Catalytic Hydrogenation Property of Methyl Benzoate to Benzyl Aldehyde over Manganese-Based Catalysts with Appropriate Oxygen Vacancies
Abstract
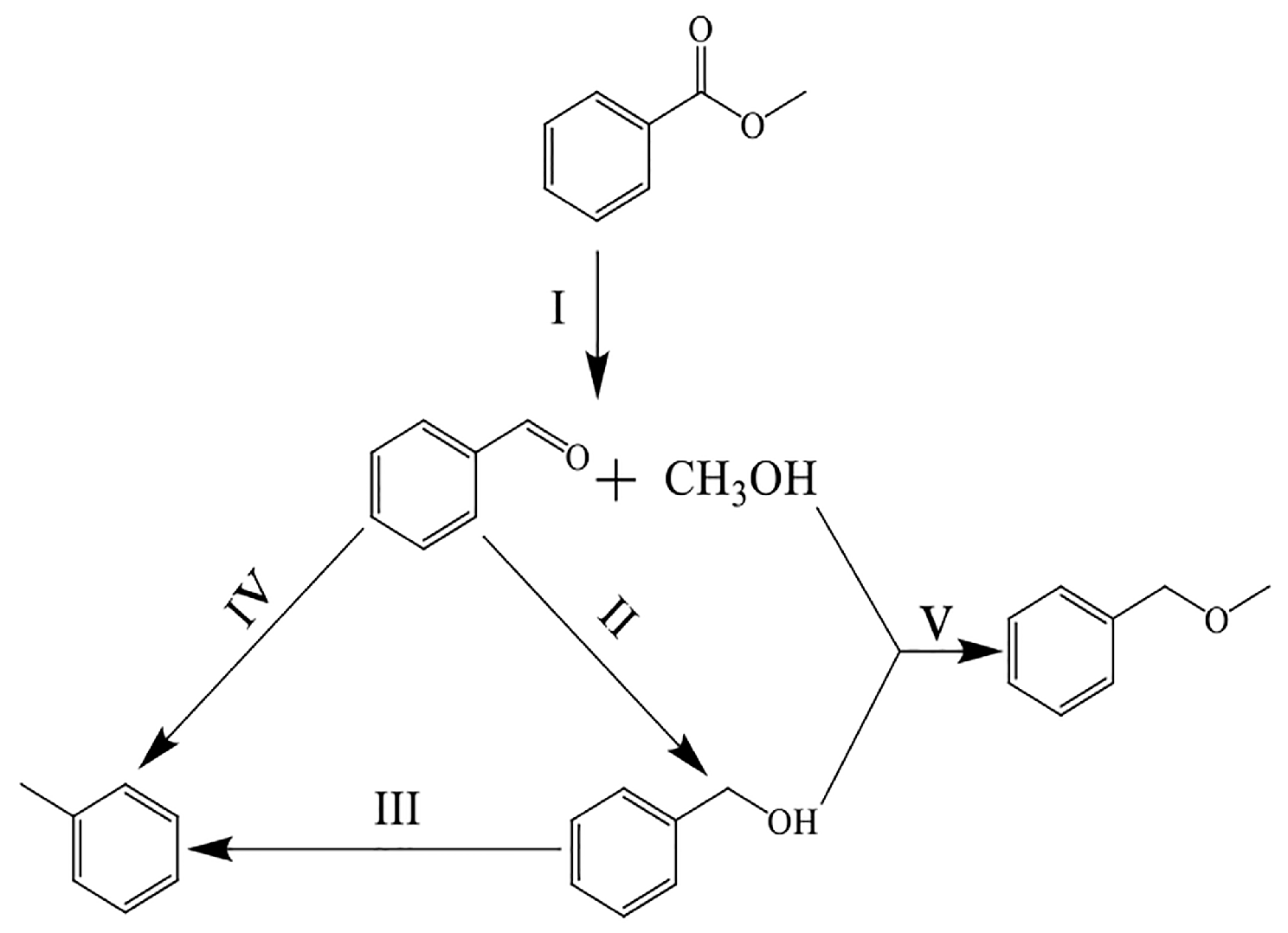
:1. Introduction
2. Results and Discussion
2.1. Structure and Surface Species of Catalysts
2.2. Specific Surface Area and Pore Structure of Catalysts
2.3. Surface Molecular Structure and Acid-Base Properties of Catalysts
2.4. Surface Chemical Composition and Redox Properties of the Catalyst
2.5. Evaluation of Reaction Performance and Correlation with Surface Properties
3. Experiment
3.1. Preparation of Catalyst
3.2. Catalyst Performance Evaluation
3.3. Characterization of Catalyst
4. Conclusions
Author Contributions
Funding
Data Availability Statement
Acknowledgments
Conflicts of Interest
References
- Ameixa, J.; Arthur-Baidoo, E.; Pereira-da-Silva, J.; Ryszka, M.; Carmichael, I.; Cornetta, L.M.; Varella, M.D.N.; Da Silva, F.F.; Ptasińska, S.; Denifl, S. Formation of resonances and anionic fragments upon electron attachment to benzaldehyde. Phys. Chem. Chem. Phys. 2020, 22, 8171–8181. [Google Scholar] [CrossRef] [PubMed]
- Demir, E.; Kocaoglu, S.; Kaya, B. Assessment of genotoxic effects of benzyl derivatives by the comet assay. Food Chem. Toxicol. 2010, 48, 1239–1242. [Google Scholar] [CrossRef] [PubMed]
- Xu, J.; Shi, G.; Liang, Y.; Lu, Q.; Ji, L. Selective aerobic oxidation of toluene to benzaldehyde catalyzed by covalently anchored N-hydroxyphthalimide and cobaltous ions. Mol. Catal. 2021, 503, 111440. [Google Scholar] [CrossRef]
- Xu, S.; Shi, G.; Feng, Y.; Ji, L. Synthesis and characterization of highly dispersed cobaltous silicate as a catalyst for selective oxidation of toluene to benzaldehyde. Mater. Chem. Phys. 2021, 262, 124309. [Google Scholar] [CrossRef]
- Kaur, M.; Ratan, A.; Kunchakara, S.; Dutt, M.; Singh, V. Cr doped MCM-41 nanocomposites: An efficient mesoporous catalyst facilitating conversion of toluene to benzaldehyde, an industrial precursor. J. Porous Mater. 2018, 26, 239–246. [Google Scholar] [CrossRef]
- Tareq, S.; Yap, Y.H.T.; Saleh, T.A.; Abdullah, A.H.; Rashid, U.; Saiman, M.I. Synthesis of bimetallic gold-pallidum loaded on carbon as efficient catalysts for the oxidation of benzyl alcohol into benzaldehyde. J. Mol. Liq. 2018, 271, 885–891. [Google Scholar] [CrossRef]
- Pedada, J.; Friedrich, H.B.; Singh, S. The Role of Alkali Metal Exchanged Phosphomolybdic Acid Catalysts in the Solvent Free Oxidation of Styrene to Benzaldehyde at Room Temperature. Catal. Lett. 2018, 148, 1355–1365. [Google Scholar] [CrossRef]
