KOH Activation Mechanism in the Preparation of Brewer’s Spent Grain-Based Activated Carbons
Abstract
1. Introduction
2. Results and Discussion
2.1. Thermogravimetric Analysis of Activators
2.2. Gas Analysis
2.3. ACs Analysis
2.3.1. Ultimate Analysis
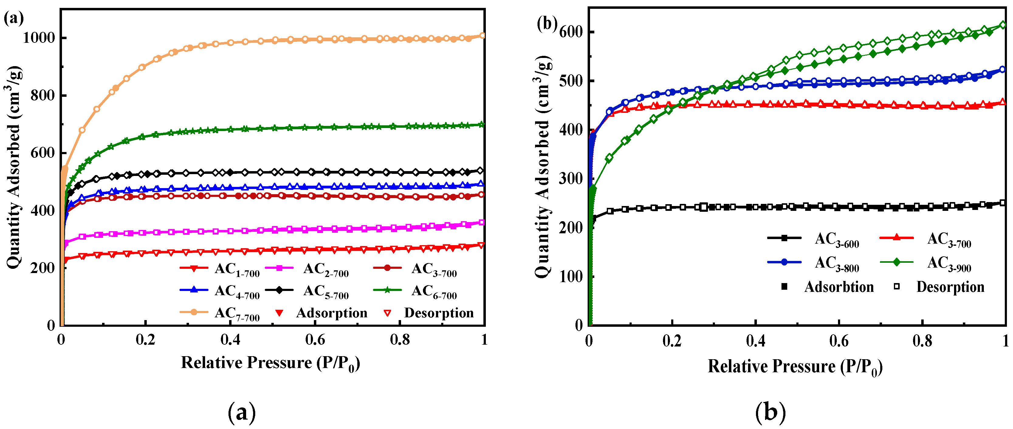
2.3.2. Pore Structure Analysis
2.3.3. Surface Chemical Properties Analysis
2.3.4. Micromorphology Analysis
2.3.5. Analysis of ACs Before Washing
2.4. The Analysis of KOH Activation Mechanism
3. Materials and Methods
3.1. Materials
3.2. Preparation of ACs
3.3. Characterization
4. Conclusions
Author Contributions
Funding
Data Availability Statement
Conflicts of Interest
References
- Ashokkumar, V.; Venkatkarthick, R.; Jayashree, S.; Chuetor, S.; Dharmaraj, S.; Kumar, G.; Chen, W.-H.; Ngamcharussrivichai, C. Recent advances in lignocellulosic biomass for biofuels and value-added bioproducts-a critical review. Bioresour. Technol. 2022, 344, 126195. [Google Scholar] [CrossRef] [PubMed]
- Moon, J.; Mun, T.; Yang, W.; Lee, U.; Hwang, J.; Jang, E.; Choi, C. Effects of hydrothermal treatment of sewage sludge on pyrolysis and steam gasification. Energy Convers. Manag. 2015, 103, 401–407. [Google Scholar] [CrossRef]
- Cheng, C.; Guo, Q.; Ding, L.; Gong, Y.; Yu, G. Insights into pyrolysis process of coconut shell waste hydrochar: In-situ structural evolution and reaction kinetics. J. Clean. Prod. 2024, 448, 141701. [Google Scholar] [CrossRef]
- Hu, B.; Cheng, A.; Xie, W.; Liu, J.; Huang, Y.; Zhu, L.; Zhang, B.; Li, M.-X.; Zhao, L.; Wang, T.-P.; et al. The oxalic acid-assisted fast pyrolysis of biomass for the sustainable production of furfural. Fuel 2022, 322, 124279. [Google Scholar] [CrossRef]
- Wei, X.; Huang, S.; Liu, P.; Wu, Y.; Wu, S.; Zhang, Y. Preparation of N-doped activated carbons from penicillin mycelial residues and melamine for Cl-VOCs adsorption under humidity conditions. J. Environ. Chem. Eng. 2023, 11, 110809. [Google Scholar] [CrossRef]
- Querejeta, N.; Rubiera, F.; Pevida, C. Enhanced capacity to CO2 sorption in humid conditions with a K-doped biocarbon. J. Energy Chem. 2019, 34, 208–219. [Google Scholar] [CrossRef]
- Senthil, C.; Park, J.W.; Shaji, N.; Sim, G.S.; Lee, C.W. Biomass seaweed-derived nitrogen self-doped porous carbon anodes for sodium-ion batteries: Insights into the structure and electrochemical activity. J. Energy Chem. 2022, 64, 286–295. [Google Scholar] [CrossRef]
- Zhang, X.; Yang, Y.; Ngo, H.H.; Guo, W.; Sun, F.; Wang, X.; Zhang, J.; Long, T. Urea removal in reclaimed water used for ultrapure water production by spent coffee biochar/granular activated carbon activating peroxymonosulfate and peroxydisulfate. Bioresour. Technol. 2022, 343, 126062. [Google Scholar] [CrossRef]
- Fu, T.; Zhang, B.; Gao, X.; Cui, S.; Guan, C.; Zhang, Y.; Zhang, B.; Peng, Y. Recent progresses, challenges, and opportunities of carbon-based materials applied in heavy metal polluted soil remediation. Sci. Total Environ. 2023, 856, 158810. [Google Scholar] [CrossRef]
