Understanding the Negative Apparent Activation Energy for Cu2O and CoO Oxidation Kinetics at High Temperature near Equilibrium
Abstract
1. Introduction
2. Results and Discussion
2.1. The Principle of Microscopic Reversibility or Detailed Principle
2.2. Model Validation
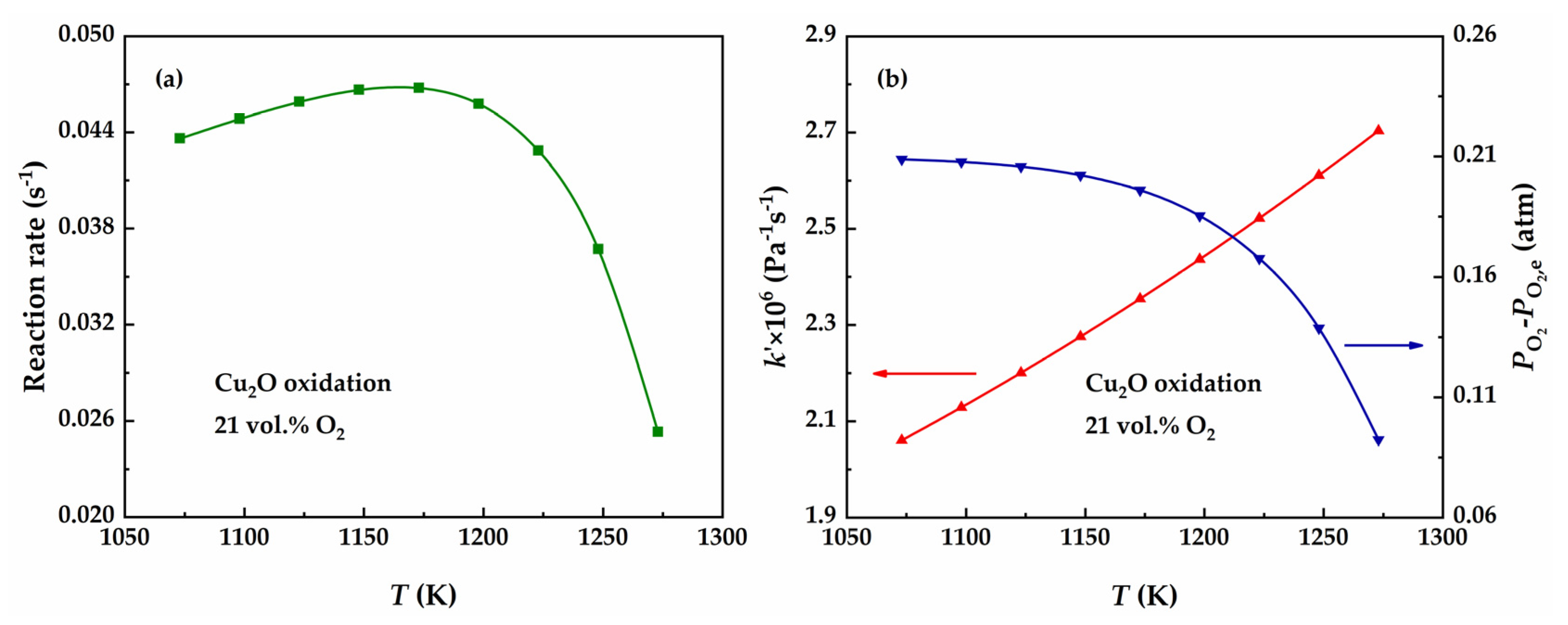
2.3. Understanding the Negative Activation Energy of Cu2O Oxidation at High-Temperature near Equilibrium
2.4. Understanding the Negative Activation Energy of CoO Oxidation at High-Temperature near Equilibrium
3. Theory
3.1. Density Functional Theory (DFT)
3.2. Transition State Theory (TST)
3.3. The Rate Equation of Surface Reaction
3.4. Connection Between Surface and Grain
4. Conclusions
Supplementary Materials
Author Contributions
Funding
Data Availability Statement
Conflicts of Interest
References
- Prasad, J.S.; Muthukumar, P.; Desai, F.; Basu, D.N.; Rahman, M.M. A critical review of high-temperature reversible thermochemical energy storage systems. Appl. Energy 2019, 254, 113733. [Google Scholar] [CrossRef]
- Wu, S.; Zhou, C.; Doroodchi, E.; Nellore, R.; Moghtaderi, B. A review on high-temperature thermochemical energy storage based on metal oxides redox cycle. Energy Convers. Manag. 2018, 168, 421–453. [Google Scholar] [CrossRef]
- Zhao, J.; Korba, D.; Mishra, A.; Klausner, J.; Randhir, K.; AuYeung, N.; Li, L. Particle-based high-temperature thermochemical energy storage reactors. Prog. Energy Combust. Sci. 2024, 102, 101143. [Google Scholar] [CrossRef]
- Medrano, M.; Gil, A.; Martorell, I.; Potau, X.; Cabeza, L.F. State of the art on high-temperature thermal energy storage for power generation. Part 2—Case studies. Renew. Sustain. Energy Rev. 2010, 14, 56–72. [Google Scholar] [CrossRef]
- Zalba, B.; Marín, J.M.; Cabeza, L.F.; Mehling, H. Review on thermal energy storage with phase change: Materials, heat transfer analysis and applications. Appl. Therm. Eng. 2003, 23, 251–283. [Google Scholar] [CrossRef]
- Zhang, H.; Baeyens, J.; Cáceres, G.; Degrève, J.; Lv, Y. Thermal energy storage: Recent developments and practical aspects. Prog. Energy Combust. Sci. 2016, 53, 1–40. [Google Scholar] [CrossRef]
- Yan, Y.; Wang, K.; Clough, P.T.; Anthony, E.J. Developments in calcium/chemical looping and metal oxide redox cycles for high-temperature thermochemical energy storage: A review. Fuel Process. Technol. 2020, 199, 106280. [Google Scholar] [CrossRef]
- Wang, H.; Li, Z.; Li, Y.; Cai, N. Reduced-order model for CaO carbonation kinetics measured using micro-fluidized bed thermogravimetric analysis. Chem. Eng. Sci. 2021, 229, 116039. [Google Scholar] [CrossRef]
- Han, X.; Wang, L.; Ling, H.; Ge, Z.; Lin, X.; Dai, X.; Chen, H. Critical review of thermochemical energy storage systems based on cobalt, manganese, and copper oxides. Renew. Sustain. Energy Rev. 2022, 158, 112076. [Google Scholar] [CrossRef]
- Alonso, E.; Pérez-Rábago, C.; Licurgo, J.; Fuentealba, E.; Estrada, C.A. First experimental studies of solar redox reactions of copper oxides for thermochemical energy storage. Sol. Energy 2015, 115, 297–305. [Google Scholar] [CrossRef]
