZnAl catalyst across various temperatures.
Figure 3. Catalytic results of CO2 hydrogenation to methanol over CuZnAl and CuZnAl-Mn at different temperatures (3 MPa, 3600 h−1).
Similar to CO2 methanation, the use of hydrotalcite-structured precursors and promoters is instrumental in enhancing the activity and selectivity of catalysts for CO2 hydrogenation to methanol. Within the temperature range of 210–270 °C, the thermodynamic equilibrium constant for CO2 hydrogenation to methanol (K210 °C = 7.1 × 10−5, K270 °C = 1.4 × 10−5) is exceedingly small, being 2–3 orders of magnitude lower than that of the side reaction RWGS (K210 °C = 5.3 × 10−5, K270 °C = 1.6 × 10−2). Pressurization, while beneficial for methanol synthesis, faces challenges in activating CO2 at low temperatures, meaning CO2 conversion is predominantly kinetically controlled. Lower temperatures result in a greater deviation of CO2 conversion from thermodynamic equilibrium. On the other hand, as temperatures rise, the selectivity for CO2 hydrogenation to CH3OH aligns with the thermodynamic trend. This alignment is attributed to methanol formation being highly exothermic, in contrast to the endothermic nature of the RWGS side reaction. Notably, within the tested temperature range, the methanol selectivity for CuZnAl-Mn exceeds that of CuZnAl by approximately 5%, suggesting that the incorporation of Mn in CuZnAl-Mn renders it kinetically more advantageous for methanol synthesis, facilitating the removal of by-product H2O and the further hydrogenation of the intermediate CO*.
Table 1 summarizes a comparison among the catalysts in this work and from the literature. The catalysts derived from LDHs modified by promoters have significantly stronger low-temperature activity in both reactions. And it can also be seen from Figure S2 that NiAl-Fe has far surpassed industrial catalysts in terms of low-temperature activation ability, and CuZnAl-Mn catalysts are also stronger than industrial catalysts at a typical reaction temperature of 250 °C. In general, the catalytic performance of LDHs-derived catalysts can be improved by modifying them with promoters. Subsequently, we aim to investigate the consistent effects of two distinct catalysts modified by promoters to offer insights into the development of LDHs-derived catalysts.
Table 1. Comparison of the catalytic performance.
Figure 4 displays the XRD patterns of the two methanation catalyst precursors and their corresponding calcined forms. Figure 4a reveals that both precursors have a hydrotalcite structure, with diffraction peaks at 11.5°, 23.1°, 34.8°, 39.3°, and 46.8° corresponding to the crystal planes (003), (009), (10 2 - ), (10 5 - ), and (10 8 - ) of hydrotalcite (PDF#96-900-9273), respectively. The NiAl-LDHs without promoters exhibit more intense diffraction peaks compared to the NiAl-Fe-LDHs with added Fe. Furthermore, the addition of Fe (the atomic radius of Fe is 132 pm, which is larger than that of Ni 124 pm and Al 121 pm) results in a shift of approximately 0.2° to lower angles for the two most intense diffraction peaks at 11.5° and 23.1°, suggesting an expansion of the hydrotalcite lattice. This expansion implies a reduction in the interaction strength between the lattice atoms.
Figure 4. XRD patterns of (a) precursors (NiAl-LDHs and NiAl-Fe-LDHs) and (b) catalysts (NiAl and NiAl-Fe).
Upon the calcination of the precursors, the NiAl and NiAl-Fe catalysts in Figure 4b were obtained. Both catalysts exhibit three intense diffraction peaks at 37.3°, 43.4°, and 63.0°, corresponding to the crystal planes (111), (020), and (022) of NiO (PDF#96-900-8694), respectively. The diffraction peaks of NiAl-Fe are considerably weaker compared to those of NiAl. Additionally, the 2θ values of the diffraction peaks for NiAl-Fe shift to lower angles by approximately 0.1°, further confirming that the addition of promoter Fe results in lattice expansion and a reduction in atomic interaction strength. The NiO crystallite size of NiAl (4.9 nm) is notably larger than that of NiAl-Fe (4.3 nm), calculated by the integral breadth. The absence of diffraction peaks for aluminum oxide on either catalyst and for Fe oxide in NiAl-Fe suggests that Al and Fe are well dispersed within the catalyst, or are present in an amorphous state. These results indicate that the addition of promoter Fe refines and disperses the NiO crystals in the NiAl-Fe catalyst, which means that NiAl-Fe can not only provide more low-coordinated and highly active Ni centers, but also that the lattice expansion causes Ni to provide more electron-activated reactant molecules.
Figure 5 presents the XRD patterns of the precursors for methanol synthesis catalysts and their corresponding calcined forms. Figure 5a indicates that both precursors exhibit obvious hydrotalcite diffraction peaks. The intensity of diffraction peaks for the CuZnAl-Mn-LDHs precursor with the addition of Mn is slightly enhanced compared to that of CuZnAl-LDHs without the promoter, which may be likely attributable to the influence of Mn. Consistent with the observations in the NiAl system, the addition of Mn to the CuZnAl system catalyst results in a subtle shift of the 2θ values for the two most intense diffraction peaks at 11.5° and 23.1°. This shift suggests an expansion of the hydrotalcite lattice and a corresponding reduction in the strength of atomic interactions upon the incorporation of the promoter Mn.
Figure 5. XRD patterns of (a) precursors (CuZnAl-LDHs and CuZnAl-Mn-LDHs) and (b) catalysts (CuZnAl and CuZnAl-Mn).
