Next Article in Journal
Efficient and Sustainable Biodiesel Production via Transesterification: Catalysts and Operating Conditions
Next Article in Special Issue
Peroxymonosulfate Activation by Fe/C Composites for Paracetamol Degradation: Performance Evaluation and Mechanism Insight
Previous Article in Journal
Direct Spectroscopic Comparison of CO Adsorption over CuOx Prepared In Situ
Previous Article in Special Issue
The Direct Formation of an Iron Citrate Complex Using a Metallurgical Slag as an Iron Source for Micropollutant Removal via the Photo-Fenton Process
 
 
Font Type:
Arial Georgia Verdana
Font Size:
Aa Aa Aa
Line Spacing:
Column Width:
Background:
Article

Kinetic Study of the Water Quality Parameters during the Oxidation of Diclofenac by UV Photocatalytic Variants

by
Natalia Villota
1,*,
Begoña Echevarria
2,
Unai Duoandicoechea
1,
Jose Ignacio Lombraña
3 and
Ana María De Luis
2
1
Department of Environmental and Chemical Engineering, Faculty of Engineering Vitoria-Gasteiz, Nieves Cano 12-01006 Vitoria-Gasteiz, University of the Basque Country UPV/EHU, 12, 01006 Vitoria-Gasteiz, Spain
2
Department of Environmental and Chemical Engineering, Bilbao School of Engineering, Rafael Moreno “Pitxitxi” 2-48013 Bilbao, University of the Basque Country UPV/EHU, Plaza Ingeniero Torres Quevedo, 1, 48013 Bilbao, Spain
3
Department of Chemical Engineering, Faculty of Science and Technology, Barrio Sarriena s/n-48940 Leioa, University of the Basque Country UPV/EHU, P.O. Box 644, 48080 Bilbao, Spain
*
Author to whom correspondence should be addressed.
Catalysts 2024, 14(9), 580; https://doi.org/10.3390/catal14090580
Submission received: 23 July 2024 / Revised: 25 August 2024 / Accepted: 28 August 2024 / Published: 31 August 2024

Abstract

Diclofenac (DCF, C14H11Cl2NO2) is a widely used non-steroidal anti-inflammatory drug, with a significant occurrence in waste effluents. DCF is especially persistent and difficult to degrade, with numerous toxic effects on aquatic fauna and humans. In 2015, DCF was identified as a priority pollutant (EU Directives on water policy). In this work, UV irradiation and its combination with hydrogen peroxide only or catalyzed by iron salts (photo-Fenton) are analyzed to find the most efficient alternative. DCF aqueous solutions were treated in a stirred 150 W UV photocatalytic reactor. Depending on the case, 1.0 mM H2O2 and 0–5.0 mg/L Fe2+ catalyst, such as FeSO4, was added. During the reaction, DCF, pH, turbidity, UVA at 254 and 455 nm, dissolved oxygen (DO), and TOC were assessed. The degradation of DCF yields a strong increase in aromaticity because of the rise in aromatic intermediates (mono-hydroxylated (4-hydroxy-diclofenac and 5-hydroxy-diclofenac) and di-hydroxylated products (4,5-dihydroxy-diclofenac), which subsequently generate compounds of a quinoid nature), which are very stable and non-degradable by UV light. Thus, only if H2O2 is added can UV completely degrade these aromatic colour intermediates. However, adding ferrous ion (photo-Fenton) the aromaticity remains constant due to iron com-plexes, that generates maximum colour and turbidity at an stoichiometric Fe2+ : DCF ratio of 3. As a result of the study, it is concluded that, with UV light only, a strong yellow colour is generated and maintained along the reaction, but by adding H2O2, a colourless appearance, low turbidity (<1 NTU), and [DO] = 8.1 mg/L are obtained. Surprisingly, photo-Fenton was found to be unsuitable for degrading DCF.

1. Introduction

Among pharmaceutical compounds detected at measurable concentrations in aquatic environments are non-steroidal anti-inflammatory drugs. It is estimated that the annual production of these drugs can reach several kilotons. In Germany, for example, 87.5 million prescriptions for these substances were issued in 2001, not considering that many of these medications are purchased over the counter, making the actual consumption even higher [1]. Sodium diclofenac (DCF) is a commonly used NSAID for pain relief. It is estimated that approximately 490 tons of DCF are consumed annually worldwide [2].
DCF has garnered attention due to its toxicity and potential consequences for various organisms in aquatic ecosystems, even at low concentrations [3]. Therefore, it was classified as an emerging contaminant, and it was included in the first watch list established by the European Commission [4]. DCF has been detected in water at concentrations of up to μg/L [5,6,7], with the highest concentration detected in surface waters being 4.4 μg/L in countries such as the USA, Pakistan, Austria, and Germany [8]. One of the most significant cases of environmental toxicity is the decline in vulture populations in Pakistan due to the ingestion of DCF through food. Gyps vultures in South Asia were considered among the world’s most common large raptors in the mid-1980s, but by 2000, three species were classified as critically endangered due to the rapid population decline [9].
Conventional water treatment and natural attenuation are not sufficient to remove these contaminants from wastewater, surface water, and drinking water, leading to their bioaccumulation in aquatic ecosystems and the human body [10]. Since wastewater treatment plants (WWTPs) are not designed to eliminate pharmaceuticals from water, these substances reach irrigation water for vegetables that we consume daily through WWTP effluents. It has been found that in tomatoes, radishes, and lettuce, the bioconcentration factor of diclofenac was the highest among the analyzed compounds, with concentrations in all vegetables ranging from 31 to 118 ng/g [11]. Therefore, it is of the utmost importance to develop efficient treatment techniques to degrade DCF in aquatic systems. Although DCF is a fairly stable compound, it is sensitive to photolysis [12]. Indeed, solar irradiation can cause the photochemical decomposition of DCF in surface waters.
Studies in the literature show the efficacy of treatments based on the use of UV light combined with hydrogen peroxide and/or intensified with ferrous ion salts in the degradation of DCF [13,14]. Reported works analyze the efficacy of these treatments based on the degradation of DCF concentration in water and aim to identify the degradation intermediates generated in treated waters [15,16,17,18]. However, although diclofenac is a compound widely studied within this context, these studies have not analyzed or delved into the quality parameters of water once processed. Therefore, this work aims to complement previous studies by analyzing the effect of UV light combined with hydrogen peroxide and iron salts on water quality parameters of an organoleptic nature (colour and turbidity) and other parameters of special relevance, such as dissolved oxygen, pH, and aromaticity, to ensure that treated waters meet environmental regulations. Among the main characteristics of oxidized DCF aqueous solutions, the strong yellow colour of partially oxidized water and the poor solubility of DCF at acidic pH values stand out. This results in an increase in suspended particles, causing high turbidity in the treated waters. Consequently, the primary objective of this work is to analyze these phenomena to determine the operating conditions (the molar ratios of oxidant and catalyst relative to the contaminant) that would allow the application of UV technology to obtain treated waters that are safe and suitable for discharge into natural water systems.
At this stage, the technology based on the use of UV light, enhanced by the oxidative action of hydrogen peroxide and iron salts, is compared in terms of DCF mineralization efficiency and its impact on water colour and turbidity. This comparison involves correlating the molecular structures of the different degradation intermediates generated during DCF oxidation, in the presence and absence of iron, with the formation of colour and turbidity [19,20,21]. Based on the obtained results and supported by DCF degradation mechanisms published in the literature [22,23,24,25], the aim is to theoretically deduce the DCF degradation pathways that lead to the formation of intermediates responsible for high turbidity and colour, as well as to propose models of molecular structures responsible for the intense colour in the water.

