Efficient and Sustainable Biodiesel Production via Transesterification: Catalysts and Operating Conditions
Abstract
1. Introduction
2. Biodiesel Production Feedstock
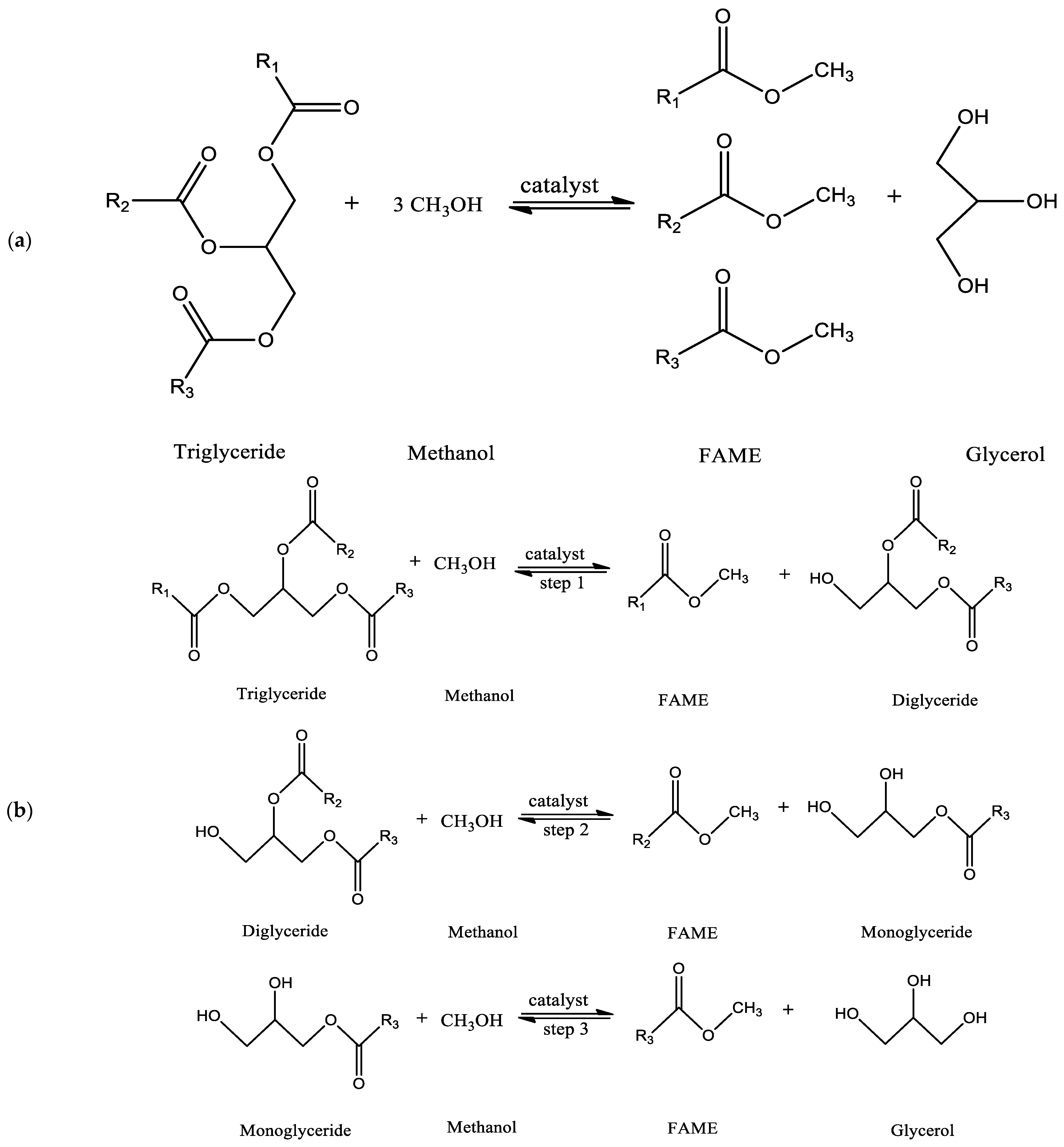
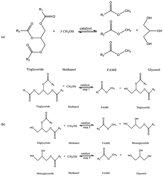
3. Types of Catalysts
3.1. Biocatalysts
3.1.1. Homogeneous Catalysts Utilized in Biodiesel Production
3.1.2. Homogeneous Base Catalysts
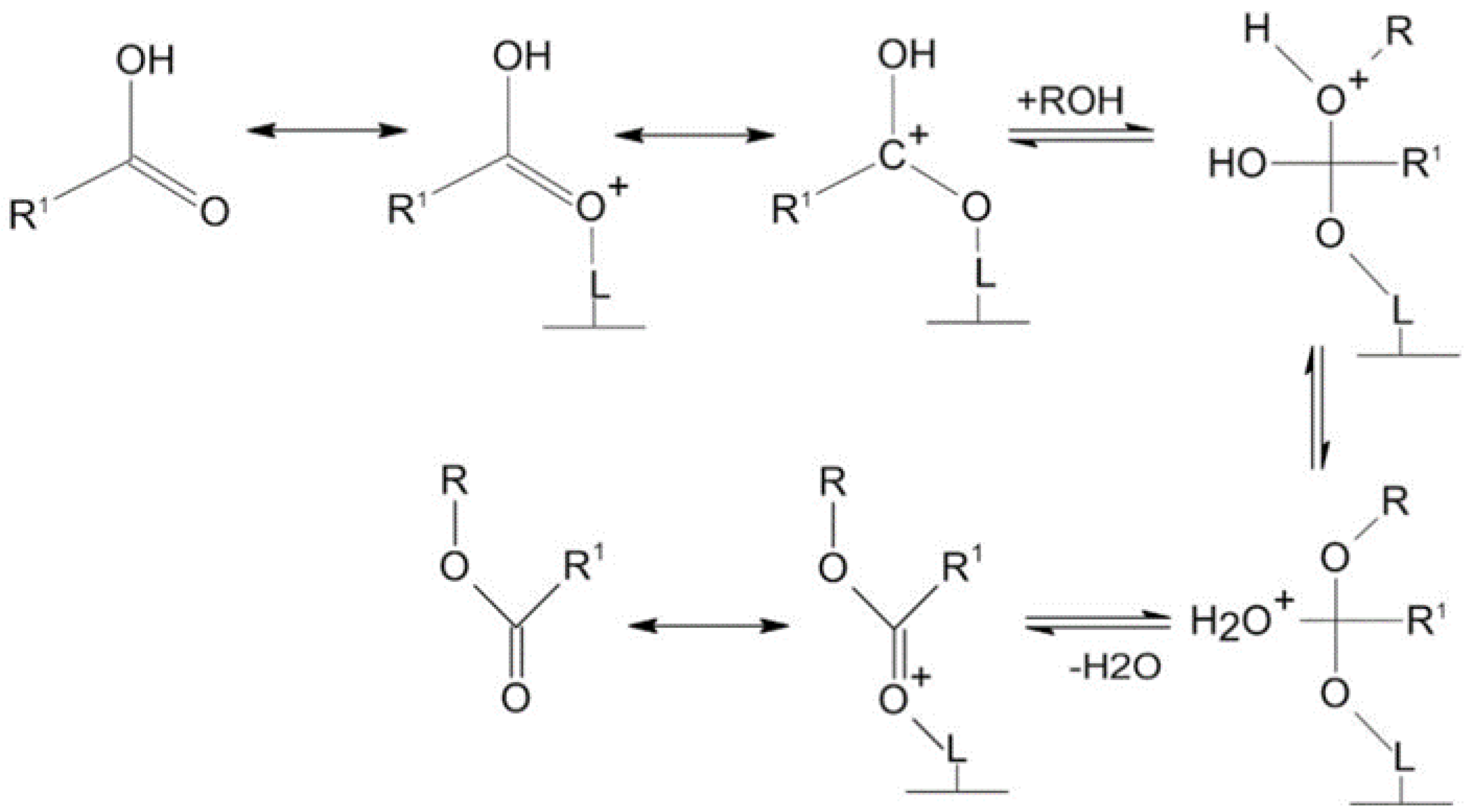
3.1.3. Homogeneous Acid Catalysts
3.2. Heterogeneous Catalysts Used for Biodiesel Production
3.2.1. Heterogeneous Base Catalysts
3.2.2. Heterogeneous Acid-Catalysts
4. Process Conditions/Parameters for Biodiesel Production
4.1. Effect of Methanol to Oil Molar Ratio (MRMO)
4.2. Effect of Temperature
4.3. Effect of Reaction Time
4.4. Effect of Catalyst Loading
5. Conclusions and Future Outlook
- Development of economically viable heterogeneous catalysts with both high activity and selectivity suitable for use in the industry;
- Investigating novel catalyst supports characterized by a selective surface area and an interconnected system of suitable pore sizes;
- Further investigation into biomass or waste materials as catalyst sources in order to develop new catalysts, reduce the cost of biodiesel and enhance the sustainability of commercially available solid catalysts;
- Improving hydrotalcite-based catalyst preparation routes and treatment steps in order to facilitate their transition from laboratory-scale applications to industrial-scale utilization;
- Continuing research and exploration of industrial enzymatic biodiesel production as a prospective and sustainable option for the future;
- Careful design of one-step catalyst preparation routes, avoiding complex multistep grafting methods, to enhance the interaction between acid sites and the catalyst framework structure, thus preventing the leakage of active phases;
- Research focused on investigating the phase behavior of mixtures and enhancing product purification processes;
- The technical viability of the integrated biodiesel–glycerol processing plant should be reevaluated by conducting a techno-economic analysis using real-world experimental and pilot-scale data.
Author Contributions
Funding
Data Availability Statement
Acknowledgments
Conflicts of Interest
Abbreviations
| °C | Degree Celsius |
| eV | Electronvolt |
| GJ | Gigajoule |
| toe | Ton of oil equivalent |
| BET | Brunauer–Emmett–Teller |
| FAME | Fatty acid methyl ester |
| FFAs | Free fatty acids |
| HPAs | Heteropolyacids |
| MOF | Metal–organic framework |
| MREO | Molar ratio of ethanol to oil |
| MRMO | Molar ratio of methanol to oil |
| RBD | Refined, bleached, and deodorized |
| WCO | Waste cooking oil |
References
- Jess, A. What Might Be the Energy Demand and Energy Mix to Reconcile the World’s Pursuit of Welfare and Happiness with the Necessity to Preserve the Integrity of the Biosphere? Energy Policy 2010, 38, 4663–4678. [Google Scholar] [CrossRef]
- He, Y.; Wang, S.; Lai, K.K. Global Economic Activity and Crude Oil Prices: A Cointegration Analysis. Energy Econ. 2010, 32, 868–876. [Google Scholar] [CrossRef]
- Escobar, J.C.; Lora, E.S.; Venturini, O.J.; Yáñez, E.E.; Castillo, E.F.; Almazan, O. Biofuels: Environment, Technology and Food Security. Renew. Sustain. Energy Rev. 2009, 13, 1275–1287. [Google Scholar] [CrossRef]
- Nigam, P.S.; Singh, A. Production of Liquid Biofuels from Renewable Resources. Prog. Energy Combust. Sci. 2011, 37, 52–68. [Google Scholar] [CrossRef]
- Bao, Z.; Xiao, H.; Liang, J.; Zhang, L.; Xiong, X.; Sun, N.; Si, T.; Zhao, H. Homology-Integrated CRISPR-Cas (HI-CRISPR) System for One-Step Multigene Disruption in Saccharomyces Cerevisiae. In Proceedings of the Systems Biology 2014–Topical Conference at the 2014 AIChE Annual Meeting, Atlanta, GA, USA, 16–21 November 2014; Elsevier Ltd.: Amsterdam, The Netherlands, 2014; Volume 86, pp. 3–12. [Google Scholar]
- Ngomade, S.B.L.; Fotsop, C.G.; Bhonsle, A.K.; Rawat, N.; Gupta, P.; Singh, R.; Tchummegne, I.K.; Singh, R.K.; Atray, N. Pilot-Scale Optimization of Enhanced Biodiesel Production from High FFA Podocarpus Falcatus Oil via Simultaneous Esterification and Transesterification Assisted by Zirconia-Supported ZSM-5. Chem. Eng. Res. Des. 2024, 209, 52–66. [Google Scholar] [CrossRef]
- Balat, M. Potential Alternatives to Edible Oils for Biodiesel Production—A Review of Current Work. Energy Convers. Manag. 2011, 52, 1479–1492. [Google Scholar] [CrossRef]
- Lin, L.; Zhou, C.; Vittayapadung, S.; Shen, X.; Dong, M. Opportunities and Challenges for Biodiesel Fuel. Appl. Energy 2011, 88, 1020–1031. [Google Scholar] [CrossRef]
- Farooq, M.; Ramli, A.; Subbarao, D. Biodiesel Production from Waste Cooking Oil Using Bifunctional Heterogeneous Solid Catalysts. J. Clean. Prod. 2013, 59, 131–140. [Google Scholar] [CrossRef]
- Demirbas, A. Importance of Biodiesel as Transportation Fuel. Energy Policy 2007, 35, 4661–4670. [Google Scholar] [CrossRef]
- Muanruksa, P.; Winterburn, J.; Kaewkannetra, P. A Novel Process for Biodiesel Production from Sludge Palm Oil. MethodsX 2019, 6, 2838–2844. [Google Scholar] [CrossRef]
- Sarasota, F. Biofuels Market Analysis by Type (Bioethanol, Biodiesel), and by Form (Solid, Liquid, and Gaseous)—Global Industry Perspective, Comprehensive Analysis, and Forecast 2016–2022. 2017. Available online: https://reportocean.com/industry-verticals/any-question?report_id=13299 (accessed on 22 July 2024).