Upon the calcination of the precursors, the CuZnAl and CuZnAl-Mn catalysts in Figure 5b were obtained. The diffraction peaks are present at 35.5°, 35.6°, and 38.8°, corresponding to the (002), ( 1 - 11), and (111) crystal planes of CuO (PDF#96-901-6106), respectively. The 2θ values of the diffraction peaks for the CuZnAl-Mn catalyst exhibit a shift to a lower angle by approximately 0.2°, further confirming the expansion of the lattice and the subsequent weakening of atomic interactions following the addition of Mn (the atomic radius of Mn is 139 pm, which is larger than that of Cu 132 pm, Zn 122 pm, and Al 121 pm.). This observation is consistent across both systems, indicating that the incorporation of Fe and Mn promoters leads to lattice expansion in the hydrotalcite precursor and the resulting calcined catalyst, which diminishes the atomic interactions among the components. The sharper diffraction peaks of CuZnAl evident in Figure 5b suggest a smaller and more dispersed CuO crystallite size in the CuZnAl-Mn catalyst after Mn addition. From the intensity of the diffraction peaks, the CuO crystallite size in CuZnAl-Mn is obviously smaller than that of CuZnAl. These findings collectively suggest that the addition of Mn refines the CuO crystallites in the CuZnAl-Mn catalyst, enhancing the number of active sites and enabling greater electron participation in the reaction due to lattice expansion, thereby significantly enhancing methanol selectivity.
Regarding the XRD results, the addition of promoters leads to the crystallite size of NiO and CuO, the primary active components of the catalysts, and a concomitant weakening of the diffraction peaks. This reduction in crystallite size enhances the dispersion of each component within the catalyst, thereby exposing a greater number of active sites and improving catalytic performance. Additionally, the lattice expansion induced by promoters weakens the interactions between components, facilitating more effective interactions between the active components and reactant molecules.
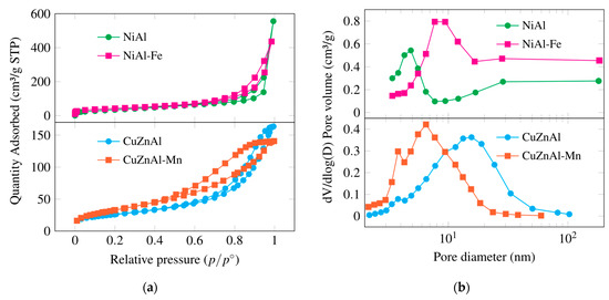
Table 2 presents the specific surface areas and pore volumes for the methanation catalysts and methanol synthesis catalysts, all of which are derived from hydrotalcite precursors. The data in Table 2 reveal that the incorporation of the promoter Fe into the NiAl methanation catalyst and the promoter Mn into the CuZnAl methanol synthesis catalyst resulted in respective increases of 38% and 25% in specific surface area. Concurrently, there were noticeable reductions in the pore volume of catalysts. Figure 6 presents the isothermal adsorption–desorption isotherms and pore distribution profiles for the methanation catalysts and the methanol synthesis catalysts. Figure 6 illustrates that the addition of promoters to the catalyst results in a marked enhancement in pore volume within the mesoporous range, coinciding with a substantial increase in the catalyst’s specific surface area. This significant expansion of mesopores facilitates the diffusion of both reactant and product gases, while the concurrent augmentation in specific surface area is conducive to amplifying the number of active sites on the catalyst. Collectively, these observations indicate that the incorporation of promoters into the catalyst systems has led to an increase in the number of available surface active centers or adsorption sites for both NiAl-Fe and CuZnAl-Mn.
Table 2. The specific surface areas and pore volumes of the catalysts.
Figure 6. (a) The nitrogen adsorption–desorption isotherms of catalysts; (b) the pore distribution of catalysts.
For the convenience of analysis and discussion, the H2 and CO2 desorbed at T ≥ 150 °C (close to the lower temperatures of CO2 hydrogenation reaction) during H2-TPD and CO2-TPD experiments are considered to be primarily chemically adsorbed.
Figure 7 presents the H2-TPR profiles for both the methanation catalyst and the methanol synthesis catalyst. The data in Figure 7 and Table 3 indicate that the addition of promoters results in a marked decrease in the reduction temperatures associated with the main reduction peaks of the active metal components in both catalysts. Concurrently, there is a significant enhancement in the hydrogen uptake during the reduction process. The methanation catalyst NiAl-Fe, which incorporates the promoter Fe, exhibits a main reduction peak temperature of 526 °C, nearly 100 °C lower than that of the NiAl without the promoter, which is 623 °C. Consistent with the observations for the methanation catalyst, the methanol synthesis catalyst CuZnAl-Mn, which includes Mn as a promoter, displays a main reduction peak temperature of 252 °C, which is approximately 10 °C lower than that of the CuZnAl without the promoter, peaking at 262 °C. Furthermore, the addition of the respective promoters leads to an increase in the reduction peak areas for both the methanation and methanol synthesis catalysts by 8% and 10%, respectively.
Figure 7. H2-TPR profiles of (a) methanation catalysts (NiAl, NiAl-Fe) and (b) methanol synthesis catalysts (CuZnAl, CuZnAl-Mn).
Table 3. The consumed H2 area of the catalysts.
The H2-TPR results reveal that the incorporation of promoters has two principal effects. Firstly, it facilitates the reduction of active metal components, suggesting a diminished metal–oxygen binding strength in the oxides of active metal components. Secondly, it leads to an expansion of the reduction peak area, implying that the promoters either enhance the reduction of additional active metal oxides and/or are themselves reduced, consequently boosting hydrogen consumption. The reduction peak area of the two catalysts increased by nearly 10%, indicating that the promoters are more likely to participate in the reduction and consume hydrogen. Consequently, in addition to changing the catalyst texture, the promoters appear to primarily diminish the interaction between the active components and oxygen. This reduction in interaction facilitates the reduction of active components, consequently enhancing the availability of active centers. This observation is also consistent with the enhanced low-temperature catalytic performance of NiAl-Fe and CuZnAl-Mn, as depicted in Figure 2 and Figure 3.