2. Results and Discussion

2.1. Kinetic Analysis of DCF Oxidation

2.1.1. Parameters Indicating the Quality of Treated Water

Figure 1 shows the degradation of DCF through the photo-Fenton treatment. As depicted in the graph, during the oxidation of DCF, high turbidity is generated in the water, but the photo-Fenton treatment is capable of degrading some of the turbidity-causing species. It is also observed that the total dissolved solids (TDS) increase exponentially over time until they reach a stable value that persists in the treated water. To explain the notable increase in TDS, it is necessary to consider that the solubility of DCF depends on the pH of the water, such that at values lower than pH > 4.0, DCF becomes insoluble as the pH becomes more acidic. Consequently, it is experimentally observed that the water acquires a whitish colour, and a whitish substance floats on the water surface when operating at pH = 2.0. This whitish substance is the insoluble DCF, which remains suspended in the water, causing high TDS and turbidity in the water. Since this effect has a direct influence on the turbidity and TDS of the water, it is necessary to adjust the initial pH of the water when studying these parameters.
Figure 2 shows the kinetic evolution of aromaticity and colour during DCF oxidation. As verified, DCF degrades to intermediates of a strongly aromatic nature until it reaches a maximum value, which would correspond to the maximum concentration of these species. Once these species are formed, the photo-Fenton treatment is capable of degrading part of the aromatic charge generated in the water. The evolution of colour maintains a trend parallel to the formation of aromaticity, so it is possible to deduce that aromatic species are responsible for the yellow-brown colour generated in the treated waters.

2.1.2. Kinetic Modelling of Pseudo-First Order for DCF Oxidation

Figure 3 shows the degradation kinetics of DCF when carrying out the treatment using UV light, and combining it with hydrogen peroxide, and with ferrous sulphate salts (photo-Fenton). As can be seen, DCF is completely oxidized during the first 20 min of the reaction in all cases. It is important to highlight that no significant dependence of the DCF oxidation rate was observed depending on the treatment, or the operating conditions used in the different tests carried out.
Based on the results obtained, the values of the DCF oxidation kinetic constants were graphically estimated (Figure 4) considering a pseudo-first order kinetic model (Equation (1)), where DCF degrades to intermediates of degradation according to a kinetic constant kDCF (1/min) according to the kinetic equation shown in Equation (2).
  • Mass balance:
    d [ D C F ] / d t = k D C F [ D C F ]  
  • First order kinetic equation for DCF oxidation:
    [ D C F ] = [ D C F ] 0 e x p ( k D C F t )
    where:
  • [DCF]0: initial concentration of DCF (= 50.0 mg/L);
  • [DCF]: concentration of DCF (mg/L);
  • kDCF: pseudo-first-order kinetic constant for DCF oxidation (1/min).
Table 1 shows the estimated kinetic values based on the operating conditions used, verifying that in the case of operating with a UV/H2O2 treatment, a higher degradation rate is obtained (kDCF = 0.3104 1/min) than those obtained using only the action of UV light or with the photo-Fenton treatment (average kDCF value = 0.2184 1/min). It should be noted that the values are very close, which indicates that kDCF is not strongly influenced by the dose of iron, and therefore an average value was estimated between the experiments carried out.

