Abstract
An efficient stereoselective synthesis of cis-2,6-disubstituted tetrahydropyrans 14a–c has been achieved via gold-catalyzed Meyer–Schuster rearrangement/hydration/oxa-Michael addition sequence from bis-propargylic alcohols 13a–c. The reaction of 13a proceeds via 2,6-disubstituted tetrahydropyran 14′a as an intermediate.
1. Introduction
cis-2,6-Disubstituted tetrahydropyrans are important skeletons found in biologically active natural products [1,2]. For example, decytosporides A [3,4], aspergillide [5,6] and phorboxazole A [7] have important biological activities, including anti-tumor activity against the A549 tumor cell line, potent cytotoxic activity against murine platelet leukaemia cells, and NIC anti-cancer activity (Figure 1). Therefore, a great deal of effort has been devoted to the development of synthetic methods for the synthesis of 2,6-cis-disubstituted tetrahydropyrans [8,9,10,11,12,13,14,15], which remains an important topic in organic synthesis.
Figure 1.
Natural Products bearing 2,6-cis-disubstituted tetrahydropyran.
We have developed an efficient synthesis of heterocyclic compounds (cyclic ethers 4,10 [16]/piperidines 5,11 [17]/azepanes 6,12 [18]) from propargylic alcohols 1–3 by strategic use of oxophilic (hard) gold (III) and π-philic (soft) gold (I) catalysts (Scheme 1). For example, heating propargylic alcohols 1 with an oxophilic gold (III) catalyst (5 mol% AuBr3) results in cyclization to afford cyclic ethers 4 bearing an acetylene moiety due to activation of the propargylic position by coordination (a) of gold (III) (Scheme 1, route A) [16]. On the other hand, in the presence of a π-philic gold (I) catalyst (2 mol% Ph3PAuNTf2), propargylic alcohols 1 undergo Meyer–Schuster rearrangement [19,20] to afford α,β-unsaturated ketones 7, which in turn undergo gold (III)-catalyzed intramolecular oxa-Michael addition [21,22,23,24] to afford cyclic ethers 10 bearing a carbonyl group [16]. In this case, the Meyer–Schuster rearrangement reaction involves activation of the triple bond by coordination (b) of gold (I), and the subsequent addition reaction involves activation of the carbonyl group by coordination (c) of gold (III) (Scheme 1, route B). We have also successfully developed the methods for the synthesis of 2-substituted piperidines 5,11 and 2-substituted azepanes 6,12 from propargylic alcohols 2,3 bearing nitrogen functionality by a similar strategy using oxophilic (hard) gold (III) and π-philic (soft) gold (I) catalysts (Scheme 1, routes A and B) [17,18].
Scheme 1.
Strategic use of oxophilic (hard) gold (III) and π-philic (soft) gold (I) catalysts for the synthesis of heterocyclic compounds (Previous work).
To develop the synthetic procedure of cis-2,6-disubstituted tetrahydropyrans 14, we expanded the substrate from propargylic alcohols 1–3 to bis-propargylic alcohol 13 (Scheme 2). Bis-propargylic alcohol 13 is first catalyzed with the gold (I) complex to bring about the dual Meyer–Schuster rearrangement reaction, forming bis-enone II via bis-enol I as an intermediate. Then, the addition of H2O leads to a sequential oxa-Michael addition reaction to give the desired 2,6-cis-disubstituted tetrahydropyrans 14. Here, we report a gold-catalyzed Meyer–Schuster rearrangement followed by a gold-catalyzed oxa-Michael addition of water for the stereoselective synthesis of cis-2,6-disubstituted tetrahydropyrans 14 from bis-propargylic alcohols 13.
Scheme 2.
Strategy for the synthesis of 2,6-cis-disubstituted tetrahydropyrans 14 by gold-catalyzed dual Meyer–Schuster rearrangement followed by gold-catalyzed dual oxa-Michael addition (This work).
2. Results and Discussion
We began by investigating the gold-catalyzed sequential reaction with bis-propargylic alcohol 13a as a model substrate in the presence of various gold (I) catalysts (Table 1).
Table 1.
Optimization of reaction conditions in gold-catalyzed Meyer–Schuster rearrangement followed by gold-catalyzed oxa-Michael addition.

Treatment of bis-propargyl alcohol 13a with MeOH (2 eq.) in the presence of Ph3PAuNTf2 (10 mol%) in toluene at reflux afforded a moderate yield of the product 14′a (cis:trans = 1:1) without the formation of the desired 2,6-cis-disubstituted tetrahydropyran 14a (entry 1). The reaction with the activated gold (I) species generated from Ph3PAuCl (10 mol%) or (C6F5)3PAuCl (10 mol%) by the silver catalyst AgNTf2 (10 mol%) furnished the product 14′a in 74% yield (cis:trans = 1:1) and 68% yield (cis:trans = 2:1), respectively, without the desired product 14a (entries 2 and 3). The reaction with Ph3PAuCl (10 mol%) and AgNTf2 (10 mol%) in ClCH2CH2Cl as solvent instead of toluene furnished the desired product 14a in 37% yield, along with 14% yield of the product 14′a (entry 4). The reaction in ClCH2CH2Cl with H2O (10 eq.) to accelerate the oxa-Michael addition reaction afforded the desired cis-2,6-disubstituted tetrahydropyran 14a in 56% yield (entry 5), while the reaction with H2O (10 eq.) in toluene furnished 28% yield of the tetrahydropyran 14′a without the desired cis-2,6-disubtituted tetrahydropyran 14a (entry 6). Changing the reaction solvent from toluene to 1,2-dichloroethane gave the desired cis-2,6-disubstituted tetrahydropyran 14a, probably due to the difference in water solubility of the solvents. Thus, the solubility of water (8.60 g/L, 25 °C) [25] in 1,2-dichloroethane is higher than that of toluene (515 mg/L, 20 °C) [26], which suggests that water is involved in the reaction in the dichloroethane to obtain the desired product. On the other hand, the reaction with AuBr3 (10 mol%) in 1,2-dichloroethane at reflux for 48 h gave 2,6-disubstituted tetrahydropyran 14″a in 46% yield (cis:trans = 1:1) (entry 7). Finally, the optimal reaction conditions for preparation of the desired product 14a from bis-propargylic alcohol 13a were found to be Ph3PAuCl (10 mol%) and AgNTf2 (10 mol%) in the presence of MeOH (2 eq.) and H2O (10 eq.) in ClCH2CH2Cl stirred at 50 °C.
