Integration of CO2 Adsorbent with Ni-Al2O3 Catalysts for Enhanced Methane Production in Carbon Capture and Methanation: Cooperative Interaction of CO2 Spillover and Heat Exchange
Abstract
1. Introduction
2. Results and Discussion
2.1. Catalyst Characterization
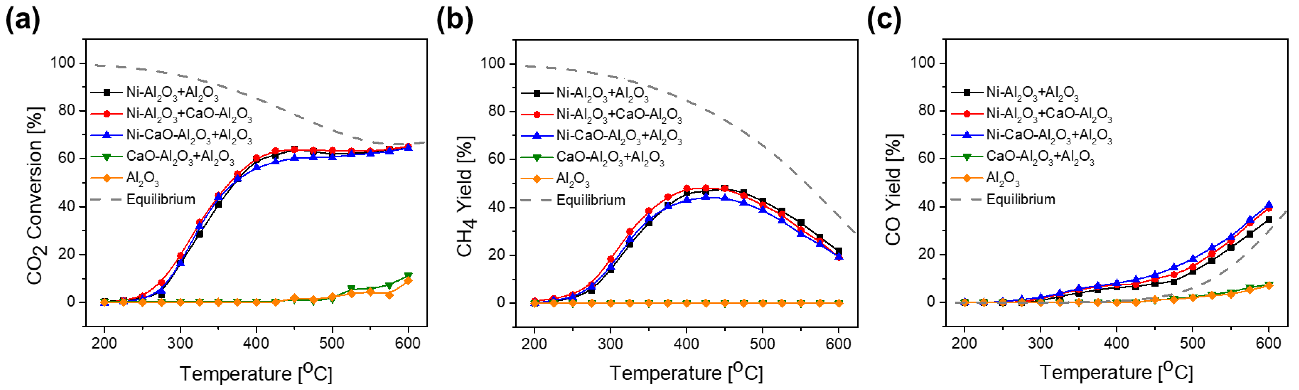
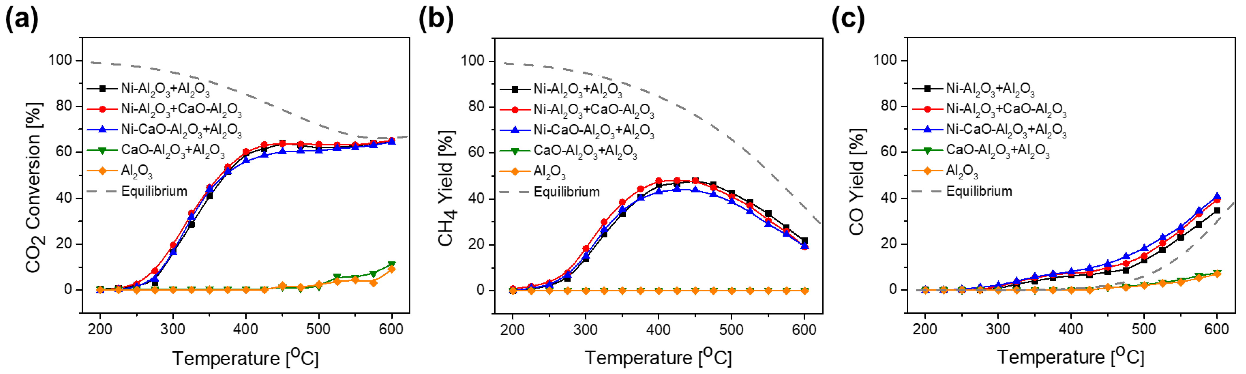
2.2. The Catalyst Activity Test: Direct Methanation
2.3. The Catalyst Activity Test: Integrated Carbon Capture Methanation (ICCM)
3. Materials and Methods
3.1. Materials
3.2. Synthesis
3.3. Characterization
3.4. The Catalytic Activity Test
4. Conclusions
Author Contributions
Funding
Data Availability Statement
Conflicts of Interest
References
- Pachauri, R.K.; Allen, M.R.; Barros, V.R.; Broome, J.; Cramer, W.; Christ, R.; Church, J.A.; Clarke, L.; Dahe, Q.; Dasgupta, P. Climate Change 2014: Synthesis Report. Contribution of Working Groups I, II and III to the Fifth Assessment Report of the Intergovernmental Panel on Climate Change; IPCC: Geneva, Switzerland, 2014. [Google Scholar]
- Pales, A.F.; Bennett, S. Energy Technology Perspectives 2020; International Energy Agency: Paris, France, 2020. [Google Scholar]
- Chang, H.; Khan, I.; Yuan, A.; Khan, S.; Sadiq, S.; Khan, A.; Shah, S.A.; Chen, L.; Humayun, M.; Usman, M. Polyarylimide-Based COF/MOF Nanoparticle Hybrids for CO2 Conversion, Hydrogen Generation, and Organic Pollutant Degradation. ACS Appl. Nano Mater. 2024, 7, 10451–10465. [Google Scholar] [CrossRef]
- Khan, A.; Sadiq, S.; Khan, I.; Humayun, M.; Jiyuan, G.; Usman, M.; Khan, A.; Khan, S.; Alanazi, A.F.; Bououdina, M. Preparation of visible-light active MOFs-Perovskites (ZIF-67/LaFeO3) nanocatalysts for exceptional CO2 conversion, organic pollutants and antibiotics degradation. Heliyon 2024, 10, e27378. [Google Scholar] [CrossRef] [PubMed]
- Zhang, F.; Zhao, P.; Niu, M.; Maddy, J. The survey of key technologies in hydrogen energy storage. Int. J. Hydrog. Energy 2016, 41, 14535–14552. [Google Scholar] [CrossRef]
- Arsad, A.Z.; Hannan, M.A.; Al-Shetwi, A.Q.; Mansur, M.; Muttaqi, K.M.; Dong, Z.Y.; Blaabjerg, F. Hydrogen energy storage integrated hybrid renewable energy systems: A review analysis for future research directions. Int. J. Hydrog. Energy 2022, 47, 17285–17312. [Google Scholar] [CrossRef]
- Liang, Z.; Gao, H.; Rongwong, W.; Na, Y. Comparative studies of stripper overhead vapor integration-based configurations for post-combustion CO2 capture. Int. J. Greenh. Gas Control 2015, 34, 75–84. [Google Scholar] [CrossRef]