2.2. Kinetic Study of the Parameters Indicating the Quality of the Treated Water

2.2.1. Formation of Aromatic Intermediates

Figure 5 shows the formation of aromaticity in water during the degradation of DCF using the different UV techniques tested. It should be noted that when adding iron to the aqueous DCF solution, the iron is adjusted to pH = 2.0 so that it remains in the form of a ferrous ion. By adding different volumes of the ferrous ion solution to water, the pH value of the water decreases, affecting the concentration of DCF that remains dissolved in water and in insoluble form (suspended), thus affecting the initial absorbance of DCF analyzed.
The results obtained allow us to verify that UV light degrades DCF to aromatic intermediates that persist in water. When DCF is oxidized through a process activated by ultraviolet (UV) light, the aromaticity of the water containing DCF does not vary throughout the oxidation reaction and the water is found not to mineralize. This is because the action of UV light is not oxidative enough to affect the aromatic bonds of the DCF molecules.
When intensifying the treatment by combining UV light with hydrogen peroxide, DCF degrades to strongly aromatic intermediates, generating a maximum aromaticity value in the water ([A254]max = 1.913 AU), which corresponds to the maximum concentration of aromatic intermediates. which is capable of generating 50.0 mg/L of DCF ([A254]0 = 0.91 AU) (see Figure 6a). Studies have identified several of these intermediates, which can vary slightly depending on the specific process conditions. In general, DCF is degraded through hydroxylation reactions by the addition of hydroxyl radicals to the aromatic rings of DCF, leading to the generation of mono-hydroxylated (4-hydroxy-diclofenac and 5-hydroxy-diclofenac) and di-hydroxylated products (4,5-dihydroxy-diclofenac), which subsequently generate compounds of a quinoid nature (diclofenac-2,5-iminoquinone, 2,6-dichlorobenzoquinone, and 2-[(2-amino-3-chlorophenyl)-hydroxymethyl]-6-chlorobenzoquinone) [18]. These intermediates continue to react under the action of UV light and the oxidant, finally leading to the opening of the aromatic rings, leading to the formation of diclofenac acetic acid, and the subsequent decarboxylation of acetic acid [17], mineralizing the DCF contained in the water to lower molecular weight products, such as CO2, H2O, and inorganic salts characterized by being compounds of low aromaticity, and obtaining treated waters with aromaticity values of [A254]final = 0.224 AU (see Figure 6a) and mineralization yields of the final [TOC] = 86% (see Figure 6b).
On the other hand, the photo-Fenton technology was tested operating with mass concentrations of iron in the range [Fe2+]0 = 0.5–7.0 mg/L. The results shown in Figure 5 indicate that when operating with iron concentrations of [Fe2+]0 = 0.5 mg/L, the highest aromaticity values are generated in the water ([A254]max = 2.604 AU). As shown in Figure 6a, the maximum turbidity generated in the water decreases throughout the reaction, maintaining a considerable recalcitrant aromatic load in the treated waters. It is proven that by increasing the concentration of iron catalyst, the efficiency of removal of aromatic DCF degradation species improves, until reaching an optimal mineralization value (82% TOC removal yield) when operating with ferrous ion concentrations of [Fe2+]0 = 3.0 mg/L, which corresponds to an approximate molar ratio of 3 mol DCF:1 mol Fe2+. Operating under these conditions, the aromatic load contained in the water is oxidized to values of the order of [A254]final = 1.06 AU (Figure 6a). However, it is proven that the UV/H2O2 treatment allows us to obtain higher degrees of mineralization and elimination of aromatic load from the water than the photo-Fenton treatment and UV light. These results suggest that iron, given its high reactivity, could react with the organic load contained in the water, leading to the formation of stable metal complexes of 1 mol of iron with 3 mol DCF, which cause a decrease in the effectiveness of the photo-Fenton treatment.

2.2.2. Colour Formation in Water

Figure 7 shows the formation of a yellow-brown colour in the aqueous solutions of oxidized DCF. It should be noted that when DCF is oxidized with UV light, colour is generated during the first 20 min of reaction until reaching a maximum colour value ([A455]max = 0.282 AU) that lasts in the treated water ([A455]final = 0.282 AU) (see Figure 8). When intensifying the treatment by combining UV light with hydrogen peroxide, the maximum colour is generated after 10 min of reaction ([A455]max = 0.216 AU), but the treatment is capable of degrading the reaction intermediates causing the colour, until treated waters with a colourless appearance are obtained ([A455]final = 0.053 AU), as shown in Figure 8a. Using the photo-Fenton treatment, the maximum colour generated is of greater intensity than that observed in the previous treatments, with the treated water acquiring brown tones of up to [A455]max = 0.412 AU when operating with ferrous ion concentrations of [Fe2+]0 = 4.0 mg/L, which corresponds to molar ratios of 2 mol DCF:1 mol Fe2+. This residual colour generated in treated water reduces its quality and restricts its reuse and use. Even at low environmental levels, diclofenac and its degradation products can pose significant ecological risks, particularly to aquatic life and birds. Its persistence and the potential effects of its degradation products further complicate the issue. Addressing these challenges requires strict regulatory measures, improved wastewater treatment technologies, and an increased public awareness of the proper disposal of pharmaceuticals.
The colour generated in water during the oxidation of DCF is mainly due to the formation of oxidation intermediates, many of which are aromatic compounds containing structures with conjugated double-bond systems that can absorb light in the visible range [18]. These intermediates can be formed through different DCF degradation processes, including photodegradation, biodegradation, and chemical oxidation. The presence of these intermediates in water can cause a yellow or brown colouration, which is often an indication of the transformation of DCF into other, less known, and potentially less studied compounds in terms of toxicity and environmental behaviour.
Within these compounds, a variety of intermediates can be included with colours that vary between yellow and brown, such as quinones, aminoquinones (they can be formed from secondary reactions of quinones), and substituted anilines (they are formed as a consequence of the breaking of bonds in the original DCF molecule). Nitroaromatic compounds (yellowish colour) and chlorinated phenols (which tend to have yellowish or brown colours) can also be generated. Specifically, some of these intermediates, such as 2,6-dichloro-1,4-benzoquinone [22,23,24], can impart a deep yellow or brown colour to the water (see Figure 9).
Some of the coloured products still remain even after extensive UV/H2O2 treatment because coloured products are very recalcitrant and persistent. This is because many of the coloured compounds have aromatic structures that allow electronic conjugation. This conjugation is responsible for the absorption of light in the visible spectrum, which gives rise to colouration. On the other hand, the presence of functional groups such as amino, nitro, hydroxyl, and carboxyl can influence the stability and optical behaviour of these compounds. The formation and stability of coloured compounds during the degradation of diclofenac have important environmental implications. Stable compounds can persist in the environment, affecting water quality and aquatic life. On the other hand, less stable compounds can degrade more quickly, reducing their long-term environmental impact.

