Next Article in Journal
Polymerization of Ethylene and 1,3-Butadiene Using Methylaluminoxane-Phosphine Catalyst Systems
Previous Article in Journal
Influence of Dietary Polyphenols on Catalase Activity In Vitro
Previous Article in Special Issue
Cyclic Stability of a Bifunctional Catalyst in the Sorption-Enhanced Reverse Water–Gas Shift Reaction
 
 
Font Type:
Arial Georgia Verdana
Font Size:
Aa Aa Aa
Line Spacing:
Column Width:
Background:
Article

Thermo-Catalytic Decomposition of Natural Gas: Connections Between Deposited Carbon Nanostructure, Active Sites and Kinetic Rates

by
Mpila Makiesse Nkiawete
and
Randy Lee Vander Wal
*
The EMS Energy Institute and the Department of Energy and Mineral Engineering, Penn State University, University Park, PA 16802, USA
*
Author to whom correspondence should be addressed.
Catalysts 2025, 15(10), 941; https://doi.org/10.3390/catal15100941
Submission received: 16 August 2025 / Revised: 20 September 2025 / Accepted: 23 September 2025 / Published: 1 October 2025

Abstract

Thermo-catalytic decomposition (TCD) presents a promising pathway for producing hydrogen from natural gas without emitting CO2. This process represents a form of fossil fuel decarbonization where the byproduct, rather than being a greenhouse gas, is a solid carbon material with potential for commercial value. This study examines the dynamic behavior of TCD, showing that carbon formed during the reaction first enhances and later dominates methane decomposition. Three types of carbon materials were employed as starting catalysts. Methane decomposition was continuously monitored using on-line Fourier transform infrared (FT-IR) spectroscopy. The concentration and nature of surface-active sites were determined using a two-step approach: oxygen chemisorption followed by elemental analysis through X-ray photoelectron spectroscopy (XPS). Changes in the morphology and nanostructure of the carbon catalysts, both before and after TCD, were examined using high-resolution transmission electron microscopy (HRTEM). Thermogravimetric analysis (TGA) was used to study the reactivity of the TCD deposits in relation to the initial catalysts. Partial oxidation altered the structural and surface chemistry of the initial carbon catalysts, resulting in activation energies of 69.7–136.7 kJ/mol for methane. The presence of C2 and C3 species doubled methane decomposition (12% → 24%). TCD carbon displayed higher reactivity than the nascent catalysts and sustained long-term activity.

Graphical Abstract

1. Introduction

Thermo-catalytic decomposition (TCD) presents a path to effectively decarbonize natural gas, producing both hydrogen fuel and usable solid carbon as products. Unlike the conventional method for hydrogen production, it does not entail WGS stages or CO2 removal. Pilot-scale studies have found that the energy needed for CO2 capture and sequestration can impose substantial capital and operational costs [1], and at times overlooking the necessary infrastructure for downstream delivery and distribution [2], and typically lacking adequate storage systems or having none at all in many instances [3]. Conversely, TCD offers a promising transition pathway toward a hydrogen economy by leveraging abundantly existing natural gas resources along with their current infrastructures for production and delivery. Additionally, the carbon produced during TCD can be utilized in various high-value applications, including battery electrodes, fuel cells, protective coatings, rubber additives, and energy storage devices [4]. The performance and longevity of the TCD process are closely tied to the structural characteristics of the initial carbon catalyst. However, TCD is inherently autogenic. That is, the process not only generates hydrogen and carbon but also continuously modifies the catalyst surface. As the reaction proceeds, the accumulating carbon deposit alters the catalyst morphology and chemistry, often leading to a gradual decline in activity due to catalyst deactivation However, if TCD is to be implemented effectively at commercial or industrial scale, alternative and higher-volume applications for the carbon byproduct need not only to become feasible but ultimately essential. Applications such as environmental remediation, soil amendment, and land restoration can ensure sustainable carbon management and avoid accumulation of waste materials, especially at large scale production [5,6].
TCD studies show that carbon-based catalysts exhibit lower intrinsic activity compared to metal catalysts, often necessitating higher operational temperatures in the range of 800–1000 °C or above for effective performance. On the other hand, carbon catalysts higher thermal stability, which can translate to extended operational lifetimes, greater tolerance to variable feedstocks, and a relative resistance to catalyst poisoning [6,7]. Additionally, due to their structural similarity with the solid carbon product formed during thermo-catalytic decomposition (TCD) and their low cost, carbon catalysts can be seamlessly incorporated into the resulting carbon byproduct. This integration eliminates the need for catalyst separation or post-reaction recovery processes, thereby simplifying system design and reducing operating costs [8].
Seemingly, carbon materials lack a universally agreed-upon definition of active sites. In the context of carbon catalysts, active sites refer to the specific structural or chemical features on the carbon surface that are directly responsible for catalyzing a reaction. Active sites in carbon materials arise from a range of defects, heteroatom substitutions, and structural irregularities that locally alter the electronic structure, adsorption strength, and reactivity of the carbon framework. These include, but are not limited to lattice defects, low-coordination atoms, edge sites, vacancies, dislocations, heteroatoms, and other forms of structural disorder that create localized high-energy sites [9,10]. As a result, disordered carbon materials are generally more catalytically active than their highly ordered counterparts, such as graphite [11,12]. For instance, due to their structural disorder, activated carbons have demonstrated higher stability and catalytic performance compared to their carbon black counterparts. However, their activity is ultimately limited by their finite pore volume, pore width, and surface area.
During TCD, catalyst deactivation occurs primarily due to the intense carbon deposition. As showed by Suelves et al., TCD rates are initially dependent on the structure of the carbon catalyst but exhibit non-monotonic behavior in the long term as carbon continues to deposit [13]. Additionally, Muradov et al. investigated several carbon forms—including carbon blacks, activated carbons, and graphites—and found that more disordered carbons display higher catalytic activity. Their results indicated that TCD activity correlates with increasing structural order as follows: amorphous > turbostratic > graphitic [14].
The evolution of the deposited carbon’s structure was effectively illustrated by Lazaro et al., who showed that XRD profiles of catalysts became increasingly ordered as the reaction duration increased. Similarly, Serrano et al. found that differences in catalytic activity among various carbon blacks were consistent with differences in their XRD intensity ratios, specifically the C(101)/C(002) [15]. In follow-up studies using XPS, Serrano et al. identified a direct relationship between the number of structural defects and the threshold temperature for TCD onset—used as a proxy for catalytic activity [11]. These authors found that defects such as vacancies that interrupt the sp2 carbon network, or topological distortions that affect binding energy, contribute to broadening the full width at half maximum (FWHM) of the C 1s XPS peak. This reinforces the notion that differences in catalytic activity among carbon materials are fundamentally structural in nature.
Despite ongoing debate regarding which structural parameters are most influential, many studies agree that TCD activity is governed more by the presence of active sites rather than by surface area alone [16]. Furthermore, some studies have attributed variations in activity to differences in surface defects; namely: dislocations, vacancies, and discontinuities [14]. A study by Lee et al. tested various commercial CBs and found that TCD rates did not directly correlate with surface area, further implying that other factors, such as microstructure, can play a critical role in TCD activity [17]. Malaika and Kozłowski concluded that the initial catalyst structure may influence that of the deposited carbon [18]. Corroboratively, Kameya and Hanamura examined deposited on CBs as a potential product. Their study linked catalytic performance to the carbon black’s microstructure, mainly due to its elevated concentration of active sites in the form of edges and defects inherent to its nanoscale graphitic layers [19]. It was observed that changes in catalytic activity over time were likely by variations in crystallite (lamellae) size, and thus the concentration of edge sites, as deduced from Raman spectroscopy. These findings parallel observations from soot oxidation studies where a disordered microstructure, resembling that of CBs, has been associated with reactivity [20,21,22].
Muradov et al. hypothesize that on disordered carbon surfaces, the regular carbon bonding pattern is disrupted, which gives rise to “free” valences and discontinuities such as edges and corners of carbon crystallites. As crystallite size decreases, the concentration of active sites correspondingly increases. Thus, due to their smaller crystallites, less ordered carbons generally contain more edge sites and exhibit greater catalytic activity than their relatively inert graphitic analogs [14]. In a study by Wieckowski et al., methane decomposition on activated carbons was examined across a temperature range of 750 °C–850 °C. It was observed that, over time, the deposited carbon blocked the catalyst’s pores, which in turn lead to reduced methane conversion rates [23].
An emerging agreement proposes that these carbon materials are hindered by one of their defining characteristics: porosity. While their high surface area is often highlighted, it primarily stems from micropores relative to meso- or macropores. However, it is of particular significance to note that surface area is a purely physical parameter and as such, it contributes little to chemical reactivity. Although pore curvature and exposed edge planes along with other unterminated sites can enhance initial activity in TCD. Yet, this initial activity is typically short-lived as these highly energetic sites are inevitably blocked by the buildup of carbon deposits. Fundamentally, TCD involves the continuous deposition of carbon, and long-term activity depends on the ability of the deposited carbon to maintain or regenerate catalytic activity. Therefore, the performance of a carbon catalyst in TCD is not only determined by its initial structure but also by how the evolving deposit sustains active site availability over time through self-renewal.
This study investigates the dynamic behavior of TCD through time-resolved reaction data, demonstrating that TCD-generated carbon initially enhances and ultimately governs methane decomposition. To date, this work represents the first systematic examination of the relationship between active sites, catalyst nanostructure, and TCD rates. Moreover, the literature demonstrates a collective absence of studies employing hydrocarbon feedstocks beyond methane.