- Oyenekan, B.A.; Rochelle, G.T. Alternative stripper configurations for CO2 capture by aqueous amines. AIChE J. 2007, 53, 3144–3154. [Google Scholar] [CrossRef]
- Erans, M.; Manovic, V.; Anthony, E.J. Calcium looping sorbents for CO2 capture. Appl. Energy 2016, 180, 722–742. [Google Scholar] [CrossRef]
- Lysikov, A.I.; Salanov, A.N.; Okunev, A.G. Change of CO2 Carrying Capacity of CaO in Isothermal Recarbonation—Decomposition Cycles. Ind. Eng. Chem. Res. 2007, 46, 4633–4638. [Google Scholar] [CrossRef]
- Arias, B.; Abanades, J.C.; Grasa, G.S. An analysis of the effect of carbonation conditions on CaO deactivation curves. Chem. Eng. J. 2011, 167, 255–261. [Google Scholar] [CrossRef]
- Wahby, A.; Ramos-Fernández, J.M.; Martínez-Escandell, M.; Sepúlveda-Escribano, A.; Silvestre-Albero, J.; Rodríguez-Reinoso, F. High-Surface-Area Carbon Molecular Sieves for Selective CO2 Adsorption. ChemSusChem 2010, 3, 974–981. [Google Scholar] [CrossRef]
- Silvestre-Albero, J.; Wahby, A.; Sepúlveda-Escribano, A.; Martínez-Escandell, M.; Kaneko, K.; Rodríguez-Reinoso, F. Ultrahigh CO2 adsorption capacity on carbon molecular sieves at room temperature. Chem. Commun. 2011, 47, 6840–6842. [Google Scholar] [CrossRef] [PubMed]
- Sarker, A.I.; Aroonwilas, A.; Veawab, A. Equilibrium and Kinetic Behaviour of CO2 Adsorption onto Zeolites, Carbon Molecular Sieve and Activated Carbons. Energy Procedia 2017, 114, 2450–2459. [Google Scholar] [CrossRef]
- Lv, Z.; Ruan, J.; Tu, W.; Hu, X.; He, D.; Huang, X.; Qin, C. Integrated CO2 capture and In-Situ methanation by efficient dual functional Li4SiO4@Ni/CeO2. Sep. Purif. Technol. 2023, 309, 123044. [Google Scholar] [CrossRef]
- Sun, H.; Zhang, Y.; Guan, S.; Huang, J.; Wu, C. Direct and highly selective conversion of captured CO2 into methane through integrated carbon capture and utilization over dual functional materials. J. CO2 Util. 2020, 38, 262–272. [Google Scholar] [CrossRef]
- Arellano-Treviño, M.A.; Kanani, N.; Jeong-Potter, C.W.; Farrauto, R.J. Bimetallic catalysts for CO2 capture and hydrogenation at simulated flue gas conditions. Chem. Eng. J. 2019, 375, 121953. [Google Scholar] [CrossRef]
- Kosaka, F.; Sasayama, T.; Liu, Y.; Chen, S.-Y.; Mochizuki, T.; Matsuoka, K.; Urakawa, A.; Kuramoto, K. Direct and continuous conversion of flue gas CO2 into green fuels using dual function materials in a circulating fluidized bed system. Chem. Eng. J. 2022, 450, 138055. [Google Scholar] [CrossRef]