- Chen, A.; Xu, H.; Yue, Y.; Hua, W.; Shen, W.; Gao, Z. Hydrogenation of methyl benzoate to benzaldehyde over manganese oxide catalysts prepared from Mg/Mn/Al hydrotalcite-like compounds. Appl. Catal. A Gen. 2004, 274, 101–109. [Google Scholar] [CrossRef]
- Chen, X.; Wang, Z.; Daly, H.; Morgan, R.; Manyar, H.; Byrne, C.; Walton, A.S.; Taylor, S.F.R.; Smith, M.; Burch, R.; et al. Hydrogenation of benzoic acid to benzyl alcohol over Pt/SnO2. Appl. Catal. A Gen. 2020, 593, 117420. [Google Scholar] [CrossRef]
- Chong, M.; Cheng, D.-g.; Liu, L.; Chen, F.; Zhan, X. Deactivation of CeO2 catalyst in the hydrogenation of benzoic acid to benzaldehyde. Catal. Lett. 2007, 114, 198–201. [Google Scholar] [CrossRef]
- Marconi, G.; Pertici, P.; Evangelisti, C.; Maria Caporusso, A.; Vitulli, G.; Capannelli, G.; Hoang, M.; Turney, T.W. Nanostructured ruthenium on γ-Al2O3 catalysts for the efficient hydrogenation of aromatic compounds. J. Organomet. Chem. 2004, 689, 639–646. [Google Scholar] [CrossRef]
- Zhao, Y.; Wang, Q.-f.; Song, B.-j.; Sun, P.-y.; Zhang, S.-h.; Yao, Z.-l. The structure and hydrogenation performance for methyl benzoate of MnO /ZrO2-Cr2O3 catalyst. J. Fuel Chem. Technol. 2021, 49, 1709–1715. [Google Scholar] [CrossRef]
- Lu, W.; Lu, G.; Liu, X.; Guo, Y.; Wang, J.; Guo, Y. Effects of support and modifiers on catalytic performance of zinc oxide for hydrogenation of methyl benzoate to benzaldehyde. Mater. Chem. Phys. 2003, 82, 120–127. [Google Scholar] [CrossRef]
- Cheng, D.-G.; Chong, M.; Chen, F.; Zhan, X. XPS Characterization of CeO2 Catalyst for Hydrogenation of Benzoic Acid to Benzaldehyde. Catal. Lett. 2007, 120, 82–85. [Google Scholar] [CrossRef]
- Vivier, L.; Duprez, D. Ceria-based solid catalysts for organic chemistry. ChemSusChem 2010, 3, 654–678. [Google Scholar] [CrossRef] [PubMed]
- Chen, A.; Xu, H.; Yue, Y.; Hua, W.; Shen, W.; Gao, Z. Support effect in hydrogenation of methyl benzoate over supported manganese oxide catalysts. J. Mol. Catal. A Chem. 2003, 203, 299–306. [Google Scholar] [CrossRef]
- Gao, J.; Jia, C.; Li, J.; Zhang, M.; Gu, F.; Xu, G.; Zhong, Z.; Su, F. Ni/Al2O3 catalysts for CO methanation: Effect of Al2O3 supports calcined at different temperatures. J. Energy Chem. 2013, 22, 919–927. [Google Scholar] [CrossRef]
- Lai, X.; Zhou, X.; Zhang, H.; Jiang, X.; Lin, T.; Chen, Y. Toluene oxidation over monolithic MnOx/La-Al2O3 catalyst prepared by a CTAB-assisted impregnation method. Appl. Surf. Sci. 2020, 526, 146714. [Google Scholar] [CrossRef]