Figure 8 presents the H2-TPD profiles for the methanation catalyst and the methanol synthesis catalyst. According to Figure 8 and Table 4, the addition of promoters has led to varying degrees of enhancement in both the quantity and intensity of hydrogen adsorption for these catalysts. The incorporation of the promoter Fe has resulted in a higher H2 adsorption peak temperature for the NiAl-Fe, 17 °C higher than the 194 °C observed for the NiAl. The total amount of hydrogen adsorption has increased by 14%, with a particular enhancement of approximately 19% in the adsorption of hydrogen with medium and strong chemical affinities above 150 °C. These findings indicate that the promoter Fe significantly promotes the adsorption of hydrogen by the active component Ni within the methanation catalyst. Consistent with the effects observed in the methanation catalyst, the methanol synthesis catalyst CuZnAl-Mn, with the addition of Mn, exhibits H2 adsorption peak temperatures at 222 °C and 265 °C, respectively, which are slightly higher than the 215 °C and 262 °C of CuZnAl. The total hydrogen adsorption capacity has increased by 3%, with approximately a 6% increase in the amount of hydrogen adsorbed through medium and strong chemical interactions above 150 °C. These results further demonstrate that the promoter Mn significantly bolsters the adsorptive capacity for hydrogen by the active components within the methanol synthesis catalyst.
Figure 8. H2-TPD profiles of (a) methanation catalysts (NiAl, NiAl-Fe) and (b) methanol synthesis catalysts (CuZnAl, CuZnAl-Mn).
Table 4. The desorbed H2 area of the catalysts.
The H2-TPD results indicate that the introduction of promoters enhances the adsorption and activation of active metal components with H2. This enhancement suggests that, following the addition of the promoters, hydrogen can contact more active centers on both catalyst types, facilitating the chemical adsorption and activation of a greater number of hydrogen molecules, with particularly notable effects observed on the methanation catalyst. These results are consistent with those of XRD, N2 adsorption–desorption and H2-TPR. H2-TPD indirectly indicates that the incorporation of promoters diminishes the interaction between the active components and other constituents in the catalyst. This reduction in interaction enhances the ability to adsorb and activate hydrogen, subsequently contributing to the improved performance of the CO2 hydrogenation reaction at lower temperatures (200–250 °C) for both types of catalysts.
Figure 9 presents the CO2-TPD profiles for the methanation catalyst and the methanol synthesis catalyst. As shown in Figure 9 and Table 5, the addition of promoters has led to a variable enhancement in both the quantity and intensity of CO2 adsorption for these catalysts. The addition of the promoter Fe to the NiAl-Fe methanation catalyst results in a CO2 adsorption peak temperature of 215 °C, a significant increase of 75 °C compared to the 140 °C observed for the NiAl. Consequently, the total CO2 adsorption capacity has increased by 36%, with a particularly notable enhancement of approximately 140% in the adsorption of CO2 through medium and strong chemical interactions above 150 °C. The data indicate that the incorporation of Fe significantly promotes the CO2 adsorption capacity of the methanation catalyst, with a particular increase in chemical adsorption by approximately 2.4 times. This enhancement is crucial for the subsequent activation and conversion of CO2. Consistent with the effects observed in the methanation catalyst, the methanol synthesis catalyst CuZnAl-Mn, upon the addition of Mn, exhibits CO2 adsorption peak temperatures at 206 °C and 276 °C, which are marginally elevated compared to the 205 °C and 270 °C observed for the CuZnAl catalyst. The total CO2 adsorption capacity has increased by 5%, with a modest enhancement of approximately 6% in the adsorption of CO2 through medium to strong chemical interactions above 150 °C. These results suggest that the promoter Mn modestly enhances the CO2 adsorption on the methanol synthesis catalyst, although the impact on the adsorption strength of CO2 is not markedly pronounced.
Figure 9. CO2-TPD profiles of (a) methanation catalysts (NiAl, NiAl-Fe) and (b) methanol synthesis catalysts (CuZnAl, CuZnAl-Mn).
Table 5. The desorbed CO2 area of the catalysts.
The CO2-TPD results indicate that the addition of the promoter significantly enhances both the adsorption and activation of CO2 by the methanation catalyst, with a particularly notable increase in adsorption amount by approximately 40%. In contrast, for the methanol synthesis catalyst, the CO2 adsorption strength around 205 °C remains largely unaltered, although there is a certain enhancement in both the CO2 adsorption amount and the intensity above 270 °C. These results provide a clearer understanding of the difference in CO2 conversion between the two types of catalysts before and after adding promoters. The addition of the additive significantly enhances the low-temperature activity of the methanation catalyst, particularly around 200 °C, aligning with the observed increase in the quantity and intensity of CO2 adsorption by the medium, and strong chemical adsorption. In contrast, for the methanol synthesis catalyst, the CO2 conversion at 210 °C remains unchanged over CuZnAl-Mn. However, a notable improvement in CO2 conversion is seen at T ≥ 230 °C, which correlates with the increased CO2 adsorption amount and adsorption intensity at higher temperatures, as evidenced by the CO2-TPD results for the methanol synthesis catalyst.
The addition of Fe to the methanation results in a significant enhancement in both the adsorption capacity and adsorption temperature of CO2. The modification with the promoter Fe increases the specific surface area and mesopore volume of the catalyst, which can provide more surface space to accommodate more CO2. The addition of the Fe may also diminish the interaction between the active components and other constituents in the catalyst, such that both the active components and other constituents enhance the adsorption capacity of CO2, thereby significantly increasing the CO2 adsorption amount and adsorption intensity of NiAl-Fe. Consequently, this results in a significant enhancement in the CO2 conversion at 200 °C. The CO2-TPD results are consistent with the results of XRD and low-temperature N2 adsorption–desorption, indicating that the introduction of the promoter into the hydrotalcite-derived catalyst system significantly amplifies the adsorption capacity of CO2. This enhancement is attributed to the increased specific surface area and the more dispersed distribution of catalyst components, rendering the catalyst more potent in activating CO2 and following hydrogenation.