- Sun, H.; Zhang, Y.; Wang, C.; Isaacs, M.A.; Osman, A.I.; Wang, Y.; Rooney, D.; Wang, Y.; Yan, Z.; Parlett, C.M.A.; et al. Integrated carbon capture and utilization: Synergistic catalysis between highly dispersed Ni clusters and ceria oxygen vacancies. Chem. Eng. J. 2022, 437, 135394. [Google Scholar] [CrossRef]
- Jo, S.B.; Woo, J.H.; Lee, J.H.; Kim, T.Y.; Kang, H.I.; Lee, S.C.; Kim, J.C. A novel integrated CO2 capture and direct methanation process using Ni/CaO catal-sorbents. Sustain. Energy Fuels 2020, 4, 4679–4687. [Google Scholar] [CrossRef]
- Bermejo-López, A.; Pereda-Ayo, B.; González-Marcos, J.A.; González-Velasco, J.R. Modeling the CO2 capture and in situ conversion to CH4 on dual function Ru-Na2CO3/Al2O3 catalyst. J. CO2 Util. 2020, 42, 101351. [Google Scholar] [CrossRef]
- Jo, S.B.; Woo, J.H.; Lee, J.H.; Kim, T.Y.; Kang, H.I.; Lee, S.C.; Kim, J.C. CO2 green technologies in CO2 capture and direct utilization processes: Methanation, reverse water-gas shift, and dry reforming of methane. Sustain. Energy Fuels 2020, 4, 5543–5549. [Google Scholar] [CrossRef]
- Lv, Z.; Du, H.; Xu, S.; Deng, T.; Ruan, J.; Qin, C. Techno-economic analysis on CO2 mitigation by integrated carbon capture and methanation. Appl. Energy 2024, 355, 122242. [Google Scholar] [CrossRef]
- Chen, L.; Chen, Y.; Wei, G.; Liu, K. Conceptual design and assessment of Integrated capture and methanation of CO2 from flue gas using chemical-looping scheme of dual function materials. Energy Convers. Manag. 2024, 299, 117847. [Google Scholar] [CrossRef]
- Jo, S.; Son, H.D.; Kim, T.-Y.; Woo, J.H.; Ryu, D.Y.; Kim, J.C.; Lee, S.C.; Gilliard-AbdulAziz, K.L. Ru/K2CO3–MgO catalytic sorbent for integrated CO2 capture and methanation at low temperatures. Chem. Eng. J. 2023, 469, 143772. [Google Scholar] [CrossRef]
- Cimino, S.; Cepollaro, E.M.; Lisi, L. Ageing study of Li-Ru/Al2O3 dual function material during the integrated CO2 capture and methanation with SO2-containing flue gas. Carbon Capture Sci. Technol. 2023, 6, 100096. [Google Scholar] [CrossRef]
- Wang, S.; Schrunk, E.T.; Mahajan, H.; Farrauto, R.J. The Role of Ruthenium in CO2 Capture and Catalytic Conversion to Fuel by Dual Function Materials (DFM). Catalysts 2017, 7, 88. [Google Scholar] [CrossRef]
- Bermejo-López, A.; Pereda-Ayo, B.; Onrubia-Calvo, J.A.; González-Marcos, J.A.; González-Velasco, J.R. Enhancement of the CO2 adsorption and hydrogenation to CH4 capacity of Ru–Na–Ca/γ–Al2O3 dual function material by controlling the Ru calcination atmosphere. J. Environ. Sci. 2024, 140, 292–305. [Google Scholar] [CrossRef]