2. Results and Discussion

2.1. Methane Conversion Dependence on Initial Gas Composition

Trends in methane concentration during thermal decomposition using pure methane and synthetic natural gas (SNG) provide important insights into the relative reactivity of the gas feeds and the catalytic performance of the deposited carbon. In these two alternating experiments, the concentration of methane is initially high during the temperature ramp, indicating minimal reaction at low temperatures. As the temperature approaches the reaction zone (~750 °C), the drop in methane concentration reflects the extent of methane consumption. Here, the change in methane concentration is a direct indicator of reaction rate and catalytic activity. Therefore, larger decreases in methane concentration correspond to higher methane conversion and faster reaction rates. For these tests, nascent R250 was employed as the catalyst and gas flowrates were held constant at 0.5 cm3/s.
In Panel A of Figure 1, the experiment starts with pure CH4. As the temperature increases, methane concentration drops significantly, indicating rapid decomposition and high catalytic activity. As noted, methane consumption plateaus at ~12%. However, with the reactive gas switch to SNG, methane conversion doubles as the SNG methane concentration drops from 85% to 61% relative to the initial pure CH4 feed. This increase indicates a faster reaction rate and suggests that SNG is either more reactive or promotes the formation of more active carbon on the catalyst surface than pure methane. Panel B shows the reverse scenario where the reaction sequence begins with SNG as the feed gas. As the temperature increases, methane concentration decreases substantially. As with scenario A, methane consumption from SNG was ~24%. Conversely, when the feed is switched to pure CH4, methane conversion is only 5%. This decline in catalytic activity reflects the lower reactivity of pure methane, illustrating the hypothesis that CH4 decomposition (alone) produces a less active carbon deposit, i.e., less disordered. Together, these trends reveal that pure methane is significantly less reactive than SNG under the same thermal conditions, resulting in faster reaction rates and higher methane consumption for SNG. The higher methane conversion from SNG is likely due to the presence of higher hydrocarbons (C2s and C3s from ethane and propane, respectively) which can aid methane consumption by promoting radical formation.
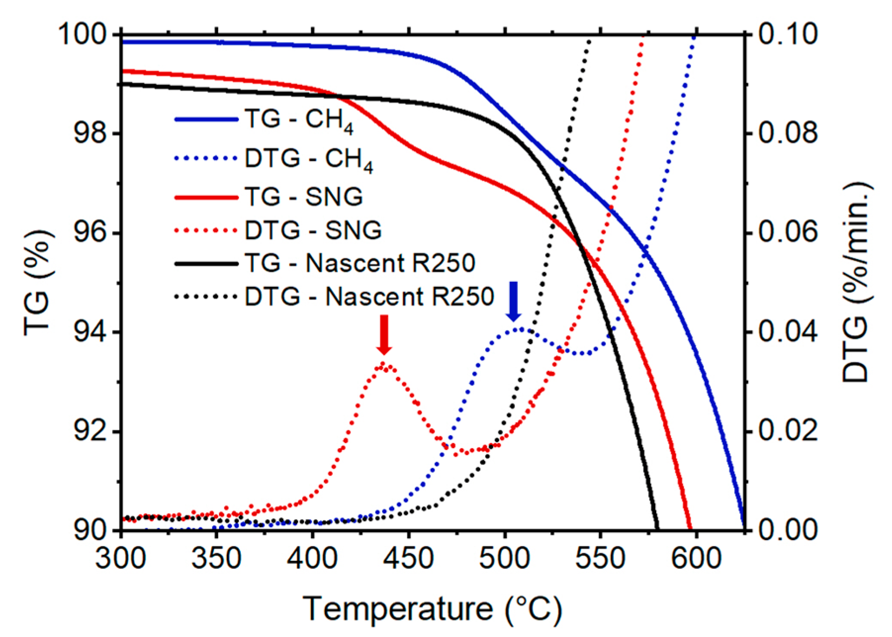
Differential oxidation was used to study the carbon deposit produced by pure methane vs. SNG at 800 °C. As illustrated in our prior work [24], the quantification of TCD deposit on the nascent catalyst can be performed using thermogravimetric analysis. Theoretically, the different TCD activities between deposited carbon from methane versus SNG could imply differences in their nanostructure and corresponding oxidative reactivities. A controlled, slow temperature ramp in air can leverage these reactivity differences, distinguishing these deposits from one another. In cases where oxidation ranges overlap, separation can still be achieved by analyzing the derivative of the TGA curve, a common approach for interpreting complex TGA spectra. As illustrated by the arrows in Figure 2, the onset temperatures for the two deposited carbon forms are very different. The SNG deposit peak is observed at ~440 °C while that of methane was at 510 °C. This confirms that the SNG deposit, having a lower onset temperature, has higher oxidative reactivity with corresponding greater disordered structure and therefore greater catalytic activity during TCD.