3. Experimental

3.1. Preparation of Catalysts for CO2 Methanation

The precursor of the NiAl catalyst (NiAl-LDHs) was prepared by urea coprecipitation. First, 0.03 mol of Ni(NO3)2·6H2O (Sinopharm, Shanghai, China), 0.015 mol of Al(NO3)2·9H2O (BeijingYili, Beijing, China), and 0.18 mol of CO(NH2)2 (Sinopharm, Shanghai, China) were added to a three-necked flask and dissolved in 500 mL of deionized water. The solution was then maintained at 100 °C for 24 h to obtain a precursor with a NiAl hydrotalcite structure. After filtration, washing, and drying at 80 °C for 24 h, the obtained hydrotalcite precursor NiAl-LDHs was heated to 700 °C and calcined for 4 h to obtain the NiAl catalyst. The preparation process of the NiAl-Fe catalyst was the same as that of NiAl, and Fe(NO3)3·9H2O (Sinopharm, Shanghai, China) was added to the raw material according to Fe:Al = 0.25:1.

3.2. Preparation of Catalysts for CH3OH Synthesis

The precursor of the CuZnAl catalyst (CuZnAl-LDHs) was prepared by coprecipitation. First, 0.2 mol of Al(NO3)2·9H2O, 0.2 mol of Zn(NO3)2·6H2O (Sinopharm, Shanghai, China) and 0.2 mol of Cu(NO3)2·3H2O (Sinopharm, Shanghai, China) were added to a beaker and dissolved in 620 mL of deionized water. The corresponding NaOH (Sinopharm, Shanghai, China) and Na2CO3 (Sinopharm, Shanghai, China) (NaOH:Na2CO3 = 20:3) were co-precipitated at 60 °C by parallel flow. The precipitate was allowed to stand at 60 °C for 1 h. Subsequently, the product was filtered and washed, and it was dried at 65 °C for 10 h to obtain the CuZnAl-LDHs, which was then calcined at 500 °C for 4 h to obtain the CuZnAl catalyst. The preparation process of the CuZnAl-Mn catalyst was the same as that of CuZnAl, and 50 wt. % Mn(NO3)2 (Sinopharm, Shanghai, China) solution was added to the raw material at a ratio of Mn:Cu = 0.1:1.