- Huang, P.; Chu, J.; Fu, J.; Yu, J.; Li, S.; Guo, Y.; Zhao, C.; Liu, J. Influence of reduction conditions on the structure-activity relationships of NaNO3-promoted Ni/MgO dual function materials for integrated CO2 capture and methanation. Chem. Eng. J. 2023, 467, 143431. [Google Scholar] [CrossRef]
- Arellano-Treviño, M.A.; He, Z.; Libby, M.C.; Farrauto, R.J. Catalysts and adsorbents for CO2 capture and conversion with dual function materials: Limitations of Ni-containing DFMs for flue gas applications. J. CO2 Util. 2019, 31, 143–151. [Google Scholar] [CrossRef]
- Sun, H.; Wang, J.; Zhao, J.; Shen, B.; Shi, J.; Huang, J.; Wu, C. Dual functional catalytic materials of Ni over Ce-modified CaO sorbents for integrated CO2 capture and conversion. Appl. Catal. B Environ. 2019, 244, 63–75. [Google Scholar] [CrossRef]
- Hu, L.; Urakawa, A. Continuous CO2 capture and reduction in one process: CO2 methanation over unpromoted and promoted Ni/ZrO2. J. CO2 Util. 2018, 25, 323–329. [Google Scholar] [CrossRef]
- Lawson, S.; Baamran, K.; Newport, K.; Garcia, E.; Jacobs, G.; Rezaei, F.; Rownaghi, A.A. Adsorption-Enhanced Bifunctional Catalysts for In Situ CO2 Capture and Utilization in Propylene Production: A Proof-Of-Concept Study. ACS Catal. 2022, 12, 14264–14279. [Google Scholar] [CrossRef]
- Tsiotsias, A.I.; Charisiou, N.D.; Hussien, A.G.S.; Sebastian, V.; Polychronopoulou, K.; Goula, M.A. Integrating capture and methanation of CO2 using physical mixtures of Na-Al2O3 and mono-/ bimetallic (Ru)Ni/Pr-CeO2. Chem. Eng. J. 2024, 491, 151962. [Google Scholar] [CrossRef]
- Miguel, C.V.; Soria, M.A.; Mendes, A.; Madeira, L.M. A sorptive reactor for CO2 capture and conversion to renewable methane. Chem. Eng. J. 2017, 322, 590–602. [Google Scholar] [CrossRef]
- Wang, X.; Hong, Y.; Shi, H.; Szanyi, J. Kinetic modeling and transient DRIFTS–MS studies of CO2 methanation over Ru/Al2O3 catalysts. J. Catal. 2016, 343, 185–195. [Google Scholar] [CrossRef]
- Falbo, L.; Visconti, C.G.; Lietti, L.; Szanyi, J. The effect of CO on CO2 methanation over Ru/Al2O3 catalysts: A combined steady-state reactivity and transient DRIFT spectroscopy study. Appl. Catal. B Environ. 2019, 256, 117791. [Google Scholar] [CrossRef]
- Li, L.; Zhang, Y.; Feng, J.; Zhao, S.; Li, K.; Huang, Z.; Lin, H. Ni–Ca–Al Synergistic Effect in Dual-Function Materials for Integrated CO2 Capture and Conversion. ACS Sustain. Chem. Eng. 2024, 12, 925–937. [Google Scholar] [CrossRef]
- Jo, S.; Woo, J.H.; Nguyen, T.; Kim, J.E.; Kim, T.Y.; Ryu, H.-J.; Hwang, B.; Kim, J.C.; Lee, S.C.; Gilliard-AbdulAziz, K.L. Zr-Modified Ni/CaO Dual Function Materials (DFMs) for Direct Methanation in an Integrated CO2 Capture and Utilization Process. Energy Fuels 2023, 37, 19680–19694. [Google Scholar] [CrossRef]