- Wang, S.; Shan, R.; Lu, T.; Zhang, Y.; Yuan, H.; Chen, Y. Pyrolysis char derived from waste peat for catalytic reforming of tar model compound. Appl. Energy 2020, 263, 114565. [Google Scholar] [CrossRef]
- Mopoung, S.; Dejang, N. Activated carbon preparation from eucalyptus wood chips using continuous carbonization–steam activation process in a batch intermittent rotary kiln. Sci. Rep. 2021, 11, 13948. [Google Scholar] [CrossRef] [PubMed]
- Barczak, B.; Buczak, J.; Kazimierski, P.; Klugmann-Radziemska, E.; Lopez, G.; Januszewicz, K. Exploring synergistic effects in physical-chemical activation of acorus calamus for water treatment solutions. J. Environ. Manag. 2023, 347, 119000. [Google Scholar] [CrossRef]
- Illingworth, J.M.; Rand, B.; Williams, P.T. Understanding the mechanism of two-step, pyrolysis-alkali chemical activation of fibrous biomass for the production of activated carbon fibre matting. Fuel Process Technol. 2022, 235, 107348. [Google Scholar] [CrossRef]
- Gómez, I.C.; Cruz, O.F.; Silvestre-Albero, J.; Rambo, C.R.; Escandell, M.M. Role of KCl in activation mechanisms of KOH-chemically activated high surface area carbons. J. CO2 Util 2022, 66, 102258. [Google Scholar] [CrossRef]
- Ismail, I.S.; Rashidi, N.A.; Yusup, S. Production and characterization of bamboo-based activated carbon through single-step H3PO4 activation for CO2 capture. Environ. Sci. Pollut. Res. Int. 2022, 29, 12434–12440. [Google Scholar] [CrossRef]
- Shi, E.; Wang, X.; Zhang, M.; Wang, X.; Gao, J.; Zheng, Y. Transformation of sewage sludge into activated carbon by molten salt synthesis for adsorption of CO2 and dyes. Environ. Chem. Lett. 2022, 20, 2253–2259. [Google Scholar] [CrossRef]
- Shi, S.; Liu, Y. Nitrogen-doped activated carbons derived from microalgae pyrolysis by-products by microwave/KOH activation for CO2 adsorption. Fuel 2021, 306, 121762. [Google Scholar] [CrossRef]
- Zhang, L.; Gu, H.; Sun, H.; Cao, F.; Chen, Y.; Chen, G.Z. Molecular level one-step activation of agar to activated carbon for high performance supercapacitors. Carbon 2018, 132, 573–579. [Google Scholar] [CrossRef]
- Zornitta, R.L.; Barcelos, K.M.; Nogueira, F.G.E.; Ruotolo, L.A.M. Understanding the mechanism of carbonization and KOH activation of polyaniline leading to enhanced electrosorption performance. Carbon 2020, 156, 346–358. [Google Scholar] [CrossRef]
- Zubrik, A.; Matik, M.; Hredzák, S.; Lovás, M.; Danková, Z.; Kováčová, M.; Briančin, J. Preparation of chemically activated carbon from waste biomass by single-stage and two-stage pyrolysis. J. Clean. Prod. 2017, 143, 643–653. [Google Scholar] [CrossRef]
- Lu, S.; Yang, W.; Zhou, M.; Qiu, L.; Tao, B.; Zhao, Q.; Wang, X.; Zhang, L.; Xie, Q.; Ruan, Y. Nitrogen- and oxygen-doped carbon with abundant micropores derived from biomass waste for all-solid-state flexible supercapacitors. J. Colloid. Interface Sci. 2022, 610, 1088–1099. [Google Scholar] [CrossRef] [PubMed]