- Xiang, D.; Gu, C.; Xu, H.; Deng, J.; Zhu, P.; Xiao, G. Al-Modified CuO/Cu2O for High-Temperature Thermochemical Energy Storage: From Reaction Performance to Modification Mechanism. ACS Appl. Mater. Interfaces 2021, 13, 57274–57284. [Google Scholar] [CrossRef] [PubMed]
- Zhang, T.; Li, Z.; Cai, N. Continuous O2-CO2 production using a Co-based oxygen carrier in two paralled fixed-bed reactors. Korean J. Chem. Eng. 2009, 26, 845–849. [Google Scholar] [CrossRef]
- Han, X.; Ge, Z.; Lin, X.; Ling, H.; Bai, Y.; Lin, L.; Zhang, S.; Peng, L.; Wang, L.; Chen, H. Thermochemical energy storage performances of Co3O4-based honeycombs with multi-scale composite pores. J. Energy Storage 2024, 82, 110394. [Google Scholar] [CrossRef]
- Xiang, D.; Gu, C.; Xu, H.; Xiao, G. Self-assembled structure evolution of Mn-Fe oxides for high temperature thermochemical energy storage. Small 2021, 17, 2101524. [Google Scholar] [CrossRef]
- Liu, L.; Xu, W.; Liu, H. Redox and melting characteristics of Mn-based ores for high-temperature thermochemical energy storage. Front. Energy Res. 2024, 12, 1361460. [Google Scholar] [CrossRef]
- Lei, F.; Dyall, A.; AuYeung, N. An in-depth investigation of BaO2/BaO redox oxides for reversible solar thermochemical energy storage. Sol. Energy Mater. Sol. Cells 2021, 223, 110957. [Google Scholar] [CrossRef]
- Xiao, G.; Zhou, J.; Deng, J.; Gu, C.; Xu, H.; Zhou, J.; Zhu, P.; Shou, C. From copper concentrate to Cu-based metal oxides for thermochemical heat storage: Impurity impact analysis and redox performance optimization. Sol. Energy 2024, 268, 112259. [Google Scholar] [CrossRef]
- Chen, X.; Kubota, M.; Kobayashi, N.; Lin, S.; Deng, L.; Li, J.; Yamashita, S.; Kita, H. Development of redox-type thermochemical energy storage module: A support-free porous foam made of CuMn2O4/CuMnO2 redox couple. Chem. Eng. J. 2024, 485, 149540. [Google Scholar] [CrossRef]
- Huang, Y.; Zhu, P.; Xu, H.; Gu, C.; Zhou, J.; Xiao, G. Mn-based oxides modified with MnSiO3 for thermochemical energy storage. Chem. Eng. J. 2024, 483, 149437. [Google Scholar] [CrossRef]
- Zhu, Y.; Mimura, K.; Isshiki, M. Oxidation Mechanism of Cu2O to CuO at 600–1050 °C. Oxid. Met. 2004, 62, 207–222. [Google Scholar] [CrossRef]
- Deutsch, M.; Horvath, F.; Knoll, C.; Lager, D.; Gierl-Mayer, C.; Weinberger, P.; Winter, F. High-Temperature Energy Storage: Kinetic Investigations of the CuO/Cu2O Reaction Cycle. Energy Fuels 2017, 31, 2324–2334. [Google Scholar] [CrossRef]
- Clayton, C.K.; Sohn, H.Y.; Whitty, K.J. Oxidation Kinetics of Cu2O in Oxygen Carriers for Chemical Looping with Oxygen Uncoupling. Ind. Eng. Chem. Res. 2014, 53, 2976–2986. [Google Scholar] [CrossRef]
- Adánez-Rubio, I.; Gayán, P.; Abad, A.; García-Labiano, F.; de Diego, L.F.; Adánez, J. Kinetic analysis of a Cu-based oxygen carrier: Relevance of temperature and oxygen partial pressure on reduction and oxidation reactions rates in Chemical Looping with Oxygen Uncoupling (CLOU). Chem. Eng. J. 2014, 256, 69–84. [Google Scholar] [CrossRef]
- Song, H.; Shah, K.; Doroodchi, E.; Wall, T.; Moghtaderi, B. Analysis on chemical reaction kinetics of CuO/SiO2 oxygen carriers for chemical looping air separation. Energy Fuels 2014, 28, 173–182. [Google Scholar] [CrossRef]
