Excellent Photoelectro-Catalytic Performance of In2S3/NiFe-LDH Prepared by a Two-Step Method
Abstract
1. Introduction
2. Results and Discussion
2.1. XRD Structural Characterization
2.2. SEM and TEM Morphology Characterization
2.3. XPS Characterization
2.4. UV–Vis Absorption Spectra
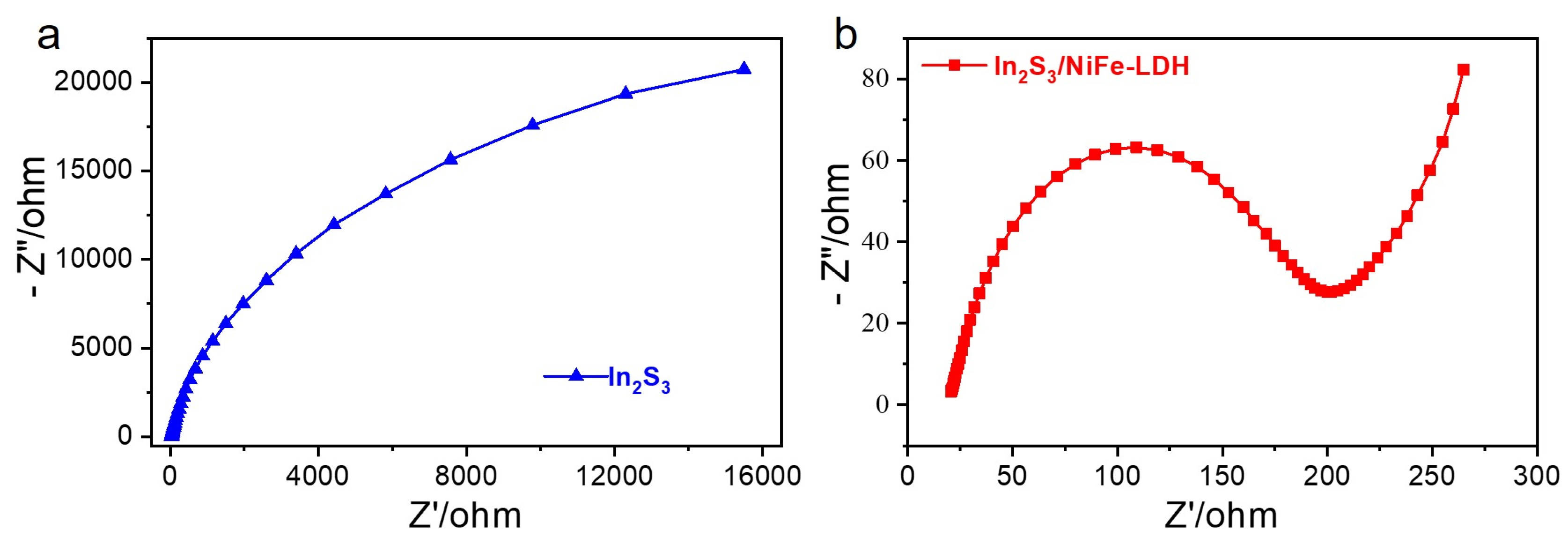
2.5. Photoelectrochemical (PEC) Performance
2.6. Photodegradation of Xylose
3. Materials and Methods
3.1. Materials
3.2. Synthesis of In2S3 Electrodes Film
3.3. Coating of NiFe-LDH Film on In2S3 Electrodes
3.4. Characterization
3.5. Photoelectrochemical Measurements
3.6. Photoelectrocatalytic Oxidation of Xylose
4. Conclusions
Author Contributions
Funding
Data Availability Statement
Acknowledgments
Conflicts of Interest
References
- Guan, R.Q.; Cheng, X.Y.; Che, W.L.; Chen, Y.N.; Wu, Z.K.; Shang, Q.K. Synergistic Regulation of Hydrophobicity and Carrier Transport Based on Bipyridine Derivatives to Enhance the Photocatalytic Performance of Defective TiO2 for Ammonia Synthesis. ACS Sustain. Chem. Eng. 2024, 12, 4587–4597. [Google Scholar] [CrossRef]
- Nozik, A.J. Photoelectrochemistry: Applications to solar energy conversion. Ann. Rev. Phys. Chem. 1978, 29, 189–222. [Google Scholar] [CrossRef]
- Bard, A.J. Photoelectrochemistry and heterogeneous photo-catalysis at semiconductors. J. Photochem. 1979, 10, 59–75. [Google Scholar] [CrossRef]
- Gerischer, H. Solar photoelectrolysis with semiconductor electrodes. In Solar Energy Conversion; Springer: Berlin/Heidelberg, Germany, 1979; pp. 115–172. [Google Scholar]
- Murphy, A.B.; Barnes, P.R.F.; Randeniya, L.K.; Plumb, I.C.; Grey, I.E.; Horne, M.D.; Glasscock, J.A. Efficiency in solar water splitting using semiconductor electrodes. Int. J. Hydrogen Energy 2006, 31, 1999–2017. [Google Scholar] [CrossRef]
- Tomkiewicz, M.; Fay, H. Photoelectrolysis of water with semiconductors. Appl. Phys. 1979, 18, 1–28. [Google Scholar] [CrossRef]
- Siripala, W.; Ivanovskaya, A.; Jaramillo, T.F.; Baeck, S.H.; Mcfarland, E.W. A Cu2O/TiO2 heterojunction thin film cathode for photoelectrocatalysis. Sol. Energy Mater. Sol. Cells 2003, 77, 229–237. [Google Scholar] [CrossRef]
- Guo, Q.; Zhou, C.; Ma, Z.; Ren, Z.; Fan, H.; Yang, X. Elementary photocatalytic chemistry on TiO2 surfaces. Chem. Soc. Rev. 2016, 45, 3701–3730. [Google Scholar] [CrossRef] [PubMed]
- Schneider, J.; Matsuoka, M.; Takeuchi, M.; Zhang, J.L.; Horiuchi, Y.; Anpo, M.; Bahnemann, D.W. Understanding TiO2 photocatalysis: Mechanisms and materials. Chem. Rev. 2014, 114, 9919–9986. [Google Scholar] [CrossRef] [PubMed]
- Chang, S.J.; Yang, X.Q.; Sang, Y.; Liu, H. Highly efficient photocatalysts and continuous-flow photocatalytic reactors for degradation of organic pollutants in wastewater. Chem. Asian J. 2016, 11, 2352–2371. [Google Scholar] [CrossRef] [PubMed]
