Excellent Performance and Feasible Mechanism of ErOx-Boosted MnOx-Modified Biochars Derived from Sewage Sludge and Rice Straw for Formaldehyde Elimination: In Situ DRIFTS and DFT
Abstract
:1. Introduction
2. Experimental Section
2.1. Sample Synthesis
2.2. Samples Characterization
2.3. Experimental Setup and Procedure
3. Results and Discussion
3.1. Sample Characterization
3.1.1. BET Analysis
3.1.2. SEM and TEM Analysis
3.1.3. H2-TPR Analysis
3.1.4. XRD Analysis
3.1.5. XPS Analysis
3.2. Comparison of Catalytic Performance
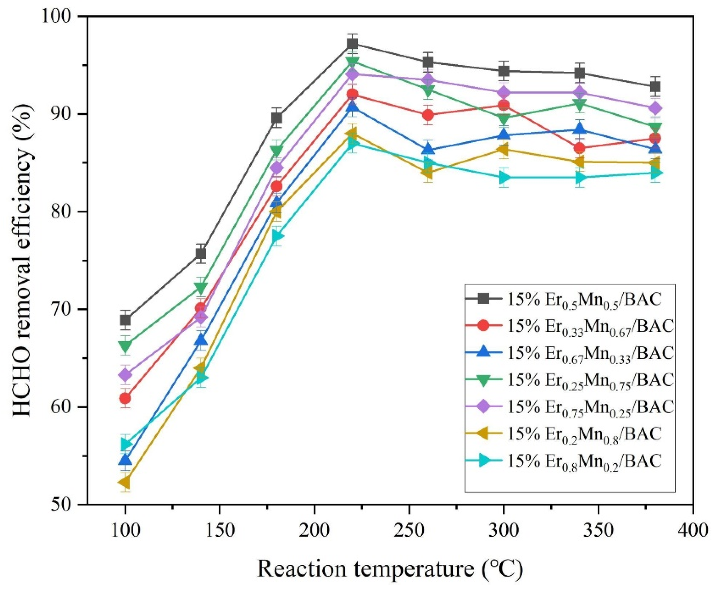
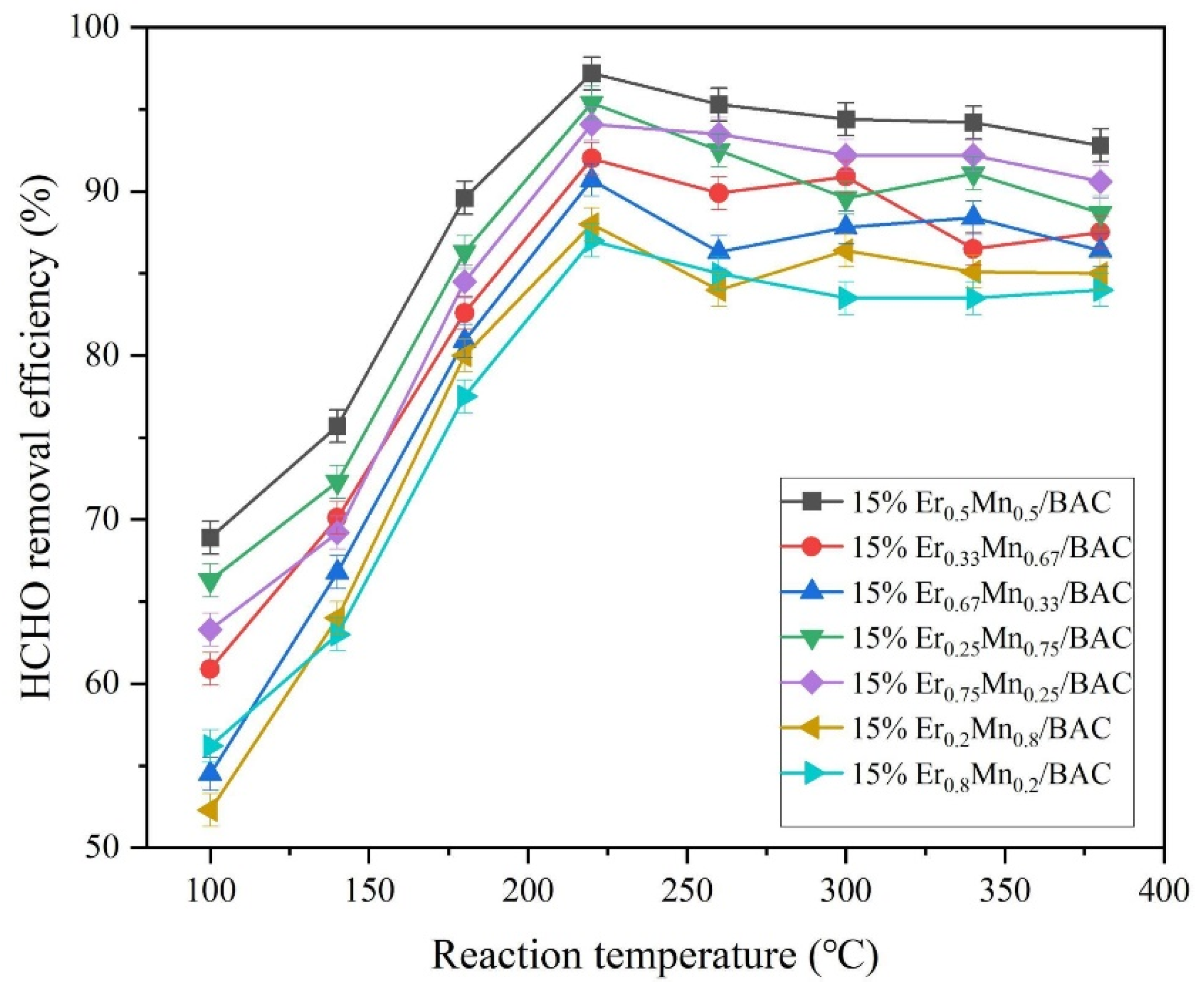
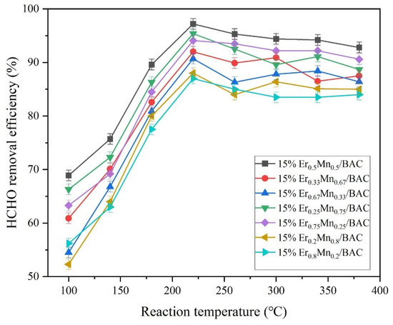
3.2.1. Effect of Molar Ratio of Er/Mn
3.2.2. Effects of Support Materials
3.2.3. Effects of Active Ingredients
3.3. Effect of Atmospheric Conditions
3.3.1. Effect of O2
3.3.2. Effects of SO2 and H2O
3.4. Intermediates and Mechanism
4. Computational Details
4.1. DFT Calculation Method
4.2. HCHO Oxidation Reaction Path Diagram of MnO2 and Er-MnO2
5. Conclusions
Author Contributions
Funding
Data Availability Statement
Acknowledgments
Conflicts of Interest
References
- Yang, C.; Miao, G.; Pi, Y.; Xia, Q.; Wu, J.; Li, Z.; Xiao, J. Abatement of various types of VOCs by adsorption/catalytic oxidation: A review. Chem. Eng. J. 2019, 370, 1128–1153. [Google Scholar] [CrossRef]
- Li, X.; Zhang, L.; Yang, Z.; Wang, P.; Yan, Y.; Ran, J. Adsorption materials for volatile organic compounds (VOCs) and the key factors for VOCs adsorption process: A review. Sep. Purif. 2020, 235, 116213. [Google Scholar] [CrossRef]
- Zhao, L.; Li, C.; Du, X.; Zeng, G.; Gao, L.; Zhai, Y.; Wang, T.; Zhang, J. Effect of Co addition on the performance and structure of V/ZrCe catalyst for simultaneous removal of NO and Hg0 in simulated flue gas. Appl. Surf. Sci. 2018, 437, 390–399. [Google Scholar] [CrossRef]
- He, C.; Cheng, J.; Zhang, X.; Douthwaite, M.; Pattisson, S.; Hao, Z.P. Recent advances in the catalytic oxidation of volatile organic compounds: A review based on pollutant sorts and sources. Chem. Rev. 2019, 119, 4471–4568. [Google Scholar] [CrossRef]
- Zhang, X.; Zhao, W.; Nie, L.; Shao, X.; Dang, H.; Zhang, W.; Wang, D. A new classification approach to enhance future VOCs emission policies: Taking solvent-consuming industry as an example. Environ. Pollut. 2021, 268, 115868. [Google Scholar] [CrossRef]