- Mekonnen, K.D.; Endris, Y.A.; Abdu, K.Y. Alternative Methods for Biodiesel Cetane Number Valuation: A Technical Note. ACS Omega 2024, 9, 6296–6304. [Google Scholar] [CrossRef] [PubMed]
- Amais, R.S.; Garcia, E.E.; Monteiro, M.R.; Nogueira, A.R.A.; Nóbrega, J.A. Direct Analysis of Biodiesel Microemulsions Using an Inductively Coupled Plasma Mass Spectrometry. Microchem. J. 2010, 96, 146–150. [Google Scholar] [CrossRef]
- De Almeida, V.F.; García-Moreno, P.J.; Guadix, A.; Guadix, E.M. Biodiesel Production from Mixtures of Waste Fish Oil, Palm Oil and Waste Frying Oil: Optimization of Fuel Properties. Fuel Process. Technol. 2015, 133, 152–160. [Google Scholar] [CrossRef]
- Ramadhas, A.S.; Jayaraj, S.; Muraleedharan, C. Use of Vegetable Oils as I.C. Engine Fuels—A Review. Renew. Energy 2004, 29, 727–742. [Google Scholar] [CrossRef]
- Knothe, G. Biodiesel and Renewable Diesel: A Comparison. Prog. Energy Combust. Sci. 2010, 36, 364–373. [Google Scholar] [CrossRef]
- Atadashi, I.M.; Aroua, M.K.; Aziz, A.A. Biodiesel Separation and Purification: A Review. Renew. Energy 2011, 36, 437–443. [Google Scholar] [CrossRef]
- Moser, B.R. Biodiesel Production, Properties, and Feedstocks. In Vitro Cell. Dev. Biol. Plant 2009, 45, 229–266. [Google Scholar] [CrossRef]
- Kafuku, G.; Lam, M.K.; Kansedo, J.; Lee, K.T.; Mbarawa, M. Heterogeneous Catalyzed Biodiesel Production from Moringa Oleifera Oil. Fuel Process. Technol. 2010, 91, 1525–1529. [Google Scholar] [CrossRef]
- Demirbas, A. Comparison of Transesterification Methods for Production of Biodiesel from Vegetable Oils and Fats. Energy Convers. Manag. 2008, 49, 125–130. [Google Scholar] [CrossRef]
- Chen, K.S.; Lin, Y.C.; Hsu, K.H.; Wang, H.K. Improving Biodiesel Yields from Waste Cooking Oil by Using Sodium Methoxide and a Microwave Heating System. Energy 2012, 38, 151–156. [Google Scholar] [CrossRef]
- Borugadda, V.B.; Goud, V. V Biodiesel Production from Renewable Feedstocks: Status and Opportunities. Renew. Sustain. Energy Rev. 2012, 16, 4763–4784. [Google Scholar] [CrossRef]
- Talebian-Kiakalaieh, A.; Amin, N.A.S.; Mazaheri, H. A Review on Novel Processes of Biodiesel Production from Waste Cooking Oil. Appl. Energy 2013, 104, 683–710. [Google Scholar] [CrossRef]
- Zhang, H.; Wang, Q.; Mortimer, S.R. Waste Cooking Oil as an Energy Resource: Review of Chinese Policies. Renew. Sustain. Energy Rev. 2012, 16, 5225–5231. [Google Scholar] [CrossRef]
- Yusuf, N.N.A.N.; Kamarudin, S.K.; Yaakub, Z. Overview on the Current Trends in Biodiesel Production. Energy Convers. Manag. 2011, 52, 2741–2751. [Google Scholar] [CrossRef]
- Azam, M.M.; Waris, A.; Nahar, N.M. Prospects and Potential of Fatty Acid Methyl Esters of Some Non-Traditional Seed Oils for Use as Biodiesel in India. Biomass Bioenergy 2005, 29, 293–302. [Google Scholar] [CrossRef]
- Atabani, A.E.; Silitonga, A.S.; Ong, H.C.; Mahlia, T.M.I.; Masjuki, H.H.; Badruddin, I.A.; Fayaz, H. Non-Edible Vegetable Oils: A Critical Evaluation of Oil Extraction, Fatty Acid Compositions, Biodiesel Production, Characteristics, Engine Performance and Emissions Production. Renew. Sustain. Energy Rev. 2013, 18, 211–245. [Google Scholar] [CrossRef]
- No, S.Y. Inedible Vegetable Oils and Their Derivatives for Alternative Diesel Fuels in CI Engines: A Review. Renew. Sustain. Energy Rev. 2011, 15, 131–149. [Google Scholar] [CrossRef]
- Sharma, Y.C.; Singh, B. Development of Biodiesel: Current Scenario. Renew. Sustain. Energy Rev. 2009, 13, 1646–1651. [Google Scholar] [CrossRef]
- Owolabi, R.U.; Osiyemi, N.A.; Amosa, M.K.; Ojewumi, M.E. Biodiesel from Household/Restaurant Waste Cooking Oil (WCO). J. Chem. Eng. Process Technol. 2011, 2, 2–5. [Google Scholar] [CrossRef]
- Knothe, G. Introduction. In The Biodiesel Handbook, 2nd ed.; Elsevier: Amsterdam, The Netherlands, 2010; Volume 90, pp. 1–3. ISBN 9780983507260. [Google Scholar]
- Sankaranarayanan, S.; Antonyraj, C.A.; Kannan, S. Transesterification of Edible, Non-Edible and Used Cooking Oils for Biodiesel Production Using Calcined Layered Double Hydroxides as Reusable Base Catalysts. Bioresour. Technol. 2012, 109, 57–62. [Google Scholar] [CrossRef]
- Al-Zuhair, S.; Ling, F.W.; Jun, L.S. Proposed Kinetic Mechanism of the Production of Biodiesel from Palm Oil Using Lipase. Process Biochem. 2007, 42, 951–960. [Google Scholar] [CrossRef]
- Semwal, S.; Arora, A.K.; Badoni, R.P.; Tuli, D.K. Biodiesel Production Using Heterogeneous Catalysts. Bioresour. Technol. 2011, 102, 2151–2161. [Google Scholar] [CrossRef] [PubMed]
- Shah, S.; Gupta, M.N. Lipase Catalyzed Preparation of Biodiesel from Jatropha Oil in a Solvent Free System. Process Biochem. 2007, 42, 409–414. [Google Scholar] [CrossRef]
- Abdulla, R.; Ravindra, P. Immobilized Burkholderia Cepacia Lipase for Biodiesel Production from Crude Jatropha curcas L. Oil. Biomass Bioenergy 2013, 56, 8–13. [Google Scholar] [CrossRef]
- Gog, A.; Roman, M.; Toşa, M.; Paizs, C.; Irimie, F.D. Biodiesel Production Using Enzymatic Transesterification–Current State and Perspectives. Renew. Energy 2012, 39, 10–16. [Google Scholar] [CrossRef]
- Szczesna Antczak, M.; Kubiak, A.; Antczak, T.; Bielecki, S. Enzymatic Biodiesel Synthesis—Key Factors Affecting Efficiency of the Process. Renew. Energy 2009, 34, 1185–1194. [Google Scholar] [CrossRef]
- Vasudevan, P.T.; Briggs, M. Biodiesel Production–Current State of the Art and Challenges. J. Ind. Microbiol. Biotechnol. 2008, 35, 421–430. [Google Scholar] [CrossRef]
- Gonçalves, A.P.V.; Lopes, J.M.; Lemos, F.; Ramôa Ribeiro, F.; Prazeres, D.M.F.; Cabral, J.M.S.; Aires-Barros, M.R. Zeolites as Supports for Enzymatic Hydrolysis Reactions. Comparative Study of Several Zeolites. J. Mol. Catal. B Enzym. 1996, 1, 53–60. [Google Scholar] [CrossRef]
- Mustafa, A.; Faisal, S.; Ahmed, I.A.; Munir, M.; Cipolatti, E.P.; Manoel, E.A.; Pastore, C.; di Bitonto, L.; Hanelt, D.; Nitbani, F.O.; et al. Has the Time Finally Come for Green Oleochemicals and Biodiesel Production Using Large-Scale Enzyme Technologies? Current Status and New Developments. Biotechnol. Adv. 2023, 69, 108275. [Google Scholar] [CrossRef]
- Faisal, S.; Sadek, M.S.; Pastore, C.; di Bitonto, L.; Alshammari, S.O.; Mussagy, C.U.; El-Bahy, S.M.; Abdellatief, T.M.M.; El-Bahy, Z.M.; Mustafa, A. Sustainable Synthesis of 2-Ethyl Hexyl Oleate via Lipase-Catalyzed Esterification: A Holistic Simulation and Cost Analysis Study. Sustain. Chem. Pharm. 2024, 41, 101726. [Google Scholar] [CrossRef]
- Nielsen, P.M.; Brask, J.; Fjerbaek, L. Enzymatic Biodiesel Production: Technical and Economical Considerations. Eur. J. Lipid Sci. Technol. 2008, 110, 692–700. [Google Scholar] [CrossRef]
- Mustafa, A. Lipase Catalyzed Reactions: A Promising Approach for Clean Synthesis of Oleochemicals. In Sustainable Solutions for Environmental Pollution; Wiley: Hoboken, NJ, USA, 2021; pp. 417–447. [Google Scholar]
- Jayaraman, J.; Alagu, K.; Appavu, P.; Joy, N.; Jayaram, P.; Mariadoss, A. Enzymatic Production of Biodiesel Using Lipase Catalyst and Testing of an Unmodified Compression Ignition Engine Using Its Blends with Diesel. Renew. Energy 2020, 145, 399–407. [Google Scholar] [CrossRef]
- Marín-Suárez, M.; Méndez-Mateos, D.; Guadix, A.; Guadix, E.M. Reuse of Immobilized Lipases in the Transesterification of Waste Fish Oil for the Production of Biodiesel. Renew. Energy 2019, 140, 1–8. [Google Scholar] [CrossRef]
- Choi, N.; No, D.S.; Kim, H.; Kim, B.H.; Kwak, J.; Lee, J.S.; Kim, I.H. In Situ Lipase-Catalyzed Transesterification in Rice Bran for Synthesis of Fatty Acid Methyl Ester. Ind. Crops Prod. 2018, 120, 140–146. [Google Scholar] [CrossRef]
- Mata, T.M.; Sousa IR, B.G.; Vieira, S.S.; Caetano, N.S. Biodiesel Production from Corn Oil via Enzymatic Catalysis with Ethanol. Energy Fuels 2012, 26, 3034–3041. [Google Scholar] [CrossRef]
- Arumugam, A.; Ponnusami, V. Biodiesel Production from Calophyllum Inophyllum Oil Using Lipase Producing Rhizopus Oryzae Cells Immobilized within Reticulated Foams. Renew. Energy 2014, 64, 276–282. [Google Scholar] [CrossRef]
- Li, X.; He, X.Y.; Li, Z.L.; Wang, Y.D.; Wang, C.Y.; Shi, H.; Wang, F. Enzymatic Production of Biodiesel from Pistacia Chinensis Bge Seed Oil Using Immobilized Lipase. Fuel 2012, 92, 89–93. [Google Scholar] [CrossRef]
- Caballero, V.; Bautista, F.M.; Campelo, J.M.; Luna, D.; Marinas, J.M.; Romero, A.A.; Hidalgo, J.M.; Luque, R.; Macario, A.; Giordano, G. Sustainable Preparation of a Novel Glycerol-Free Biofuel by Using Pig Pancreatic Lipase: Partial 1,3-Regiospecific Alcoholysis of Sunflower Oil. Process Biochem. 2009, 44, 334–342. [Google Scholar] [CrossRef]
- Macario, A.; Moliner, M.; Corma, A.; Giordano, G. Increasing Stability and Productivity of Lipase Enzyme by Encapsulation in a Porous Organic-Inorganic System. Microporous Mesoporous Mater. 2009, 118, 334–340. [Google Scholar] [CrossRef]