- Qu, J.; Wang, Y.; Tian, X.; Jiang, Z.; Deng, F.; Tao, Y.; Jiang, Q.; Wang, L.; Zhang, Y. KOH-activated porous biochar with high specific surface area for adsorptive removal of chromium (vi) and naphthalene from water: Affecting factors, mechanisms and reusability exploration. J. Hazard. Mater. 2021, 401, 123292. [Google Scholar] [CrossRef] [PubMed]
- Chen, W.; Li, K.; Chen, Z.; Xia, M.; Chen, Y.; Yang, H.; Chen, X.; Chen, H. A new insight into chemical reactions between biomass and alkaline additives during pyrolysis process. Proc. Combust. Inst. 2021, 38, 3881–3890. [Google Scholar] [CrossRef]
- Huang, Y.; Ma, E.; Zhao, G. Thermal and structure analysis on reaction mechanisms during the preparation of activated carbon fibers by KOH activation from liquefied wood-based fibers. Ind. Crops Prod. 2015, 69, 447–455. [Google Scholar] [CrossRef]
- Chen, X.; Zhang, H.; Guo, Y.; Cao, Y.; Cheng, F. Activation mechanisms on potassium hydroxide enhanced zastructures development of coke powder. Chin. J. Chem. Eng. 2020, 28, 299–306. [Google Scholar] [CrossRef]
- Díaz-Terán, J.; Nevskaia, D.M.; Fierro, J.L.G.; López-Peinado, A.J.; Jerez, A. Study of chemical activation process of a lignocellulosic material with KOH by XPS and XRD. Microporous Mesoporous Mater. 2003, 60, 173–181. [Google Scholar] [CrossRef]
- Jiang, H.; Wang, J.; Wu, S.; Yuan, Z.; Hu, Z.; Wu, R.; Liu, Q. The pyrolysis mechanism of phenol formaldehyde resin. Polym. Degrad. Stab. 2012, 97, 1527–1533. [Google Scholar] [CrossRef]
- Chen, W.; Gong, M.; Li, K.; Xia, M.; Chen, Z.; Xiao, H.; Fang, Y.; Chen, Y.; Yang, H.; Chen, H. Insight into KOH activation mechanism during biomass pyrolysis: Chemical reactions between O-containing groups and KOH. Appl. Energy 2020, 278, 115730. [Google Scholar] [CrossRef]
- Di Blasi, C.; Galgano, A.; Branca, C. Effects of potassium hydroxide impregnation on wood pyrolysis. Energy Fuels 2009, 23, 1045–1054. [Google Scholar] [CrossRef]
- Raymundo-Piñero, E.; Azaïs, P.; Cacciaguerra, T.; Cazorla-Amorós, D.; Linares-Solano, A.; Béguin, F. KOH and NaOH activation mechanisms of multiwalled carbon nanotubes with different structural organisation. Carbon 2005, 43, 786–795. [Google Scholar] [CrossRef]
- Li, Y.; Pi, Y.; Lu, L.; Xu, S.; Ren, T. Hierarchical porous active carbon from fallen leaves by synergy of K2CO3 and their supercapacitor performance. J. Power Sources 2015, 299, 519–528. [Google Scholar] [CrossRef]
- Lillo-Ródenas, M.A.; Cazorla-Amorós, D.; Linares-Solano, A. Understanding chemical reactions between carbons and NaOH and KOH: An insight into the chemical activation mechanism. Carbon 2003, 41, 267–275. [Google Scholar] [CrossRef]
- Kapteijn, F.; Abbel, G.; Moulijn, J.A. CO2 gasification of carbon catalyzed by alkali metals. Reactivity and mechanism. Fuel N. Y. 1984, 63, 1036–1042. [Google Scholar] [CrossRef]
- Mian, M.M.; Liu, G. Activation of peroxymonosulfate by chemically modified sludge biochar for the removal of organic pollutants: Understanding the role of active sites and mechanism. Chem. Eng. J. 2020, 392, 123681. [Google Scholar] [CrossRef]