From this result, the plausible reaction mechanism for the preparation of 2,6-disubstituted tetrahydropyran 14′a was shown in Scheme 3. It is assumed that the tetrahydropyran 14′a is formed by the Meyer–Schuster rearrangement reaction followed by the intramolecular oxa-Michael addition reaction. First, the gold (I) catalyst is coordinated to the triple bond and hydroxyl group on one side of bis-propargylic alcohol 13a, resulting in the addition of methanol to the activated triple bond by gold (I) to afford the allenyl ether C (13a→A→B→C). Then, hydrolysis of the allenyl ether C gives α,β-unsaturated ketone D, which undergoes oxa-Michael addition to furnish the tetrahydropyran 14′a (C→D→14′a). However, it was not clear whether the mechanism of formation for the desired cis-2,6-disubstituted tetrahydropyran 14a was from the tetrahydropyran 14′a or some other mechanism.
Scheme 3.
Plausible reaction mechanism for the preparation of 2,6-disubstituted tetrahydropyran 14′a.
Next, to elucidate the mechanism of formation of the desired cis-2,6-disubstituted tetrahydropyran 14a, the reaction of cis-disubstituted tetrahydropyran 14′a was performed under optimal reaction conditions (Scheme 4). Treatment of tetrahydropyran 14′a with Ph3PAuCl (10 mol%) and AgNTf2 (10 mol%) in the presence of MeOH (2 eq.) and H2O (10 eq.) in ClCH2CH2Cl at 50 °C for 1 h furnished the desired cis-2,6-disubstituted tetrahydropyran 14a in 56% yield. The yield of cis-2,6-disubstituted tetrahydropyran 14a in this reaction was exactly the same as the yield from bis-propargyl alcohol 13a (Table 1, entry 5). This result most likely indicates that the reaction proceeded from bis-propargylic alcohol 13a through the tetrahydropyran 14′a as the intermediate to cis-2,6-disubstituted tetrahydropyran 14a. (Scheme 5).
Scheme 4.
The gold-catalyzed reaction of cis-2,6-disubtituted tetrahydropyran 14′a to cis-2,6-disubstituted tetrahydropyran 14a.
Scheme 5.
The gold-catalyzed reaction of bis-propargyl alcohol 13a to cis-2,6-disubstituted tetrahydropyran 14a.
In the study, as shown in Table 1, we confirmed the termination of the reaction by the disappearance of bis-propargylic alcohol 13a. However, from the studies in the previous section (Scheme 4 and Scheme 5), it was estimated that tetrahydropyran 14′a was likely to be an intermediate in this reaction. Therefore, it was decided to change the confirmation of the end of the reaction by the disappearance of tetrahydropyran 14′a and to examine the reaction again (Table 2).
Table 2.
Re-optimization of reaction conditions in gold-catalyzed reaction for the preparation of cis-2,6-disubstituted tetrahydropyran 14a from bis-propargylic alcohol 13a.
Entries 1 and 2 in Table 2 are the results shown in Table 1, entries 4 and 5. The reaction of entry 2 (reaction time: 2 h) was extended until the disappearance of intermediate 14′a was confirmed, resulting in an extension of the reaction time to 5 h and a slightly higher yield of 61%. (entry 3). When the reaction was carried out with the reduction of the catalytic amount to 5 mol% Ph3PAuCl and 5 mol% AgNTf2, the yield of the product 14a was slightly lower, 48% (entry 4). Furthermore, when the reaction with 10 mol% Ph3PAuCl and 10 mol% AgNTf2 was conducted with reducing the amount of water to 1 eq., the tetrahydropyran 13a did not disappear even after 24 h, and the yield of the desired cis-2,6-disubstituted tetrahydropyran 14a was obtained in 41% yield (entry 5). This result indicates that additional water is essential for the reaction to proceed efficiently. On the other hand, the reaction was conducted only with the addition of water (10 eq.) without methanol, resulting in a low yield of the desired cis-2,6-disubstituted tetrahydropyran 14a (entry 6). Finally, the optimal reaction conditions for preparation of the desired cis-2,6-disubstituted tetrahydropyran 14a from bis-propargylic alcohol 13a were found to be Ph3PAuCl (10 mol%) and AgNTf2 (10 mol%) in the presence of MeOH (2 eq.) and H2O (10 eq.) in ClCH2CH2Cl stirred at 50 °C for 5 h.