- Proaño, L.; Tello, E.; Arellano-Trevino, M.A.; Wang, S.; Farrauto, R.J.; Cobo, M. In-situ DRIFTS study of two-step CO2 capture and catalytic methanation over Ru,“Na2O”/Al2O3 Dual Functional Material. Appl. Surf. Sci. 2019, 479, 25–30. [Google Scholar] [CrossRef]
- Jeong-Potter, C.; Farrauto, R. Feasibility Study of Combining Direct Air Capture of CO2 and Methanation at Isothermal Conditions with Dual Function Materials. Appl. Catal. B Environ. 2021, 282, 119416. [Google Scholar] [CrossRef]
- Onrubia-Calvo, J.A.; Pereda-Ayo, B.; González-Marcos, J.A.; González-Velasco, J.R. Lanthanum partial substitution by basic cations in LaNiO3/CeO2 precursors to raise DFM performance for integrated CO2 capture and methanation. J. CO2 Util. 2024, 81, 102704. [Google Scholar] [CrossRef]
- Ma, X.; Li, X.; Cui, H.; Zhang, W.; Cheng, Z.; Zhou, Z. Metal oxide-doped Ni/CaO dual-function materials for integrated CO capture and conversion: Performance and mechanism. AIChE J. 2023, 69, e17520. [Google Scholar] [CrossRef]
- Veselovskaya, J.V.; Parunin, P.D.; Netskina, O.V.; Okunev, A.G. A Novel Process for Renewable Methane Production: Combining Direct Air Capture by K2CO3/Alumina Sorbent with CO2 Methanation over Ru/Alumina Catalyst. Top. Catal. 2018, 61, 1528–1536. [Google Scholar] [CrossRef]
- Porta, A.; Visconti, C.G.; Castoldi, L.; Matarrese, R.; Jeong-Potter, C.; Farrauto, R.; Lietti, L. Ru-Ba synergistic effect in dual functioning materials for cyclic CO2 capture and methanation. Appl. Catal. B Environ. 2021, 283, 119654. [Google Scholar] [CrossRef]
- Duyar, M.S.; Treviño, M.A.A.; Farrauto, R.J. Dual function materials for CO2 capture and conversion using renewable H2. Appl. Catal. B Environ. 2015, 168–169, 370–376. [Google Scholar] [CrossRef]
- Choi, D.S.; Kim, N.Y.; Yoo, E.; Kim, J.; Joo, J.B. Enhanced coke resistant Ni/SiO2@SiO2 core–shell nanostructured catalysts for dry reforming of methane: Effect of metal-support interaction and SiO2 shell. Chem. Eng. Sci. 2024, 299, 120480. [Google Scholar] [CrossRef]
- Hu, J.; Hongmanorom, P.; Galvita, V.V.; Li, Z.; Kawi, S. Bifunctional Ni-Ca based material for integrated CO2 capture and conversion via calcium-looping dry reforming. Appl. Catal. B Environ. 2021, 284, 119734. [Google Scholar] [CrossRef]
- Das, S.; Ashok, J.; Bian, Z.; Dewangan, N.; Wai, M.H.; Du, Y.; Borgna, A.; Hidajat, K.; Kawi, S. Silica–Ceria sandwiched Ni core–shell catalyst for low temperature dry reforming of biogas: Coke resistance and mechanistic insights. Appl. Catal. B Environ. 2018, 230, 220–236. [Google Scholar] [CrossRef]