- Kamini, N.R.; Iefuji, H. Lipase Catalyzed Methanolysis of Vegetable Oils in Aqueous Medium by Cryptococcus spp. S-2. Process Biochem. 2001, 37, 405–410. [Google Scholar] [CrossRef]
- Mittelbach, M. Lipase Catalyzed Alcoholysis of Sunflower Oil. J. Am. Oil Chem. Soc. 1990, 67, 168–170. [Google Scholar] [CrossRef]
- Alonazi, M.; Al-diahan, S.K.; Alzahrani, Z.R.A.; Ben, A. Combined Immobilized Lipases for Effective Biodiesel Production from Spent Coffee Grounds. Saudi J. Biol. Sci. 2023, 30, 103772. [Google Scholar] [CrossRef] [PubMed]
- de Boer, K.; Moheimani, N.R.; Borowitzka, M.A.; Bahri, P.A. Extraction and Conversion Pathways for Microalgae to Biodiesel: A Review Focused on Energy Consumption. J. Appl. Phycol. 2012, 24, 1681–1698. [Google Scholar] [CrossRef]
- Chouhan, A.P.S.; Sarma, A.K. Modern Heterogeneous Catalysts for Biodiesel Production: A Comprehensive Review. Renew. Sustain. Energy Rev. 2011, 15, 4378–4399. [Google Scholar] [CrossRef]
- Balat, M. Biodiesel Fuel from Triglycerides via Transesterificationa Review. Energy Sources Part A Recover. 2009, 31, 1300–1314. [Google Scholar] [CrossRef]
- Endalew, A.K.; Kiros, Y.; Zanzi, R. Inorganic Heterogeneous Catalysts for Biodiesel Production from Vegetable Oils. Biomass Bioenergy 2011, 35, 3787–3809. [Google Scholar] [CrossRef]
- Wang, B.; Wang, B.; Shukla, S.K.; Wang, R. Enabling Catalysts for Biodiesel Production via Transesterification. Catalysts 2023, 13, 740. [Google Scholar] [CrossRef]
- De Lima, A.L.; Ronconi, C.M.; Mota, C.J.A. Heterogeneous Basic Catalysts for Biodiesel Production. Catal. Sci. Technol. 2016, 6, 2877–2891. [Google Scholar] [CrossRef]
- Rashid, U.; Anwar, F. Production of Biodiesel through Optimized Alkaline-Catalyzed Transesterification of Rapeseed Oil. Fuel 2008, 87, 265–273. [Google Scholar] [CrossRef]
- Phan, A.N.; Phan, T.M. Biodiesel Production from Waste Cooking Oils. Fuel 2008, 87, 3490–3496. [Google Scholar] [CrossRef]
- Kafuku, G.; Mbarawa, M. Biodiesel Production from Croton Megalocarpus Oil and Its Process Optimization. Fuel 2010, 89, 2556–2560. [Google Scholar] [CrossRef]
- Sivakumar, P.; Anbarasu, K.; Renganathan, S. Bio-Diesel Production by Alkali Catalyzed Transesterification of Dairy Waste Scum. Fuel 2011, 90, 147–151. [Google Scholar] [CrossRef]
- Dueso, C.; Muñoz, M.; Moreno, F.; Arroyo, J.; Gil-Lalaguna, N.; Bautista, A.; Gonzalo, A.; Sánchez, J.L. Performance and Emissions of a Diesel Engine Using Sunflower Biodiesel with a Renewable Antioxidant Additive from Bio-Oil. Fuel 2018, 234, 276–285. [Google Scholar] [CrossRef]
- Kamran, E.; Mashhadi, H.; Mohammadi, A.; Ghobadian, B. Biodiesel Production from Elaeagnus angustifolia. L Seed as a Novel Waste Feedstock Using Potassium Hydroxide Catalyst. Biocatal. Agric. Biotechnol. 2020, 25, 101578. [Google Scholar] [CrossRef]
- Wakil, M.A.; Kalam, M.A.; Masjuki, H.H.; Fattah, I.M.R. Rice Bran: A Prospective Resource for Biodiesel Production in Bangladesh. Int. J. Green Energy 2016, 13, 497–504. [Google Scholar] [CrossRef]
- Photaworn, S.; Tongurai, C.; Kungsanunt, S. Process Development of Two-Step Esterification plus Catalyst Solution Recycling on Waste Vegetable Oil Possessing High Free Fatty Acid. Chem. Eng. Process. Process Intensif. 2017, 118, 1–8. [Google Scholar] [CrossRef]
- Nazloo, E.K.; Moheimani, N.R.; Ennaceri, H. Graphene-Based Catalysts for Biodiesel Production: Characteristics and Performance. Sci. Total Environ. 2023, 859, 160000. [Google Scholar] [CrossRef]
- Ruhul, A.M.; Kalam, M.A.; Masjuki, H.H.; Fattah, I.M.R.; Reham, S.S.; Rashed, M.M. State of the Art of Biodiesel Production Processes: A Review of the Heterogeneous Catalyst. RSC Adv. 2015, 5, 101023–101044. [Google Scholar] [CrossRef]
- Tran, H.L.; Ryu, Y.J.; Seong, D.H.; Lim, S.M.; Lee, C.G. An Effective Acid Catalyst for Biodiesel Production from Impure Raw Feedstocks. Biotechnol. Bioprocess Eng. 2013, 18, 242–247. [Google Scholar] [CrossRef]
- Schuchardt, U.; Sercheli, R.; Matheus, R. Transesterification of Vegetable Oils: A Review General Aspects of Transesterification Transesterification of Vegetable Oils Acid-Catalyzed Processes Base-Catalyzed Processes. J. Braz. Chem. Soc. 1998, 9, 199–210. [Google Scholar]
- Silitonga, A.S.; Masjuki, H.H.; Mahlia, T.M.I.; Ong, H.C.; Chong, W.T.; Boosroh, M.H. Overview Properties of Biodiesel Diesel Blends from Edible and Non-Edible Feedstock. Renew. Sustain. Energy Rev. 2013, 22, 346–360. [Google Scholar] [CrossRef]
- Freedman, B.E.H.P.; Pryde, E.H.; Mounts, T.L. Variables Affecting the Yields of Fatty Esters from Transesterified Vegetable Oils. J. Am. Oil Chem. Soc. 1984, 61, 1638–1643. [Google Scholar] [CrossRef]
- Meneghetti, S.M.P.; Meneghetti, M.R.; Wolf, C.R.; Silva, E.C.; Lima, G.E.S.; De Coimbra, M.A.; Soletti, J.I.; Carvalho, S.H.V. Ethanolysis of Castor and Cottonseed Oil: A Systematic Study Using Classical Catalysts. J. Am. Oil Chem. Soc. 2006, 83, 819–822. [Google Scholar] [CrossRef]
- Crabbe, E.; Nolasco-Hipolito, C.; Kobayashi, G.; Sonomoto, K.; Ishizaki, A. Biodiesel Production from Crude Palm Oil and Evaluation of Butanol Extraction and Fuel Properties. Process Biochem. 2001, 37, 65–71. [Google Scholar] [CrossRef]
- Wang, Y.; Ou, S.; Liu, P.; Xue, F.; Tang, S. Comparison of Two Different Processes to Synthesize Biodiesel by Waste Cooking Oil. J. Mol. Catal. A Chem. 2006, 252, 107–112. [Google Scholar] [CrossRef]
- Mardhiah, H.H.; Ong, H.C.; Masjuki, H.H.; Lim, S.; Lee, H.V. A Review on Latest Developments and Future Prospects of Heterogeneous Catalyst in Biodiesel Production from Non-Edible Oils. Renew. Sustain. Energy Rev. 2017, 67, 1225–1236. [Google Scholar] [CrossRef]
- Kumar, A.; Sharma, S. An Evaluation of Multipurpose Oil Seed Crop for Industrial Uses (Jatropha curcas L. ): A Review. Ind. Crops Prod. 2008, 28, 1–10. [Google Scholar] [CrossRef]
- Mbaraka, I.K.; Shanks, B.H. Conversion of Oils and Fats Using Advanced Mesoporous Heterogeneous Catalysts. J. Am. Oil Chem. Soc. 2006, 83, 79–91. [Google Scholar] [CrossRef]
- Sharma, M.; Kumar, R.; Sinha, R.; Sarin, R.; Malhotra, R.; Verma, R.; Raghunath, N. Process for Producing Biodiesel and the Product Thereof. US20060094890A1, 4 May 2006. [Google Scholar]
- Zabeti, M.; Wan Daud, W.M.A.; Aroua, M.K. Activity of Solid Catalysts for Biodiesel Production: A Review. Fuel Process. Technol. 2009, 90, 770–777. [Google Scholar] [CrossRef]
- Calero, J.; Luna, D.; Sancho, E.D.; Luna, C.; Bautista, F.M.; Romero, A.A.; Posadillo, A.; Verdugo, C. Development of a New Biodiesel That Integrates Glycerol, by Using CaO as Heterogeneous Catalyst, in the Partial Methanolysis of Sunflower Oil. Fuel 2014, 122, 94–102. [Google Scholar] [CrossRef]
- Georgogianni, K.G.; Katsoulidis, A.P.; Pomonis, P.J.; Kontominas, M.G. Transesterification of Soybean Frying Oil to Biodiesel Using Heterogeneous Catalysts. Fuel Process. Technol. 2009, 90, 671–676. [Google Scholar] [CrossRef]
- Liu, X.; He, H.; Wang, Y.; Zhu, S.; Piao, X. Transesterification of Soybean Oil to Biodiesel Using CaO as a Solid Base Catalyst. Fuel 2008, 87, 216–221. [Google Scholar] [CrossRef]
- Faruque, M.O.; Razzak, S.A.; Hossain, M.M. Application of Heterogeneous Catalysts for Biodiesel Production from Microalgal Oil—A Review. Catalysts 2020, 10, 1025. [Google Scholar] [CrossRef]
- Lee, D.W.; Park, Y.M.; Lee, K.Y. Heterogeneous Base Catalysts for Transesterification in Biodiesel Synthesis. Catal. Surv. from Asia 2009, 13, 63–77. [Google Scholar] [CrossRef]
- Liu, X.; He, H.; Wang, Y.; Zhu, S. Transesterification of Soybean Oil to Biodiesel Using SrO as a Solid Base Catalyst. Catal. Commun. 2007, 8, 1107–1111. [Google Scholar] [CrossRef]
- Kim, H.J.; Kang, B.S.; Kim, M.J.; Park, Y.M.; Kim, D.K.; Lee, J.S.; Lee, K.Y. Transesterification of Vegetable Oil to Biodiesel Using Heterogeneous Base Catalyst. Proc. Catal. Today 2004, 93–95, 315–320. [Google Scholar] [CrossRef]
- Granados, M.L.; Poves, M.D.Z.; Alonso, D.M.; Mariscal, R.; Galisteo, F.C.; Moreno-Tost, R.; Santamaría, J.; Fierro, J.L.G. Biodiesel from Sunflower Oil by Using Activated Calcium Oxide. Appl. Catal. B Environ. 2007, 73, 317–326. [Google Scholar] [CrossRef]
- Veljković, V.B.; Stamenković, O.S.; Todorović, Z.B.; Lazić, M.L.; Skala, D.U. Kinetics of Sunflower Oil Methanolysis Catalyzed by Calcium Oxide. Fuel 2009, 88, 1554–1562. [Google Scholar] [CrossRef]
- Kaur, M.; Ali, A. Lithium Ion Impregnated Calcium Oxide as Nano Catalyst for the Biodiesel Production from Karanja and Jatropha Oils. Renew. Energy 2011, 36, 2866–2871. [Google Scholar] [CrossRef]
- Kouzu, M.; Kasuno, T.; Tajika, M.; Yamanaka, S.; Hidaka, J. Active Phase of Calcium Oxide Used as Solid Base Catalyst for Transesterification of Soybean Oil with Refluxing Methanol. Appl. Catal. A Gen. 2008, 334, 357–365. [Google Scholar] [CrossRef]