2.2.3. Turbidity Formation

Figure 10 shows the turbidity changes in waters containing DCF when they are oxidized in the presence of UV light. As can be seen, when oxidizing DCF with UV light or combining it with hydrogen peroxide, turbidity is not generated in the water, but it remains constant throughout the reaction at values less than 1 NTU. However, when carrying out the oxidation by adding iron (photo-Fenton), high turbidity is generated in the water during the first 10 min of the reaction until a maximum value is reached. As shown in Figure 8b, the maximum turbidity generated in the water depends on the concentration of iron catalyst dosed, so that the turbidity increases with the concentration of iron, until the maximum intensity of turbidity corresponding to 117 NTU is formed when operating with [Fe2+]0 = 4.0 mg/L of ferrous ion, which corresponds to a molar ratio of 2 mol DCF : 1 mol Fe2+. This is because iron can form iron hydroxides Fe(OH)3 during the reaction, which are suspended particles that generate turbidity in the water. When operating with iron concentrations higher than [Fe2+]0 > 4.0 mg/L, turbidity decreases linearly with the ferrous ion concentration dosed, because the precipitation of ferric hydroxide particles occurs.
Once the maximum formation of turbidity in the water is reached, turbidity decreases exponentially until it reaches a stable value that persists in the treated waters (see Figure 9b). The photo-Fenton process generates hydroxyl radicals which are highly reactive species that can fragment diclofenac molecules into smaller compounds. These fragments can aggregate or interact with each other, forming larger particles that contribute to turbidity.
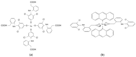
On the other hand, it should be considered that during the oxidation of DCF, several intermediate and final products are formed, such as carboxylic acids, aldehydes, ketones, and other degradation products that may have low solubility in water, due to the solubility of these functional groups decreasing with molecular weight (the number of carbons in their chains). As a consequence of their low solubility, they can precipitate or form colloids, increasing the turbidity of the treated water. In addition, it must be taken into account that the oxidation products of diclofenac can form coordination complexes with iron, which would contribute to the turbidity of the treated water. Two examples of these complexes are the 4′-hydroxydiclofenac complex [25], where the hydroxyl group can coordinate with the Fe3+ ion (see Figure 11a); and the complex of diclofenac and acridine with Fe²⁺ (see Figure 11b). These complexes may have properties that make them difficult to remove from water.

2.2.4. Dissolved Oxygen Concentration in Water

Figure 12 shows the changes in the concentration of dissolved oxygen in aqueous samples containing DCF during their oxidation with different treatments based on the use of UV light. As can be seen, the experiments begin with a different initial DO. This effect is due to the fact that an initial decrease in dissolved oxygen occurs in the aqueous solutions of diclofenac when ferrous ion (Fe²⁺) is added, due to the oxidation of the ferrous ion to ferric ion (Fe3+), a process which consumes oxygen dissolved in water.
As verified, the direct photolysis process of DCF with UV light causes an increase in the concentration of DO during the first 13 min of the reaction, until it reaches a maximum value [DO]max = 9.6 mg/L. This effect is due to the photolysis of DCF generating hydroxyl radicals that react with the oxygen in water, decreasing its concentration and generating hydrogen peroxide (Equation (3)). This hydrogen peroxide can, in turn, decompose again into water and oxygen (Equation (4)), so that it compensates for the decrease in oxygen, and allows a net increase in the DO concentration analyzed in the water to be observed. The subsequent formation and decomposition reactions of hydrogen peroxide finally stabilize the DO concentration of the water at values of the order of [DO]final = 7.1 mg/L.
O H + O 2     H 2 O 2 + O 2
2 H 2 O 2     2 H 2 O + O 2
During the oxidation of DCF with UV/H2O2, an initial increase in the DO concentration takes place. This effect is due to the fact that despite the initial consumption of oxygen in the formation of hydroxyl radicals (Equation (5)), which are highly reactive agents that oxidize DCF consuming DO (Equation (6)), the production of molecular oxygen takes place from the photolysis of hydrogen peroxide (Equation (7)). This reaction compensates for the consumption of DO, allowing a net increase in DO concentration to be observed, until reaching a maximum value of [DO]max = 4.9 mg/L 15 min after oxidation. Once this maximum value is reached, the DO concentration begins to decrease as the initial load of hydrogen peroxide used in the treatment is consumed, finally stabilizing at values of the order of [DO]final = 0.7 mg/L.
H 2 O 2 + h 2 O H
O H + D C F O x i d i z e d   p r o d u c t s
H 2 O 2 H 2 O + 1 2 O 2
During the oxidation of DCF using a photo-Fenton treatment, the DO concentration decreases slightly during the first 5 min of the oxidation, due to the consumption of oxygen in the reactions of the generation of hydroxyl radicals and the formation of hydrogen peroxide (Equations (3) and (5)). Next, the DO in the water begins to increase because the photodegradation of hydrogen peroxide releases molecular oxygen (Equation (7)), which causes a net increase in the DO concentration. The continuous photodegradation of hydrogen peroxide under the action of UV light continues to release molecular oxygen. As proven, in the photo-Fenton process, the maximum DO value generated in the water is a function of the concentration of iron catalyst, due to the effect of exposure to UV light, which facilitates the regeneration of ferrous ions from ferric ions releasing oxygen (Equation (8)). Finally, as the concentration of hydrogen peroxide initially supplied in the treatment is depleted, the concentration of DO decreases until it stabilizes at values of the order of [DO]final = 0.6 mg/L.
F e 3 + + O 2 F e 2 + + O 2