- Wei, X.; Wu, S.; Liu, P.; Huang, S.; Li, X.; Yang, J.; Wu, Y. Characterization of physicochemical properties of activated carbons prepared from penicillin mycelial residues and its adsorption properties for VOCs. J. Environ. Chem. Eng. 2023, 11, 109733. [Google Scholar] [CrossRef]
- Zhang, G.; Lei, B.; Chen, S.; Xie, H.; Zhou, G. Activated carbon adsorbents with micro-mesoporous structure derived from waste biomass by stepwise activation for toluene removal from air. J. Environ. Chem. Eng. 2021, 9, 105387. [Google Scholar] [CrossRef]
- Lu, C.; Xu, S.; Liu, C. The role of K2CO3 during the chemical activation of petroleum coke with KOH. J. Anal. Appl. Pyrolysis 2010, 87, 282–287. [Google Scholar] [CrossRef]
- Wang, Y.; Hu, Y.; Zhao, X.; Wang, S.; Xing, G. Comparisons of biochar properties from wood material and crop residues at different temperatures and residence times. Energy Fuels 2013, 27, 5890–5899. [Google Scholar] [CrossRef]
- Fu, Y.; Zhang, N.; Shen, Y.; Ge, X.; Chen, M. Micro-mesoporous carbons from original and pelletized rice husk via one-step catalytic pyrolysis. Bioresour. Technol. 2018, 269, 67–73. [Google Scholar] [CrossRef]
- Jin, Z.; Wang, B.; Ma, L.; Fu, P.; Xie, L.; Jiang, X.; Jiang, W. Air pre-oxidation induced high yield N-doped porous biochar for improving toluene adsorption. Chem. Eng. J. 2020, 385, 123843. [Google Scholar] [CrossRef]
- Fan, L.; Shi, Z.; Ren, Q.; Yan, L.; Zhang, F.; Fan, L. Nitrogen-doped lignin based carbon microspheres as anode material for high performance sodium ion batteries. Green. Energy Environ. 2021, 6, 220–228. [Google Scholar] [CrossRef]
- Ye, C.; Huang, H.; Li, X.; Li, W.; Feng, J. The oxygen evolution during pyrolysis of hunlunbuir lignite under different heating modes. Fuel 2017, 207, 85–92. [Google Scholar] [CrossRef]
- Feng, X.; Cao, J.; Zhao, X.; Song, C.; Liu, T.; Wang, J.; Fan, X.; Wei, X.-Y. Organic oxygen transformation during pyrolysis of baiyinhua lignite. J. Anal. Appl. Pyrolysis 2016, 117, 106–115. [Google Scholar] [CrossRef]
- Feng, D.; Sun, H.; Ma, Y.; Sun, S.; Zhao, Y.; Guo, D.; Chang, G.; Lai, X.; Wu, J.; Tan, H. Catalytic mechanism of K and Ca on the volatile–biochar interaction for rapid pyrolysis of biomass: Experimental and simulation studies. Energy Fuels 2020, 34, 9741–9753. [Google Scholar] [CrossRef]
- Lozano-Castelló, D.; Cazorla-Amorós, D.; Linares-Solano, A.; Shiraishi, S.; Kurihara, H.; Oya, A. Influence of pore structure and surface chemistry on electric double layer capacitance in non-aqueous electrolyte. Carbon 2003, 41, 1765–1775. [Google Scholar] [CrossRef]
- Queiroz, L.S.; de Souza, L.K.C.; Thomaz, K.T.C.; Leite Lima, E.T.; Da Rocha Filho, G.N.; Do Nascimento, L.A.S.; Pires, L.H.d.O.; Faial, K.D.C.F.; da Costa, C.E. Activated carbon obtained from amazonian biomass tailings (acai seed): Modification, characterization, and use for removal of metal ions from water. J. Environ. Manag. 2020, 270, 110868. [Google Scholar] [CrossRef]

















| Samples | Ultimate Analysis (wt.%) a | ||||
|---|---|---|---|---|---|
| C | H | N | S | O | |
| AC1-700 | 84.85 | 0.31 | 2.61 | 0.11 | 12.12 |
| AC2-700 | 86.42 | 0.39 | 2.12 | 0.13 | 10.94 |