2.2. Deposit Reactivity

Figure 3 presents a comparative analysis of the oxidative reactivity of carbon deposits formed during methane thermo-catalytic decomposition (TCD) across different carbon catalysts. The results indicate that the carbon deposited on M1300 and Ketjenblack exhibits reactivity nearly identical to their nascent forms, suggesting minimal structural differences between the nascent carbon and TCD carbon. In contrast, the carbon deposited on R250 is notably more reactive than the original R250 carbon black, indicating that the TCD carbon is significantly different by activity and corresponding structure than the nascent R250 carbon—yet with origins being the nascent R250 surface activity.
As illustrated in panel A, the weight loss derivative curves for the M1300 and Ketjenblack deposits show no distinct second oxidation peak, implying that the deposited carbon closely resembles the original material in composition and structure. However, in the case of R250, a separate, distinguishable oxidation event is observed, highlighting a clear difference between the nascent and deposited carbon phases. This suggests that the catalytic decomposition of SNG over R250 leads to the formation of a structurally distinct carbon across this temperature range.
Furthermore, panel B reveals that the oxidative behavior of the TCD carbon deposits is temperature dependent. Specifically, deposits formed at lower reaction temperatures exhibit lower onset temperatures for oxidation, indicating a more reactive or less ordered structure. This temperature dependence emphasizes the influence of synthesis conditions on the properties of the resulting carbon and highlights the importance of considering both the catalyst and reaction conditions when evaluating carbon reactivity. Additional comparative thermogravimetric analysis is available in the Supplemental Figure S3. Complementary Raman spectroscopic analysis is also provided in the Supplementary Materials Figure S4.

2.3. Active Site Enhancement via Partial Oxidation and Oxygen Chemisorption

Figure 4 shows the total oxygen content (O%) measured by XPS for the three carbon catalysts before and after 75% partial oxidation, along with their respective TEM correspondents. All samples underwent mild oxidation and activated O2; chemisorption, followed by surface analysis. Importantly, surface area increased for all catalysts following oxidation, except for Ketjenblack. R250, in particular, exhibited the most dramatic surface area gain, increasing by more than 600%. The substantial increase in surface area implies that R250’s structure contained previously inaccessible pores that were exposed through oxidative treatment or that the nascent nanostructure possessed high propensity to form interlayer pores. The oxygen content of the partially oxidized R250 increased from 1.6% to 3.1% compared to the nascent and M1300 improved from 2.7% to 4.4% oxygen atomic percent. The highest O% improvement was displayed by Ketjenblack with an increase from 0.7% to 4.2%. The differences in oxygen uptake and surface area evolution reflect key differences in nanostructure of the partially oxidized carbons. R250 appears moderately ordered with latent porosity that becomes accessible upon oxidation. M1300 is highly disordered and easily oxidized but may lack the structural characteristics needed for catalytic activity. Ketjenblack is initially porous and reactive but structurally unstable, as oxidation leads to surface collapse despite extensive functionalization. These structural fingerprints help explain each material’s afore-described reactivity and suitability for TCD.
The C 1s and O 1s spectra were deconvoluted using a combination of Gaussian–Lorentzian peak shapes and appropriate background subtraction. In our analysis, we found that nascent carbon catalysts exhibited differences in surface chemistry, indicating a variation in the surface functional groups introduced by partial oxidation and activated chemisorption. Ketjenblack displayed the largest oxygen uptake as shown in Figure 5. XPS deconvolutions of the C 1s can be found in Figure S5a and O 1s in Figure S5b of the Supplementary Materials.