3. Materials and Methods

To carry out the oxidation reactions of the DCF-doped aqueous solutions, a 1.0 L photocatalytic reactor containing a 150 W medium-pressure mercury lamp (Heraeus, 85.8 V, 148.8 W, 1.79 A, 95% transmission between 300 and 570 nm) was used, which was agitated by means of a magnetic stirrer. The reactor, operating in batch mode, was fed with the aqueous samples of diclofenac sodium (Fragon, >99.5%) of concentration [DCF]0 = 50.0 mg/L. Then, the concentration of ferrous sulphate catalyst estimated for each test [Fe2+]0 = 0–7.0 mg/L and oxidant [H2O2]0 = 1.0 mM was added. All reactions were carried out at the natural pH of water (around [pH]0 = 6.5). During the reaction, the temperature of the reaction mixture was kept within a range of 30 °C using a heating bath (Frigiterm-P Selecta). During the 120 min of the test, which, considering the total energy absorbed by the water, corresponds to a UV dose per unit volume of water of 1,026,000,000 J/m3, the following variables were analyzed: pH was measured with a pH meter (Kent EIL9142).
Water turbidity was measured in nephelometric turbidity units (NTU) with a turbidity meter (Model HI88703, Hanna Instruments S.L., Eibar, Spain). Aromaticity and colour were analyzed using a UV/Vis spectrophotometer (Model V-630, Jasco, Madrid, Spain) measuring at λ = 254 and 455 nm. Dissolved oxygen and temperature were measured with a portable oxygen meter (Model HI 9142, Hanna Instruments S.L., Eibar, Spain). A TOC analyser (Shimadzu TOC-V, Shimadzu Corporation, Kyoto, Japan) was used to measure total organic carbon (TOC, mg/L).
DCF concentration was measured using High-Performance Liquid Chromatography (Model 2695, Waters Cromatografía S.A., Cerdanyola del Vallès, Spain) with a Dual λ Absorbance Detector (Model 2487, Waters Cromatografía S.A., Cerdanyola del Vallès, Spain). A ZORBAX Eclipse PAH column (150 mm, 4.6 mm, particle size 5 μm) and a guard column ZORBAX Eclipse PAH (4.6 mm, 12.5 mm) supplied by Agilent (Santa Clara, California, USA) were used. The mobile phase consisted of water and acetonitrile (ACN), at a flow rate of 0.8 mL/min. Initial gradient conditions were set at 20% ACN and increased from 45% v/v ACN during 3 min, then held during 6 min, and finally decreased to 20% v/v ACN at 1 min. Total run time was 10 min. Injection volume was 50 μL and all separations were performed at room temperature. The identification of DCF was performed by comparison of standard. Detection was carried out at the following wavelength: 275 nm.

4. Conclusions

The results obtained in the study allow us to assert the superiority of the combined UV/H2O2 treatment for the mineralization and elimination of aromatic load and colour in the oxidation of DCF contained in water, in comparison with UV light treatments and photo-Fenton. This study shows that UV light degrades DCF to aromatic intermediates, but does not achieve complete mineralization due to its insufficient oxidizing power. The combination of UV light with hydrogen peroxide significantly improves the degradation of DCF, achieving high mineralization (a mineralization efficiency of 86%) by transforming aromatic intermediates into lower molecular weight products such as CO2, H2O, and inorganic salts. The photo-Fenton treatment allows us to obtain a mineralization efficiency of 82% using molar ratios of 3 mol DCF : 1 mol Fe2+. During the oxidation of DCF with UV light, a yellow colour is generated during the first 20 min that remains in the treated waters. By combining UV with hydrogen peroxide, the maximum colour is reached in 10 min but treated water is obtained with a colourless appearance. When using the photo-Fenton treatment, a more intense residual colour (yellow-brown) is generated that affects the quality of the treated water. Turbidity remains at values less than 1 NTU by oxidizing DCF with UV or combined with hydrogen peroxide. The photo-Fenton treatment generates high initial turbidity (a maximum of 117 NTU with molar ratios of 2 mol DCF : 1 mol Fe2+), which decreases with the precipitation of ferric hydroxide and stabilizes over time.
Finally, it should be noted that this study lays out the foundations for future work, in which it would be advisable to work at the scale of a pilot plant and with real water from the inflows and effluents treated in wastewater treatment plants to study the change in scaling in the results obtained. When working with real water, it will be necessary to consider that the concentrations of diclofenac are much lower, which will require equipment for concentrating emerging contaminants, to treat smaller flows of water than the flow of water entering the treatment plant.

Author Contributions

Conceptualization, N.V. and A.M.D.L.; methodology, B.E. and U.D.; software, B.E., U.D. and N.V.; validation, N.V.; formal analysis, B.E., U.D. and N.V.; investigation, N.V., U.D. and B.E.; resources, B.E., U.D., N.V. and A.M.D.L.; data curation, B.E., U.D. and N.V.; writing—original draft preparation, N.V.; writing—review and editing, N.V.; visualization, N.V., A.M.D.L., B.E. and U.D.; supervision, A.M.D.L. and J.I.L.; project administration, A.M.D.L. and J.I.L.; funding acquisition, A.M.D.L. and J.I.L. All authors have read and agreed to the published version of the manuscript.

Funding

This research was funded by PIBA_2023_01_0032- Basic and/or Applied Research Project. Financing entity: Basque Government 2023.

Data Availability Statement

The data supporting the findings of this study can be found within the article.

Acknowledgments

The authors thank the Department of Environmental and Chemical Engineering and the Department of Chemical Engineering of the University of the Basque Country UPV/EHU, for their support.

Conflicts of Interest

The authors declare no conflicts of interest.