- Fernandez-Domene, R.M.; Lucas-Granados, B.; Garcia-Zamora, C.S.; Garcia-Anton, J. Customized WO3 nanoplatelets as visible-light photoelectrocatalyst for the degradation of a recalcitrant model organic compound (methyl orange). J. Photochem. Photobiol. A Chem. 2018, 356, 46–56. [Google Scholar] [CrossRef]
- Mehtab, A.; Ingole, P.; Ahmed, J.; Mao, Y.B.; Ahmad, T. Unraveling Quantum Mysteries: Probing the Interplay of CdS Quantum Dots and g-C3N4 Nanosheets for Enhanced Photo/Electrocatalytic Hydrogen Evolution. J. Phys. Chem. C 2024, 128, 85–94. [Google Scholar] [CrossRef]
- Hidaka, H.; Shimura, T.; Ajisaka, K.; Horikoshi, S.; Zhao, J.C.; Serpone, N. Photoelectrochemical decomposition of amino acids on a TiO2/OTE particulate film electrode. J. Photochem. Photobiol. A Chem. 1997, 109, 165–170. [Google Scholar] [CrossRef]
- Rodriguez, J.; Gómez, M.; Lindquist, S.E.; Granqvist, C.G. Photo-electrocatalytic degradation of 4-chlorophenol over sputter deposited Ti oxide films. Thin Solid Films 2000, 360, 250–255. [Google Scholar] [CrossRef]
- Sang, Y.H.; Zhao, Z.H.; Zhao, M.W.; Hao, P.; Leng, Y.H.; Liu, H. From UV to near-infrared, WS2 nanosheet: A novel photocatalyst for full solar light spectrum photodegradation. Adv. Mater. 2014, 27, 363–369. [Google Scholar] [CrossRef] [PubMed]
- Tian, J.; Leng, Y.H.; Zhao, Z.H.; Xia, Y.; Sang, Y.H.; Hao, P.; Zhan, J.; Li, M.C.; Liu, H. Carbon quantum dots/hydrogenated TiO2 nanobelt heterostructures and their broad spectrum photocatalytic properties under UV, visible, and near-infrared irradiation. Nano Energy 2015, 11, 419–427. [Google Scholar] [CrossRef]
- Mclaren, A.; Valdes-Solis, T.; Li, G.Q.; Tsang, S.C. Shape and size effects of ZnO nanocrystals on photocatalytic activity. J. Am. Chem. Soc. 2009, 131, 12540–12541. [Google Scholar] [CrossRef] [PubMed]
- Xi, G.C.; Ye, J.H.; Ma, Q.; Su, N.; Bai, H.; Wang, C. In situ growth of metal particles on 3D urchin-like WO3 nanostructures. J. Am. Chem. Soc. 2012, 134, 6508–6511. [Google Scholar] [CrossRef] [PubMed]
- Chen, J.Z.; Wu, X.J.; Yin, L.S.; Li, B.; Hong, X.; Fan, Z.X.; Chen, B.; Xue, C.; Zhang, H. One-pot synthesis of CdS nanocrystals hybridized with single-layer transition-metal dichalcogenide nanosheets for efficient photocatalytic hydrogen evolution. Angew. Chem. Int. Ed. 2015, 127, 1226–1230. [Google Scholar] [CrossRef]
- Bhira, L.; Essaidi, H.; Belgacem, S.; Couturier, G.; Salardenne, J.; Barreaux, N.; Bernede, J.C. Structural and photoelectrical properties of sprayed β-In2S3 thin films. Phys. Status Solidi 2000, 181, 427–436. [Google Scholar] [CrossRef]
- Nah, Y.C.; Paramasivam, I.; Hahn, R.; Shrestha, N.K.; Schmuki, P. Nitrogen doping of nanoporous WO3 layers by NH3 treatment for increased visible light photoresponse. Nanotechnology 2010, 21, 105704. [Google Scholar] [CrossRef]