3.3. Characterization of Catalysts

Nitrogen adsorption–desorption experiments were conducted on a Micromeritics (Norcross, GA, USA) ASAP2020 to analyze the specific surface area, pore volume and pore size distribution of the catalysts. Prior to the test, the catalyst was degassed at 90 °C under vacuum of 5.7 × 102 Pa for 1 h, followed by treating at 300 °C for 5 h.
X-ray powder diffraction (XRD) was conducted on a Bruker (Karlsruhe, Germany) D2 Phaser X-ray diffractometer (Cu radiation, Ni filter) operated at 30 kV and 10 mA. The data were collected from 10–90° with a scanning speed of 6°/min.
Programmed temperature reductions (H2-TPR) were conducted on self-built apparatus equipped with a Pfeiffer (Asslar, Germany) QMS 200 quadrupole mass spectrometer as the detector. Firstly, the catalyst was loaded into the quartz tube and dehydrated at 350 °C for 30 min using 30 mL/min pure Ar. After then cooling down to 100 °C, the 10% H2/Ar gas was introduced into the system. The temperature was kept at 100 °C until the background became stable. Finally, the temperature was increased from 100 °C to 800 °C with a heating ramp of 10 °C/min for CO2 methanation catalysts. And the temperature was increased from 100 °C to 400 °C with a heating ramp of 10 °C/min for CH3OH synthesis catalysts. For comparison, all the catalyst samples had the same weights of NiO or CuO.
Temperature-programmed desorption (TPD) was also conducted using the same apparatus as employed for H2-TPR. Initially, 150 mg of the catalyst was loaded in the fixed-bed reactor and subjected to a CO2 hydrogenation reaction for 3 h (the detailed information are the same as stated in 2.3 Test of catalysts). It was then cooled to 40 °C followed by purging with Ar (30 mL/min). Then the catalyst was transferred to the quartz tube under the protection of Ar. Finally, the temperature was ramped up to 400 °C at a heating rate of 10 °C/min for CO2-TPD and CH3OH synthesis catalysts of H2-TPD, while the temperature was ramped up to 700 °C at a heating rate of 10 °C/min for CO2 methanation catalysts of H2-TPD.

3.4. Test of Catalysts

The tests of CO2 methanation and methanol synthesis catalysts were performed on self-built apparatus. The compositions of the feed gas and the product gas were analyzed by an Agilent 7890B (Santa Clara, CA, USA) GC for methanation and a SP-2100A (Beijing North Rayleigh Analytical Instruments (Group) Co., Ltd., Beijing, China) GC for methanol synthesis, respectively. The gas compounds were analyzed by thermal conductivity detector on the corresponding GC. The organic compounds of the product were analyzed by flame ionization detector on the corresponding GC. The CO2 conversion and target product selectivity were calculated by normalization. The test conditions of CO2 methanation catalysts were as follows: 1.0 g of 30–40 mesh catalyst was loaded in a stainless steel fixed bed microreactor with pressure of 2 MPa, temperature range of 150–700 °C and gas hourly space velocity of 12,000 h−1, the feed gas was a mixture of 76% H2, 19% CO2, and 5% N2 with the flow of 200 mL/min, and the chromatographic column used was an Agilent HP PLOT Al2O3 capillary column and an Agilent PQ + PQ + 5A packed column on the Agilent 7890B GC. The test conditions of CO2 hydrogenation to methanol catalyst were as follows: 1.0 g of 30–40 mesh catalyst was loaded into a stainless steel fixed bed microreactor with pressure of 3 MPa, temperature range of 210–270 °C and gas hourly space velocity of 3600 h−1, the feed gas was a mixture of 72% H2, 24% CO2, and 4% N2 with the flow of 60 mL/min, and the chromatographic column was a Restek (Bellefonte, PA, USA) ShinCarbon ST packed column on the SP-2100A GC.

4. Conclusions

This study reports the successful synthesis of hydrotalcite-derived catalysts for methanation and methanol synthesis using two distinct methods. Two methanation catalysts, namely, NiAl and NiAl-Fe, and two CO2 hydrogenation to methanol catalysts, namely, CuZnAl and CuZnAl-Mn, were prepared. The comprehensive evaluation and characterization of these revealed that all hydrotalcite-derived catalysts exhibit good performance in activating and converting CO2 at low temperatures. Notably, the low-temperature CO2 activity of NiAl-Fe was substantially enhanced (0.15% enhanced to 80.92% of CO2 conversion under 200 °C), while the CO2 activity of CuZnAl-Mn at T ≥ 230 °C was significantly improved (19.64% enhanced to 21.31% of CO2 conversion under 250 °C). We investigated the same effect of promoters on LDHs-derived catalysts. The following conclusions were formulated:
(1)
The incorporation of appropriate amounts of Fe and Mn elements significantly enhances the mesopore volume and specific surface area of the catalysts via the synthesis of hydrotalcite precursor (126 m2/g increased to 173 m2/g and 92 m2/g increased to 115 m2/g, respectively), providing more surface adsorption centers for reaction, which is beneficial to increasing the adsorption and activation of CO2 and H2;
(2)
Fe and Mn, with their larger atomic radii, when incorporated into NiAl and CuZnAl systems, induce an expansion of the hydrotalcite precursor lattice. This expansion diminishes the interaction between the active metal components and oxygen atoms, leading to a significant decrease in the reduction temperature of the active metal components (623 °C decreased to 526 °C and 262 °C decreased to 252 °C, respectively), and promotes a more homogeneous distribution of the active components;
(3)
The incorporation of promoters Fe and Mn diminishes the interaction between the active components and other constituents of the catalysts. This reduction enhances both the adsorption quantity and intensity of H2 and CO2 by the active components and/or other catalyst constituents, with particular improvement observed in the chemical adsorption of CO2 and H2. Consequently, this leads to an enhanced capacity for CO2 hydrogenation conversion.

Supplementary Materials

The following supporting information can be downloaded at: https://www.mdpi.com/article/10.3390/catal15020111/s1, Figure S1: The stability of catalysts (a) NiAl-Fe and (b) CuZnAl-Mn; Figure S2: Comparison of (a) methanation and (b) methanol synthesis catalysts with industrial catalysts.