2.4. Reaction Rates and Activation Energy

Activation energy plays a central role in understanding the kinetics of methane decomposition over carbon catalysts. Generally, a lower activation energy correlates with a higher number of accessible active sites, making them more desirable catalysts for hydrogen production via TCD, (unless the apparent rate is normalized by active site number) Still, activation energy can be used to assess and rank catalytic activity of the different carbons. For example, graphite being composed mainly of relatively inert basal sites, requires higher TCD temperatures for methane decomposition in comparison to commercial carbon black whose disorder and edge sites abundance helps promote methane activation. Conversely, partial oxidation of carbon blacks enhances many physical and chemical properties of these catalysts including surface area and porosity, as well as surface (oxygen) functional groups that can initiate active sites at elevated temperatures. These modifications lead to increased reactivity and potentially lower activation energy.
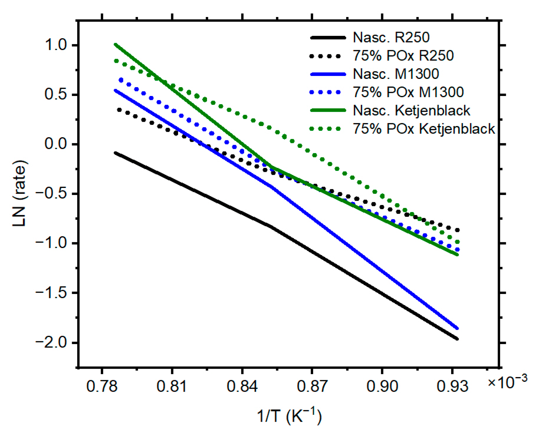
The Arrhenius plots illustrated in Figure 6 provide a clear comparative view on the catalytic behavior of the three nascent carbon blacks and their partially oxidized counterparts. The assumption of an Arrhenius behavior implies that TCD reaction kinetics are thermally activated and that the slope of each plot is proportional to its activation energy. A summary of the activation energy values is presented in Table 1.
R250: nascent R250 has an activation energy of 107.1 kJ/mol, showing a comparatively steep slope in the Arrhenius plot. This indicates moderate activity, particularly at lower temperatures. However, after 75% wt. partial oxidation, the activation energy dropped to 69.7 kJ/mol. This drastic change in the energy requirement (~35% drop) indicates that in addition to increasing the surface area, partial oxidation likely exposed additional reactive edge sites that in turn enabled higher decomposition. This also suggests that the reactivity of R250 was initially limited by structural and chemical factors that were successfully addressed by the mild oxidation.
M1300: This carbon black exhibits its highest activation energy in its nascent form (136.7 kJ/mol). However, unlike R250, M1300 has an even higher temperature dependence. After partial oxidation, the activation energy decreases substantially to 98.5 kJ/mol (28% drop compared to its nascent form). While it exhibited the lowest catalytic activity among the three carbons, this improvement demonstrates that oxidation can disrupt graphitic domains and increase defect density or edge site exposure, thereby enhancing catalytic performance.
Ketjenblack: This catalyst displayed a different behavior from the other two carbon blacks. Notably, in its nascent form, it has an activation energy of 119.8 kJ/mol. As with the other two catalysts, the activation energy of Ketjenblack decreased to 104.5 kJ/mol upon partial oxidation. However, this carbon showed the smallest activation energy improvement, a change of only ~13%. This small reduction indicates that the nascent structure of Ketjenblack is already catalytically well-optimized for TCD, and that the partial oxidation treatment offers limited additional benefit.
This summary of activation energies shows that the catalytic effectiveness of carbon materials is a function of both structural order and surface activity, both of which can be tuned through targeted post-treatment strategies like partial oxidation. The activation energy differences between the nascent versus partially oxidized carbon blacks highlight the impact of nanostructure upon catalytic activity. Our measured methane activation energies (69.7–136.7 kJ/mol), along with the contributions of C2 and C3 hydrocarbon components, are consistently lower than the literature-reported values for pure methane decomposition (141–243 kJ/mol) [17,25,26] over carbon catalysts under comparable conditions. This difference suggests that the presence of higher hydrocarbon intermediates facilitates methane activation by lowering the apparent energy barrier. C2 and C3 species are more reactive than methane, and their adsorption, decomposition, and subsequent radical generation can provide additional reactive pathways that promote methane conversion at lower energies. Consequently, the observed activation energies reflect not only intrinsic methane dissociation but also the synergistic role of these higher hydrocarbons in accelerating the overall reaction. Underscoring this feature is that changes to nanostructure by oxidation (regeneration) can substantially change the carbon activity—as demonstrated here on the nascent catalysts.

2.5. Carbon Deposition Rates

The temperature-dependent deposition rate plots (A–D) provide valuable insights into the performance of carbon catalysts before and after partial oxidation. These plots illustrate how deposition rates vary not only with temperature but also with the physical and chemical characteristics of each catalyst. To note, all catalysts were tested under identical reaction conditions, including gas composition, flow rate, and catalyst mass. Additionally, all measured rates likely represent steady-state values and all normalization parameters (catalyst mass, BET surface area, chemisorbed oxygen content) were accurately determined and representative of active site availability or surface accessibility.
Figure 7A shows that all catalysts exhibit an increase in carbon deposition with temperature, as expected for a thermally activated process. At 1000 °C, the highest overall rates are observed, particularly for partially oxidized R250 and M1300. Nascent Ketjenblack also shows strong performance across all temperatures, especially at 1000 °C where the mass deposition rate of the nascent Ketjenblack far surpasses that of its oxidized variant. This observed higher activity for nascent Ketjenblack at 1000 °C likely arises from multiple contributing factors. Elevated temperatures can enhance the intrinsic reactivity of carbon surfaces, increasing SNG decomposition rates. Additionally, certain active sites on the carbon may only be chemically active at higher temperatures, whereas they remain largely inactive at lower temperatures. Together, these effects can lead to enhanced catalytic performance observed at 1000 °C for the un-oxidized Ketjenblack. Panel B of Figure 7 shows the deposition rate normalized by catalyst surface area per unit mass. Here in particular, nascent R250 surprisingly shows the highest surface area normalized deposition mass deposition rate, especially at higher temperatures. This suggests that even though R250 has lower mass deposition rate per total time (panel A), its catalytic sites are presumably more active per surface area of unit mass. M1300 and Ketjenblack show moderate activity per unit surface area, and the benefits of POx treatment appear less pronounced when normalized this way.
Another deposition rate normalization is illustrated in panel C. Here, deposition rates are normalized by the amount of chemisorbed oxygen. The amount of chemisorbed oxygen species is adopted as a proxy for active sites formed during or after partial oxidation. By this normalization metric, nascent Ketjenblack dominates deposition, especially at high temperatures. In contrast, the POx-treated samples show lower site-specific activity. This points to a degree of site heterogeneity. It should be noted that, while oxidation increases active site density, it may not necessarily improve active site quality. Furthermore, mass deposition rates can be more influenced by the deposited carbon in contrast to the original catalysts as a greater concentration of active sites may be more susceptible to early deactivation by TCD deposited carbon.
Finally, panel D provides deposition rates normalized to the product of surface area and active site density, offering a surface-specific perspective. Again, nascent R250 exhibits the highest activity while Ketjenblack and M1300 perform moderately. POx-treated samples show reduced rates despite high overall surface areas. This implies that the new surface introduced by oxidation is not uniformly catalytically active—either due to passivated regions, the presence of less-reactive oxygen functionalities, or structural changes that create surface but not necessarily productive edge sites. Therefore, more surface area does not always translate to higher surface-specific reactivity.

2.6. Carbon Deposit Nanostructure

TEM images of the nascent and partially oxidized carbon black catalysts (pre- and post TCD) are presented in Figure 8 In its nascent form, R250 has visible lamellae configured in the usual concentric manner about the particle core with decreasing structure towards the particle interior (panel A). M1300 appear more aggregated with irregular shape. It has no clear concentric lamellae arrangement or ordered layering (panel B). Ketjenblack displays a highly curved morphology with somewhat randomly oriented fringes (panel C) reflecting many interlocked partial shells. Upon partial oxidation, the interior of R250 particles become hollow and/or exhibit a cotton-like appearance with low density and high porosity. M1300 and Ketjenblack oxidation resulted in some degree of particle fragmentation most likely due to their curved morphologies. For all carbon catalysts, outgrowths and protruding structures resembling coral-like carbon formations (indicated by the arrows in Figure 8) are evident in the TCD deposited carbon. As we noted in our previous work [24], the formation of similar TCD carbon on all catalysts indicates that the structure of the deposited carbon does not depend on the nascent carbon catalyst structure; rather, it is a function of the hydrocarbon feed and temperature—together controlling the structure of the TCD carbon and autocatalytic self-regulation of the TCD rate. The dominance of coral-like carbon deposits helps explain the sustained thermo-catalytic decomposition performance at prolonged reaction times. Fringe analysis distributions of the nascent carbon catalysts are provided in the Supplementary Materials Figure S2.