- Liu, Y.; Li, J.; Li, W.Z.; Yang, Y.H.; Li, Y.M.; Chen, Q.Y. Enhancement of the photoelectrochemical performance of WO3 vertical arrays film for solar water splitting by gadolinium doping. J. Phys. Chem. C 2015, 119, 14834–14842. [Google Scholar] [CrossRef]
- Wang, N.; Wang, D.G.; Li, M.G.; Shi, J.Y.; Li, C. Photoelectrochemical water oxidation on photoanodes fabricated with hexagonal nanoflower and nanoblock WO3. Nanoscale 2014, 6, 2061–2066. [Google Scholar] [CrossRef]
- Grigioni, I.; Stamplecoskie, K.G.; Selli, E.; Kamat, P.V. Dynamics of photogenerated charge carriers in WO3/BiVO4 heterojunction photoanodes. J. Phys. Chem. C 2015, 119, 20792–20800. [Google Scholar] [CrossRef]
- Zheng, F.; Lu, H.; Guo, M.; Zhang, M.; Zhen, Q. Hydrothermal preparation of WO3 nanorod array and ZnO nanosheet array composite structures on FTO substrates with enhanced photocatalytic properties. J. Mater. Chem. C 2015, 3, 7612–7620. [Google Scholar] [CrossRef]
- Fan, X.L.; Gao, B.; Wang, T.; Huang, X.L.; Gong, H.; Xue, H.R.; Guo, H.; Song, L.; Xia, W.; He, J.P. Layered double hydroxide modified WO3 nanorod arrays for enhanced photoelectrochemical water splitting. Appl. Catal. A Gen. 2016, 528, 52–58. [Google Scholar] [CrossRef]
- Walter, M.G.; Warren, E.L.; Mckone, J.R.; Boettcher, S.W.; Mi, Q.X.; Santori, E.A.; Lewis, N.S. Solar water splitting cells. Chem. Rev. 2010, 110, 6446–6473. [Google Scholar] [CrossRef]
- Chen, H.; Hu, L.F.; Chen, M.; Yan, Y.; Wu, L.M. Nickel–cobalt layered double hydroxide nanosheets for high-performance supercapacitor electrode materials. Adv. Funct. Mater. 2013, 24, 934–942. [Google Scholar] [CrossRef]
- Xu, S.M.; Pan, T.; Dou, Y.B.; Yan, H.; Zhang, S.T.; Ning, F.Y.; Shi, W.Y.; Wei, M. Theoretical and experimental study on MIIMIII-layered double hydroxides as efficient photocatalysts toward oxygen evolution from water. J. Phys. Chem. C 2015, 119, 18823–18834. [Google Scholar] [CrossRef]
- Gao, M.R.; Sheng, W.C.; Zhuang, Z.B.; Fang, Q.R.; Gu, S.; Jiang, J.; Yan, Y.S. Efficient water oxidation using nanostructured α-nickel-hydroxide as an electrocatalyst. J. Am. Chem. Soc. 2014, 136, 7077–7084. [Google Scholar] [CrossRef]
- Gong, M.; Li, Y.G.; Wang, H.L.; Liang, Y.Y.; Wu, J.Z.; Zhou, J.G.; Wang, J.; Regier, T.; Wei, F.; Dai, H.J. An advanced Ni-Fe layered double hydroxide electrocatalyst for water oxidation. J. Am. Chem. Soc. 2013, 135, 8452–8455. [Google Scholar] [CrossRef]
- Lu, Z.Y.; Xu, W.W.; Zhu, W.; Yang, Q.; Lei, X.D.; Liu, J.F.; Li, Y.P.; Sun, X.M.; Duan, X. Three-dimensional NiFe layered double hydroxide film for high-efficiency oxygen evolution reaction. Chem. Commun. 2014, 50, 6479–6482. [Google Scholar] [CrossRef]
- Huang, J.W.; Hu, G.W.; Ding, Y.; Pang, M.C.; Ma, B.C. Mn-doping and NiFe layered double hydroxide coating: Effective approaches to enhancing the performance of α-Fe2O3 in photoelectrochemical water oxidation. J. Catal. 2016, 340, 261–269. [Google Scholar] [CrossRef]