Author Contributions

Conceptualization, visualization, writing—original draft preparation, G.W.; methodology, data curation, formal analysis, X.W.; methodology, software, validation, R.L.; writing—review and editing, resources, visualization, supervision, project administration, funding acquisition, C.Y.; investigation, T.Z. All authors have read and agreed to the published version of the manuscript.

Funding

This research received no external funding.

Data Availability Statement

Data are contained within the article or Supplementary Materials.

Conflicts of Interest

The authors declare no conflicts of interest.

References

  1. Zhou, L.; Guo, X.; Hu, X.; Zhang, Y.; Cheng, J.; Guo, Q. CO2 methanation reaction over La-modified NiAl catalysts derived from hydrotalcite-like precursors. Fuel 2024, 362, 130888. [Google Scholar] [CrossRef]
  2. Liu, Z.; Gao, X.; Wang, K.; Atchimarungsri, T.; Tian, J.; Reubroycharoen, P.; Ma, Q.; Zhao, T.-S.; Tsubaki, N.; Zhang, J. Designing hydrotalcite-derived CoAlO catalysts for highly selective catalytic CO2 methanation. Fuel Process. Technol. 2023, 241, 107628. [Google Scholar] [CrossRef]
  3. Liu, Y.; Wang, X.; Wang, Z.; Chen, C.; Song, J.; Zhang, L.; Bao, W.; Sun, B.; Wang, L.; Liu, D. Hydrogenation of CO2 to CH3OH on the Cu-ZnO-SrTiO3 Catalysts: The Electronic Metal-Support Interaction Induces Oxygen Vacancy Generation. ACS Catal. 2024, 14, 12610–12622. [Google Scholar] [CrossRef]
  4. Wang, X.; Yao, Z.; Guo, X.; Yan, Z.; Ban, H.; Wang, P.; Yao, R.; Li, L.; Li, C. Modulating Electronic Interaction over Zr-ZnO Catalysts to Enhance CO2 Hydrogenation to Methanol. ACS Catal. 2023, 14, 508–521. [Google Scholar] [CrossRef]
  5. Modak, A.; Ghosh, A.; Bhaumik, A.; Chowdhury, B. CO2 hydrogenation over functional nanoporous polymers and metal-organic frameworks. Adv. Colloid Interface Sci. 2020, 290, 102349. [Google Scholar] [CrossRef]
  6. Song, L.; Wang, H.; Wang, S.; Qu, Z. Dual-site activation of H2 over Cu/ZnAl2O4 boosting CO2 hydrogenation to methanol. Appl. Catal. B Environ. 2023, 322, 122137. [Google Scholar] [CrossRef]
  7. Du, P.; Deng, G.; Li, Z.; Sun, J.; Wang, L.; Yang, Y.; Wang, J.; Li, Y.; Xu, X.; Zhang, Y.; et al. Effective CO2 activation of enriched oxygen vacancies for photothermal CO2 methanation. J. Mater. Sci. Technol. 2024, 189, 203–210. [Google Scholar] [CrossRef]
  8. Phongprueksathat, N.; Ting, K.W.; Mine, S.; Jing, Y.; Toyoshima, R.; Kondoh, H.; Shimizu, K.-i.; Toyao, T.; Urakawa, A. Bifunctionality of Re Supported on TiO2 in Driving Methanol Formation in Low-Temperature CO2 Hydrogenation. ACS Catal. 2023, 13, 10734–10750. [Google Scholar] [CrossRef]
  9. Fang, X.; Men, Y.; Wu, F.; Zhao, Q.; Singh, R.; Xiao, P.; Du, T.; Webley, P.A. Promoting CO2 hydrogenation to methanol by incorporating adsorbents into catalysts: Effects of hydrotalcite. Chem. Eng. J. 2019, 378, 122052. [Google Scholar] [CrossRef]
  10. Zhang, W.; Lin, H.; Wei, Y.; Zhou, X.; An, Y.; Dai, Y.; Niu, Q.; Lin, T.; Zhong, L. Overturning CO2 Hydrogenation Selectivity via Strong Metal–Support Interaction. ACS Catal. 2024, 14, 2409–2417. [Google Scholar] [CrossRef]
  11. Guo, J.; Yang, J.; Wang, Q.; Zhao, N.; Xiao, F. Effect of Ni-Ov-Ce interface on low temperature CO2 methanation. Fuel 2025, 381, 133568. [Google Scholar] [CrossRef]
  12. Guo, L.; Zhang, T.; Qiu, J.; Bai, J.; Li, Z.; Wang, H.; Cai, X.; Yang, Y.; Xu, Y. Cobalt-doped Ni-based catalysts for low-temperature CO2 methanation. Renew. Energy 2024, 236, 121512. [Google Scholar] [CrossRef]
  13. Qin, Z.; Wang, X.; Dong, L.; Su, T.; Li, B.; Zhou, Y.; Jiang, Y.; Luo, X.; Ji, H. CO2 methanation on Co/TiO2 catalyst: Effects of Y on the support. Chem. Eng. Sci. 2019, 210, 115245. [Google Scholar] [CrossRef]