- Ye, J.; Yu, Y.; Fan, J.; Cheng, B.; Yu, J.; Ho, W. Room-temperature formaldehyde catalytic decomposition. Environ. Sci. Nano. 2020, 7, 3655–3709. [Google Scholar] [CrossRef]
- Chen, D.; Zhang, G.; Wang, M.; Li, N.; Xu, Q.; Li, H.; He, J.; Lu, J. Pt/MnO2 Nanoflowers Anchored to Boron Nitride Aerogels for Highly Efficient Enrichment and Catalytic Oxidation of Formaldehyde at Room Temperature. Angew. Chem. Int. Ed. 2021, 133, 6447–6451. [Google Scholar] [CrossRef]
- Xu, Y.; Dhainaut, J.; Dacquin, J.-P.; Mamede, A.-S.; Marinova, M.; Lamonier, J.-F.; Vezin, H.; Zhang, H.; Royer, S. La1−x(Sr, Na, K)xMnO3 perovskites for HCHO oxidation: The role of oxygen species on the catalytic mechanism. Appl. Catal. B Environ. 2021, 287, 119955. [Google Scholar] [CrossRef]
- Ding, J.; Liu, J.; Yang, Y.; Zhao, L.; Yu, Y. Understanding A-site tuning effect on formaldehyde catalytic oxidation over La-Mn perovskite catalysts. J. Hazard. Mater. 2022, 422, 126931. [Google Scholar] [CrossRef]
- Zhou, C.; Zhang, H.; Zhang, Z.; Li, L. Improved reactivity for toluene oxidation on MnOx/CeO2-ZrO2 catalyst by the synthesis of cubic-tetragonal interfaces. Appl. Surf. Sci. 2021, 539, 148188. [Google Scholar] [CrossRef]
- Hen, Y.; Liao, Y.; Chen, L.; Chen, S.; Chen, Z.; Ma, X. Heavy metals impregnated TiO2 catalysts for the multi-pollution reduction of coal-fired flue gas. J. Environ. Chem. Eng. 2021, 9, 105822. [Google Scholar]
- Gao, L.; Yi, L.; Xie, D.; Wang, H.; Li, C.; Li, L.; Liu, Y.; Xie, J.; Zhou, Y.; Liu, Y. Insight into the design and construction of Cr substituted Co-based columnar activated coke catalysts for effective and reliable removal of methylbenzene and Hg0 concurrently. Fuel 2023, 334, 126732. [Google Scholar] [CrossRef]
- Cai, T.; Deng, W.; Xu, P.; Yuan, J.; Liu, Z.; Zhao, K.; Tang, Q.; He, D. Great activity enhancement of Co3O4/γ-Al2O3 catalyst for propane combustion by structural modulation. Chem. Eng. J. 2020, 395, 125071. [Google Scholar] [CrossRef]
- Wang, A.-Y.; Sun, K.; Wu, L.; Wu, P.; Zeng, W.; Tian, Z.; Huang, Q.-X. Co-carbonization of biomass and oily sludge to prepare sulfamethoxazole super-adsorbent materials. Sci. Total Environ. 2020, 698, 134238. [Google Scholar] [CrossRef]
- Qie, Z.; Sun, F.; Zhang, Z.; Pi, X.; Qu, Z.; Gao, J.; Zhao, G. A facile trace potassium assisted catalytic activation strategy regulating pore topology of activated coke for combined removal of toluene/SO2/NO. Chem. Eng. J. 2020, 389, 124262. [Google Scholar] [CrossRef]