Next, we examined the scope of the reaction with bis-propargylic alcohols 13 bearing other substituents of the alkyne moiety (Table 3). Treatment of bis-propargylic alcohols 13b bearing a hexyl group at the alkyne terminus with Ph3PAuCl (10 mol%) and AgNTf2 (10 mol%) in the presence of MeOH (2 eq.) and H2O (10 eq.) at 50 °C in 1,2-dichloroethane for 3.5 h afforded the corresponding cis-2,6-disubstituted tetrahydropyran 14b in 59% (entry 2). The reaction with bis-propargylic alcohol 13c having n-Hex and Ph groups as substituents at the alkyne terminus also furnished the corresponding cis-2,6-disubstituted tetrahydropyran 14c in 61% yield (entry 3).
Table 3.
The scope of the gold-catalyzed reaction for preparation of cis-2,6-disubstituted tetrahydropyrans 14a–c bearing dicarbonylmethyl group from propargylic alcohols 13a–c.
Next, the transformation of the triple bond in tetrahydropyran 14 to the carbonylmethyl group via hydration reaction was investigated. Treatment of tetrahydropyran 14″a with Ph3PAuCl (10 mol%) and AgNTf2 (10 mol%) in the presence of MeOH (2 eq.) and H2O (10 eq.) at 50 °C in 1,2-dichloroethane for 1 h afforded cis-2,6-disubstitued tetrahydropyran 14a in a 23% yield (Scheme 6).
Scheme 6.
Gold-catalyzed reaction of 2,6-disubtituted tetrahydropyran 14″a to cis-2,6-disubstituted terahydropyran 14a.
If the hydration reaction occurred without the ring-opening reaction of the tetrahydropyran ring, the product, tetrahydropyran 14a, should be a mixture of cis- and trans-forms. In practice, however, only cis-2,6-disubstituted tetrahydropyran 14a was obtained as a product in the reaction, so it is assumed that the ring-opening reaction occurred during the hydration reaction.
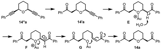
The plausible reaction mechanism for the preparation of the cis-2,6-disubstituted tetrahydropyran 14a from tetrahydropyran 14″a is shown in Scheme 7. First, the first hydration reaction occurs at one triple bond in tetrahydropyran 14″a, forming the mixture of cis- and trans-2,6-disubstituted tetrahydropyran 14′a bearing a carbonylmethyl group (14″a→14′a). Next, the second hydration reaction occurs at the other triple bond in tetrahydropyran 14′a to form the mixture of cis- and trans-2,6-disubstituted tetrahydropyran 14a. Then, the coordination of the gold catalyst with the oxygen atom of tetrahydropyran 14a (E) and the water-induced elimination of α-hydrogen result in a ring-opening reaction by reverse oxa-Michael addition (F→G) and a ring-closing reaction by oxa-Michael addition (G→14a), ultimately yielding stable cis-2,6-disubstituted tetrahydropyran 14a.
Scheme 7.
Plausible reaction mechanism for the preparation of cis-2,6-disubstituted tetrahydropyran 14a from 2,6-disubstituted tetrahydropyran 14″a.
Deuteration experiments were conducted to understand the reaction mechanism. Treatment of bis-propargylic alcohol 13a with Ph3PAuCl (10 mol%) and AgNTf2 (10 mol%) in the presence of CD3OD (2 eq.) and D2O (10 eq.) at 50 °C in 1,2-dichloroethane for 1 h afforded the desired 2,6-cis-disubstituted tetrahydropyran D-14a, showing that the methylene groups at 2,6-positions were both 75% deuterated in the 1H NMR spectrum (Scheme 8).
Scheme 8.
Deuteration experiments of bis-propargylic alcohol 13a.
Next, deuteration experiments were performed on cis-2,6-disubstituted tetrahydropyran 14a. Treatment of the tetrahydropyran 14a with Ph3PAuCl (10 mol%) and AgNTf2 (10 mol%) in the presence of CD3OD (2 eq.) and D2O (10 eq.) at 50 °C for 1 h in 1,2-dichloroethane afforded the tetrahydropyran D-14a, showing that the methylene groups at 2,6-positions were both 50% deuterated in the 1H NMR spectrum (Scheme 9). Although the result of this deuteration experiment indicates that deuteration also occurs after the formation of tetrahydropyran 14a, the deuteration rate is higher in the reaction from bis-propargyl alcohol 13a (Scheme 8) than in the reaction from tetrahydropyran 14a (Scheme 9), which suggests that MeOH and H2O are involved in the formation of tetrahydropyran 14a from bis-propargyl alcohol 13a.
Scheme 9.
Deuteration experiments of cis-2,6-disubstituted tetrahydropyran 14a.
The plausible reaction mechanism for the preparation of cis-2,6-disubstituted tetrahydropyran 14a from bis-propargyl alcohol 13a is shown in Scheme 10. First, the coordination of the gold (I) catalyst to the triple bond and hydroxyl group of bis-propargylic alcohol 13a results in a nucleophilic attack by MeOH on the activated triple bond to form vinyl gold species A (13a→A). Next, the carbon-gold bond in vinyl gold species A is cleaved with the elimination of water, forming the allene intermediate C (A→B→C). Subsequently, the addition of water transforms the allene intermediate C to α,β-enone D, completing the Meyer–Schuster rearrangement reaction (C→D). Furthermore, the gold catalyst coordinates with the carbonyl oxygen to enhance the reactivity of α,β-enone, resulting in the intramolecular oxa-Michael addition reaction to afford intermediate 14′a (D→14′a). Then, the gold (I) catalyst coordinates with the other triple bond and the oxygen atom of tetrahydropyran 14′a to bring about the hydration reaction, giving the mixture of cis- and trans-2,6-disubstituted tetrahydropyran 14a (H→I→E). The reaction mechanism for the formation of cis-2,6-disubstituted tetrahydropyran 14a from the mixture of cis- and trans-2,6-disubstituted tetrahydropyran is described in Scheme 7.