| AC3-700 | 90.49 | 0.55 | 1.51 | 0.17 | 7.28 |
| AC4-700 | 88.65 | 0.44 | 1.39 | 0.14 | 9.38 |
| AC5-700 | 87.79 | 0.42 | 1.24 | 0.13 | 10.42 |
| AC6-700 | 84.85 | 0.40 | 1.21 | 0.13 | 13.41 |
| AC7-700 | 82.63 | 0.39 | 1.18 | 0.14 | 15.69 |
| AC3-600 | 83.06 | 0.47 | 4.74 | 0.11 | 11.62 |
| AC3-800 | 96.21 | 0.54 | 0.64 | 0.10 | 2.51 |
| AC3-900 | 97.83 | 0.40 | 0.32 | 0.08 | 1.37 |
| Sample | SBET (m2/g) | Smic (m2/g) | Smic/SBET (%) | Vmic (cm3/g) | Vmeso (cm3/g) | Vtot (cm3/g) | Vmic/Vtot (%) |
|---|---|---|---|---|---|---|---|
| AC1-700 | 772.51 | 684.33 | 88.59 | 0.35 | 0.08 | 0.43 | 81.39 |
| AC2-700 | 982.72 | 881.02 | 89.65 | 0.45 | 0.11 | 0.56 | 80.36 |
| AC3-700 | 1360.36 | 1285.58 | 94.50 | 0.66 | 0.06 | 0.72 | 91.67 |
| AC4-700 | 1437.70 | 1295.18 | 90.09 | 0.67 | 0.11 | 0.78 | 85.89 |
| AC5-700 | 1608.90 | 1435.94 | 89.25 | 0.70 | 0.13 | 0.83 | 84.34 |
| AC6-700 | 2042.08 | 1316.90 | 64.49 | 0.69 | 0.46 | 1.15 | 60.00 |
| AC7-700 | 2997.69 | 868.28 | 28.96 | 0.45 | 1.11 | 1.56 | 28.84 |
| AC3-600 | 728.94 | 691.00 | 94.79 | 0.36 | 0.03 | 0.39 | 92.31 |
| AC3-800 | 1465.99 | 1219.82 | 83.21 | 0.63 | 0.22 | 0.85 | 74.12 |
| AC3-900 | 1489.94 | 365.41 | 24.53 | 0.19 | 0.76 | 0.95 | 20.00 |
| Parameter | Value |
|---|---|
| Proximate analysis (wt.%, dry basis) | |
| Ash | 3.89 |
| Volatile | 82.06 |
| Fixed carbon | 14.05 |
| Ultimate analysis (wt.%, dry basis) | |
| C | 50.17 |
| H | 7.67 |
| N | 3.67 |
| S | 0.21 |
| O a | 34.39 |
Disclaimer/Publisher’s Note: The statements, opinions and data contained in all publications are solely those of the individual author(s) and contributor(s) and not of MDPI and/or the editor(s). MDPI and/or the editor(s) disclaim responsibility for any injury to people or property resulting from any ideas, methods, instructions or products referred to in the content. |
© 2024 by the authors. Licensee MDPI, Basel, Switzerland. This article is an open access article distributed under the terms and conditions of the Creative Commons Attribution (CC BY) license (https://creativecommons.org/licenses/by/4.0/).
Share and Cite
Liu, P.; Sun, S.; Huang, S.; Wu, Y.; Li, X.; Wei, X.; Wu, S. KOH Activation Mechanism in the Preparation of Brewer’s Spent Grain-Based Activated Carbons. Catalysts 2024, 14, 814. https://doi.org/10.3390/catal14110814
Liu P, Sun S, Huang S, Wu Y, Li X, Wei X, Wu S. KOH Activation Mechanism in the Preparation of Brewer’s Spent Grain-Based Activated Carbons. Catalysts. 2024; 14(11):814. https://doi.org/10.3390/catal14110814
Chicago/Turabian StyleLiu, Pengbo, Shuo Sun, Sheng Huang, Youqing Wu, Xueqin Li, Xiao Wei, and Shiyong Wu. 2024. "KOH Activation Mechanism in the Preparation of Brewer’s Spent Grain-Based Activated Carbons" Catalysts 14, no. 11: 814. https://doi.org/10.3390/catal14110814
APA StyleLiu, P., Sun, S., Huang, S., Wu, Y., Li, X., Wei, X., & Wu, S. (2024). KOH Activation Mechanism in the Preparation of Brewer’s Spent Grain-Based Activated Carbons. Catalysts, 14(11), 814. https://doi.org/10.3390/catal14110814