- Mootabadi, H.; Salamatinia, B.; Bhatia, S.; Abdullah, A.Z. Ultrasonic-Assisted Biodiesel Production Process from Palm Oil Using Alkaline Earth Metal Oxides as the Heterogeneous Catalysts. Fuel 2010, 89, 1818–1825. [Google Scholar] [CrossRef]
- Salamatinia, B.; Mootabadi, H.; Bhatia, S.; Abdullah, A.Z. Optimization of Ultrasonic-Assisted Heterogeneous Biodiesel Production from Palm Oil: A Response Surface Methodology Approach. Fuel Process. Technol. 2010, 91, 441–448. [Google Scholar] [CrossRef]
- Laskar, I.B.; Rajkumari, K.; Gupta, R.; Chatterjee, S.; Paul, B.; Rokhum, L. Waste Snail Shell Derived Heterogeneous Catalyst for Biodiesel Production by the Transesterification of Soybean Oil. RSC Adv. 2018, 8, 20131–20142. [Google Scholar] [CrossRef] [PubMed]
- Viriya-empikul, N.; Krasae, P.; Puttasawat, B.; Yoosuk, B.; Chollacoop, N.; Faungnawakij, K. Waste Shells of Mollusk and Egg as Biodiesel Production Catalysts. Bioresour. Technol. 2010, 101, 3765–3767. [Google Scholar] [CrossRef]
- Nair, P.; Singh, B.; Upadhyay, S.N.; Sharma, Y.C. Synthesis of Biodiesel from Low FFA Waste Frying Oil Using Calcium Oxide Derived from Mereterix Mereterix as a Heterogeneous Catalyst. J. Clean. Prod. 2012, 29–30, 82–90. [Google Scholar] [CrossRef]
- Birla, A.; Singh, B.; Upadhyay, S.N.; Sharma, Y.C. Kinetics Studies of Synthesis of Biodiesel from Waste Frying Oil Using a Heterogeneous Catalyst Derived from Snail Shell. Bioresour. Technol. 2012, 106, 95–100. [Google Scholar] [CrossRef]
- Xie, W.; Huang, X.; Li, H. Soybean Oil Methyl Esters Preparation Using NaX Zeolites Loaded with KOH as a Heterogeneous Catalyst. Bioresour. Technol. 2007, 98, 936–939. [Google Scholar] [CrossRef]
- Fabbri, D.; Bevoni, V.; Notari, M.; Rivetti, F. Properties of a Potential Biofuel Obtained from Soybean Oil by Transmethylation with Dimethyl Carbonate. Fuel 2007, 86, 690–697. [Google Scholar] [CrossRef]
- Tan, Y.H.; Abdullah, M.O.; Nolasco-Hipolito, C.; Taufiq-Yap, Y.H. Waste Ostrich- and Chicken-Eggshells as Heterogeneous Base Catalyst for Biodiesel Production from Used Cooking Oil: Catalyst Characterization and Biodiesel Yield Performance. Appl. Energy 2015, 160, 58–70. [Google Scholar] [CrossRef]
- Xu, C.; Sun, J.; Zhao, B.; Liu, Q. On the Study of KF/Zn(Al)O Catalyst for Biodiesel Production from Vegetable Oil. Appl. Catal. B Environ. 2010, 99, 111–117. [Google Scholar] [CrossRef]
- Navajas, A.; Campo, I.; Moral, A.; Echave, J.; Sanz, O.; Montes, M.; Odriozola, J.A.; Arzamendi, G.; Gandía, L.M. Outstanding Performance of Rehydrated Mg-Al Hydrotalcites as Heterogeneous Methanolysis Catalysts for the Synthesis of Biodiesel. Fuel 2018, 211, 173–181. [Google Scholar] [CrossRef]
- Trakarnpruk, W.; Porntangjitlikit, S. Palm Oil Biodiesel Synthesized with Potassium Loaded Calcined Hydrotalcite and Effect of Biodiesel Blend on Elastomer Properties. Renew. Energy 2008, 33, 1558–1563. [Google Scholar] [CrossRef]
- del Remedio Hernandez, M.; Reyes-Labarta, J.A.; Valdes, F.J. New Heterogeneous Catalytic Transesterification of Vegetable and Used Frying Oil. Ind. Eng. Chem. Res. 2010, 49, 9068–9076. [Google Scholar] [CrossRef]
- Yan, S.; Mohan, S.; Dimaggio, C.; Kim, M.; Ng, K.Y.S.; Salley, S.O. Long Term Activity of Modified ZnO Nanoparticles for Transesterification. Fuel 2010, 89, 2844–2852. [Google Scholar] [CrossRef]
- Agarwal, M.; Chauhan, G.; Chaurasia, S.P.; Singh, K. Study of Catalytic Behavior of KOH as Homogeneous and Heterogeneous Catalyst for Biodiesel Production. J. Taiwan Inst. Chem. Eng. 2012, 43, 89–94. [Google Scholar] [CrossRef]
- Molaei Dehkordi, A.; Ghasemi, M. Transesterification of Waste Cooking Oil to Biodiesel Using Ca and Zr Mixed Oxides as Heterogeneous Base Catalysts. Fuel Process. Technol. 2012, 97, 45–51. [Google Scholar] [CrossRef]
- Xie, W.; Wan, F. Basic Ionic Liquid Functionalized Magnetically Responsive Fe3O4@ HKUST-1 Composites Used for Biodiesel Production. Fuel 2018, 220, 248–256. [Google Scholar] [CrossRef]
- Xie, W.; Wan, F. Guanidine Post-Functionalized Crystalline ZIF-90 Frameworks as a Promising Recyclable Catalyst for the Production of Biodiesel via Soybean Oil Transesteri Fi Cation. Energy Convers. Manag. 2019, 198, 111922. [Google Scholar] [CrossRef]
- Abdelmigeed, M.O.; Al-sakkari, E.G.; Hefney, M.S.; Ismail, F.M.; Ahmed, T.S.; Ismail, I.M. Biodiesel Production Catalyzed by NaOH/Magnetized ZIF-8: Yield Improvement Using Methanolysis and Catalyst Reusability Enhancement. Renew. Energy 2021, 174, 253–261. [Google Scholar] [CrossRef]
- Saeedi, M.; Fazaeli, R.; Aliyan, H. Nanostructured Sodium–Zeolite Imidazolate Framework (ZIF-8) Doped with Potassium by Sol–Gel Processing for Biodiesel Production from Soybean Oil. J. Sol-Gel Sci. Technol. 2016, 77, 404–415. [Google Scholar] [CrossRef]
- Li, H.; Liu, F.; Ma, X.; Wu, Z.; Li, Y.; Zhang, L. Catalytic Performance of Strontium Oxide Supported by MIL–100 (Fe) Derivate as Transesteri Fi Cation Catalyst for Biodiesel Production. Energy Convers. Manag. 2019, 180, 401–410. [Google Scholar] [CrossRef]
- Yang, C.; Viet, M.; Liang, T.; Khoa, T.; Kieu, T.; Huynh, X. Metal-Organic Framework-Derived Mg-Zn Hybrid Nanocatalyst for Biodiesel Production. Adv. Powder Technol. 2022, 33, 103365. [Google Scholar] [CrossRef]
- Fazaeli, R.; Aliyan, H. Production of Biodiesel through Transesteri Fi Cation of Soybean Oil Using ZIF-8@GO Doped with Sodium and Potassium Catalyst. Russ. J. Appl. Chem. 2015, 88, 1701–1710. [Google Scholar] [CrossRef]
- Jamil, U.; Husain Khoja, A.; Liaquat, R.; Raza Naqvi, S.; Nor Nadyaini Wan Omar, W.; Aishah Saidina Amin, N. Copper and Calcium-Based Metal Organic Framework (MOF) Catalyst for Biodiesel Production from Waste Cooking Oil: A Process Optimization Study. Energy Convers. Manag. 2020, 215, 112934. [Google Scholar] [CrossRef]
- Aransiola, E.F.; Ojumu, T.V.; Oyekola, O.O.; Madzimbamuto, T.F.; Ikhu-Omoregbe, D.I.O. A Review of Current Technology for Biodiesel Production: State of the Art. Biomass Bioenergy 2014, 61, 276–297. [Google Scholar] [CrossRef]
- Amin, A. Review of Diesel Production from Renewable Resources: Catalysis, Process Kinetics and Technologies. Ain Shams Eng. J. 2019, 10, 821–839. [Google Scholar] [CrossRef]
- Meher, L.C.; Churamani, C.P.; Arif, M.; Ahmed, Z.; Naik, S.N. Jatropha Curcas as a Renewable Source for Bio-Fuels—A Review. Renew. Sustain. Energy Rev. 2013, 26, 397–407. [Google Scholar] [CrossRef]
- Mansir, N.; Taufiq-Yap, Y.H.; Rashid, U.; Lokman, I.M. Investigation of Heterogeneous Solid Acid Catalyst Performance on Low Grade Feedstocks for Biodiesel Production: A Review. Energy Convers. Manag. 2017, 141, 171–182. [Google Scholar] [CrossRef]
- Xie, W.; Wang, H. Immobilized Polymeric Sulfonated Ionic Liquid on Core-Shell Structured Fe3O4/SiO2 Composites: A Magnetically Recyclable Catalyst for Simultaneous Transesterification and Esterifications of Low-Cost Oils to Biodiesel. Renew. Energy 2020, 145, 1709–1719. [Google Scholar] [CrossRef]
- Tobío-Pérez, I.; Domínguez, Y.D.; Machín, L.R.; Pohl, S.; Lapuerta, M.; Piloto-Rodríguez, R. Biomass-based Heterogeneous Catalysts for Biodiesel Production: A Comprehensive Review. Int. J. Energy Res. 2022, 46, 3782–3809. [Google Scholar] [CrossRef]
- Gawande, M.B.; Pandey, R.K.; Jayaram, R.V. Role of Mixed Metal Oxides in Catalysis Science–Versatile Applications in Organic Synthesis. Catal. Sci. Technol. 2012, 2, 1113–1125. [Google Scholar] [CrossRef]
- Clark, J.H.; Monks, G.L.; Nightingale, D.J.; Price, P.M.; White, J.F. A New Solid Acid-Based Route to Linear Alkylbenzenes. J. Catal. 2000, 193, 348–350. [Google Scholar] [CrossRef]
- Su, F.; Guo, Y. Advancements in Solid Acid Catalysts for Biodiesel Production. Green Chem. 2014, 16, 2934–2957. [Google Scholar] [CrossRef]
- Jitputti, J.; Kitiyanan, B.; Rangsunvigit, P.; Bunyakiat, K.; Attanatho, L.; Jenvanitpanjakul, P. Transesterification of Crude Palm Kernel Oil and Crude Coconut Oil by Different Solid Catalysts. Chem. Eng. J. 2006, 116, 61–66. [Google Scholar] [CrossRef]
- Ibrahim, M.M.; Mahmoud, H.R.; El-Molla, S.A. Influence of Support on Physicochemical Properties of ZrO2 Based Solid Acid Heterogeneous Catalysts for Biodiesel Production. Catal. Commun. 2019, 122, 10–15. [Google Scholar] [CrossRef]
- Park, Y.M.; Lee, J.Y.; Chung, S.H.; Park, I.S.; Lee, S.Y.; Kim, D.K.; Lee, J.S.; Lee, K.Y. Esterification of Used Vegetable Oils Using the Heterogeneous WO3/ZrO2 Catalyst for Production of Biodiesel. Bioresour. Technol. 2010, 101, S59–S61. [Google Scholar] [CrossRef]
- Dimian, A.C.; Bildea, C.S.; Omota, F.; Kiss, A.A. Innovative Process for Fatty Acid Esters by Dual Reactive Distillation. Comput. Chem. Eng. 2009, 33, 743–750. [Google Scholar] [CrossRef]
- Yadav, G.D.; Murkute, A.D. Preparation of a Novel Catalyst UDCaT-5: Enhancement in Activity of Acid-Treated Zirconia–Effect of Treatment with Chlorosulfonic Acid Vis-à-Vis Sulfuric Acid. J. Catal. 2004, 224, 218–223. [Google Scholar] [CrossRef]