Scheme 10.
Plausible reaction mechanism for the preparation of cis-2,6-disubstituted tetrahydropyran 14a from bis-propargylic alcohol 13a.
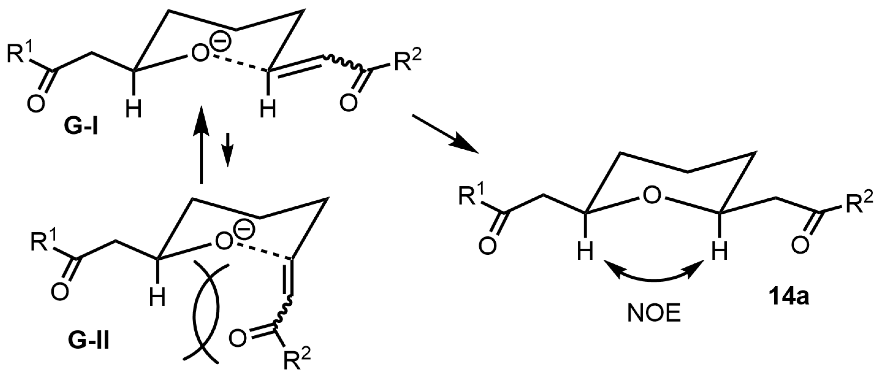
The stereochemistry of cis-2,6-disubstituted tetrahydropyran 14c was confirmed by NOE measurements (Figure 2). The stereochemical outcome of the reaction can be explained based on transition-state structures G-I and G-II (Figure 2). During the equilibration between the reverse oxa-Michael addition and oxa-Michael addition (Scheme 10), the bulky substituent (α,β-enone) occupies a pseudo-equatorial position to avoid 1,3-diaxial interactions (G-II). As the α,β-enone group is bulkier than hydrogen, it tends to take a pseudo-equatorial position (G-I) rather than a pseudoaxial position (G-II) to avoid 1,3-diaxial interaction, resulting in stereoselective synthesis of cis-2,6-disubstituted tetrahydropyran 14 [13,27].
Figure 2.
Description of the stereochemical results in the gold-catalyzed stereoselective synthesis of cis-2,6-disubstituted tetrahydropyrans 14 from bis-propargylic alcohols 13.
3. Materials and Methods
3.1. General Information
1H and 13C NMR spectra were recorded with a JEOL JNM-AL300 (Japan Electron Optics Laboratory Co., Ltd., Tokyo, Japan) or BRUKER AV-300 spectrometer (Bruker, Billerica, MA, USA) at room temperature, with tetramethylsilane as an internal standard (CDCl3 solution). Chemical shifts were recorded in ppm and coupling constants (J) in Hz. Infrared (IR) spectra were recorded with a Shimadzu FTIR-8200A spectrometer (Shimadzu Corporation, Kyoto, Japan). Mass spectra were recorded on JEOL JMS-700 spectrometers (Japan Electron Optics Laboratory Co., Ltd., Tokyo, Japan). Merck silica gel 60 (1.09385) (Merck, Darmstadt, Germany) and Merck silica gel 60 F254 (Merck, Darmstadt, Germany) were used for column chromatography and thin-layer chromatography (TLC), respectively.
1,9-Diphenylnona-1,8-diyne-3,7-diol (13a): Colorless oil, IR (KBr) 3319, 3055, 2947, 2864, 2228, 1599, 1489, 1443, 1026, 756, 691 cm−1; 1H-NMR (300 MHz, CDCl3) δ 7.42–7.40 (4H, m), 7.31–7.26 (6H m), 4.65 (2H, t, J = 6.0 Hz), 2.07 (2H, br s), 1.90–1.79 (6H, m); 13C-NMR (75 MHz, CDCl3) δ 131.7, 128.4, 128.3, 122.5, 89.8, 85.1, 62.8, 37.3, 21.0; HRMS (EI) m/z calcd for C21H20O2 [M]+ 304.1463, found 304.1452.
Henicosa-7,14-diyne-9,13-diol (13b): Colorless oil, IR (KBr) 3362, 2928, 2856, 2233, 1464, 1082, 1022 cm−1; 1H-NMR (300 MHz, CDCl3) δ 4.37 (4H, br s), 2.20 (2H, td, J = 7.1, 1.8 Hz), 1.74–1.68 (3H, m), 1.65–1.59 (5H, m), 1.53–1.48 (3H, m), 1.40–1.27 (13H, m), 0.89 (6H, t, J = 6.6 Hz); 13C-NMR (75 MHz, CDCl3) δ 85.6, 81.1, 62.4, 37.7, 31.3, 28.6, 28.5, 22.5, 21.0, 18.6, 14.0; HRMS (FAB) m/z calcd for C21H37O2 [M + H]+ 321.2794, found 321.2740.