- Mkhize, N.; Singh, P.P.; Das, D.K.; Pullabhotla, V.S.R. Ozone initiated oxidation of 1,2-dichlorobenzene catalyzed by manganese loaded gamma alumina and silica. Catal. Today 2022, 388–389, 301–311. [Google Scholar] [CrossRef]
- Tang, Q.; Huang, X.; Wu, C.; Zhao, P.; Chen, Y.; Yang, Y. Structure and catalytic properties of K-doped manganese oxide supported on alumina. J. Mol. Catal. A Chem. 2009, 306, 48–53. [Google Scholar] [CrossRef]
- Zheng, X.; Zhang, Z.; Li, X.; Ding, C. MnO–carbon nanofiber composite material toward electro-chemical N2 fixation under ambient conditions. New J. Chem. 2019, 43, 7932–7935. [Google Scholar] [CrossRef]
- Wu, Z.; Tang, N.; Xiao, L.; Liu, Y.; Wang, H. MnOx/TiO2 composite nanoxides synthesized by deposition-precipitation method as a superior catalyst for NO oxidation. J. Colloid Interface Sci. 2010, 352, 143–148. [Google Scholar] [CrossRef] [PubMed]
- Long, W.; Liu, P.; Xiong, W.; Hao, F.; Luo, H.a. Conversion of guaiacol as lignin model component using acid-treated, multi-walled carbon nanotubes supported Ru–MnO bimetallic catalysts. Can. J. Chem. 2020, 98, 57–65. [Google Scholar] [CrossRef]
- Yang, Y.; Hu, Z.; Mi, R.; Li, D.; Yong, X.; Yang, H.; Liu, K. Effect of initial support particle size of MnOx /TiO2 catalysts in the selective catalytic reduction of NO with NH3. RSC Adv 2019, 9, 4682–4692. [Google Scholar] [CrossRef] [PubMed]
- Hosseini, S.Y.; Khosravi Nikou, M.R. Investigation of different precipitating agents effects on performance of γ-Al2O3 nanocatalysts for methanol dehydration to dimethyl ether. J. Ind. Eng. Chem. 2014, 20, 4421–4428. [Google Scholar] [CrossRef]
- Shen, H.; Guo, B.; Maekawa, H.; Guo, J.; Shu, K. Effect of chloride doping concentration on enhancement of protonic conductivity of mesoporous Al2O3. Solid State Ion. 2011, 192, 105–107. [Google Scholar] [CrossRef]
- Nakhostin Panahi, P.; Delahay, G.; Mousavi, S.M. Activity of γ-Al2O3-based Mn, Cu, and Co oxide nanocatalysts for selective catalytic reduction of nitric oxide with ammonia. Turk. J. Chem. 2017, 41, 272–281. [Google Scholar] [CrossRef]
- Pan, C.; Chen, G.; Shen, W.; Xu, H. Effect of alkali species on performance of MnO/γ-Al2O3 catalysts for the hydrogenation of methyl benzoate to benzaldehyde. Catal. Commun. 2009, 10, 1718–1721. [Google Scholar] [CrossRef]
- Vanaphuti, P.; Yao, Z.; Liu, Y.; Lin, Y.; Wen, J.; Yang, Z.; Feng, Z.; Ma, X.; Zauha, A.C.; Wang, Y.; et al. Achieving High Stability and Performance in P2-Type Mn-Based Layered Oxides with Tetravalent Cations for Sodium-Ion Batteries. Small 2022, 18, 2201086. [Google Scholar] [CrossRef]