- Enascuta, C.E.; Stepan, E.; Bolocan, I.; Bombos, D.; Calin, C.; Oprescu, E.E.; Lavric, V. Simultaneous Production of Oil Enriched in ω-3 Polyunsaturated Fatty Acids and Biodiesel from Fish Wastes. Waste Manag. 2018, 75, 205–214. [Google Scholar] [CrossRef]
- Jiménez-Morales, I.; Santamaría-González, J.; Maireles-Torres, P.; Jiménez-López, A. Calcined Zirconium Sulfate Supported on MCM-41 Silica as Acid Catalyst for Ethanolysis of Sunflower Oil. Appl. Catal. B Environ. 2011, 103, 91–98. [Google Scholar] [CrossRef]
- Gopinath, S.; Kumar, P.S.M.; Arafath, K.A.Y.; Thiruvengadaravi, K.V.; Sivanesan, S.; Baskaralingam, P. Efficient Mesoporous SO42−/Zr-KIT-6 Solid Acid Catalyst for Green Diesel Production from Esterification of Oleic Acid. Fuel 2017, 203, 488–500. [Google Scholar] [CrossRef]
- Fatimah, I.; Rubiyanto, D.; Taushiyah, A.; Najah, F.B.; Azmi, U.; Sim, Y.L. Use of ZrO2 Supported on Bamboo Leaf Ash as a Heterogeneous Catalyst in Microwave-Assisted Biodiesel Conversion. Sustain. Chem. Pharm. 2019, 12, 100129. [Google Scholar] [CrossRef]
- Wang, Y.T.; Fang, Z.; Zhang, F. Esterification of Oleic Acid to Biodiesel Catalyzed by a Highly Acidic Carbonaceous Catalyst. Catal. Today 2019, 319, 172–181. [Google Scholar] [CrossRef]
- Guldhe, A.; Singh, P.; Ansari, F.A.; Singh, B.; Bux, F. Biodiesel Synthesis from Microalgal Lipids Using Tungstated Zirconia as a Heterogeneous Acid Catalyst and Its Comparison with Homogeneous Acid and Enzyme Catalysts. Fuel 2017, 187, 180–188. [Google Scholar] [CrossRef]
- Sun, H.; Ding, Y.; Duan, J.; Zhang, Q.; Wang, Z.; Lou, H.; Zheng, X. Transesterification of Sunflower Oil to Biodiesel on ZrO2 Supported La2O3 Catalyst. Bioresour. Technol. 2010, 101, 953–958. [Google Scholar] [CrossRef]
- Malhotra, R.; Ali, A. 5-Na/ZnO Doped Mesoporous Silica as Reusable Solid Catalyst for Biodiesel Production via Transesterification of Virgin Cottonseed Oil. Renew. Energy 2019, 133, 606–619. [Google Scholar] [CrossRef]
- Baskar, G.; Gurugulladevi, A.; Nishanthini, T.; Aiswarya, R.; Tamilarasan, K. Optimization and Kinetics of Biodiesel Production from Mahua Oil Using Manganese Doped Zinc Oxide Nanocatalyst. Renew. Energy 2017, 103, 641–646. [Google Scholar] [CrossRef]
- Baskar, G.; Aberna Ebenezer Selvakumari, I.; Aiswarya, R. Biodiesel Production from Castor Oil Using Heterogeneous Ni Doped ZnO Nanocatalyst. Bioresour. Technol. 2018, 250, 793–798. [Google Scholar] [CrossRef]
- Borah, M.J.; Devi, A.; Borah, R.; Deka, D. Synthesis and Application of Co Doped ZnO as Heterogeneous Nanocatalyst for Biodiesel Production from Non-Edible Oil. Renew. Energy 2019, 133, 512–519. [Google Scholar] [CrossRef]
- Soltani, S.; Rashid, U.; Nehdi, I.A.; Al-Resayes, S.I.; Al-Muhtaseb, A.H. Sulfonated Mesoporous Zinc Aluminate Catalyst for Biodiesel Production from High Free Fatty Acid Feedstock Using Microwave Heating System. J. Taiwan Inst. Chem. Eng. 2017, 70, 219–228. [Google Scholar] [CrossRef]
- AlSharifi, M.; Znad, H. Transesterification of Waste Canola Oil by Lithium/Zinc Composite Supported on Waste Chicken Bone as an Effective Catalyst. Renew. Energy 2020, 151, 740–749. [Google Scholar] [CrossRef]
- Furuta, S.; Matsuhashi, H.; Arata, K. Catalytic Action of Sulfated Tin Oxide for Etherification and Esterification in Comparison with Sulfated Zirconia. Appl. Catal. A Gen. 2004, 269, 187–191. [Google Scholar] [CrossRef]
- Lam, M.K.; Lee, K.T.; Mohamed, A.R. Sulfated Tin Oxide as Solid Superacid Catalyst for Transesterification of Waste Cooking Oil: An Optimization Study. Appl. Catal. B Environ. 2009, 93, 134–139. [Google Scholar] [CrossRef]
- Khder, A.S.; El-Sharkawy, E.A.; El-Hakam, S.A.; Ahmed, A.I. Surface Characterization and Catalytic Activity of Sulfated Tin Oxide Catalyst. Catal. Commun. 2008, 9, 769–777. [Google Scholar] [CrossRef]
- Kafuku, G.; Lee, K.T.; Mbarawa, M. The Use of Sulfated Tin Oxide as Solid Superacid Catalyst for Heterogeneous Transesterification of Jatropha Curcas Oil. Chem. Pap. 2010, 64, 734–740. [Google Scholar] [CrossRef]
- Carlucci, C.; Degennaro, L.; Luisi, R. Titanium Dioxide as a Catalyst in Biodiesel Production. Catalysts 2019, 9, 75. [Google Scholar] [CrossRef]
- He, C.; Baoxiang, P.; Dezheng, W.; Jinfu, W. Biodiesel Production by the Transesterification of Cottonseed Oil by Solid Acid Catalysts. Front. Chem. Eng. China 2007, 1, 571–575. [Google Scholar] [CrossRef]
- Peng, B.X.; Shu, Q.; Wang, J.F.; Wang, G.R.; Wang, D.Z.; Han, M.H. Biodiesel Production from Waste Oil Feedstocks by Solid Acid Catalysis. Process Saf. Environ. Prot. 2008, 86, 441–447. [Google Scholar] [CrossRef]
- Gardy, J.; Hassanpour, A.; Lai, X.; Ahmed, M.H.; Rehan, M. Biodiesel Production from Used Cooking Oil Using a Novel Surface Functionalised TiO2 Nano-Catalyst. Appl. Catal. B Environ. 2017, 207, 297–310. [Google Scholar] [CrossRef]
- Kaur, M.; Malhotra, R.; Ali, A. Tungsten Supported Ti/SiO2 Nanoflowers as Reusable Heterogeneous Catalyst for Biodiesel Production. Renew. Energy 2018, 116, 109–119. [Google Scholar] [CrossRef]
- Dai, Y.M.; Kao, I.H.; Chen, C.C. Evaluating the Optimum Operating Parameters of Biodiesel Production Process from Soybean Oil Using the Li2TiO3 Catalyst. J. Taiwan Inst. Chem. Eng. 2017, 70, 260–266. [Google Scholar] [CrossRef]
- Kiss, A.A.; Dimian, A.C.; Rothenberg, G. Solid Acid Catalysts for Biodiesel Production–Towards Sustainable Energy. Adv. Synth. Catal. 2006, 348, 75–81. [Google Scholar] [CrossRef]
- Omar, B.M.; Bita, M.; Louafi, I.; Djouadi, A. Esterification Process Catalyzed by ZSM-5 Zeolite Synthesized via Modified Hydrothermal Method. MethodsX 2018, 5, 277–282. [Google Scholar] [CrossRef] [PubMed]
- Li, Z.; Ding, S.; Chen, C.; Qu, S.; Du, L.; Lu, J.; Ding, J. Recyclable Li/NaY Zeolite as a Heterogeneous Alkaline Catalyst for Biodiesel Production: Process Optimization and Kinetics Study. Energy Convers. Manag. 2019, 192, 335–345. [Google Scholar] [CrossRef]
- Doyle, A.M.; Albayati, T.M.; Abbas, A.S.; Alismaeel, Z.T. Biodiesel Production by Esterification of Oleic Acid over Zeolite Y Prepared from Kaolin. Renew. Energy 2016, 97, 19–23. [Google Scholar] [CrossRef]
- Yusuf, B.O.; Oladepo, S.A.; Ganiyu, S.A. Zr-Modified Desilicated ZSM-5 Catalysts as Highly Active and Recyclable Catalysts for Production of Biodiesel from Soybean Oil: Insight into Improved Catalyst Properties, Acidity and Dispersion through Desilication. Fuel 2023, 351, 128729. [Google Scholar] [CrossRef]
- Yusuf, B.O.; Oladepo, S.A.; Ganiyu, S.A. Biodiesel Production from Waste Cooking Oil via β– Zeolite- Supported Sulfated Metal Oxide Catalyst Systems. ACS Omega 2023, 8, 23720–23732. [Google Scholar] [CrossRef]
- Hou, S.; Xie, W. Three-Dimensional Hierarchical Meso/Macroporous Mo/Ce/TiO2 Composites Enhances Biodiesel Production from Acidic Soybean Oil by Transesterification-Esterifiications. Energy Convers. Manag. 2024, 305, 118273. [Google Scholar] [CrossRef]
- Modupe Abati, S.; Bamisaye, A.; Abidemi Adaramaja, A.; Rapheal Ige, A.; Adesina Adegoke, K.; Olurotimi Ogunbiyi, E.; Abidemi Idowu, M.; Olabintan, A.B.; Saleh, T.A. Biodiesel Production from Spent Vegetable Oil with Al2O3 and Fe2O3-Biobased Heterogenous Nanocatalysts: Comparative and Optimization Studies. Fuel 2024, 364, 130847. [Google Scholar] [CrossRef]
- Sathiyamoorthi, E.; Lee, J.; Devanesan, S.; Priya, S.D.; Shanmuganathan, R. Catalytic Biodiesel Production from Jatropha Curcas Oil: A Comparative Analysis of Microchannel, Fixed Bed, and Microwave Reactor Systems with Recycled ZSM-5 Catalyst. Environ. Res. 2024, 258, 119474. [Google Scholar] [CrossRef]
- Ebrahimi, A.; Haghighi, M.; Ghasemi, I.; Bekhradinassab, E. Design of Highly Recoverable Clay-Foundation Composite of Plasma-Treated Co3O4/Kaolin to Produce Biodiesel from Low-Cost Oil. Fuel 2024, 366, 131267. [Google Scholar] [CrossRef]
- Saadiah, N.; Ngadi, N.; Mohammed, I.; Anako, L.; Yamani, Z.; Haron, S. A Cleaner Approach with Magnetically Assisted Reactor Setup over CaO-Zeolite/Fe3O4 Catalyst in Biodiesel Production: Evaluation of Catalytic Performance, Reusability and Life Cycle Assessment Studies. J. Clean. Prod. 2023, 419, 138329. [Google Scholar] [CrossRef]
- Russbueldt, B.M.E.; Hoelderich, W.F. New Sulfonic Acid Ion-Exchange Resins for the Preesterification of Different Oils and Fats with High Content of Free Fatty Acids. Appl. Catal. A Gen. 2009, 362, 47–57. [Google Scholar] [CrossRef]
- Peters, T.A.; Benes, N.E.; Holmen, A.; Keurentjes, J.T.F. Comparison of Commercial Solid Acid Catalysts for the Esterification of Acetic Acid with Butanol. Appl. Catal. A Gen. 2006, 297, 182–188. [Google Scholar] [CrossRef]
- Park, J.Y.; Wang, Z.M.; Kim, D.K.; Lee, J.S. Effects of Water on the Esterification of Free Fatty Acids by Acid Catalysts. Renew. Energy 2010, 35, 614–618. [Google Scholar] [CrossRef]
- López, D.E.; Goodwin, J.G.; Bruce, D.A.; Lotero, E. Transesterification of Triacetin with Methanol on Solid Acid and Base Catalysts. Appl. Catal. A Gen. 2005, 295, 97–105. [Google Scholar] [CrossRef]