1-Phenylpentadeca-1,8-diyne-3,7-diol (13c): Colorless oil, IR (KBr) 3354, 3082, 2932, 2860, 2233, 1599, 1490, 1026 cm−1; 1H-NMR (300 MHz, CDCl3) δ 7.45–7.41 (2H, m), 7.32–7.26 (3H, m), 4.62 (1H, t, J = 6.0 Hz), 4.40–4.38 (1H, m), 2.19 (2H, td, J = 7.0, 0.9 Hz), 2.07 (1H, br s), 1.88–1.82 (3H, m), 1.79–1.69 (4H, m), 1.53–1.44 (2H, m), 1.38–1.27 (6H, m), 0.88 (3H, t, J = 7.5 Hz); 13C-NMR (75 MHz, CDCl3) δ 131.6, 128.23, 128.16, 122.6, 90.0, 85.6, 84.8, 81.0, 62.6, 62.4, 37.5, 37.3, 31.2, 28.6, 28.5, 22.4, 20.9, 18.6, 14.0; HRMS (EI) m/z calcd for C21H28O2 [M]+ 312.2089, found 312.2076.
3.2. Synthetic Procedure of 2,6-Disubstituted Tetrahydropyran 14′a from Bis-Propargylic Alcohol 13a
MeOH (13 μL, 0.33 mmol, 2 eq.), Ph3PAuCl (8.1 mg, 0.016 mmol, 10 mol%) and AgNTf2 (6.4 mg, 0.016 mmol, 10 mol%) were added to a solution of bis-propargylic alcohol 13a (50 mg, 0.16 mmol) in toluene (5 mL) at room temperature, and the mixture was stirred at reflux for 3.5 h. The solvent was removed in vacuo and the crude product was subjected to SiO2 column chromatography (hexane:CH2Cl2 = 2:1) to give the mixture of 2,6-disubstituted tetrahydropyran cis-14′a (17 mg, 34%) and trans-14a′ (20 mg, 40%).
Phenyl-2-[(2R*,6S*)-6-(phenylethynyl)tetrahydro-2H-pyran-2-yl]ethan-1-one (cis-14′a). Colorless oil (hexane:CH2Cl2 = 2:1), IR (KBr) 3059, 2926, 2855, 2230, 1684, 1597, 1491, 1448, 1047 cm−1; 1H-NMR (300 MHz, CDCl3) δ 7.97 (2H, d, J = 7.2 Hz), 7.57 (1H, t, J = 7.4 Hz), 7.49–7.42 (4H, m), 7.30–7.27 (3H, m), 4.43 (1H, dd, J = 11.0, 2.1 Hz), 4.13–4.06 (1H, m), 3.45 (1H, dd, J = 16.8, 5.1 Hz), 3.07 (1H, dd, J = 16.8, 7.2 Hz), 1.96–1.75 (4H, m), 1.42–1.29 (2H, m); 13C-NMR (75 MHz, CDCl3) δ 137.1, 133.2, 131.9, 128.6, 128.3, 128.2, 128.1, 122.6, 88.4, 84.4, 74.6, 68.9, 45.3, 32.5, 30.9, 23.2; HRMS (FAB) m/z calcd for C21H21O2 [M + H]+ 305.1542, found 305.1538.
1-Phenyl-2-[(2R*,6R*)-6-(phenylethynyl)tetrahydro-2H-pyran-2-yl]ethan-1-one (trans-14′a). Colorless oil (hexane:CH2Cl2 = 2:1), IR (KBr) 3061, 2926, 2853, 1686, 1597, 1489, 1448, 1038 cm−1; 1H-NMR (300 MHz, CDCl3) δ 7.97 (2H, d, J = 7.5 Hz), 7.56 (1H, t, J = 7.5 Hz), 7.48–7.41 (4H, m), 7.31–7.29 (3H, m), 4.96 (1H, d, J = 4.2 Hz), 4.67–4.59 (1H, m), 3.28 (1H, dd, J = 15.6, 6.0 Hz), 3.03 (1H, dd, J = 15.6, 6.6 Hz), 2.02 (1H, tt, J = 12.4, 3.6 Hz), 1.88–1.75 (4H, m), 1.43–1.30 (2H, m); 13C-NMR (75 MHz, CDCl3) δ 198.1, 137.2, 133.0, 131.8, 128.5, 128.2, 122.8, 87.4, 86.8, 68.8, 65.9, 45,4, 31.6, 30.4, 29.7, 19.4; HRMS (FAB) m/z calcd for C21H21O2 [M + H]+ 305.1542, found 305.1536.
3.3. General Procedure for Gold-Catalyzed Synthesis of 2,6-Disubstituted Tetrahydropyrans 14a from Bis-Propargylic Alcohols 13
Ph3PAuCl (10 mol%) and AgNTf2 (10 mol%) were added to a solution of bis-propargylic alcohol 13, MeOH (2 eq.) and H2O (10 eq.) in ClCH2CH2Cl at room temperature, and the mixture was stirred at 50 °C. After complete consumption of 2,6-disubstituted tetrahydropyran 14′ (the reaction was monitored by thin layer chromatography; usually within 5 h), the solvent was removed in vacuo and the crude product was subjected to SiO2 column chromatography (eluents = hexane:CH2Cl2) to give cis-2,6-disubstituted tetrahydropyran 14.
2,2’-[(2R*,6S*)-Tetrahydro-2H-pyran-2,6-diyl]bis(1-phenylethan-1-one) (cis-14a). Bis-propargylic alcohol 13a (30 mg, 0.099 mmol), MeOH (8.0 μL, 0.20 mmol, 2 eq.), H2O (18 μL, 0.99 mmol, 10 eq.), Ph3PAuCl (4.9 mg, 0.0099 mmol, 10 mol%) and AgNTf2 (3.9 mg, 0.0099 mmol, 10 mol%) in ClCH2CH2Cl (5 mL) furnished cis-14a (20 mg, 61%) as a colorless oil (hexane:CH2Cl2 = 6:1).