References

  1. Cleuvers, M. Mixture toxicity of the anti-inflammatory drugs diclofenac, ibuprofen, naproxen, and acetylsalicylic acid. Ecotoxicol. Environ. Saf. 2003, 59, 309–315. [Google Scholar] [CrossRef] [PubMed]
  2. Buser, H.R.; Poiger, T.; Müller, M.D. Occurrence and fate of the pharmaceutical drug diclofenac in surface waters: Rapid photodegradation in a lake. Environ. Sci. Technol. 1998, 32, 3449–3456. [Google Scholar] [CrossRef]
  3. Schwaiger, J.; Ferling, H.; Mallow, U.; Wintermayr, H.; Negele, R. Toxic effects of the non-steroidal anti-inflammatory drug diclofenac. Aquat. Toxicol. 2004, 68, 141–150. [Google Scholar] [CrossRef]
  4. Commission Implementing Decision (EU) 2015/495 of 20 March 2015 Establishing a Watch List of Substances for Union-Wide Monitoring in the Field of Water Policy Pursuant to Directive 2008/105/EC of the European Parliament and of the Council (Notified under Document C(2015) 1756) Text with EEA Relevance. Available online: http://data.europa.eu/eli/dec_impl/2015/495/oj (accessed on 24 August 2024).
  5. Sousa, J.C.G.; Ribeiro, A.R.; Barbosa, M.O.; Ribeiro, C.; Tiritan, M.E.; Pereira, M.F.R.; Silva, A.M. Monitoring of the 17 EU Watch List contaminants of emerging concern in the Ave and the Sousa Rivers. Sci. Total Environ. 2019, 649, 1083–1095. [Google Scholar] [CrossRef]
  6. Lonappan, L.; Brar, S.K.; Das, R.K.; Verma, M.; Surampalli, R.Y. Diclofenac and its transformation products: Environmental occurrence and toxicity — A review. Environ. Int. 2016, 96, 127–138. [Google Scholar] [CrossRef] [PubMed]
  7. Vieno, N.; Sillanpää, M. Fate of diclofenac in municipal wastewater treatment plant — A review. Environ. Int. 2014, 69, 28–39. [Google Scholar] [CrossRef] [PubMed]
  8. Yu, H.; Nie, E.; Xu, J.; Yan, S.; Cooper, W.J.; Song, W. Degradation of Diclofenac by Advanced Oxidation and Reduction Processes: Kinetic Studies, Degradation Pathways and Toxicity Assessments. Water Res. 2013, 47, 1909–1918. [Google Scholar] [CrossRef]
  9. Gilbert, M.; Watson, R.T.; Virani, M.Z.; Oaks, J.L.; Ahmed, S.; Chaudhry, M.J.I.; Arshad, M.; Mahmood, S.; Ali, A.; Khan, A.A. Rapid population declines and mortality clusters in three Oriental white-backed vulture Gyps bengalensis colonies in Pakistan due to diclofenac poisoning. Oryx 2006, 40, 388–399. [Google Scholar] [CrossRef]
  10. Ruhí, A.; Acuña, V.; Barceló, D.; Huerta, B.; Mor, J.R.; Rodríguez-Mozaz, S.; Sabater, S. Bioaccumulation and trophic magnification of pharmaceuticals and endocrine disruptors in a Mediterranean river food web. Sci. Total. Environ. 2016, 540, 250–259. [Google Scholar] [CrossRef]
  11. Kovacs, E.D.; Silaghi-Dumitrescu, L.; Kovacs, M.H.; Roman, C. Determination of the Uptake of Ibuprofen, Ketoprofen, and Diclofenac by Tomatoes, Radishes, and Lettuce by Gas Chromatography-Mass Spectrometry (GC-MS). Anal. Lett. 2021, 54, 314–330. [Google Scholar] [CrossRef]
  12. Pizzichetti, R.; Martín-Gamboa, M.; Pablos, C.; Reynolds, K.; Stanley, S.; Dufour, J.; Marugán, J. Environmental life cycle assessment of UV-C LEDs vs. mercury lamps and oxidant selection for diclofenac degradation. Sustain. Mater. Technol. 2024, 41, e01002. [Google Scholar] [CrossRef]
  13. Pizzichetti, R.; Reynolds, K.; Pablos, C.; Casado, C.; Moore, E.; Stanley, S.; Marugán, J. Removal of diclofenac by UV-B and UV-C light-emitting diodes (LEDs) driven advanced oxidation processes (AOPs): Wavelength dependence, kinetic modelling and energy consumption. Chem. Eng. J. 2023, 471, 144520. [Google Scholar] [CrossRef]
  14. Rehman, F.; Ahmad, W.; Sayed, M. Mechanistic investigations on the removal of diclofenac sodium by UV/S2O82−/Fe2+, UV/HSO5/Fe2+ and UV/H2O2/Fe2+-based advanced oxidation processes. Environ. Technol. 2020, 42, 3995–4005. [Google Scholar] [CrossRef]
  15. Dhawle, R.; Mantzavinos, D.; Lianos, P. UV/H2O2 degradation of diclofenac in a photocatalytic fuel cell. Appl. Catal. B: Environ. 2021, 299, 120706. [Google Scholar] [CrossRef]
  16. Hong, M.; Wang, Y.; Lu, G. UV-Fenton degradation of diclofenac, sulpiride, sulfamethoxazole and sulfisomidine: Degradation mechanisms, transformation products, toxicity evolution and effect of real water matrix. Chemosphere 2020, 258, 127351. [Google Scholar] [CrossRef]
  17. Zhang, L.; Liu, Y.; Fu, Y. Degradation kinetics and mechanism of diclofenac by UV/peracetic acid. RSC Adv. 2020, 10, 9907–9916. [Google Scholar] [CrossRef]
  18. Li, X.; Zhou, M.; Pan, Y. Degradation of diclofenac by H2O2 activated with pre-magnetization Fe0: Influencing factors and degradation pathways. Chemosphere 2018, 212, 853–862. [Google Scholar] [CrossRef]
  19. Villota, N.; Cruz-Alcalde, A.; Ferreiro, C.; Lombraña, J.I.; Esplugas, S. Changes in solution turbidity and color during paracetamol removal in laboratory and pilot-scale semicontinuous ozonation reactors. Sci. Total. Environ. 2023, 854, 158682. [Google Scholar] [CrossRef]
  20. Villota, N.; Jankelevitch, S.; Lomas, J.M. Kinetic modelling of colour and turbidity formation in aqueous solutions of sulphamethoxazole degraded by UV/H2O2. Environ. Technol. 2022, 45, 349–359. [Google Scholar] [CrossRef]
  21. Villota, N.; Ferreiro, C.; Qulatein, H.A.; Lomas, J.M.; Camarero, L.M.; Lombraña, J.I. Colour Changes during the Carbamazepine Oxidation by Photo-Fenton. Catalysts 2021, 11, 386. [Google Scholar] [CrossRef]
  22. Muelas-Ramos, V.; Sampaio, M.; Silva, C.; Bedia, J.; Rodriguez, J.; Faria, J.; Belver, C. Degradation of diclofenac in water under LED irradiation using combined g-C3N4/NH2-MIL-125 photocatalysts. J. Hazard. Mater. 2021, 416, 126199. [Google Scholar] [CrossRef] [PubMed]
  23. Kosaka, K.; Nakai, T.; Hishida, Y.; Asami, M.; Ohkubo, K.; Akiba, M. Formation of 2,6-dichloro-1,4-benzoquinone from aromatic compounds after chlorination. Water Res. 2017, 110, 48–55. [Google Scholar] [CrossRef]
  24. Pan, Z.; Zhu, X.; Li, G.; Wang, Y.; Li, M.; Sun, S.; Jia, R.; Hou, L. Degradation of 2,6-dichloro-1,4-benzoquinone by advanced oxidation with UV, H2O2, and O3: Parameter optimization and model building. J. Water Supply Res. Technol. 2021, 70, 1159–1169. [Google Scholar] [CrossRef]
  25. Bouju, H.; Nastold, P.; Beck, B.; Hollender, J.; Corvini, P.F.X.; Wintgens, T. Elucidation of biotransformation of diclofenac and 4′hydroxydiclofenac during biological wastewater treatment. J. Hazard. Mater. 2016, 301, 443–452. [Google Scholar] [CrossRef] [PubMed]
Figure 1. Kinetics of DCF concentration, turbidity, and total dissolved solids (TDS) during the oxidation of DCF using a photo-Fenton treatment. Experimental conditions: [DCF]0 = 50.0 mg/L; [pH]0 = 4.4; [UV] = 150 W; [H2O2]0 = 1.0 mM; [Fe2+]0 = 1.0 mg/L; [T] = 30 °C.