- Tesser, R.; Casale, L.; Verde, D.; Di Serio, M.; Santacesaria, E. Kinetics and Modeling of Fatty Acids Esterification on Acid Exchange Resins. Chem. Eng. J. 2010, 157, 539–550. [Google Scholar] [CrossRef]
- Axelsson, L.; Franzén, M.; Ostwald, M.; Berndes, G.; Lakshmi, G.; Ravindranath, N.H. Perspective: Jatropha Cultivation in Southern India: Assessing Farmers’ Experiences. Biofuels, Bioprod. Biorefining 2012, 6, 246–256. [Google Scholar] [CrossRef]
- Liu, Y.; Lotero, E.; Goodwin, J.G. A Comparison of the Esterification of Acetic Acid with Methanol Using Heterogeneous versus Homogeneous Acid Catalysis. J. Catal. 2006, 242, 278–286. [Google Scholar] [CrossRef]
- Chen, X.; Xu, Z.; Okuhara, T. Liquid Phase Esterification of Acrylic Acid with 1-Butanol Catalyzed by Solid Acid Catalysts. Appl. Catal. A Gen. 1999, 180, 261–269. [Google Scholar] [CrossRef]
- Vicente, G.; Coteron, A.; Martinez, M.; Aracil, J. Application of the Factorial Design of Experiments and Response Surface Methodology to Optimize Biodiesel Production. Ind. Crops Prod. 1998, 8, 29–35. [Google Scholar] [CrossRef]
- Dos Reis, S.C.M.; Lachter, E.R.; Nascimento, R.S.V.; Rodrigues, J.A.; Reid, M.G. Transesterification of Brazilian Vegetable Oils with Methanol over Ion-Exchange Resins. J. Am. Oil Chem. Soc. 2005, 82, 661–665. [Google Scholar] [CrossRef]
- Nakajima, K.; Hara, M. Amorphous Carbon with SO3H Groups as a Solid Brønsted Acid Catalyst. ACS Catal. 2012, 2, 1296–1304. [Google Scholar] [CrossRef]
- Zong, M.H.; Duan, Z.Q.; Lou, W.Y.; Smith, T.J.; Wu, H. Preparation of a Sugar Catalyst and Its Use for Highly Efficient Production of Biodiesel. Green Chem. 2007, 9, 434–443. [Google Scholar] [CrossRef]
- Lou, W.Y.; Zong, M.H.; Duan, Z.Q. Efficient Production of Biodiesel from High Free Fatty Acid-Containing Waste Oils Using Various Carbohydrate-Derived Solid Acid Catalysts. Bioresour. Technol. 2008, 99, 8752–8758. [Google Scholar] [CrossRef]
- Shu, Q.; Gao, J.; Nawaz, Z.; Liao, Y.; Wang, D.; Wang, J. Synthesis of Biodiesel from Waste Vegetable Oil with Large Amounts of Free Fatty Acids Using a Carbon-Based Solid Acid Catalyst. Appl. Energy 2010, 87, 2589–2596. [Google Scholar] [CrossRef]
- Misono, M. Unique Acid Catalysis of Heteropoly Compounds (Heteropolyoxometalates) in the Solid State. Chem. Commun. 2001, 1, 1141–1153. [Google Scholar] [CrossRef]
- Singh, S.; Patel, A. 12-Tungstophosphoric Acid Supported on Mesoporous Molecular Material: Synthesis, Characterization and Performance in Biodiesel Production. J. Clean. Prod. 2014, 72, 46–56. [Google Scholar] [CrossRef]
- Cao, F.; Chen, Y.; Zhai, F.; Li, J.; Wang, J.; Wang, X.; Wang, S.; Zhu, W. Biodiesel Production from High Acid Value Waste Frying Oil Catalyzed by Superacid Heteropolyacid. Biotechnol. Bioeng. 2008, 101, 93–100. [Google Scholar] [CrossRef]
- Zhang, X.; Li, J.; Chen, Y.; Wang, J.; Feng, L.; Wang, X.; Cao, F. Heteropolyacid Nanoreactor with Double Acid Sites as a Highly Efficient and Reusable Catalyst for the Transesterification of Waste Cooking Oil. Energy Fuels 2009, 23, 4640–4646. [Google Scholar] [CrossRef]
- Srilatha, K.; Issariyakul, T.; Lingaiah, N.; Sai Prasad, P.S.; Kozinski, J.; Dalai, A.K. Efficient Esterification and Transesterification of Used Cooking Oil Using 12-Tungstophosphoric Acid (TPA)/Nb2O5 Catalyst. Energy Fuels 2010, 24, 4748–4755. [Google Scholar] [CrossRef]
- Brahmkhatri, V.; Patel, A. Esterification of Lauric Acid with Butanol-1 over H3PW12O40 Supported on MCM-41. Fuel 2012, 102, 72–77. [Google Scholar] [CrossRef]
- Kulkarni, M.G.; Gopinath, R.; Meher, L.C.; Dalai, A.K. Solid Acid Catalyzed Biodiesel Production by Simultaneous Esterification and Transesterification. Green Chem. 2006, 8, 1056–1062. [Google Scholar] [CrossRef]
- Alcañiz-Monge, J.; Trautwein, G.; Marco-Lozar, J.P. Biodiesel Production by Acid Catalysis with Heteropolyacids Supported on Activated Carbon Fibers. Appl. Catal. A Gen. 2013, 468, 432–441. [Google Scholar] [CrossRef]
- Prasad, S.; Dhakshinamoorthy, A.; Lalthazuala, S. Metal-Organic Framework as a Heterogeneous Catalyst for Biodiesel Production: A Review. Chem. Eng. J. Adv. 2022, 12, 100415. [Google Scholar] [CrossRef]
- Cong, W.; Nanda, S.; Li, H.; Fang, Z. Metal–organic framework-based functional catalytic materials for biodiesel production: A review. Green Chem. 2021, 23, 2595–2618. [Google Scholar] [CrossRef]
- Zhang, Q.; Ling, D.; Lei, D.; Deng, T.; Zhang, Y.; Ma, P. Synthesis and Catalytic Properties of Nickel Salts of Keggin-Type Heteropolyacids Embedded Metal-Organic Framework Hybrid Nanocatalyst. Green Process. Synth. 2020, 9, 131–138. [Google Scholar] [CrossRef]
- Zhang, Q.; Liu, X.; Yang, T.; Yue, C.; Pu, Q.; Zhang, Y. Facile Synthesis of Polyoxometalates Tethered to Post Fe-BTC Frameworks for Esterification of Free Fatty Acids to Biodiesel. RSC Adv. 2019, 9, 8113–8120. [Google Scholar] [CrossRef]
- Zhang, Q.; Ling, D.; Lei, D.; Wang, J.; Liu, X.; Zhang, Y.; Ma, P. Green and Facile Synthesis of Metal-Organic Framework Cu-BTC-Supported Sn(II)-Substituted Keggin Heteropoly Composites as an Esterification Nanocatalyst for Biodiesel Production. Front. Chem. 2020, 8, 129. [Google Scholar] [CrossRef]
- Amouhadi, E.; Fazaeli, R.; Aliyan, H. Biodiesel Production via Esterification of Oleic Acid Catalyzed by MnO2@Mn (Btc) as a Novel and Heterogeneous Catalyst. J. Chin. Chem. Soc. 2019, 66, 608–613. [Google Scholar] [CrossRef]
- Qian, L.; Cheng, J.; Xin, K.; Guo, H.; Mao, Y.; Tu, J.; Yang, W. Bioresource Technology Enhancing Catalytic Activity and Pore Structure of Metal–Organic Framework-808 via Ligand Competition for Biodiesel Production from Microalgal Lipids at Reduced Temperatures. Bioresour. Technol. 2023, 386, 129533. [Google Scholar] [CrossRef] [PubMed]
- Taddeo, F.; Vitiello, R.; Russo, V.; Tesser, R.; Turco, R.; Di Serio, M. Biodiesel Production from Waste Oil Catalysed by and Mechanism. Catalysts 2023, 13, 503. [Google Scholar]
- Li, Y.; Zhu, K.; Jiang, Y.; Chen, L.; Zhang, H.; Li, H.; Yang, S. Biomass-Derived Hydrophobic Metal-Organic Frameworks Solid Acid for Green Efficient Catalytic Esterification of Oleic Acid at Low Temperatures. Fuel Process. Technol. 2023, 239, 107558. [Google Scholar] [CrossRef]
- Oghabi, M.; Rostamizadeh, M. Sulfation of Metal-Organic Framework (MOF) Nanocatalyst for Esterification of Oleic Acid with Methanol to Produce Biodiesel. Environ. Health Eng. Manag. J. 2023, 10, 321–329. [Google Scholar] [CrossRef]
- Narenji-sani, F.; Tayebee, R.; Chahkandi, M. New Task-Speci Fi c and Reusable ZIF-like Grafted H6P2W18O62 Catalyst for the E Ff Ective Esteri Fi Cation of Free Fatty Acids. ACS Omega 2020, 5, 9999–10010. [Google Scholar] [CrossRef]
- Zhang, Q.; Lei, D.; Luo, Q.; Wang, J.; Deng, T.; Zhang, Y.; Ma, P. Efficient Biodiesel Production from Oleic Acid Using Metal-Organic Framework Encapsulated Zr-Doped Polyoxometalate Nano-Hybrids. RSC Adv. 2020, 10, 8766–8772. [Google Scholar] [CrossRef]
- Pangestu, T.; Kurniawan, Y.; Soetaredjo, F.E.; Santoso, S.P.; Irawaty, W.; Yuliana, M.; Hartono, S.B.; Ismadji, S. The Synthesis of Biodiesel Using Copper Based Metal-Organic Framework as a Catalyst. J. Environ. Chem. Eng. 2019, 7, 103277. [Google Scholar] [CrossRef]
- Yusuf, B.O.; Oladepo, S.A.; Ganiyu, S.A.; Peedikakkal, A.M.P. Synthesis and Evaluation of CuO/UiO-66 Metal-Organic Frameworks as a Solid Catalyst for Biodiesel Production from Waste Cooking Oil. Mol. Catal. 2024, 564, 114313. [Google Scholar] [CrossRef]
- Leung, D.Y.C.; Guo, Y. Transesterification of Neat and Used Frying Oil: Optimization for Biodiesel Production. Fuel Process. Technol. 2006, 87, 883–890. [Google Scholar] [CrossRef]
- Lokman, I.M.; Rashid, U.; Yunus, R.; Taufiq-Yap, Y.H. Carbohydrate-Derived Solid Acid Catalysts for Biodiesel Production from Low-Cost Feedstocks: A Review. Catal. Rev.–Sci. Eng. 2014, 56, 187–219. [Google Scholar]
- Yujaroen, D.; Goto, M.; Sasaki, M.; Shotipruk, A. Esterification of Palm Fatty Acid Distillate (PFAD) in Supercritical Methanol: Effect of Hydrolysis on Reaction Reactivity. Fuel 2009, 88, 2011–2016. [Google Scholar] [CrossRef]
- Li, Y.; Zhang, X.D.; Sun, L.; Zhang, J.; Xu, H.P. Fatty Acid Methyl Ester Synthesis Catalyzed by Solid Superacid Catalyst SO42/ZrO2-TiO2/La3+. Appl. Energy 2010, 87, 156–159. [Google Scholar] [CrossRef]
- Atapour, M.; Kariminia, H.R. Characterization and Transesterification of Iranian Bitter Almond Oil for Biodiesel Production. Appl. Energy 2011, 88, 2377–2381. [Google Scholar] [CrossRef]
- Amani, H.; Ahmad, Z.; Hameed, B.H. Highly Active Alumina-Supported Cs-Zr Mixed Oxide Catalysts for Low-Temperature Transesterification of Waste Cooking Oil. Appl. Catal. A Gen. 2014, 487, 16–25. [Google Scholar] [CrossRef]