IR (KBr) 3063, 2926, 2855, 1684, 1597, 1510, 1448, 1063 cm−1; 1H-NMR (300 MHz, CDCl3) δ 7.92–7.89 (4H, m), 7.53 (2H, tt, J = 7.2, 1.5 Hz), 7.45–7.39 (4H, m), 4.05–3.97 (2H, m), 3.24 (2H, dd, J = 15.9, 6.3 Hz), 2.94 (2H, dd, J = 15.9, 6.6 Hz), 1.86–1.74 (2H, m), 1.68–1.57 (2H, m), 1.35–1.27 (2H, m); 13C-NMR (75 MHz, CDCl3) δ 198.3, 137.3, 133.0, 128.5, 128.2, 74.7, 45.4, 31.4, 23.3; HRMS (EI) m/z calcd for C21H22O3 [M]+ 304.1569, found 322.1570.
The 1H-NMR and 13C-NMR data are identical with reported values [13].
1,1’-[(2R*,6S*)-Tetrahydro-2H-pyran-2,6-diyl]bis(octan-2-one) (cis-14b). Bis-propargylic alcohol 13b (30 mg, 0.094 mmol), MeOH (7.6 μL, 0.19 mmol, 2 eq.), H2O (17 μL, 0.94 mmol, 10 eq.), Ph3PAuCl (4.6 mg, 0.0094 mmol, 10 mol%) and AgNTf2 (3.6 mg, 0.0094 mmol, 10 mol%) in ClCH2CH2Cl (5 mL) furnished cis-14b (19 mg, 59%) as a colorless oil (hexane:CH2Cl2 = 3:1) as a colorless oil.
IR (KBr) 2930, 2858, 1715, 1373, 1080 cm−1; 1H-NMR (300 MHz, CDCl3) δ 3.84–3.76 (2H, m), 2.59 (2H, dd, J = 15.2, 8.1 Hz), 2.43–2.33 (6H, m), 1.84–1.79 (1H, m), 1.68–1.50 (8H, m), 1.27–1.15 (13H, m), 0.88 (6H, t, J = 6.6 Hz); 13C-NMR (75 MHz, CDCl3) δ 209.5, 74.4, 49.4, 43.6, 31.6, 31.1, 28.8, 23.5, 23.2, 22.5, 14.0; HRMS (EI) m/z calcd for C21H38O3 [M]+ 338.2821, found 338.2812.
1-[(2R*,6S*)-6-(2-Oxo-2-phenylethyl)tetrahydro-2H-pyran-2-yl]octan-2-one (cis-14c). Bis-propargylic alcohol 13c (30 mg, 0.096 mmol), MeOH (7.8 μL, 0.19 mmol, 2 eq.), H2O (18 μL, 0.94 mmol, 10 eq.), Ph3PAuCl (4.8 mg, 0.0096 mmol, 10 mol%) and AgNTf2 (3.8 mg, 0.0096 mmol, 10 mol%) in ClCH2CH2Cl (5 mL) furnished cis-14c (19 mg, 59%) as a colorless oil (hexane:CH2Cl2 = 2:1) as a colorless oil.
IR (KBr) 3069, 2932, 2860, 1713, 1686, 1597, 1491, 1448 cm−1; 1H-NMR (300 MHz, CDCl3) δ 7.97–7.92 (2H, m), 7.56 (1H, tt, J = 7.5, 1.5 Hz), 7.49–7.42 (2H, m), 4.04–3.94 (1H, m), 3.86–3.77 (1H, m), 3.26 (1H, dd, J = 15.6, 6.6 Hz), 2.89 (1H, dd, J = 15.6, 6.0 Hz), 2.58 (1H, dd, J = 15.3, 7.8 Hz), 2.40–2.30 (3H, m), 1.89–1.60 (4H, m), 1,51–1.40 (2H, m), 1.29–1.18 (8H, m), 0.86 (3H, t, J = 6.6 Hz); 13C-NMR (75 MHz, CDCl3) δ 209.7, 198.4, 137.3, 133.0, 128.5, 128.2, 74.7, 74.6, 49.5, 45.2, 43.5, 31.6, 31.2, 28.8, 23.4, 23.2, 22.5, 14.0; HRMS (EI) m/z calcd for C21H30O3 [M]+ 330.2195, found 330.2202.
3.4. Synthetic Procedure of 2,6-Disubstituted Tetrahydropyran 14″a from Bis-Propargylic Alcohols 13a
AuBr3 (4.3 mg, 0.00099 mmol, 10 mol%) were added to a solution of bis-propargylic alcohol 13a (30 mg, 0.099 mmol) in ClCH2CH2Cl (5 mL) at room temperature, and the mixture was stirred at reflux for 48 h. The solvent was removed in vacuo and the crude product was subjected to SiO2 column chromatography (hexane:CH2Cl2) to give the mixture of 2,6-disubstituted tetrahydropyran cis-14″a (7.4 mg, 26% yield) and trans-14″a (5.6 mg, 20% yield).
(2R*,6S*)-2,6-Bis(phenylethynyl)tetrahydro-2H-pyran (cis-14″a). Colorless oil (hexane:CH2Cl2 = 5:2), IR (KBr) 3080, 2947, 2922, 2850, 2360, 1599, 1491, 1379, 1072 cm−1; 1H-NMR (300 MHz, CDCl3) δ 7.46–7.42 (4H, m), 7.32–7.28 (6H, m), 4.43 (2H, dd, J = 10.8, 2.4 Hz), 2.00–1.91 (3H, m), 1.87–1.78 (2H, m), 1.72–1.61 (1H, m); 13C-NMR (75 MHz, CDCl3) δ 131.8, 128.4, 128.2, 122.6, 87.8, 84.9, 68.9, 32.0, 29.7, 23.3; HRMS (EI) m/z calcd for C21H18O [M]+ 286.1358, found 286.1361.