Figure 1. Kinetics of DCF concentration, turbidity, and total dissolved solids (TDS) during the oxidation of DCF using a photo-Fenton treatment. Experimental conditions: [DCF]0 = 50.0 mg/L; [pH]0 = 4.4; [UV] = 150 W; [H2O2]0 = 1.0 mM; [Fe2+]0 = 1.0 mg/L; [T] = 30 °C.
Catalysts 14 00580 g001
Figure 2. Kinetics of aromaticity (A254) and colour (A455) during the oxidation of DCF using a photo-Fenton treatment. Experimental conditions: [DCF]0 = 50.0 mg/L; [pH]0 = 4.4; [UV] = 150 W; [H2O2]0 = 1.0 mM; [Fe2+]0 = 1.0 mg/L; [T] = 30 °C.
Figure 2. Kinetics of aromaticity (A254) and colour (A455) during the oxidation of DCF using a photo-Fenton treatment. Experimental conditions: [DCF]0 = 50.0 mg/L; [pH]0 = 4.4; [UV] = 150 W; [H2O2]0 = 1.0 mM; [Fe2+]0 = 1.0 mg/L; [T] = 30 °C.
Catalysts 14 00580 g002
Figure 3. DCF kinetics as a function of UV treatment combined with hydrogen peroxide and iron. Experimental conditions: [DCF]0 = 50.0 mg/L; [pH]0 = 5.5; [H2O2]0 = 1.0 mM; [UV] = 150 W; [T]=30 °C.
Figure 3. DCF kinetics as a function of UV treatment combined with hydrogen peroxide and iron. Experimental conditions: [DCF]0 = 50.0 mg/L; [pH]0 = 5.5; [H2O2]0 = 1.0 mM; [UV] = 150 W; [T]=30 °C.
Catalysts 14 00580 g003
Figure 4. Estimation of the pseudo-first-order kinetic constants for the oxidation of DCF as a function of UV treatment combined with hydrogen peroxide and iron catalyst. Experimental conditions: [DCF]0 = 50.0 mg/L; [pH]0 = 5.5; [H2O2]0 = 1.0 mM; [UV] = 150 W; [T] = 30 °C.
Figure 4. Estimation of the pseudo-first-order kinetic constants for the oxidation of DCF as a function of UV treatment combined with hydrogen peroxide and iron catalyst. Experimental conditions: [DCF]0 = 50.0 mg/L; [pH]0 = 5.5; [H2O2]0 = 1.0 mM; [UV] = 150 W; [T] = 30 °C.
Catalysts 14 00580 g004
Figure 5. Formation of aromaticity in water during the oxidation of DCF as a function of UV treatment combined with hydrogen peroxide and iron catalyst. Experimental conditions: [DCF]0 = 50.0 mg/L; [pH]0 = 5.5; [H2O2]0 = 1.0 mM; [UV] = 150 W; [T] = 30 °C.
Figure 5. Formation of aromaticity in water during the oxidation of DCF as a function of UV treatment combined with hydrogen peroxide and iron catalyst. Experimental conditions: [DCF]0 = 50.0 mg/L; [pH]0 = 5.5; [H2O2]0 = 1.0 mM; [UV] = 150 W; [T] = 30 °C.
Catalysts 14 00580 g005
Figure 6. Effect of the dosage of iron catalyst on the quality parameters analyzed in the treated water. (a) Aromaticity. (b) Total Organic Carbon Mineralization (%). Experimental conditions: [DCF]0 = 50.0 mg/L; [pH]0 = 5.5; [H2O2]0 = 1.0 mM; [UV] = 150 W; [T] = 30 °C; [TOC]0 = 25.4 mg/L.
Figure 6. Effect of the dosage of iron catalyst on the quality parameters analyzed in the treated water. (a) Aromaticity. (b) Total Organic Carbon Mineralization (%). Experimental conditions: [DCF]0 = 50.0 mg/L; [pH]0 = 5.5; [H2O2]0 = 1.0 mM; [UV] = 150 W; [T] = 30 °C; [TOC]0 = 25.4 mg/L.
Catalysts 14 00580 g006
Figure 7. Colour formation in water during the oxidation of DCF as a function of UV treatment combined with hydrogen peroxide and iron catalyst. Experimental conditions: [DCF]0 = 50.0 mg/L; [pH]0 = 5.5; [H2O2]0 = 1.0 mM; [UV] = 150 W; [T] = 30 °C.
Figure 7. Colour formation in water during the oxidation of DCF as a function of UV treatment combined with hydrogen peroxide and iron catalyst. Experimental conditions: [DCF]0 = 50.0 mg/L; [pH]0 = 5.5; [H2O2]0 = 1.0 mM; [UV] = 150 W; [T] = 30 °C.
Catalysts 14 00580 g007
Figure 8. Quality parameters analyzed in treated water. (a) Colour. (b) Turbidity. Experimental conditions: [DCF]0 = 50.0 mg/L; [pH]0 = 5.5; [H2O2]0 = 1.0 mM; [UV] = 150 W; [T] = 30 °C.
Figure 8. Quality parameters analyzed in treated water. (a) Colour. (b) Turbidity. Experimental conditions: [DCF]0 = 50.0 mg/L; [pH]0 = 5.5; [H2O2]0 = 1.0 mM; [UV] = 150 W; [T] = 30 °C.
Catalysts 14 00580 g008
Figure 9. Proposed mechanism of degradation of DCF to 2,6-dichloro-1,4-benzoquinone (species causing an intense yellow-brown colour in water).
Figure 9. Proposed mechanism of degradation of DCF to 2,6-dichloro-1,4-benzoquinone (species causing an intense yellow-brown colour in water).
Catalysts 14 00580 g009
Figure 10. Formation of turbidity in water during the oxidation of DCF as a function of UV treatment combined with hydrogen peroxide and iron catalyst. Experimental conditions: [DCF]0 = 50.0 mg/L; [pH]0 = 5.5; [H2O2]0 = 1.0 mM; [UV] = 150 W; [T] = 30 °C.
Figure 10. Formation of turbidity in water during the oxidation of DCF as a function of UV treatment combined with hydrogen peroxide and iron catalyst. Experimental conditions: [DCF]0 = 50.0 mg/L; [pH]0 = 5.5; [H2O2]0 = 1.0 mM; [UV] = 150 W; [T] = 30 °C.
Catalysts 14 00580 g010
Figure 11. Possible iron coordination complexes with DCF degradation intermediates. (a) Complex between 4-hydroxydiclofenac and Fe3+. (b) Complex between diclofenac, acridine, and Fe2+.
Figure 11. Possible iron coordination complexes with DCF degradation intermediates. (a) Complex between 4-hydroxydiclofenac and Fe3+. (b) Complex between diclofenac, acridine, and Fe2+.
Catalysts 14 00580 g011
Figure 12. Dissolved oxygen concentration in water during DCF oxidation as a function of UV treatment combined with hydrogen peroxide and iron catalyst. Experimental conditions: [DCF]0 = 50.0 mg/L; [pH]0 = 5.5; [H2O2]0 = 1.0 mM; [UV] = 150 W; [T] = 30 °C.
Figure 12. Dissolved oxygen concentration in water during DCF oxidation as a function of UV treatment combined with hydrogen peroxide and iron catalyst. Experimental conditions: [DCF]0 = 50.0 mg/L; [pH]0 = 5.5; [H2O2]0 = 1.0 mM; [UV] = 150 W; [T] = 30 °C.
Catalysts 14 00580 g012
Table 1. Estimated pseudo-first-order kinetic constants for DCF oxidation. Experimental conditions: [DCF]0 = 50.0 mg/L; [pH]0 = 5.5; [T] = 30 °C.
Table 1. Estimated pseudo-first-order kinetic constants for DCF oxidation. Experimental conditions: [DCF]0 = 50.0 mg/L; [pH]0 = 5.5; [T] = 30 °C.
[UV]
(W)
[H2O2]0
(mM)
[Fe2+]0
(mg/L)
kDCF
(1/min)
r2
150000.22010.9879
1501.000.31040.9709
1501.00.50.21640.9808
1501.01.00.19950.9867
1501.02.00.20220.9817
1501.03.00.24030.9918
1501.04.00.27550.9489
1501.05.00.18960.9932
1501.07.00.20360.9431
Disclaimer/Publisher’s Note: The statements, opinions and data contained in all publications are solely those of the individual author(s) and contributor(s) and not of MDPI and/or the editor(s). MDPI and/or the editor(s) disclaim responsibility for any injury to people or property resulting from any ideas, methods, instructions or products referred to in the content.