- Chen, K.; Wang, M.; Li, G.; He, Q.; Liu, J.; Li, F. Spherical α-MnO2 Supported on N-KB as Efficient Electrocatalyst for Oxygen Reduction in Al-Air Battery. Materials 2018, 11, 601. [Google Scholar] [CrossRef]
- Liu, P.; Duan, J.; Ye, Q.; Mei, F.; Shu, Z.; Chen, H. Promoting effect of unreducible metal doping on OMS-2 catalysts for gas-phase selective oxidation of ethanol. J. Catal. 2018, 367, 115–125. [Google Scholar] [CrossRef]
- Cai, T.; Huang, H.; Deng, W.; Dai, Q.; Liu, W.; Wang, X. Catalytic combustion of 1,2-dichlorobenzene at low temperature over Mn-modified Co3O4 catalysts. Appl. Catal. B Environ. 2015, 166–167, 393–405. [Google Scholar] [CrossRef]
- Fan, Z.; Shi, J.W.; Gao, C.; Gao, G.; Wang, B.; Wang, Y.; He, C.; Niu, C. Gd-modified MnOx for the selective catalytic reduction of NO by NH3: The promoting effect of Gd on the catalytic performance and sulfur resistance. Chem. Eng. J. 2018, 348, 820–830. [Google Scholar] [CrossRef]
- Hou, Z.; Feng, J.; Lin, T.; Zhang, H.; Zhou, X.; Chen, Y. The performance of manganese-based catalysts with Ce0.65Zr0.35O2 as support for catalytic oxidation of toluene. Appl. Surf. Sci. 2018, 434, 82–90. [Google Scholar] [CrossRef]
- Xu, H.; Qu, Z.; Zhao, S.; Mei, J.; Quan, F.; Yan, N. Different crystal-forms of one-dimensional MnO2 nanomaterials for the catalytic oxidation and adsorption of elemental mercury. J. Hazard Mater. 2015, 299, 86–93. [Google Scholar] [CrossRef]
- Lu, X.; Zheng, Y.; Zhang, Y.; Qiu, H.; Zou, H. Low-temperature selective catalytic reduction of NO over carbon nanotubes supported MnO2 fabricated by co-precipitation method. Micro Nano Lett. 2015, 10, 666–669. [Google Scholar] [CrossRef]
- Sakata, Y.; van Tol-Koutstaal, C.A.; Ponec, V. Selectivity Problems in the Catalytic Deoxygenation of Benzoic Acid. J. Catal. 1997, 169, 13–21. [Google Scholar] [CrossRef]
- Perret, N.; Cárdenas-Lizana, F.; Keane, M.A. Selective hydrogenation of benzaldehyde to benzyl alcohol over Au/Al2O3. Catal. Commun. 2011, 16, 159–164. [Google Scholar] [CrossRef]







| Sample | BET Surface Area/m2·g−1 1 | Pore Volume/cm3·g−1 2 | Average Pore Size/nm 3 |
|---|---|---|---|
| 0.18Mn/Al-400 | 220 | 0.39 | 5.54 |
| 0.18Mn/Al-500 | 170 | 0.23 | 6.14 |
| 0.18Mn/Al-600 | 157 | 0.27 | 6.31 |
| 0.18Mn/Al-700 | 93 | 0.24 | 6.56 |
| 0.18Mn/Al-800 | 98 | 0.26 | 7.80 |
| Sample | BET Surface Area/m2·g−1 1 | Pore Volume/cm3·g−1 2 | Average Pore Size/nm 3 |
|---|---|---|---|
| 0.04Mn/Al-500 | 205 | 0.30 | 5.93 |
| 0.09Mn/Al-500 | 180 | 0.30 | 6.78 |
| 0.18Mn/Al-500 | 170 | 0.23 | 6.14 |
| 0.25Mn/Al-500 | 158 | 0.22 | 5.68 |