3. Materials and Methods

3.1. Carbon Catalysts

Carbon black samples were obtained from commercial suppliers and used as received without further purification. Ketjenblack EC-600JD, a highly conductive carbon black with high surface area and microporosity, was sourced from AkzoNobel (now Nouryon, Amsterdam, The Netherlands). Regal® R250, a furnace black grade and Monarch® M1300, a specialty carbon black, were both acquired from Cabot Corporation (Boston, MA, USA). Prior to experimental use, the carbon blacks were stored in airtight containers under ambient laboratory conditions to prevent contamination or moisture uptake. These nascent carbon catalysts underwent slow partial oxidation treatments (Section 3.3), during which approximately 75% of their original mass was removed. As a result, significant modifications to the surface area and pore architecture were observed. The textural characteristics of the carbon catalysts before and after oxidation are summarized in Table 2 below. Adsorption–desorption isotherms and pore size distribution the nascent and partially oxidized catalysts are provided in the Supplementary Materials Section S1 (Figures S1a and S1b, respectively).

3.2. Packed Bed Reactor

Using a commercial microreactor system (AMI-300 chemisorption analyzer—Altamira Instruments, University Park, PA 16802, USA). As illustrated in Figure 9 the starting carbon catalysts were placed in a 4 mm ID standard U-shaped quartz tube held in a vertical reactor. Internal MKS mass flow controllers regulate the flow the hydrocarbon gas. The initial catalyst mass was 25 ± 0.2 mg and the hydrocarbon gas flow rate for all tests was 0.5 cm3/s. Space velocities were ~14 s−1/gcat [24]. The reactor furnace was ramped up at 20 °C/min. until the desired temperature was reached. The furnace was held at the final temperature for 1 h to allow for the reaction steady-state to be reached. Gas-phase analysis was conducted using the 700 Series FT-IR Analyzer (California Analytical Instruments, Orange, CA, USA), which applies Fourier Transform Infrared Spectroscopy to simultaneously detect and quantify multiple gas compounds based on their characteristic IR absorption. The system utilizes a stable Rocksolid™ Michelson interferometer (Billerica, MA, USA) and a DTGS detector. IR radiation (7500–375 cm−1) passes through a stainless-steel gas cell (550 cc, 10.2 m pathlength), where sample molecules absorb specific wavelengths. The resulting interferogram is converted to an absorbance spectrum and analyzed with chemometric methods for concentration determination. For all tests, reactive gas consisted of pure methane (99.998) and/or synthetic natural gas mixture (SNG) consisting of 85% methane, 10% ethane, and 5% propane.

3.3. Thermogravietric Analysis—Partial Oxidation

Thermogravimetric analysis (TGA) was performed using a TA Instruments SDT Q600 (New Castle, DE, USA) to carry out controlled partial oxidation (PO) of carbon black samples in an air atmosphere. The goal was to achieve approximately 75% mass loss relative to the initial sample weight. During analysis, a constant air flow of 50 mL/min was maintained to provide a stable oxidative environment. The temperature was ramped up from room temperature to 550 °C at a heating rate of 10 °C/min, then held constant at 550 °C until the sample reached 75% mass loss, as monitored in real time by the instrument software. Once the desired burn-off was achieved, the run was manually stopped to precisely control the oxidation level. After cooling, the remaining carbon material was collected for further characterization. These conditions were then transferred to a tube furnace for bulk oxidation of the materials.

3.4. HRTEM

High-resolution transmission electron microscopy (HRTEM) was conducted using an FEI Talos™ F200X microscope (Hillsboro, OR, USA) operated at 200 keV. This system, equipped with a field emission gun (FEG) source, offers superior beam coherence and brightness, allowing imaging with a resolution down to 0.12 Å. To prepare the carbon samples for imaging, they were dispersed in methanol and ultrasonicated for 5–10 min to break apart agglomerates and achieve uniform distribution. A few microliters of the resulting suspension were then drop-cast onto 300-mesh copper TEM grids coated with a lacey carbon support film. The grids were air-dried before being transferred into the microscope’s vacuum chamber. This preparation method enabled clear imaging of individual carbon particles and nanostructures with minimal contamination or particle overlap.

3.5. Activated Chemisorption

All carbon catalysts underwent a degassing treatment in an inert atmosphere (N2) using a 1-inch Thermo-Scientific Lindberg/Blue M 1100 °C tube furnace (Waltham, MA, USA) to remove adsorbed gases and moisture prior to chemisorption. The furnace temperature was increased at a controlled heating rate of 10 °C/min. to 800 °C. This final temperature was maintained for 1 h to ensure thorough thermal degassing. Following this step, the furnace was gradually cooled to 300 °C while maintaining the inert gas flow. Once the temperature reached 300 °C, the gas environment was switched to air to initiate surface chemisorption. The samples were exposed to air at 300 °C for 1 h to allow for oxygen chemisorption onto the carbon surface. After chemisorption, the furnace was allowed to cool down naturally to room temperature under an air atmosphere. Once cooled, the treated samples were carefully transferred into storage vials in preparation for XPS measurements.

3.6. XPS

X-ray photoelectron spectroscopy (XPS) analysis was conducted using a Physical Electronics VersaProbe II system (Chanhassen, MN, USA), which utilizes a monochromatic Al Kα X-ray source (photon energy = 1.4867 keV) and a concentric hemispherical analyzer. Sample powders were pressed into created cups using a zinc plated stainless washer with a 3mm opening secured with 3MTM permanent double-sided tape. A minimum amount of powder was used to fully cover the bottom of the created well and pressed down with clean weighing paper. To neutralize surface charge, both low-energy electrons (<5 eV) and argon ions were employed. The binding energy (BE) scale was calibrated using sputter-cleaned copper foil, with reference peaks at 932.7 eV for Cu 2p3/2 and 75.1 eV for Cu 3p. All spectra were charge-corrected by aligning the C–C peak in the carbon 1s region to 284.5 eV. Data acquisition was performed at a 45° takeoff angle relative to the sample surface, providing a sampling depth of approximately 3–6 nm (accounting for 95% of the detected signal). Elemental quantification was based on instrument-provided relative sensitivity factors (RSFs), which consider both the X-ray photoionization cross-section and the inelastic mean free path of the emitted electrons. Chemisorbed oxygen species were interpreted as indicators of active surface sites, since their thermal decomposition during initial heating releases CO and CO2, thereby generating radical sites through the loss of surface carbon [27,28,29].