  14. Deng, S.; Qian, Z.; Zhu, C.; Cheng, B.; Wang, X.; Fang, X.; Xu, X.; Wang, X. Boosting Low-Temperature CO2 Methanation Activity on Ru/Anatase-TiO2 Via Mn Doping: Revealing the Crucial Role of CO2 Dissociation. ACS Catal. 2024, 14, 16508–16521. [Google Scholar] [CrossRef]
  15. Ischenko, O.V.; Dyachenko, A.G.; Saldan, I.; Lisnyak, V.V.; Diyuk, V.E.; Vakaliuk, A.V.; Yatsymyrskyi, A.V.; Gaidai, S.V.; Zakharova, T.M.; Makota, O.; et al. Methanation of CO2 on bulk Co–Fe catalysts. Int. J. Hydrogen Energy 2021, 46, 37860–37871. [Google Scholar] [CrossRef]
  16. Dias, Y.R.; Perez-Lopez, O.W. CO2 methanation over Ni-Al LDH-derived catalyst with variable Ni/Al ratio. J. CO2 Util. 2023, 68, 102381. [Google Scholar] [CrossRef]
  17. Shafiee, P.; Alavi, S.M.; Rezaei, M.; Jokar, F. Promoted Ni–Co–Al2O3 nanostructured catalysts for CO2 methanation. Int. J. Hydrogen Energy 2022, 47, 2399–2411. [Google Scholar] [CrossRef]
  18. Xie, Y.; Lips, S.; D’ooghe, L.; Sabbe, M.; Detavernier, C.; Poelman, H.; Galvita, V. Engineering the interfaces in MgO-modified Ni/Al2O3 for CO2 methanation. Appl. Catal. A Gen. 2024, 686, 119916. [Google Scholar] [CrossRef]
  19. Zou, R.; Shen, C.; Sun, K.; Ma, X.; Li, Z.; Li, M.; Liu, C.-J. CO2 hydrogenation to methanol over the copper promoted In2O3 catalyst. J. Energy Chem. 2024, 93, 135–145. [Google Scholar] [CrossRef]
  20. Zhang, H.; Chen, J.; Han, X.; Pan, Y.; Hao, Z.; Tang, S.; Zi, X.; Zhang, Z.; Gao, P.; Li, M.; et al. High-Performance Cu/ZnO/Al2O3 Catalysts for CO2 Hydrogenation to Methanol. Ind. Eng. Chem. Res. 2024, 63, 6210–6221. [Google Scholar] [CrossRef]
  21. Fernández-Villanueva, E.; Lustemberg, P.G.; Zhao, M.; Soriano Rodriguez, J.; Concepción, P.; Ganduglia-Pirovano, M.V. Water and Cu+ Synergy in Selective CO2 Hydrogenation to Methanol over Cu-MgO-Al2O3 Catalysts. J. Am. Chem. Soc. 2024, 146, 2024–2032. [Google Scholar] [CrossRef] [PubMed]
  22. Wang, J.; Zhang, G.; Zhu, J.; Zhang, X.; Ding, F.; Zhang, A.; Guo, X.; Song, C. CO2 Hydrogenation to Methanol over In2O3-Based Catalysts: From Mechanism to Catalyst Development. ACS Catal. 2021, 11, 1406–1423. [Google Scholar] [CrossRef]
  23. Jiang, H.; Lin, J.; Wu, X.; Wang, W.; Chen, Y.; Zhang, M. Efficient hydrogenation of CO2 to methanol over Pd/In2O3/SBA-15 catalysts. J. CO2 Util. 2020, 36, 33–39. [Google Scholar] [CrossRef]
  24. Lu, Z.; Wang, J.; Sun, K.; Xiong, S.; Zhang, Z.; Liu, C.-j. CO2 hydrogenation to methanol over Rh/In2O3–ZrO2 catalyst with improved activity. Green Chem. Eng. 2022, 3, 165–170. [Google Scholar] [CrossRef]
  25. Tian, G.; Wu, Y.; Wu, S.; Huang, S.; Gao, J. CO2 hydrogenation to methanol over Pd/MnO/In2O3 catalyst. J. Environ. Chem. Eng. 2022, 10, 106965. [Google Scholar] [CrossRef]
  26. Rui, N.; Wang, Z.; Sun, K.; Ye, J.; Ge, Q.; Liu, C.-j. CO2 hydrogenation to methanol over Pd/In2O3: Effects of Pd and oxygen vacancy. Appl. Catal. B Environ. 2017, 218, 488–497. [Google Scholar] [CrossRef]
  27. Pacchioni, G. From CO2 to Methanol on Cu/ZnO/Al2O3 Industrial Catalyst. What Do We Know about the Active Phase and the Reaction Mechanism? ACS Catal. 2024, 14, 2730–2745. [Google Scholar] [CrossRef]
  28. Li, H.; Wang, L.; Xiao, F.-S. Silica-modulated Cu-ZnO-Al2O3 catalyst for efficient hydrogenation of CO2 to methanol. Catal. Today 2023, 418, 114051. [Google Scholar] [CrossRef]
  29. Cui, X.; Liu, Y.; Yan, W.; Xue, Y.; Mei, Y.; Li, J.; Gao, X.; Zhang, H.; Zhu, S.; Niu, Y.; et al. Enhancing methanol selectivity of commercial Cu/ZnO/Al2O3 catalyst in CO2 hydrogenation by surface silylation. Appl. Catal. B Environ. 2023, 339, 123099. [Google Scholar] [CrossRef]