- Huynh, H.L.; Zhu, J.; Zhang, G.; Shen, Y.; Tucho, W.M.; Ding, Y.; Yu, Z. Promoting effect of Fe on supported Ni catalysts in CO2 methanation by in situ DRIFTS and DFT study. J. Catal. 2020, 392, 266–277. [Google Scholar] [CrossRef]
- Bartos, B.; Freund, H.J.; Kuhlenbeck, H.; Neumann, M.; Lindner, H.; Müller, K. Adsorption and reaction of CO2 and CO2/O CO-adsorption on Ni(110): Angle resolved photoemission (ARUPS) and electron energy loss (HREELS) studies. Surf. Sci. 1987, 179, 59–89. [Google Scholar] [CrossRef]
- Schreiter, N.; Kirchner, J.; Kureti, S. A DRIFTS and TPD study on the methanation of CO2 on Ni/Al2O3 catalyst. Catal. Commun. 2020, 140, 105988. [Google Scholar] [CrossRef]
- Sasayama, T.; Kosaka, F.; Liu, Y.; Yamaguchi, T.; Chen, S.-Y.; Mochizuki, T.; Urakawa, A.; Kuramoto, K. Integrated CO2 capture and selective conversion to syngas using transition-metal-free Na/Al2O3 dual-function material. J. CO2 Util. 2022, 60, 102049. [Google Scholar] [CrossRef]
- Zheng, Q.; Farrauto, R.; Chau Nguyen, A. Adsorption and Methanation of Flue Gas CO2 with Dual Functional Catalytic Materials: A Parametric Study. Ind. Eng. Chem. Res. 2016, 55, 6768–6776. [Google Scholar] [CrossRef]
- Duyar, M.S.; Wang, S.; Arellano-Treviño, M.A.; Farrauto, R.J. CO2 utilization with a novel dual function material (DFM) for capture and catalytic conversion to synthetic natural gas: An update. J. CO2 Util. 2016, 15, 65–71. [Google Scholar] [CrossRef]
- Zhou, Y.; Ma, X.; Yusanjan, Q.; Cui, H.; Cheng, Z.; Zhou, Z. Active metal-free CaO-based dual-function materials for integrated CO2 capture and reverse water–gas shift. Chem. Eng. J. 2024, 485, 149937. [Google Scholar] [CrossRef]
- Gallego-García, D.; Iriarte-Velasco, U.; Gutiérrez-Ortiz, M.A.; Ayastuy, J.L. Nickel aluminate spinel-derived catalysts for aqueous-phase hydrogenolysis of glycerol with in-situ hydrogen production: Effect of molybdenum doping. Appl. Catal. B Environ. Energy 2024, 344, 123671. [Google Scholar] [CrossRef]





represents CO2 capture capacity (mmol/gbed)), (c) CO2 conversion, (d) CH4 production profiles in methanation step, and (e) cumulative CH4 production.
represents CO2 capture capacity (mmol/gbed)), (c) CO2 conversion, (d) CH4 production profiles in methanation step, and (e) cumulative CH4 production.
represents CO2 capture capacity (mmol/gbed)) and (b) CO2 conversion.
represents CO2 capture capacity (mmol/gbed)) and (b) CO2 conversion.