3.7. Surface Area and Porosity

Nitrogen adsorption–desorption analysis was conducted to determine the specific surface area and pore size distribution of the nascent carbon catalysts. Measurements were performed using a Micromeritics® TriStar II Plus surface area and porosity analyzer (University Park, PA 16802, USA). Prior to measurement, all samples were degassed under vacuum to remove adsorbed species. The analysis employed high-purity nitrogen gas (N2) as the adsorptive, and all isotherms were measured at the liquid nitrogen temperature of 77.35 K. Surface area calculations were performed using the Brunauer–Emmett–Teller (BET) method, while Barrett–Joyner–Halenda (BJH) analysis was applied to the of the isotherm to estimate the pore size distribution. Samples were characterized as being received from the manufacturer, without any prior chemical or thermal modification.

3.8. Fringe Analysis

Nanostructure was analyzed by lattice fringe analysis using custom algorithms [30]. As shown in Figure 10 below, the lattice fringe length measures the total extent of a fringe along its path; longer lengths indicate a higher degree of structural order and graphitization. Fringe tortuosity, defined as the ratio of the actual fringe length (L) to the straight-line distance between its endpoints (A), quantifies the waviness or curvature of the carbon layers [31].

4. Conclusions

Comparative studies of methane thermal decomposition using pure methane and synthetic natural gas (SNG) reveal that reactivity trends are governed by feed composition, reaction temperature, and catalyst structure and surface chemistry. The increase in methane conversion observed with SNG is likely owed to the presence of heavier hydrocarbons (C2 and C3 in ethane and propane, respectively) which can facilitate methane consumption by enhancing radical generation. Catalyst partial oxidation notably increases oxygen content across the three carbon blacks and activation energy trends confirm that catalytic performance depends on both structural order and surface reactivity, which can be tuned via partial oxidation and oxygen chemisorption. All reported rates (normalized by catalyst mass, BET surface area, and chemisorbed oxygen content) show that TCD activity is influenced by multiple factors, with both the observed reaction rates and activation energies reflecting the combined effects of these variables. Regardless of the nascent carbon structure, all catalysts generated morphologically similar coral-like TCD carbon, suggesting that deposited carbon structure is dictated primarily by hydrocarbon feed and temperature through an autocatalytic self-regulation mechanism. Thus, short term TCD activity depends on the initial carbon catalyst while long term activity is solely dependent on the newly deposited carbon.

Supplementary Materials

The following supporting information can be downloaded at https://www.mdpi.com/article/10.3390/catal15100941/s1, Figure S1(a). Nitrogen adsorption–desorption isotherms of nascent and partially oxidized carbon catalysts measured at 77 K; Figure S1(b). Pore Size Distribution of nascent and partially oxidized carbon catalysts; Figure S2. Fringe length and tortuosity analysis of the nascent carbon black catalysts; Figure S3. Thermogravimetric analysis of TCD deposits at different temperatures along with their respective weight loss derivatives (inserts); Figure S4. Raman spectra of nascent carbon catalysts without and with deposited carbon; Figure S5(a). C 1s XPS spectra deconvolutions of the nascent and partially oxidized carbon catalysts; Figure S5(b). O 1s XPS spectra deconvolutions of the nascent and partially oxidized carbon catalysts.

Author Contributions

Conceptualization, R.L.V.W. and M.M.N.; methodology, R.L.V.W. and M.M.N.; software, M.M.N.; validation, R.L.V.W. and M.M.N.; formal analysis, R.L.V.W. and M.M.N.; investigation, R.L.V.W. and M.M.N.; data curation, R.L.V.W. and M.M.N.; writing—original draft preparation, R.L.V.W. and M.M.N.; writing—review and editing, R.L.V.W. and M.M.N.; visualization, M.M.N.; supervision, R.L.V.W.; project administration, R.L.V.W.; funding acquisition, R.L.V.W. All authors have read and agreed to the published version of the manuscript.

Funding

This material is based upon work supported by the National Science Foundation under Grant CBET-2228140 with the Pennsylvania State University.

Data Availability Statement

The data presented in this study is available on request from the corresponding author.

Conflicts of Interest

The authors declare no conflicts of interest.