- Luo, J.S.; Im, J.H.; Mayer, M.T.; Schreier, M.; Nazeeruddi, M.K.; Park, N.G.; Tilley, S.D.; Fan, H.J.; Grätzel, M. Water photolysis at 12.3% efficiency via perovskite photovoltaics and Earth-abundant catalysts. Science 2014, 345, 1593–1596. [Google Scholar] [CrossRef]
- Akinterinwa, O.; Cirino, P.C. Heterologous expression of xylulokinase from Pichia stipitis enables high levels of xylitol production by engineered Escherichia coli growing on xylose. Metab. Eng. 2009, 11, 48–55. [Google Scholar] [CrossRef]
- Nair, N.U.; Zhao, H.M. Selective reduction of xylose to xylitol from a mixture of hemicellulosic sugars. Metab. Eng. 2010, 12, 462–468. [Google Scholar] [CrossRef]
- Parachin, N.S.; Bergdahl, B.; van Niel, E.W.J.; Gorwa-Grauslund, M.F. Kinetic modelling reveals current limitations in the production of ethanol from xylose by recombinant Saccharomyces cerevisiae. Metab. Eng. 2011, 13, 508–517. [Google Scholar] [CrossRef]
- Liu, H.W.; Valdehuesa, K.N.G.; Nisola, G.M.; Ramos, K.R.M.; Chung, W.J. High yield production of D-xylonic acid from D-xylose using engineered Escherichia coli. Bioresour. Technol. 2012, 115, 244–248. [Google Scholar] [CrossRef]
- Cañete-Rodríguez, A.M.; Santos-Dueñas, I.M.; Jiménez-Hornero, J.E.; Ehrenreich, A.; Liebl, W.; García-García, I. Gluconic acid: Properties, production methods and applications—An excellent opportunity for agro-industrial by-products and waste bio-valorization. Process Biochem. 2016, 51, 11891–11903. [Google Scholar] [CrossRef]
- Toivari, M.; Nygård, Y.; Kumpula, E.P.; Vehkomäki, M.L.; Benčina, M.; Valkonen, M.; Maaheimo, H.; Andberg, M.; Koivula, A.; Ruohonen, L.; et al. Metabolic engineering of saccharomyces cerevisiae for bioconversion of d-xylose to d-xylonate. Metab. Eng. 2012, 14, 427–436. [Google Scholar] [CrossRef]
- Chen, L.; Huang, Y.M.; Zou, R.; Ma, J.L.; Yang, Y.Y.; Li, T.Z.; Li, M.S.; Hao, Q.; Xie, H.B.; Peng, X.W. Regulating TiO2/MXenes Catalysts to Promote Photocatalytic Performance of Highly Selective Oxidation of D-xylose. Green Chem. 2021, 23, 1382–1388. [Google Scholar] [CrossRef]
- Li, M.S.; Zhong, L.X.; Chen, W.; Huang, Y.M.; Chen, Z.X.; Xiao, D.Q.; Zou, R.; Chen, L.; Hao, Q.; Liu, Z.H.; et al. Regulating the Electron-Hole Separation to Promote Selective Oxidation of Biomass using ZnS@Bi2S3 Nanosheet Catalyst. Appl. Catal. B Environ. 2021, 292, 120180. [Google Scholar] [CrossRef]
- Rafaïdeen, T.; Baranton, S.; Coutanceau, C. Highly efficient and selective electrooxidation of glucose and xylose in alkaline medium at carbon supported alloyed PdAu nanocatalysts. Appl. Catal. B Environ. 2019, 243, 641–656. [Google Scholar] [CrossRef]
- Mirescu, A.; Prüße, U. A new environmental friendly method for the preparation of sugar acids via catalytic oxidation on gold catalysts. Appl. Catal. B Environ. 2007, 70, 644–652. [Google Scholar] [CrossRef]