| Ni Crystalline Size [nm] a | Specific Surface Area [m2/g] b | Pore Volume [cm3/g] b | Ni Contents [wt%] c | CaO Contents [wt%] c | Ni Dispersion [%] d | Ni Surface Area [m2/gCat] d | |
|---|---|---|---|---|---|---|---|
| Al2O3 | - | 151.7 | 0.46 | - | - | - | - |
| Ni-Al2O3 | 7.36 | 127.9 | 0.37 | 8.01 | - | 1.45 | 0.78 |
| CaO-Al2O3 | - | 112.4 | 0.36 | - | 8.73 | - | - |
| Ni-CaO-Al2O3 | 6.30 | 89.7 | 0.28 | 11.36 | 10.00 | 0.17 | 0.13 |
| Weak Basicity [mmol CO2/g] a | Strong Basicity [mmol CO2/g] b | Total Basicity [mmol CO2/g] | Utilization Efficiency [%] c | |
|---|---|---|---|---|
| Al2O3 | 0.052 | 0.114 | 0.166 | - |
| Ni-Al2O3 | 0.069 | 0.109 | 0.178 | - |
| CaO-Al2O3 | 0.319 | 0.184 | 0.503 | 22.58 |
| Ni-CaO-Al2O3 | 0.214 | 0.130 | 0.344 | 10.31 |
Disclaimer/Publisher’s Note: The statements, opinions and data contained in all publications are solely those of the individual author(s) and contributor(s) and not of MDPI and/or the editor(s). MDPI and/or the editor(s) disclaim responsibility for any injury to people or property resulting from any ideas, methods, instructions or products referred to in the content. |
© 2024 by the authors. Licensee MDPI, Basel, Switzerland. This article is an open access article distributed under the terms and conditions of the Creative Commons Attribution (CC BY) license (https://creativecommons.org/licenses/by/4.0/).
Share and Cite
Choi, D.S.; Kim, H.J.; Kim, J.; Yu, H.; Joo, J.B. Integration of CO2 Adsorbent with Ni-Al2O3 Catalysts for Enhanced Methane Production in Carbon Capture and Methanation: Cooperative Interaction of CO2 Spillover and Heat Exchange. Catalysts 2024, 14, 834. https://doi.org/10.3390/catal14110834
Choi DS, Kim HJ, Kim J, Yu H, Joo JB. Integration of CO2 Adsorbent with Ni-Al2O3 Catalysts for Enhanced Methane Production in Carbon Capture and Methanation: Cooperative Interaction of CO2 Spillover and Heat Exchange. Catalysts. 2024; 14(11):834. https://doi.org/10.3390/catal14110834
Chicago/Turabian StyleChoi, Dong Seop, Hye Jin Kim, Jiyull Kim, Hyeona Yu, and Ji Bong Joo. 2024. "Integration of CO2 Adsorbent with Ni-Al2O3 Catalysts for Enhanced Methane Production in Carbon Capture and Methanation: Cooperative Interaction of CO2 Spillover and Heat Exchange" Catalysts 14, no. 11: 834. https://doi.org/10.3390/catal14110834
APA StyleChoi, D. S., Kim, H. J., Kim, J., Yu, H., & Joo, J. B. (2024). Integration of CO2 Adsorbent with Ni-Al2O3 Catalysts for Enhanced Methane Production in Carbon Capture and Methanation: Cooperative Interaction of CO2 Spillover and Heat Exchange. Catalysts, 14(11), 834. https://doi.org/10.3390/catal14110834