Share and Cite

MDPI and ACS Style

Villota, N.; Echevarria, B.; Duoandicoechea, U.; Lombraña, J.I.; De Luis, A.M. Kinetic Study of the Water Quality Parameters during the Oxidation of Diclofenac by UV Photocatalytic Variants. Catalysts 2024, 14, 580. https://doi.org/10.3390/catal14090580

AMA Style

Villota N, Echevarria B, Duoandicoechea U, Lombraña JI, De Luis AM. Kinetic Study of the Water Quality Parameters during the Oxidation of Diclofenac by UV Photocatalytic Variants. Catalysts. 2024; 14(9):580. https://doi.org/10.3390/catal14090580

Chicago/Turabian Style

Villota, Natalia, Begoña Echevarria, Unai Duoandicoechea, Jose Ignacio Lombraña, and Ana María De Luis. 2024. "Kinetic Study of the Water Quality Parameters during the Oxidation of Diclofenac by UV Photocatalytic Variants" Catalysts 14, no. 9: 580. https://doi.org/10.3390/catal14090580

APA Style

Villota, N., Echevarria, B., Duoandicoechea, U., Lombraña, J. I., & De Luis, A. M. (2024). Kinetic Study of the Water Quality Parameters during the Oxidation of Diclofenac by UV Photocatalytic Variants. Catalysts, 14(9), 580. https://doi.org/10.3390/catal14090580

Note that from the first issue of 2016, this journal uses article numbers instead of page numbers. See further details here.

Article Metrics

Back to TopTop