- Wenzel, M.; Sundmacher, K. Derivation of rate equations for equilibrium limited gas-solid reactions. Chem. Eng. Sci. 2019, 203, 76–85. [Google Scholar] [CrossRef]
- Birkelbach, F.; Deutsch, M.; Werner, A. The effect of the reaction equilibrium on the kinetics of gas-solid reactions—A non-parametric modeling study. Renew. Energy 2020, 152, 300–307. [Google Scholar] [CrossRef]
- Zheng, C.; Cao, J.; Zhang, Y.; Zhao, H. Insight into the oxidation mechanism of a Cu-based oxygen carrier (Cu→Cu2O→CuO) in chemical looping combustion. Energy Fuels 2020, 34, 8718–8725. [Google Scholar] [CrossRef]
- Su, M.; Cao, J.; Tian, X.; Zhang, Y.; Zhao, H. Mechanism and kinetics of Cu2O oxidation in chemical looping with oxygen uncoupling. Proc. Combust. Inst. 2019, 37, 4371–4378. [Google Scholar] [CrossRef]
- Deng, J.; Gu, C.; Xu, H.; Xiao, G. MgCr2O4-modified CuO/Cu2O for high-temperature thermochemical energy storage with high redox activity and sintering resistance. ACS Appl. Mater. Interfaces 2022, 14, 43151–43162. [Google Scholar] [CrossRef]
- Zhou, Z.; Liu, L.; Guo, Q.; Zhu, X.; Liu, X.; Xu, M. Improving the Discharge Rate of Co3O4-Based Thermochemical Energy Storage Material with Eutectic Doping of Zr. Energy Fuels 2023, 37, 16087–16096. [Google Scholar] [CrossRef]
- Li, Z. First-principles-based microkinetic rate equation theory for oxygen carrier reduction in chemical looping. Chem. Eng. Sci. 2022, 247, 117042. [Google Scholar] [CrossRef]
- Wang, Y.; Li, Z. A DFT-based microkinetic theory for Fe2O3 reduction by CO in chemical looping. Proc. Combust. Inst. 2023, 39, 4447–4455. [Google Scholar] [CrossRef]
- Li, J.; Li, Z. First principle based rate equation (1pRE) for reduction kinetics of Fe2O3 with syngas in chemical looping. Proc. Combust. Inst. 2024, 40, 105363. [Google Scholar] [CrossRef]
- Liu, L.; Wang, H.; Cai, J.; Cai, N.; Li, Z. First-principles-based mul-tiscale modeling of heterogeneous CoO oxidation kinetics in high-temperature thermo-chemical energy storage. Fuel Process. Technol. 2022, 228, 107164. [Google Scholar] [CrossRef]
- Liu, L.; Li, K.; Liu, H.; Sun, Z. DFT-based rate equation for thermochemical redox kinetics in a bubbling-fluidized bed reactor and its application to a manganese oxygen carrier in chemical looping. Proc. Combust. Inst. 2024, 40, 105646. [Google Scholar] [CrossRef]
- Blundell, S.J.; Blundell, K.M. Concepts in Thermal Physics, 2nd ed.; Oxford University Press: Oxford, UK, 2010. [Google Scholar]
- Kresse, G.; Furthmüller, J. Efficient iterative schemes for ab initio total-energy calcula-tions using a plane-wave basis set. Phys. Rev. B 1996, 54, 11169–11186. [Google Scholar] [CrossRef]
- Blöchl, P.E. Projector augment-ed-wave method. Phys. Rev. B 1994, 50, 17953–17979. [Google Scholar] [CrossRef]
- Perdew, J.P.; Burke, K.; Ernzerhof, M. Generalized Gradient Approximation Made Simple. Phys. Rev. Lett. 1996, 77, 3865–3868. [Google Scholar] [CrossRef] [PubMed]
- Henkelman, G.; Uberuaga, B.P.; Jónsson, H. A climbing image nudged elastic band method for finding saddle points and minimum energy paths. J. Chem. Phys. 2000, 113, 9901–9904. [Google Scholar] [CrossRef]