- Hoque, M.E.; Singh, A.; Chuan, Y.L. Biodiesel from Low Cost Feedstocks: The Effects of Process Parameters on the Biodiesel Yield. Biomass Bioenergy 2011, 35, 1582–1587. [Google Scholar] [CrossRef]
- Patil, P.; Deng, S.; Isaac Rhodes, J.; Lammers, P.J. Conversion of Waste Cooking Oil to Biodiesel Using Ferric Sulfate and Supercritical Methanol Processes. Fuel 2010, 89, 360–364. [Google Scholar] [CrossRef]
- Varma, M.N.; Madras, G. Synthesis of Biodiesel from Castor Oil and Linseed Oil in Supercritical Fluids. Ind. Eng. Chem. Res. 2007, 46, 1–6. [Google Scholar] [CrossRef]
- Song, E.S.; won Lim, J.; Lee, H.S.; Lee, Y.W. Transesterification of RBD Palm Oil Using Supercritical Methanol. J. Supercrit. Fluids 2008, 44, 356–363. [Google Scholar] [CrossRef]
- He, H.; Wang, T.; Zhu, S. Continuous Production of Biodiesel Fuel from Vegetable Oil Using Supercritical Methanol Process. Fuel 2007, 86, 442–447. [Google Scholar] [CrossRef]
- Kataria, J.; Mohapatra, S.K.; Kundu, K. Biodiesel Production from Waste Cooking Oil Using Heterogeneous Catalysts and Its Operational Characteristics on Variable Compression Ratio CI Engine. J. Energy Inst. 2019, 92, 275–287. [Google Scholar] [CrossRef]
- Kant, S.; Gurav, R.; Choi, T.; Joong, H.; Yang, S.; Song, H.; Young, J.; Park, Y.; Han, Y.; Choi, Y. Bioresource Technology Conversion of Waste Cooking Oil into Biodiesel Using Heterogenous Catalyst Derived from Cork Biochar. Bioresour. Technol. 2020, 302, 122872. [Google Scholar] [CrossRef]
- Li, K.; Fan, Y.; He, Y.; Zeng, L.; Han, X.; Yan, Y. Burkholderia Cepacia Lipase Immobilized on Heterofunctional Magnetic Nanoparticles and Its Application in Biodiesel Synthesis. Sci. Rep. 2017, 7, 16473. [Google Scholar] [CrossRef] [PubMed]
- Jin, T.; Wang, B.; Zeng, J.; Yang, C.; Wang, Y.; Fang, T. Esterification of Free Fatty Acids with Supercritical Methanol for Biodiesel Production and Related Kinetic Study. RSC Adv. 2015, 5, 52072–52078. [Google Scholar] [CrossRef]
- De Boer, K.; Bahri, P.A. Supercritical Methanol for Fatty Acid Methyl Ester Production: A Review. Biomass Bioenergy 2011, 35, 983–991. [Google Scholar] [CrossRef]
- Lee, J.S.; Saka, S. Biodiesel Production by Heterogeneous Catalysts and Supercritical Technologies. Bioresour. Technol. 2010, 101, 7191–7200. [Google Scholar] [CrossRef] [PubMed]
- Tsai, Y.T.; Lin, H.; Lee, M.J. Biodiesel Production with Continuous Supercritical Process: Non-Catalytic Transesterification and Esterification with or without Carbon Dioxide. Bioresour. Technol. 2013, 145, 362–369. [Google Scholar] [CrossRef]
- Tomic, M.; Micic, R.; Kiss, F.; Dedovic, N.; Simikic, M. Economic and Environmental Performance of Oil Transesterification in Supercritical Methanol at Different Reaction Conditions: Experimental Study with a Batch Reactor. Energy Convers. Manag. 2015, 99, 8–19. [Google Scholar] [CrossRef]
- Kusdiana, D.; Saka, S. Kinetics of Transesterification in Rapeseed Oil to Biodiesel Fuel as Treated in Supercritical Methanol. Fuel 2001, 80, 693–698. [Google Scholar] [CrossRef]
- Miao, S.; Shanks, B.H. Esterification of Biomass Pyrolysis Model Acids over Sulfonic Acid-Functionalized Mesoporous Silicas. Appl. Catal. A Gen. 2009, 359, 113–120. [Google Scholar] [CrossRef]
- Lam, M.K.; Lee, K.T. Mixed Methanol-Ethanol Technology to Produce Greener Biodiesel from Waste Cooking Oil: A Breakthrough for SO42-/SnO2-SiO2 Catalyst. Fuel Process. Technol. 2011, 92, 1639–1645. [Google Scholar] [CrossRef]
- Saka, S.; Kusdiana, D. Biodiesel Fuel from Rapeseed Oil as Prepared in Supercritical Methanol. Fuel 2001, 80, 225–231. [Google Scholar] [CrossRef]
- Bahar, I.; Deshmukhya, T.; Bhanja, P.; Paul, B. Transesteri Fi Cation of Soybean Oil at Room Temperature Using Biowaste as Catalyst; an Experimental Investigation on the Effect of Co-Solvent on Biodiesel Yield. Renew. Energy 2020, 162, 98–111. [Google Scholar] [CrossRef]
- Günay, M.E.; Türker, L.; Tapan, N.A. Significant Parameters and Technological Advancements in Biodiesel Production Systems. Fuel 2019, 250, 27–41. [Google Scholar] [CrossRef]
- Leung, D.Y.C.; Wu, X.; Leung, M.K.H. A Review on Biodiesel Production Using Catalyzed Transesterification. Appl. Energy 2010, 87, 1083–1095. [Google Scholar] [CrossRef]
- Eevera, T.; Rajendran, K.; Saradha, S. Biodiesel Production Process Optimization and Characterization to Assess the Suitability of the Product for Varied Environmental Conditions. Renew. Energy 2009, 34, 762–765. [Google Scholar] [CrossRef]
- Meher, L.C.; Vidya Sagar, D.; Naik, S.N. Technical Aspects of Biodiesel Production by Transesterification—A Review. Renew. Sustain. Energy Rev. 2006, 10, 248–268. [Google Scholar] [CrossRef]
- Wang, Z.M.; Lee, J.S.; Park, J.Y.; Wu, C.Z.; Yuan, Z.H. Novel Biodiesel Production Technology from Soybean Soapstock. Korean J. Chem. Eng. 2007, 24, 1027–1030. [Google Scholar] [CrossRef]
- Jordanov, D.I.; Dimitrov, Y.K.; Petkov, P.S.T.; Ivanov, S.K. Biodiesel Production by Sunflower Oil Transesterification. Oxid. Commun. 2007, 30, 300–305. [Google Scholar]
- Fu, B.; Gao, L.; Niu, L.; Wei, R.X.G. Biodiesel from Waste Cooking Oil via Heterogeneous Superacid Catalyst SO42−/ZrO2. No Title. Energy Fuels 2008, 23, 569–572. [Google Scholar] [CrossRef]
- Kapilakarn, K.; Peugtong, A. A Comparison of Costs of Biodiesel Production from Transesterication. Int. Energy J. 2007, 8, 1–6. [Google Scholar]
- Bhatti, H.N.; Hanif, M.A.; Qasim, M. Ata-ur-Rehman Biodiesel Production from Waste Tallow. Fuel 2008, 87, 2961–2966. [Google Scholar] [CrossRef]
- Amani, H.; Ahmad, Z.; Asif, M.; Hameed, B.H. Transesterification of Waste Cooking Palm Oil by MnZr with Supported Alumina as a Potential Heterogeneous Catalyst. J. Ind. Eng. Chem. 2014, 20, 4437–4442. [Google Scholar] [CrossRef]
- Park, Y.M.; Lee, D.W.; Kim, D.K.; Lee, J.S.; Lee, K.Y. The Heterogeneous Catalyst System for the Continuous Conversion of Free Fatty Acids in Used Vegetable Oils for the Production of Biodiesel. Catal. Today 2008, 131, 238–243. [Google Scholar] [CrossRef]
- Santya, G.; Maheswaran, T.; Fei, K. Optimization of Biodiesel Production from High Free Fatty Acid River Catfish Oil (Pangasius Hypothalamus) and Waste Cooking Oil Catalyzed by Waste Chicken Egg Shells Derived Catalyst. SN Appl. Sci. 2019, 1, 152. [Google Scholar] [CrossRef]
- Al-muhtaseb, A.H.; Jamil, F.; Al-haj, L.; Tay, M.; Myint, Z.; Mahmoud, E.; Ahmad, M.N.M.; Hasan, A.O.; Ra, S. Biodiesel Production over a Catalyst Prepared from Biomass-Derived Waste Date Pits. Biotechnol. Rep. 2018, 20, e00284. [Google Scholar] [CrossRef]
- Okwundu, O.S.; El-Shazly, A.H.; Elkady, M. Comparative Effect of Reaction Time on Biodiesel Production from Low Free Fatty Acid Beef Tallow: A Definition of Product Yield. SN Appl. Sci. 2019, 1, 140. [Google Scholar] [CrossRef]
























| Catalyst | Feedstock | Reaction Parameters (Time, Temperature, Catalyst Amount, and Alcohol to Oil Molar Ratio) | Performance | Ref. |
|---|---|---|---|---|
| Novozym 435 lipase | Residual fish oil | 8 h, 35 °C, 50 wt.%, 36:1 | Yield = 82.91% | [47] |
| Pseudomonas cepacian | Jatropha curcas | 8 h, 50 °C, 4:1 | Yield = 98% | [36] |
| Pancreatic lipase | Waste cooking oil | 4 h, 60 °C, 1.5 wt.%, 3:1 | Conversion = 88% | [46] |
| Burkholderia cepacia | Jatropha curcas | 24 h, 35 °C, 5.25 g, 10:1 | Yield = 100% | [37] |
| Rice bran lipase | Rice bran oil | 288 h, 40 °C, 3 wt.%, 6:1 | Yield = 83.4% | [48] |
| Lipozyme Thermomyces lanuginose IM | Corn oil | 12 h, 35 °C, 2.8 wt.%, 6:1 | Yield = 98.95% | [49] |
| Rhizopus oryzae lipase | Calophyllum inophyllum | 72 h, 35 °C, 20 wt.%, 12:1 | Yield = 92% | [50] |
| Rhizopus oryzae lipase | Pistacia chinensis seed oil | 60 h, 37 °C, 7 wt.% 5:1 | Yield = 94% | [51] |
| Pig pancreatic lipase | Sunflower oil | 19 h, 60 °C, 0.1 wt.%, 2:1 | Yield = 57.2% | [52] |
| Rhizomucor miehei lipase | Triolein | 96 h, 40 °C, 5 wt.%, 3:1 | Yield = 77% | [53] |
| Cryptococcus spp. S-2 | Rice bran oil | 120 h, 30 °C, 4:1 | Yield = 80.2% | [54] |
| Pseudomonas lipase | Sunflower oil | 5 h, 45 °C, 10:1 | Yield = 80% | [55] |
| Staphylococcus aureus and Bacillus stearothermophilus | Coffee oil | 12 h, 55 °C, 14 wt.%, 3:1 | Conversion = 97.66% | [56] |
| Catalyst | Feedstock | Reaction Parameters (Time, Temperature, Catalyst Amount, and Alcohol-to-Oil Molar Ratio) | Performance | Ref. |
|---|---|---|---|---|
| KOH | Croton megalocarpus oil | 1 h, 60 °C, 1.0 wt.%, 30:1 | Conversion = 88% | [65] |
| Potassium methoxide | Elaeagnus Angustifolia seed oil | 1 h, 60 °C, 1 wt.%, 9:1 | Yield = 95% | [68] |
| NaOH | Rice bran oil | 2 h, 60 °C, 0.9 wt.%, 6:1 | Yield = 72.8% | [69] |
| KOH | Waste scum | 30 min, 75 °C, 1.2 wt.%, 6:1. | Yield = 96.7% | [66] |
| H2SO4 | Soybean oil | 69 h, 65 °C, 1 wt.%, 30:1 | Conversion = >90% | [76] |
| H2SO4 | Crude palm oil | 9 h, 95 °C, 5 wt.%, 40:1 | Yield = 97% | [78] |
| H2SO4 | Used cooking oil | 10 h, 95 °C, 4 wt.%, 20:1 | Conversion = 90% | [79] |