- Xiao, G.; Guo, Z.; Li, J.; Du, Y.; Zhang, Y.; Xiong, T.; Lin, B.; Fu, M.; Ye, D.; Hu, Y. Insights into the effect of flue gas on synergistic elimination of toluene and NOx over V2O5-MoO3(WO3)/TiO2 catalysts. Chem. Eng. J. 2022, 435, 134914. [Google Scholar] [CrossRef]
- Liu, K.; Wang, S.; Wu, Q.; Wang, L.; Ma, Q.; Zhang, L.; Li, G.; Tian, H.; Duan, L.; Hao, J. A highly resolved mercury emission inventory of chinese coal-fired power plants. Environ. Sci. Technol. 2018, 52, 2400–2408. [Google Scholar] [CrossRef] [PubMed]
- Wang, Y.; Jiang, C.; Le, Y.; Cheng, B.; Yu, J. Hierarchical honeycomb-like Pt/NiFe-LDH/rGO nanocomposite with excellent formaldehyde decomposition activity. Chem. Eng. J. 2019, 365, 378–388. [Google Scholar] [CrossRef]
- Yusuf, A.; Sun, Y.; Liu, S.; Wang, C.; Ren, Y.; Xiao, H.; Snape, C.; He, J. Study of the effect of ceria on the activity and selectivity of Co and Ce co-doped birnessite manganese oxide for formaldehyde oxidation. J. Hazard. Mater. 2022, 424, 127583. [Google Scholar] [CrossRef]
- Wang, J.; Yoshida, A.; Wang, P.; Yu, T.; Wang, Z.; Hao, X.; Abudula, A.; Guan, G. Catalytic oxidation of volatile organic compound over cerium modified cobalt-based mixed oxide catalysts synthesized by electrodeposition method. Appl. Catal. B Environ. 2020, 271, 118941. [Google Scholar] [CrossRef]
- Ma, C.; Yang, C.; Wang, B.; Chen, C.; Wang, F.; Yao, X.; Song, M. Effects of H2O on HCHO and CO oxidation at room-temperature catalyzed by MCo2O4. Appl. Catal. B Environ. 2019, 254, 76–85. [Google Scholar] [CrossRef]
- Todorova, S.; Blin, J.L.; Naydenov, A.; Lebeau, B.; Kolev, H.; Gaudin, P.; Dotezva, A.; Velinova, R.; Filkova, D.; Ivanova, I.; et al. Co3O4-MnOx oxides supported on SBA-15 for CO and VOCs oxidation. Catal. Today 2020, 357, 602–612. [Google Scholar] [CrossRef]
- Kim, S.C.; Shim, W.G. Catalytic combustion of VOCs over a series of manganese oxide catalysts. Appl. Catal. B Environ. 2010, 98, 180–185. [Google Scholar] [CrossRef]
- Liang, X.; Liu, P.; He, H.; Wei, G.; Chen, T.; Tan, W.; Tan, F.; Zhu, J.; Zhu, R. The variation of cationic microstructure in Mn-doped spinel ferrite during calcination and its effect on formaldehyde catalytic oxidation. J. Hazard. Mater. 2016, 306, 305–312. [Google Scholar] [CrossRef] [PubMed]