(2R*,6R*)-2,6-Bis(phenylethynyl)tetrahydro-2H-pyran (trans-14′a). Colorless oil (hexane:CH2Cl2 = 2:1), IR (NaCl) 3055, 2924, 2851, 2359, 2235, 1599, 1491, 1194, 1026 cm−1; 1H-NMR (300 MHz, CDCl3) δ 7.49–7.45 (4H, m), 7.33–7.30 (6H, m), 5.05–5.01 (2H, m), 2.00–1.90 (4H, m), 1.84–1.77 (2H, m); 13C-NMR (75 MHz, CDCl3) δ 131.8, 128.4, 128.2, 122.6, 87.5, 86.0, 64.6, 31.2, 29.7, 19.3; HRMS (EI) m/z calcd for C21H18O [M]+ 286.1358, found 286.1360.
4. Conclusions
In conclusion, we present a gold-catalyzed Meyer–Schuster rearrangement/hydration/oxa-Michael addition for the synthesis of cis-2,6-disubstituted tetrahydropyrans 14 from bis-propargylic alcohols 13. We are currently applying this method to the synthesis of biologically active tetrahydropyran derivatives. Experimental and theoretical investigations on the reaction mechanism are also in progress.
Supplementary Materials
The following supporting information can be downloaded at: https://www.mdpi.com/article/10.3390/catal14040228/s1, 1H, 13C-NMR spectrum.
Author Contributions
Conceptualization, N.M.; methodology, N.M.; validation, N.M.; formal analysis, D.Y.; investigation, D.Y.; data curation, N.M.; writing—original draft preparation, N.M.; writing—review and editing, Y.H. and O.T.; supervision, N.M.; project administration, N.M. All authors have read and agreed to the published version of the manuscript.
Funding
This work was financially supported by the Research Foundation for Pharmaceutical Sciences for N.M.
Data Availability Statement
Data are contained within the article and Supplementary Materials.
Conflicts of Interest
The authors declare no conflicts of interests.
References
- Yasumoto, T.; Murata, M. Marine Toxins. Chem. Rev. 1993, 93, 1897–1909. [Google Scholar] [CrossRef]
- Yeung, K.-S.; Paterson, I. Advances in the Total Synthesis of Biologically Important Marine Macrolides. Chem. Rev. 2005, 105, 4237–4313. [Google Scholar] [CrossRef] [PubMed]
- Lu, S.; Sun, P.; Li, T.; Kurtan, T.; Mandi, A.; Antus, S.; Krohn, K.; Draeger, S.; Schulz, B.; Yi, Y.; et al. Bioactive Nonanolide Derivatives Isolated from the Endophytic Fungus Cytospora sp. J. Org. Chem. 2011, 76, 9699–9710. [Google Scholar] [CrossRef] [PubMed]
- Zeng, J.; Tan, Y.J.; Ma, J.; Leow, M.L.; Tirtorahardjo, D.; Liu, X.-W. Facile Access to cis-2,6-Disubstituted Tetrahydropyrans by Palladium-catalyzed Decarboxylative Allylation: Total Syntheses of Centrolobine and (+)-Decytospolides A and B. Chem. Eur. J. 2014, 20, 405–409. [Google Scholar] [CrossRef]
- Kito, K.; Ookura, R.; Yoshida, S.; Namikoshi, M.; Ooi, T.; Kusumi, T. New Cytotoxic 14-Membered Macrolides from Marine-Derived Fungus Aspergillus ostianus. Org. Lett. 2008, 10, 225–228. [Google Scholar] [CrossRef] [PubMed]
- Kammari, R.B.; Bejjanki, K.N.; Kommu, N. Total Synthesis of Decytospolides A, B and a Formal Synthesis of Aspergillide A Starting from D-Mannitol via Tandem/Domino Reactions by Grubb’s Catalysts. Tetrahedron Asymmetry 2015, 26, 296–303. [Google Scholar] [CrossRef]
- Searle, P.A.; Molinski, T.F. Phorboxazoles A and B: Potent Cytostatic Macrolides from Marine Sponge Phorbas sp. J. Am. Chem. Soc. 1995, 117, 8126–8131. [Google Scholar] [CrossRef]
- Martin, T.; Padron, J.I.; Martin, V.S. Staregies for the Synthesis of Cylcic Ethers of Marine Natural Products. Synlett 2014, 25, 12–32. [Google Scholar] [CrossRef]
- Oliver, C.; Kaafarani, M.; Gastaldi, S.; Bertrand, M.P. Synthesis of Tetrahydropyrans and Related Heterocycles via Prins Cyclization; Extension to Aza-Prins Cyclization. Tetrahedron 2010, 66, 413–445. [Google Scholar] [CrossRef]
- Larrosa, I.; Romea, P.; Urpí, F. Synthesis of Six-membered Oxygenated Heterocycles through Carbon-oxygen Bond-forming Reactions. Tetrahedron 2008, 64, 2683–2723. [Google Scholar] [CrossRef]
- Smith, A.B., III; Fox, R.J.; Razler, T.M. Evolution of the Petasis–Ferrier Union/Rearrangement Tactic: Construction of Architecturally Complex Natural Products Possessing the Ubiquitous cis-2,6-Substituted Tetrahydropyran Structural Element. Acc. Chem. Res. 2008, 41, 675–687. [Google Scholar] [CrossRef] [PubMed]