| Catalyst | Feedstock | Reaction Parameters (Reaction Time, Temperature, Catalyst Amount, and Alcohol to Oil Molar Ratio) | Performance | Ref. |
|---|---|---|---|---|
| SrO | Soyabean oil | 30 min, 65 °C, 3 wt.%, 12:1 | Yield = 95% | [90] |
| Na/NaOH/γAl2O3 | Soyabean oil | 2 h, 60 °C, 1 wt.%, 9:1 | Yield = 94% | [91] |
| CaO | Soyabean oil | 3 h, 65 °C, 8 wt.%, 12:1 | Yield = 95% | [87] |
| CaO | Sunflower oil | 90 min, 60 °C, 1 wt.%, 13:1 | Yield = 94% | [92] |
| CaO | Sunflower oil | 2 h, 60 °C, 1 wt.%, 6:1 | Yield = 98% | [93] |
| Snail shell | Waste cooking oil | 7 h, 60 °C, 2 wt.%, 8.45:1 | Yield = 87.28% | [101] |
| BaO | Palm oil | 1 h, 50 °C, 3 wt.%, 9:1 | Yield = 95.2% | [96] |
| SrO | Palm oil | 1 h, 50 °C, 3 wt.%, 9:1 | Yield = 95.2% | [96] |
| CaO | Palm oil | 1 h, 50 °C, 3 wt.%, 12:1 | Yield = 77.3% | [96] |
| BaO | Palm oil | 60 min, 50 °C, 3 wt.%, 9:1 | Yield = 95.17% | [97] |
| SrO | Palm oil | 60 min, 50 °C, 3 wt.%, 9:1 | Yield = >94% | [97] |
| Waste snail shells | Soyabean oil | 7 h, 50 °C, 3 wt.%, 6:1 | Yield = 98% | [98] |
| Waste eggshells (CaO) | Palm olein oil | 2 h, 60 °C, 10.0 wt.%, 12:1 | Yield = >90% | [99] |
| KOH/Al2O3 | Waste cooking oil | 2 h, 70 °C, 15 wt.%, 9:1 | Yield = 96.8% | [110] |
| Li/CaO | Jatropha oil karanja oil | 2 h, 65 °C, 5 wt.%, 12:1 1 h, 65 °C, 5 wt.%, 12:1 | Conversion = >99 Conversion = >99 | [94] |
| Ostrich eggshells | Used cooking oil | 2 h, 65 °C, 1.5 wt.%, 12:1 | Yield = 96% | [104] |
| Chicken-eggshells | Used cooking oil | 2 h, 65 °C, 1.5 wt.%, 12:1 | Yield = 94% | [104] |
| NaX Zeolite/KOH | Soyabean oil | 8 h, 65 °C, 3 wt.%, 10:1 | Yield = 85.6% | [102] |
| Na2PEG (300) | Soyabean oil | 5 h, 70 °C, 6 wt.%, 30:1 | Conversion = 99% | [103] |
| KF/Zn(Al)O | Soyabean | 3 h, 65 °C, 3 wt.%, 6:1 | Yield = 95% | [105] |
| Mg-Al hydrotalcite | Sunflower oil | 24 h, 60 °C, 2 wt.%, 48:1 | Yield = 92% | [106] |
| K-loaded Mg-Al hydrotalcite | Palm oil | 7 h, 100 °C, 7 wt.%, 30:1 | Yield = 86.6% | [107] |
| Na-Mg-Al hydrotalcite (HT-Na) | Waste cooking oil | 8 h, 60 °C, 7 wt.%, 9:1 | Yield = 67% | [108] |
| Zn3La1(Lanthanum-modified ZnO) | Waste cooking oil | 3 h, 200 °C, 3 wt.%, 26:1 | Yield = 93.7% | [109] |
| CaO (Clamshell) | Waste frying oil | 3 h, 60 °C, 3 wt.%, 6.03:1 | Yield = >89 | [100] |
| CaO-ZrO2 | Waste cooking oil | 2 h, 65 °C, 10 wt.%, 30:1 | Yield = 92.1% | [111] |
| Fe3O4@HKUST-ABIL | Soybean oil | 3 h, 65 °C, 1.2 wt.%, 30:1 | Yield = 92.30% | [112] |
| ZIF-90-Gua | Soybean oil | 6 h, 65 °C, 1 wt.%, 15:1 | Yield = 95.40% | [113] |
| NaOH/magnetized ZIF-8 | Vegetable oil | 1 h, 65 °C, 3 wt.%, 21:1 | Yield = 99.80% | [114] |
| KNa/ZIF-8 | Soybean oil | 3.5 h, 100 °C, 0.012 wt.%, 10:1 | Yield = 98% | [115] |
| SrO-MIL-100(Fe) | Palm oil | 0.5 h, 65 °C, 8 wt.%, 12:1 | Yield= 96.19% | [116] |
| MgO@Zn-MOF | Soybean oil | 2 h, 210 °C, 1 wt.%, 3:1 | Yield = 73.30%84 | [117] |
| KNa/ZIF-8@GO | Soybean oil | 8 h, 100 °C, 8 wt.%, 18:1 | Yield = 98% | [118] |
| Cu- and Ca-based MOF | Waste cooking oil | 0.5 h, 60 °C, 1 wt.%, 20:1 | Yield = 84.5% | [119] |
| Catalyst | Feedstock | Reaction Parameters (Reaction Time, Temperature, Catalyst Amount, and MRMO) | Performance | Ref. |
|---|---|---|---|---|
| SO42−/ZrO2 | Palm kernel oil Coconut oil | 4 h, 200 °C, 1 wt.%, 6:1 | Yield = 90.3% Yield = 86.3% | [129] |
| ZrO2 loaded on different supports (TiO2, SiO2, Fe2O3, and Al2O3) | Waste cooking oil | 3 h, 120 °C, 0.1 wt.%, 120:1 | Conversion = 48.6% | [130] |
| WO3/ZrO2 | Waste vegetable oil | 1 h, 75 °C, 4 wt.%, 9:1 | Conversion = 93% | [131] |
| SO42−/ZrO2-MCM-41 | Sunflower oil | 5 h, 200 °C, 14.6 wt.%, 14:1 | Yield = 91.5% | [135] |
| Sulfated Zr-KIT-6 | Oleic acid | 6 h, 120 °C, 4 wt.%, 20:1 | Conversion = 96% | [136] |
| WO3/ZrO2 | S. Obliquus lipids | 3 h, 100 °C, 15 wt.%, 12:1 | Conversion = 94.58% | [139] |
| Zr2O-supported bamboo leaf ash (Zr2O/BLA) | Soybean oil | 30 min, 50 °C, 12 wt.%, 15:1 | Yield = 89.99% | [137] |
| Zirconium-based carbonaceous | Oleic acid | 2 h, 90 °C, 5 wt.%, 20:1 | Yield = 99.1% | [138] |
| ZrO2/La2O3 | Sunflower oil | 5 h, 200 °C, 5 wt.%, 30:1 | Yield = 84.9% | [140] |
| Na/ZnO-loaded SBA-15 | Cotton seed oil | 4 h, 65 °C, 12 wt.%, 24:1 | Yield = 98% | [141] |
| Manganese-doped ZnO | Mahua oil | 50 min, 50 °C, 8 wt.%, 7:1 | Yield = 97% | [142] |
| Nickel-doped ZnO | Castor oil | 1 h, 55 °C, 11 wt.%, 8:1 | Yield = 95.20% | [143] |
| Cobalt-doped ZnO | Mesua ferrea oil | 3 h, 60 °C, 2.5 wt.%, 9:1 | Conversion = 98.03% | [144] |
| SO3H-ZnAl4O3 | Palm fatty acid | 20 min, 60 °C, 1.5 wt.%, 9:1 | Yield = 94.59% | [145] |
| Lithium/Zinc composite-supported waste chicken bone | Waste canola oil | 3.5 h, 60 °C, 4.0 wt.%, 18:1 | Conversion = 98% | [146] |
| SO42−/SnO2-SiO2 | Jatropha curcas | 2 h, 180 °C, 3 wt.%, 15:1 | Yield = 97% | [150] |
| SO42−/TiO2 | Cottonseed oil | 8 h, 230 °C, 2 wt.%, 12:1 | Yield = >90% | [152] |
| SO42−/TiO2–SiO2 | Cottonseed oil | 6 h, 200 °C, 3 wt.%, 9:1 | Conversion = 92% | [153] |
| TiO2/PrSO3H | Waste cooking oil | 9 h, 60 °C, 2.5 wt.%, 15:1 | Yield = 98.3% | [154] |
| 20-W/TiO2/SiO2 | Waste Cottonseed oil | 4 h, 65 °C, 5 wt.%, 30:1 | Yield = 98% | [155] |
| Li2TiO3 | Soybean oil | 2 h, 65 °C, 6 wt.%, 24:1 | Conversion = 98.5% | [156] |
| Li/NaY zeolite | Castor oil | 2 h, 75 °C, 3 wt.%, 18:1 | Yield = 98.6% | [159] |
| Zeolite Y | Oleic acid | 1 h, 70 °C, 5 wt.%, 6:1 | Conversion = 85% | [160] |
| ZrO2/ZSM-5(0.2 M) | Soybean oil | 4 h, 200 °C, 1 wt.%, 16:1 | Conversion = 97.8% | [161] |
| SO42−/ZnO-β-zeolite | Waste cooking oil | 8 h, 200 °C, 3 wt.%, 15:1 | Conversion = 96.9% | [162] |
| CaO-zeolite/Fe3O4 | Used cooking oil | 5 h, 55 °C, 4 wt.%, 5:1 | Yield = 96.91% | [167] |
| Amberlyst-15 | Babassu coconut oil | 8 h, 60 °C, 300:1 | Conversion = 74% | [177] |
| SO3-H-bearing carbon material | Oleic acid | 4 h, 95 °C, 0.307 g | Yield = 99.9% | [178] |
| Sulfonated vegetable oil asphalt | Waste cooking oil | 4.5 h, 220 °C, 0.2 wt.%, 16.8:1 | Conversion = 94.8% | [181] |
| Sulfonated D-glucose derived sugar | Palmitic acid and oleic acid | 5 h, 80 °C, 5 wt.%, 10:1 | Yield = 95% | [179] |
| Sulfonated carbon-based catalyst derived from starch | Waste cooking oil | 8 h, 80 °C, 10 wt.%, 30:1 | Yield = 92% | [180] |
| H3PW12O40·6H2O (PW12) | Waste cooking oil | 14 h, 65 °C, 4 wt.%, 70:1 | Conversion = 87% | [184] |
| Zr0.7H0.2PW12O40 | Waste cooking oil | 8 h, 65 °C, 2.1 wt.%, 20:1 | Conversion = 98.8% | [185] |
| H3PW12O40/Nb2O5 | Used cooking oil | 20 h, 200 °C, 3 wt.%, 18:1 | Yield = 92% | [186] |
| H3PW12O40 loaded on ZrO2 | Canola oil | 10 h, 200 °C, 3 wt.%, 9:1 | Yield = 90% | [188] |
| H3PW12O40/ACF | Palmitic acid | 6 h, 40 °C, 1.1 wt.%, 97:1 | Conversion = 89% | [189] |
| H3PW12O40-supported MCM-41 | Lauric acid | 3 h, 90 °C. 2:1 | Yield = 95% | [187] |
| NiHSiW/UiO-66 | Oleic acid | 3 h, 160 °C, 6 wt.%, 18:1 | Conversion = 86.7% | [192] |
| Fe-BTC frameworks | Oleic acid | 3 h, 160 °C, 10 wt.%, 16:1 | Conversion = 72.3% | [193] |
| MnO2@Mn(btc) | Oleic acid | 5 h, 200 °C, 5 wt.%, 30:1 | Conversion = 98% | [195] |
| Blend-MOF-5 | Waste cooking oil | 3 h, 150 °C, 5 wt.%, 20:1 | Yield = 70% | [197] |
| FDCA/SA-Hf | Oleic acid | 9.5 h, 49 °C, 5 wt.%, 19:1 | Yield = 98.6% | [198] |
| ZIF-like grafted H6P2W18O62 | Free fatty acids | 4 h, 80 °C, 3 wt.%, 60:1 | Conversion = 92% | [200] |
Disclaimer/Publisher’s Note: The statements, opinions and data contained in all publications are solely those of the individual author(s) and contributor(s) and not of MDPI and/or the editor(s). MDPI and/or the editor(s) disclaim responsibility for any injury to people or property resulting from any ideas, methods, instructions or products referred to in the content. |
© 2024 by the authors. Licensee MDPI, Basel, Switzerland. This article is an open access article distributed under the terms and conditions of the Creative Commons Attribution (CC BY) license (https://creativecommons.org/licenses/by/4.0/).
Share and Cite
Yusuf, B.O.; Oladepo, S.A.; Ganiyu, S.A. Efficient and Sustainable Biodiesel Production via Transesterification: Catalysts and Operating Conditions. Catalysts 2024, 14, 581. https://doi.org/10.3390/catal14090581
Yusuf BO, Oladepo SA, Ganiyu SA. Efficient and Sustainable Biodiesel Production via Transesterification: Catalysts and Operating Conditions. Catalysts. 2024; 14(9):581. https://doi.org/10.3390/catal14090581
Chicago/Turabian StyleYusuf, Basiru O., Sulayman A. Oladepo, and Saheed A. Ganiyu. 2024. "Efficient and Sustainable Biodiesel Production via Transesterification: Catalysts and Operating Conditions" Catalysts 14, no. 9: 581. https://doi.org/10.3390/catal14090581
APA StyleYusuf, B. O., Oladepo, S. A., & Ganiyu, S. A. (2024). Efficient and Sustainable Biodiesel Production via Transesterification: Catalysts and Operating Conditions. Catalysts, 14(9), 581. https://doi.org/10.3390/catal14090581