  30. Wang, J.; Li, G.; Li, Z.; Tang, C.; Feng, Z.; An, H.; Liu, H.; Liu, T.; Li, C. A highly selective and stable ZnO-ZrO2 solid solution catalyst for CO2 hydrogenation to methanol. Sci. Adv. 2017, 3, e1701290. [Google Scholar] [CrossRef]
  31. Shi, Y.; Su, W.; Wei, X.; Song, X.; Bai, Y.; Wang, J.; Lv, P.; Yu, G. Highly active MIL-68(In)-derived In2O3 hollow tubes catalysts to boost CO2 hydrogenation to methanol. Fuel 2023, 334, 126811. [Google Scholar] [CrossRef]
  32. Liu, L.; Mezari, B.; Kosinov, N.; Hensen, E.J.M. Al Promotion of In2O3 for CO2 Hydrogenation to Methanol. ACS Catal. 2023, 13, 15730–15745. [Google Scholar] [CrossRef] [PubMed]
  33. Gericke, S.M.; Kauppinen, M.M.; Wagner, M.; Riva, M.; Franceschi, G.; Posada-Borbón, A.; Rämisch, L.; Pfaff, S.; Rheinfrank, E.; Imre, A.M.; et al. Effect of Different In2O3(111) Surface Terminations on CO2 Adsorption. ACS Appl. Mater. Interfaces 2023, 15, 45367–45377. [Google Scholar] [CrossRef]
  34. Hu, J.; Yu, L.; Deng, J.; Wang, Y.; Cheng, K.; Ma, C.; Zhang, Q.; Wen, W.; Yu, S.; Pan, Y.; et al. Sulfur vacancy-rich MoS2 as a catalyst for the hydrogenation of CO2 to methanol. Nat. Catal. 2021, 4, 242–250. [Google Scholar] [CrossRef]
  35. Beniwal, A.; Bhalothia, D.; Chen, Y.R.; Kao, J.C.; Yan, C.; Hiraoka, N.; Ishii, H.; Cheng, M.; Lo, Y.C.; Tu, X. Incorporation of atomic Fe-oxide triggers a quantum leap in the CO2 methanation performance of Ni-hydroxide. Chem. Eng. J. 2024, 493, 152834. [Google Scholar] [CrossRef]
  36. Yin, L.; Chen, X.; Sun, M.; Zhao, B.; Chen, J.; Zhang, Q.; Ning, P. Insight into the role of Fe on catalytic performance over the hydrotalcite-derived Ni-based catalysts for CO2 methanation reaction. Int. J. Hydrogen Energy 2022, 47, 7139–7149. [Google Scholar] [CrossRef]
  37. Alharthi, A.I.; Din, I.U.; Alotaibi, M.A.; Bakht, M.A.; Naeem, A. Low temperature CO2 hydrogenation to green methanol over Mn promoted Cu/MoO3 catalysts. Sustain. Chem. Pharm. 2022, 27, 100699. [Google Scholar] [CrossRef]
  38. Gao, P.; Li, F.; Zhao, N.; Xiao, F.; Wei, W.; Zhong, L.; Sun, Y. Influence of modifier (Mn, La, Ce, Zr and Y) on the performance of Cu/Zn/Al catalysts via hydrotalcite-like precursors for CO2 hydrogenation to methanol. Appl. Catal. A Gen. 2013, 468, 442–452. [Google Scholar] [CrossRef]
  39. Men, Y.; Fang, X.; Gu, Q.; Singh, R.; Wu, F.; Danaci, D.; Zhao, Q.; Xiao, P.; Webley, P.A. Synthesis of Ni5Ga3 catalyst by Hydrotalcite-like compound (HTlc) precursors for CO2 hydrogenation to methanol. Appl. Catal. B Environ. 2020, 275, 119067. [Google Scholar] [CrossRef]
  40. Xiao, S.; Zhang, Y.; Gao, P.; Zhong, L.; Li, X.; Zhang, Z.; Wang, H.; Wei, W.; Sun, Y. Highly efficient Cu-based catalysts via hydrotalcite-like precursors for CO2 hydrogenation to methanol. Catal. Today 2017, 281, 327–336. [Google Scholar] [CrossRef]
  41. Gao, P.; Yang, H.; Zhang, L.; Zhang, C.; Zhong, L.; Wang, H.; Wei, W.; Sun, Y. Fluorinated Cu/Zn/Al/Zr hydrotalcites derived nanocatalysts for CO2 hydrogenation to methanol. J. CO2 Util. 2016, 16, 32–41. [Google Scholar] [CrossRef]
Disclaimer/Publisher’s Note: The statements, opinions and data contained in all publications are solely those of the individual author(s) and contributor(s) and not of MDPI and/or the editor(s). MDPI and/or the editor(s) disclaim responsibility for any injury to people or property resulting from any ideas, methods, instructions or products referred to in the content.

Article Metrics

Citations

Article Access Statistics

Multiple requests from the same IP address are counted as one view.