- Clarke, P.A.; Santos, S. Strategies for the Formation of Tetrahydropyran Rings in the Synthesis of Natural Products. Eur. J. Org. Chem. 2006, 2006, 2045–2053. [Google Scholar] [CrossRef]
- Gharpure, S.J.; Prasad, J.V.K.; Bera, K. Tandem Nucleophilic Addition/Oxa-Michael Reaction for the Synthesis of cis-2,6-Disubstituted Tetrahydropyrans. Eur. J. Org. Chem. 2014, 2014, 3570–3574. [Google Scholar] [CrossRef]
- Chaladaj, W.; Kowalczyk, R.; Jurczak, J. Enantioselective Construction of cis-2,6-Disubstituted Dihydropyrans: Total Synthesis of (-)-Centrolobine. J. Org. Chem. 2010, 75, 1740–1743. [Google Scholar] [CrossRef] [PubMed]
- Rychnovsky, S.D.; Thomas, C.R. Synthesis of the C22–C26 Tetrahydropyran Segment Phorboxazole by a Stereoselective Prins Cyclization. Org. Lett. 2000, 9, 1217–1219. [Google Scholar] [CrossRef] [PubMed]
- Morita, N.; Yasuda, A.; Shibata, M.; Ban, S.; Hashimoto, Y.; Okamoto, I.; Tamura, O. Gold(I)/(III)-Catalyzed Synthesis of Cyclic Ethers; Vallency-Controlled Cyclization Modes. Org. Lett. 2015, 17, 2668–2671. [Google Scholar] [CrossRef] [PubMed]
- Morita, N.; Tsunokake, T.; Narikiyo, Y.; Harada, M.; Tachibana, T.; Saito, Y.; Ban, S.; Hashimoto, Y.; Okamoto, I.; Tamura, O. Gold(I)/(III)-Catalyzed Synthesis of 2-Substituted Piperidines; Vallency-Controlled Cyclization Modes. Tetrahedron Lett. 2015, 56, 6269–6272. [Google Scholar] [CrossRef]
- Morita, N.; Saito, Y.; Muraji, A.; Ban, S.; Hashimoto, Y.; Okamoto, I.; Tamura, O. Gold-Catalyzed Synthesis of 2-Substituted Azepanes; Strategic Use of Soft Gold(I) and Hard Gold(III) Catalysts. Synlett 2016, 27, 1936–1940. [Google Scholar] [CrossRef]
- Cadierno, V.; Crochet, P.; Garcia-Garrido, S.E.; Gimeno, J. Metal-catalyzed Transformation of Propargylic Alcohols into α,β-Unsaturated Carbonyl Compounds: From the Meyer–Schuster and Rupe Rearrangement to Redox Isomerization. Dalton Trans. 2010, 39, 4015–4031. [Google Scholar] [CrossRef]
- Engle, D.A.; Dudley, G.B. The Meyer–Schuster Rearrangement for the Synthesis of α,β-unsaturated carbonyl compounds. Org. Biomol. Chem. 2009, 7, 4149–4158. [Google Scholar] [CrossRef]
- Wohland, M.; Maier, M.E. 2,6-Disubstituted Tetrahydropyrans by Domino Meyer–Schuster Rearranegement-Hetero-Michael Addition of 6-Alkyne-1,5-diols. Synlett 2011, 2011, 1523–1526. [Google Scholar]
- Schwehm, C.; Wohland, M.; Maier, M.E. Tetrahydrofurans from Substituted Hex-5-yne-1,4-diols. Synlett 2010, 2010, 1789–1792. [Google Scholar]
- Liang, Q.; Qian, M.; Razzak, M.; De Brabander, J.K. Platinum-catalyzed Synthesis of β-Keto Tetrahydropyrans and Cyclic Dienolethers. Chem. Asian J. 2011, 6, 1958–1960. [Google Scholar] [CrossRef] [PubMed]
- Jung, H.H.; Floreancig, P.E. Gold-Catalyzed Heterocycle Synthesis Using Homopropargylic Ethers as Latent Electrophiles. Org. Lett. 2006, 8, 1949–1951. [Google Scholar] [CrossRef] [PubMed]
- Horvath, A.; Getzen, F.W.; Maczynska, Z. IUPAC-NIST Solubility Data Series 67. Halogenated Ethanes and Ethenes with Water. J. Phys. Chem. Ref. Data 1999, 128, 395–623. [Google Scholar] [CrossRef]
- Handbook of Environmental Data on Organic Chemicals, 2nd ed.; Van Nostrand Reinhold Co.: New York, NY, USA, 1983.
- Xie, Y.; Floreancig, P.E. Cascade Approach to Stereoselective Polycyclic Ether Formation: Epoxides as Trapping Agents in the Transposition of Allylic Alcohols. Angew. Chem. Int. Ed. 2013, 52, 625–628. [Google Scholar] [CrossRef]
Disclaimer/Publisher’s Note: The statements, opinions and data contained in all publications are solely those of the individual author(s) and contributor(s) and not of MDPI and/or the editor(s). MDPI and/or the editor(s) disclaim responsibility for any injury to people or property resulting from any ideas, methods, instructions or products referred to in the content. |
© 2024 by the authors. Licensee MDPI, Basel, Switzerland. This article is an open access article distributed under the terms and conditions of the Creative Commons Attribution (CC BY) license (https://creativecommons.org/licenses/by/4.0/).