- Gao, L.; Li, C.; Li, S.; Zhang, W.; Du, X.; Huang, L.; Zhu, Y.; Zhai, Y.; Zeng, G. Superior performance and resistance to SO2 and H2O over CoOx-modified MnOx/biomass activated carbons for simultaneous Hg0 and NO removal. Chem. Eng. J. 2019, 371, 781–795. [Google Scholar] [CrossRef]
- Du, H.; Han, Z.; Wu, X.; Li, C.; Gao, Y.; Yang, S.; Song, L.; Dong, J.; Pan, X. Insight into the Promoting Role of Er Modification on SO2 Resistance for NH3-SCR at Low Temperature over FeMn/TiO2 Catalysts. Catalysts 2021, 11, 618. [Google Scholar] [CrossRef]
- Jin, Q.; Shen, Y.; Zhu, S.; Li, X.; Hu, M. Promotional effects of Er incorporation in CeO2(ZrO2)/TiO2 for selective catalytic reduction of NO by NH3. Chin. J. Catal. 2016, 37, 1512–1528. [Google Scholar] [CrossRef]
- Kim, J.; Lee, S.; Kwon, D.W.; Ha, H.P. Er composition (X)-mediated catalytic properties of Ce1−xErxVO4 surfaces for selective catalytic NOx reduction with NH3 at elevated temperatures. Catal. Today 2021, 359, 65–75. [Google Scholar] [CrossRef]
- Gao, L.; Li, C.; Zhang, J.; Du, X.; Li, S.; Zeng, J.; Yi, Y.; Zeng, G. Simultaneous removal of NO and Hg0 from simulated flue gas over CoOx-CeO2 loaded biomass activated carbon derived from maize straw at low temperatures. Chem. Eng. J. 2018, 342, 339–349. [Google Scholar] [CrossRef]
- Zhang, G.; Xing, J.; Zhao, Y.; Yang, F. Hierarchical N,P co-doped graphene aerogels framework assembling vertically grown CoMn-LDH nanosheets as efficient bifunctional electrocatalyst for rechargeable Zinc-air battery. J. Colloid Interface Sci. 2021, 590, 476–486. [Google Scholar] [CrossRef]
- Gao, L.; Yi, L.; Wang, J.; Li, X.; Feng, Z.; Shan, J.; Liu, Y.; Tan, W.; He, Q.; Li, C. Excellent performance and outstanding resistance to SO2 and H2O for formaldehyde abatement over CoMn oxides boosted dual-precursor hierarchical porous biochars derived from liquidambar and orange peel. Fuel 2022, 317, 123539. [Google Scholar] [CrossRef]
- Du, X.; Li, C.; Zhang, J.; Zhao, L.; Li, S.; Lyu, Y.; Zhang, Y.; Zhu, Y.; Huang, L. Highly efficient simultaneous removal of HCHO and elemental mercury over Mn-Co oxides promoted Zr-AC samples. J. Hazard. Mater. 2021, 408, 124830. [Google Scholar] [CrossRef] [PubMed]
- Cui, W.; Li, Y.; Zhang, H.; Wei, Z.; Gao, B.; Dai, J.; Hu, T. In stiu encapsulated Co/MnOx nanoparticles inside quasi-MOF-74 for the higher alcohols synthesis from syngas. Appl. Catal. B Environ. 2020, 278, 119262. [Google Scholar] [CrossRef]