| 0.36Mn/Al-500 | 142 | 0.22 | 6.19 |
| Catalyst | Conversion/% | Selectivity/% | ||||
|---|---|---|---|---|---|---|
| Benzaldehyde | Toluene | Benzyl Alcohol | MBE | Others | ||
| 0.18Mn/Al-400 | 90.6 | 68.00 | 17.89 | 9.97 | 2.02 | 2.12 |
| 0.18Mn/Al-500 | 87.9 | 86.11 | 1.63 | 6.45 | 5.03 | 0.78 |
| 0.18Mn/Al-600 | 89.5 | 71.94 | 9.83 | 11.95 | 2.37 | 3.91 |
| 0.18Mn/Al-700 | 75.4 | 79.36 | 10.13 | 5.76 | 3.74 | 1.01 |
| 0.18Mn/Al-800 | 60.9 | 91.80 | 2.19 | 3.89 | 2.10 | 0.02 |
| Catalyst | Conversion/% | Selectivity/% | ||||
|---|---|---|---|---|---|---|
| Benzaldehyde | Toluene | Benzyl Alcohol | MBE | Others | ||
| 0.04Mn/Al-500 | 86.4 | 86.91 | 0.56 | 3.17 | 5.10 | 4.26 |
| 0.09Mn/Al-500 | 93.3 | 71.53 | 4.88 | 9.44 | 13.89 | 0.26 |
| 0.18Mn/Al-500 | 87.9 | 86.11 | 1.63 | 6.45 | 5.03 | 0.78 |
| 0.25Mn/Al-500 | 94.4 | 78.44 | 4.01 | 13.69 | 1.02 | 2.84 |
| 0.36Mn/Al-500 | 55.7 | 89.63 | 1.48 | 5.44 | 0.40 | 3.05 |
Disclaimer/Publisher’s Note: The statements, opinions and data contained in all publications are solely those of the individual author(s) and contributor(s) and not of MDPI and/or the editor(s). MDPI and/or the editor(s) disclaim responsibility for any injury to people or property resulting from any ideas, methods, instructions or products referred to in the content. |
© 2023 by the authors. Licensee MDPI, Basel, Switzerland. This article is an open access article distributed under the terms and conditions of the Creative Commons Attribution (CC BY) license (https://creativecommons.org/licenses/by/4.0/).
Share and Cite
Gao, P.; Liu, X.; Mu, X.; Zhang, Y. Catalytic Hydrogenation Property of Methyl Benzoate to Benzyl Aldehyde over Manganese-Based Catalysts with Appropriate Oxygen Vacancies. Catalysts 2024, 14, 27. https://doi.org/10.3390/catal14010027
Gao P, Liu X, Mu X, Zhang Y. Catalytic Hydrogenation Property of Methyl Benzoate to Benzyl Aldehyde over Manganese-Based Catalysts with Appropriate Oxygen Vacancies. Catalysts. 2024; 14(1):27. https://doi.org/10.3390/catal14010027
Chicago/Turabian StyleGao, Pengxiang, Xiaoran Liu, Xindong Mu, and Yan Zhang. 2024. "Catalytic Hydrogenation Property of Methyl Benzoate to Benzyl Aldehyde over Manganese-Based Catalysts with Appropriate Oxygen Vacancies" Catalysts 14, no. 1: 27. https://doi.org/10.3390/catal14010027
APA StyleGao, P., Liu, X., Mu, X., & Zhang, Y. (2024). Catalytic Hydrogenation Property of Methyl Benzoate to Benzyl Aldehyde over Manganese-Based Catalysts with Appropriate Oxygen Vacancies. Catalysts, 14(1), 27. https://doi.org/10.3390/catal14010027