References

  1. Rubin, E.S.; Davison, J.E.; Herzog, H.J. The cost of CO2 capture and storage. Int. J. Greenh. Gas Control. 2015, 40, 378–400. [Google Scholar] [CrossRef]
  2. Centi, G.; Perathoner, S. The chemical engineering aspects of CO2 capture, combined with its utilisation. Curr. Opin. Chem. Eng. 2022, 39, 100879. [Google Scholar] [CrossRef]
  3. Brownsort, P.A.; Scott, V.; Haszeldine, R.S. Reducing costs of carbon capture and storage by shared reuse of existing pipeline—Case study of a CO2 capture cluster for industry and power in Scotland. Int. J. Greenh. Gas Control 2016, 52, 130–138. [Google Scholar] [CrossRef]
  4. Bachu, S. CO2 storage in geological media: Role, means, status and barriers to deployment. Prog. Energy Combust. Sci. 2008, 34, 254–273. [Google Scholar] [CrossRef]
  5. Keipi, T.; Tolvanen, K.E.; Tolvanen, H.; Konttinen, J. Thermo-catalytic decomposition of methane: The effect of reaction parameters on process design and the utilization possibilities of the produced carbon. Energy Convers. Manag. 2016, 126, 923–934. [Google Scholar] [CrossRef]
  6. Ashik, U.P.M.; Wan Daud, W.A.; Abbas, H.F. Production of greenhouse gas free hydrogen by thermocatalytic decomposition of methane—A review. Renew. Sustain. Energy Rev. 2015, 44, 221–256. [Google Scholar] [CrossRef]
  7. Harun, K.; Adhikari, S.; Jahromi, H. Hydrogen production via thermocatalytic decomposition of methane using carbon-based catalysts. RSC Adv. 2020, 10, 40882–40893. [Google Scholar] [CrossRef]
  8. Hamdani, I.R.; Ahmad, A.; Chulliyil, H.M.; Srinivasakannan, C.; Shoaibi, A.A.; Hossain, M.M. Thermocatalytic Decomposition of Methane: A Review on Carbon-Based Catalysts. ACS Omega 2023, 8, 28945–28967. [Google Scholar] [CrossRef]
  9. Radovic, L.R. Active Sites in Graphene and the Mechanism of CO2 Formation in Carbon Oxidation. J. Am. Chem. Soc. 2009, 131, 17166–17175. [Google Scholar] [CrossRef]
  10. Figueiredo, J.L.; Pereira, M.F.R.; Freitas, M.M.A.; Órfão, J.J.M. Characterization of Active Sites on Carbon Catalysts. Ind. Eng. Chem. Res. 2006, 46, 4110–4115. [Google Scholar] [CrossRef]
  11. Serrano, D.; Botas, J.; Fierro, J.; Guil-López, R.; Pizarro, P.; Gómez, G. Hydrogen production by methane decomposition: Origin of the catalytic activity of carbon materials. Fuel 2010, 89, 1241–1248. [Google Scholar] [CrossRef]
  12. Wang, H.Y.; Lua, A.C. Hydrogen Production by Thermocatalytic Methane Decomposition. Heat Transf. Eng. 2013, 34, 896–903. [Google Scholar] [CrossRef]
  13. Suelves, I.; Pinilla, J.; Lázaro, M.; Moliner, R. Carbonaceous materials as catalysts for decomposition of methane. Chem. Eng. J. 2008, 140, 432–438. [Google Scholar] [CrossRef]
  14. Muradov, N.; Smith, F.; T-Raissi, A. Catalytic activity of carbons for methane decomposition reaction. Catal. Today 2005, 102–103, 225–233. [Google Scholar] [CrossRef]
  15. Serrano, D.; Botas, J.; Guil-Lopez, R. H2 production from methane pyrolysis over commercial carbon catalysts: Kinetic and deactivation study. Int. J. Hydrogen Energy 2009, 34, 4488–4494. [Google Scholar] [CrossRef]
  16. Krzyzynski, S.; Kozlowski, M. Activated carbons as catalysts for hydrogen production via methane decomposition. Int. J. Hydrogen Energy 2008, 33, 6172–6177. [Google Scholar] [CrossRef]
  17. Lee, S.Y.; Ryu, B.H.; Han, G.Y.; Lee, T.J.; Yoon, K.J. Catalytic characteristics of specialty carbon blacks in decomposition of methane for hydrogen production. Carbon 2008, 46, 1978–1986. [Google Scholar] [CrossRef]
  18. Malaika, A.; Kozłowski, M. Influence of ethylene on carbon-catalysed decomposition of methane. Int. J. Hydrogen Energy 2009, 34, 2600–2605. [Google Scholar] [CrossRef]
  19. Kameya, Y.; Hanamura, K. Carbon black texture evolution during catalytic methane decomposition. Carbon 2012, 50, 3503–3512. [Google Scholar] [CrossRef]
  20. Song, J.; Alam, M.; Boehman, A.; Kim, U. Examination of the oxidation behavior of biodiesel soot. Combust. Flame 2006, 146, 589–604. [Google Scholar] [CrossRef]
  21. Müller, J.-O.; Su, D.; Jentoft, R.; Kröhnert, J.; Jentoft, F.; Schlögl, R. Morphology-controlled reactivity of carbonaceous materials towards oxidation. Catal. Today 2005, 102–103, 259–265. [Google Scholar] [CrossRef]
  22. Knauer, M.; Schuster, M.E.; Su, D.; Schlögl, R.; Niessner, R.; Ivleva, N.P. Soot Structure and Reactivity Analysis by Raman Microspectroscopy, Temperature-Programmed Oxidation, and High-Resolution Transmission Electron Microscopy. J. Phys. Chem. A 2009, 113, 13871–13880. [Google Scholar] [CrossRef] [PubMed]
  23. Więckowski, A.; Najder-Kozdrowska, L.; Rechnia, P.; Malaika, A.; Krzyżyńska, B.; Kozłowski, M. EPR Characteristics of Activated Carbon for Hydrogen Production by the Thermo-Catalytic Decomposition of Methane. Acta Phys. Pol. A 2016, 130, 701–704. [Google Scholar] [CrossRef]
  24. Nkiawete, M.M.; Wal, R.V. Thermo-Catalytic Decomposition Comparisons: Carbon Catalyst Structure, Hydrocarbon Feed and Regeneration. Catalysts 2023, 13, 1382. [Google Scholar] [CrossRef]
  25. Abanades, S.; Kimura, H.; Otsuka, H. Kinetic investigation of carbon-catalyzed methane decomposition in a thermogravimetric solar reactor. Int. J. Hydrogen Energy 2015, 40, 10744–10755. [Google Scholar] [CrossRef]
  26. Pinilla, J.; Suelves, I.; Lázaro, M.; Moliner, R. Kinetic study of the thermal decomposition of methane using carbonaceous catalysts. Chem. Eng. J. 2008, 138, 301–306. [Google Scholar] [CrossRef]
  27. Moliner, R.; Suelves, I.; Lazaro, M.; Moreno, O. Thermocatalytic decomposition of methane over activated carbons: Influence of textural properties and surface chemistry. Int. J. Hydrogen Energy 2005, 30, 293–300. [Google Scholar] [CrossRef]
  28. Pinilla, J.; Suelves, I.; Utrilla, R.; Gálvez, M.; Lázaro, M.; Moliner, R. Hydrogen production by thermo-catalytic decomposition of methane: Regeneration of active carbons using CO2. J. Power Sources 2007, 169, 103–109. [Google Scholar] [CrossRef]
  29. Suelves, I.; Lázaro, M.; Moliner, R.; Pinilla, J.; Cubero, H. Hydrogen production by methane decarbonization: Carbonaceous catalysts. Int. J. Hydrogen Energy 2007, 32, 3320–3326. [Google Scholar] [CrossRef]
  30. Yehliu, K.; Wal, R.L.V.; Boehman, A.L. Development of an HRTEM image analysis method to quantify carbon nanostructure. Combust. Flame 2011, 158, 1837–1851. [Google Scholar] [CrossRef]
  31. Singh, M.; Wal, R.L.V. Nanostructure Quantification of Carbon Blacks. C 2018, 5, 2. [Google Scholar] [CrossRef]
Figure 1. Methane conversion dependence on initial gas. (A): pure CH4 then switch to SNG, and (B): SNG then switch to pure CH4.
Figure 1. Methane conversion dependence on initial gas. (A): pure CH4 then switch to SNG, and (B): SNG then switch to pure CH4.
Catalysts 15 00941 g001
Figure 2. Rate dependence on initial gas (pure CH4 vs. SNG).
Figure 2. Rate dependence on initial gas (pure CH4 vs. SNG).
Catalysts 15 00941 g002
Figure 3. Deposit reactivity. (A): different carbon catalysts at 1000 °C and (B): same carbon catalyst at different temperatures.
Figure 3. Deposit reactivity. (A): different carbon catalysts at 1000 °C and (B): same carbon catalyst at different temperatures.
Catalysts 15 00941 g003
Figure 4. Augmenting Carbon Catalyst Active Sites via Partial Oxidation: Enhancing Surface Functionality and O2 Chemisorption. (A): XPS O2 atomic percent. (B): nascent R250. (C): 75% POx R250. (D): nascent M1300. (E): 75% POx M1300. (F): nascent Ketjenblack. (G): 75% POx Ketjenblack.
Figure 4. Augmenting Carbon Catalyst Active Sites via Partial Oxidation: Enhancing Surface Functionality and O2 Chemisorption. (A): XPS O2 atomic percent. (B): nascent R250. (C): 75% POx R250. (D): nascent M1300. (E): 75% POx M1300. (F): nascent Ketjenblack. (G): 75% POx Ketjenblack.
Catalysts 15 00941 g004
Figure 5. C 1s and O 1s XPS spectra of the nascent and partially oxidized carbon catalysts. (A): C 1s of R250. (B): C 1s of Ketjenblack. (C): C 1s of M1300. (D): O 1s of R250. (E): O 1s of Ketjenblack. (F): O 1s of M1300.
Figure 5. C 1s and O 1s XPS spectra of the nascent and partially oxidized carbon catalysts. (A): C 1s of R250. (B): C 1s of Ketjenblack. (C): C 1s of M1300. (D): O 1s of R250. (E): O 1s of Ketjenblack. (F): O 1s of M1300.
Catalysts 15 00941 g005
Figure 6. Methane conversion rates as function of temperature.
Figure 6. Methane conversion rates as function of temperature.
Catalysts 15 00941 g006
Figure 7. Normalized performance metrics for methane decomposition over three carbon catalysts (R250, M1300, and Ketjenblack) before and after partial oxidation (POx). (A): rates per unit time. (B): rates per catalyst surface area. (C): rates per catalyst active sites. (D): rates per catalyst sites—surface area.
Figure 7. Normalized performance metrics for methane decomposition over three carbon catalysts (R250, M1300, and Ketjenblack) before and after partial oxidation (POx). (A): rates per unit time. (B): rates per catalyst surface area. (C): rates per catalyst active sites. (D): rates per catalyst sites—surface area.
Catalysts 15 00941 g007
Figure 8. Carbon deposit nanostructure illustrated by HRTEM. Arrows indicate the deposited carbon contrasting the initial carbon catalyst nanostructure for both the nascent and partially oxidized forms. (A,B): nascent R250 before and after TCD. (C,D): nascent M1300 before and after TCD. (E,F): nascent Ketjenblack before and after TCD. (G,H): 75% POx R250 before and after TCD. (I,J): 75% POx M1300 before and after TCD. (K,L): 75% POx Ketjenblack before and after TCD.
Figure 8. Carbon deposit nanostructure illustrated by HRTEM. Arrows indicate the deposited carbon contrasting the initial carbon catalyst nanostructure for both the nascent and partially oxidized forms. (A,B): nascent R250 before and after TCD. (C,D): nascent M1300 before and after TCD. (E,F): nascent Ketjenblack before and after TCD. (G,H): 75% POx R250 before and after TCD. (I,J): 75% POx M1300 before and after TCD. (K,L): 75% POx Ketjenblack before and after TCD.
Catalysts 15 00941 g008
Figure 9. Reactor schematic and sample loading.
Figure 9. Reactor schematic and sample loading.
Catalysts 15 00941 g009
Figure 10. Fringe analysis parameters for nanostructure characterization. Adapted [31].
Figure 10. Fringe analysis parameters for nanostructure characterization. Adapted [31].
Catalysts 15 00941 g010
Table 1. Activation Energy (Ea) of Employed Carbon Catalysts.
Table 1. Activation Energy (Ea) of Employed Carbon Catalysts.
Carbon CatalystActivation Energy (kJ/mol)
Nascent R250107.1
75% wt. POx R25069.7
Nascent Ketjenblack119.8
75% wt. POx Ketjenblack104.5
Nascent M1300136.7
75% wt. POx M130098.5
Table 2. Textural Properties of Carbon Samples Before and After Oxidation.
Table 2. Textural Properties of Carbon Samples Before and After Oxidation.
Carbon CatalystBET Surface Area
m2/g
BJH Pore Volume
cm3/g
Total Area in Pores
m2/g
Nascent R25059.90.5340.9
75% POx R250392.41.37252.5
Nascent M1300562.80.94380.6
75% POx M13001004.11.42628.1
Nascent Ketjenblack1315.43.22903.1
75% POx Ketjenblack889.12.75615.6
Disclaimer/Publisher’s Note: The statements, opinions and data contained in all publications are solely those of the individual author(s) and contributor(s) and not of MDPI and/or the editor(s). MDPI and/or the editor(s) disclaim responsibility for any injury to people or property resulting from any ideas, methods, instructions or products referred to in the content.