- Hu, J.; Li, D.; Lu, J.G.; Wu, R. Effects on electronic properties of molecule adsorption on CuO surfaces and nanowires. J. Phys. Chem. C 2010, 114, 17120–17126. [Google Scholar] [CrossRef]
- Anisimov, V.I.; Zaanen, J.; Andersen, O.K. Band theory and Mott insulators: Hubbard U instead of Stoner I. Phys. Rev. B 1991, 44, 943. [Google Scholar] [CrossRef] [PubMed]
- Sedghkerdar, M.H.; Mahinpey, N. A modified grain model in studying the CO2 capture process with a calcium-based sorbent: A semianalytical approach, Ind. Eng. Chem. Res. 2015, 54, 869–877. [Google Scholar] [CrossRef]
- Fuller, E.N.; Schettler, P.D.; Giddings, J.C. New method for prediction of binary gas-phase diffusion coefficients. Ind. Eng. Chem. 1966, 58, 18–27. [Google Scholar] [CrossRef]
- Ranz, W.E.; Marshall, W.R. Evaporation from drops. Chem. Eng. Prog. 1952, 48, 41–146. [Google Scholar]











| Description (Units) | CuO | Co3O4 |
|---|---|---|
| Purity (wt.%) | 60 | 90 |
| Skeletal density (kg/m3) | 4600 | 6042 |
| Porosity (%) | 16.1 | 53.0 |
| Specific surface area, (m2/m3) | 1.54 × 106 | 2.80 × 107 |
| Particle size (mm) | 0.10~0.30 | 0.18~0.30 |
| Density of surface active site (mol/m2) | 6.30 × 10−6 | 1.53 × 10−8 |
| Elementary Reaction | (eV) | (eV) |
|---|---|---|
| O2 adsorption | - | 0.48 |
| Surface reaction | 0.68 | 1.17 |
| Elementary Reaction | (eV) | (eV) |
|---|---|---|
| O2 adsorption | - | 0.93 |
| Surface reaction | 0.34 | 1.94 |
Disclaimer/Publisher’s Note: The statements, opinions and data contained in all publications are solely those of the individual author(s) and contributor(s) and not of MDPI and/or the editor(s). MDPI and/or the editor(s) disclaim responsibility for any injury to people or property resulting from any ideas, methods, instructions or products referred to in the content. |
© 2024 by the authors. Licensee MDPI, Basel, Switzerland. This article is an open access article distributed under the terms and conditions of the Creative Commons Attribution (CC BY) license (https://creativecommons.org/licenses/by/4.0/).
Share and Cite
Wang, Y.; Liu, H.; Duan, Q.; Li, Z. Understanding the Negative Apparent Activation Energy for Cu2O and CoO Oxidation Kinetics at High Temperature near Equilibrium. Catalysts 2024, 14, 832. https://doi.org/10.3390/catal14110832
Wang Y, Liu H, Duan Q, Li Z. Understanding the Negative Apparent Activation Energy for Cu2O and CoO Oxidation Kinetics at High Temperature near Equilibrium. Catalysts. 2024; 14(11):832. https://doi.org/10.3390/catal14110832
Chicago/Turabian StyleWang, Yang, Haiyang Liu, Qiwei Duan, and Zhenshan Li. 2024. "Understanding the Negative Apparent Activation Energy for Cu2O and CoO Oxidation Kinetics at High Temperature near Equilibrium" Catalysts 14, no. 11: 832. https://doi.org/10.3390/catal14110832
APA StyleWang, Y., Liu, H., Duan, Q., & Li, Z. (2024). Understanding the Negative Apparent Activation Energy for Cu2O and CoO Oxidation Kinetics at High Temperature near Equilibrium. Catalysts, 14(11), 832. https://doi.org/10.3390/catal14110832