- Coutanceau, C.; Zalineeva, A.; Baranton, S.; Simoes, M. Modification of palladium surfaces by bismuth adatoms or clusters: Effect on electrochemical activity and selectivity towards polyol electrooxidation. Int. J Hydrogen Energy 2014, 39, 15877–15886. [Google Scholar] [CrossRef]
- González Cobos, J.; Baranton, S.; Coutanceau, C. Development of bismuth-modified PtPd nanocatalysts for the electrochemical reforming of polyols into hydrogen and value-added chemicals. Chemelectrochem 2016, 3, 1694–1704. [Google Scholar] [CrossRef]
- Simões, M.; Baranton, S.; Coutanceau, C. Electrochemical valorisation of glycerol. Chemsuschem 2012, 5, 2106–2124. [Google Scholar] [CrossRef]
- Song, D.D.; Cui, P.; Zhao, X.; Li, M.C.; Chu, L.H.; Wang, T.Y.; Jiang, B. Tungsten trioxide nanoplate array supported platinum as a highly efficient counter electrode for dye-sensitized solar cells. Nanoscale 2015, 7, 5712–5718. [Google Scholar] [CrossRef]
- Sim, Y.M.; Kim, J.; Seong, M.J. Simple synthesis of ultra-high quality In2S3 thin films on InAs substrates. J. Alloys Compd. 2016, 685, 518–522. [Google Scholar] [CrossRef]
- Rengaraj, S.; Venkataraj, S.; Tai, C.W.; Kim, Y.H.; Repo, E.; Sillanpää, M. Self-assembled mesoporous hierarchical-like In2S3 hollow microspheres composed of nanofibers and nanosheets and their photocatalytic activity. Langmuir 2011, 27, 5534–5541. [Google Scholar] [CrossRef]
- Shen, J.F.; Yan, B.; Shi, M.; Ma, H.W.; Li, N.; Ye, M.X. One step hydrothermal synthesis of TiO2-reduced graphene oxide sheets. J. Mater. Chem. 2011, 21, 3415–3421. [Google Scholar] [CrossRef]
- Mcintyre, N.S.; Zetaruk, D.G. X-ray photoelectron spectroscopic studies of iron oxides. Anal. Chem. 1977, 49, 1521–1529. [Google Scholar] [CrossRef]
- Boningari, T.; Ettireddy, P.R.; Somogyvari, A.; Liu, Y.; Vorontsov, A.; Mcdonald, C.A.; Smirniotis, P.G. Influence of elevated surface texture hydrated titania on Ce-doped Mn/TiO2 catalysts for the low-temperature SCR of NOx under oxygen-rich conditions. J. Catal. 2015, 325, 145–155. [Google Scholar] [CrossRef]
- Du, Y.Y.; Wang, Q.; Liang, X.; He, Y.F.; Feng, J.T.; Li, D.Q. Hydrotalcite-like MgMnTi non-precious-metal catalyst for solvent-free selective oxidation of alcohols. J. Catal. 2015, 331, 154–161. [Google Scholar] [CrossRef]
- Qiu, W.M.; Xu, M.S.; Yang, X.; Chen, F.; Nan, Y.X.; Zhang, J.L.; Iwai, H.; Chen, H.Z. Biomolecule-assisted hydrothermal synthesis of In2S3 porous films and enhanced photocatalytic properties. J. Mater. Chem. 2011, 21, 13327–13333. [Google Scholar] [CrossRef]
- Zhang, X.; Li, X.H.; Shao, C.L.; Li, J.H.; Zhang, M.Y.; Zhang, P.; Wang, K.X.; Lu, N.; Liu, Y.C. One-dimensional hierarchical heterostructures of In2S3 nanosheets on electrospun TiO2 nanofibers with enhanced visible photocatalytic activity. J. Hazard. Mater. 2013, 260, 892–900. [Google Scholar] [CrossRef] [PubMed]