Share and Cite

MDPI and ACS Style

Nkiawete, M.M.; Vander Wal, R.L. Thermo-Catalytic Decomposition of Natural Gas: Connections Between Deposited Carbon Nanostructure, Active Sites and Kinetic Rates. Catalysts 2025, 15, 941. https://doi.org/10.3390/catal15100941

AMA Style

Nkiawete MM, Vander Wal RL. Thermo-Catalytic Decomposition of Natural Gas: Connections Between Deposited Carbon Nanostructure, Active Sites and Kinetic Rates. Catalysts. 2025; 15(10):941. https://doi.org/10.3390/catal15100941

Chicago/Turabian Style

Nkiawete, Mpila Makiesse, and Randy Lee Vander Wal. 2025. "Thermo-Catalytic Decomposition of Natural Gas: Connections Between Deposited Carbon Nanostructure, Active Sites and Kinetic Rates" Catalysts 15, no. 10: 941. https://doi.org/10.3390/catal15100941

APA Style

Nkiawete, M. M., & Vander Wal, R. L. (2025). Thermo-Catalytic Decomposition of Natural Gas: Connections Between Deposited Carbon Nanostructure, Active Sites and Kinetic Rates. Catalysts, 15(10), 941. https://doi.org/10.3390/catal15100941

Note that from the first issue of 2016, this journal uses article numbers instead of page numbers. See further details here.

Article Metrics

Back to TopTop