- Zhang, L.W.; Reisner, E.; Baumberg, J.J. Al-doped ZnO inverse opal networks as efficient electron collectors in BiVO4 photoanodes for solar water oxidation. Environ. Sci. Technol. 2014, 7, 1402–1408. [Google Scholar] [CrossRef]
- Seabold, J.A.; Choi, K.S. Efficient and stable photo-oxidation of water by a bismuth vanadate photoanode coupled with an iron oxyhydroxide oxygen evolution catalyst. J. Am. Chem. Soc. 2012, 134, 2186–2192. [Google Scholar] [CrossRef] [PubMed]
- Krol, R.V.D. Principles of Photoelectrochemical Cells. In Photoelectrochemical Hydrogen Production; Springer: New York, NY, USA, 2012. [Google Scholar]
- Huang, Y.; Yu, Y.F.; Xin, Y.N.; Meng, N.N.; Yu, Y.; Zheng, B. Promoting charge carrier utilization by integrating layered double hydroxide nanosheet arrays with porous BiVO4 photoanode for efficient photoelectrochemical water splitting. Sci. China Mater. 2017, 60, 193–207. [Google Scholar] [CrossRef]
- Wang, J.F.; Wu, D.D.; Liu, Q.Q.; Zhang, X.F.; Lan, X.Q.; Song, H. Determination of xylose content in corncob hydrolyzate by phloroglucinol method. J. Anhui Agric. Sci. 2011, 39, 13542–13544. [Google Scholar] [CrossRef]









| Disclaimer/Publisher’s Note: The statements, opinions and data contained in all publications are solely those of the individual author(s) and contributor(s) and not of MDPI and/or the editor(s). MDPI and/or the editor(s) disclaim responsibility for any injury to people or property resulting from any ideas, methods, instructions or products referred to in the content. | 
© 2024 by the authors. Licensee MDPI, Basel, Switzerland. This article is an open access article distributed under the terms and conditions of the Creative Commons Attribution (CC BY) license (https://creativecommons.org/licenses/by/4.0/).
Share and Cite
Liu, X.; Li, Z.; Liu, W.; Wang, H.; Song, Z.; Yu, D.; Li, G. Excellent Photoelectro-Catalytic Performance of In2S3/NiFe-LDH Prepared by a Two-Step Method. Catalysts 2024, 14, 230. https://doi.org/10.3390/catal14040230
Liu X, Li Z, Liu W, Wang H, Song Z, Yu D, Li G. Excellent Photoelectro-Catalytic Performance of In2S3/NiFe-LDH Prepared by a Two-Step Method. Catalysts. 2024; 14(4):230. https://doi.org/10.3390/catal14040230
Chicago/Turabian StyleLiu, Xiaona, Zhenzhen Li, Wenxia Liu, Huili Wang, Zhaoping Song, Dehai Yu, and Guodong Li. 2024. "Excellent Photoelectro-Catalytic Performance of In2S3/NiFe-LDH Prepared by a Two-Step Method" Catalysts 14, no. 4: 230. https://doi.org/10.3390/catal14040230
APA StyleLiu, X., Li, Z., Liu, W., Wang, H., Song, Z., Yu, D., & Li, G. (2024). Excellent Photoelectro-Catalytic Performance of In2S3/NiFe-LDH Prepared by a Two-Step Method. Catalysts, 14(4), 230. https://doi.org/10.3390/catal14040230
 
        