- Gao, L.; Li, C.; Lu, P.; Zhang, J.; Du, X.; Li, S.; Tang, L.; Chen, J.; Zeng, G. Simultaneous removal of Hg0 and NO from simulated flue gas over columnar activated coke granules loaded with La2O3-CeO2 at low temperature. Fuel 2018, 215, 30–39. [Google Scholar] [CrossRef]
- Xia, C.; Zhou, Y.; He, C.; Douka, A.I.; Guo, W.; Qi, K.; Xia, B. Recent advances on electrospun nanomaterials for zinc–air batteries. Small Sci. 2021, 1, 2100010. [Google Scholar] [CrossRef]
- Yi, L.; Xie, J.; Li, C.; Shan, J.; Liu, Y.; Lv, J.; Li, M.; Gao, L. LaOx modified MnOx loaded biomass activated carbon and its enhanced performance for simultaneous abatement of NO and Hg0. Environ. Sci. Pollut. Res. 2022, 29, 2258–2275. [Google Scholar] [CrossRef]
- Du, X.; Li, C.; Zhao, L.; Zhang, J.; Gao, L.; Sheng, J.; Yi, Y.; Chen, J.; Zeng, G. Promotional removal of HCHO from simulated flue gas over Mn-Fe oxides modified activated coke. Appl. Catal. B Environ. 2018, 232, 37–48. [Google Scholar] [CrossRef]
- Rajesh, M.; Babu, M.R.; Sushma, N.J.; Raju, B.D.P. Influence of Er3+ ions on structural and fluorescence properties of SiO2- B2O3- Na2Co3-NaF-CaF2 glasses for broadband 1.53 μm optical amplifier applications. J. Non-Cryst. Solids 2019, 599, 119732. [Google Scholar] [CrossRef]
- Wang, Z.; Chen, B.; Crocker, M.; Yu, L.; Shi, C. New insights into alkaline metal modified CoMn-oxide catalysts for formaldehyde oxidation at low temperatures. Appl. Catal. A Gen. 2020, 596, 117512. [Google Scholar] [CrossRef]
- Ding, J.; Liu, J.; Yang, Y.; Wang, Z.; Yu, Y. Reaction mechanism of dichloromethane oxidation on LaMnO3 perovskite. J. Hazard. Mater. 2021, 277, 130194. [Google Scholar] [CrossRef]
- Li, R.; Huang, Y.; Zhu, D.; Ho, W.; Cao, J.; Lee, S. Improved oxygen activation over a Carbon/Co3O4 nanocomposite for efficient catalytic oxidation of formaldehyde at room temperature. Environ. Sci. Technol. 2021, 55, 4054–4063. [Google Scholar] [CrossRef] [PubMed]
- Zhao, T.; Qiu, P.; Fan, Y.; Yang, J.; Jiang, W.; Wang, L.; Deng, Y.; Luo, W. Hierarchical branched mesoporous TiO2-SnO2 nanocomposites with well-defined n-n heterojunctions for highly efficient ethanol sensing. Adv. Sci. 2019, 6, 1902008. [Google Scholar] [CrossRef] [PubMed]
- Boningari, T.; Ettireddy, P.; Somogyvari, A.; Liu, Y.; Vorontsov, A.; McDonald, C.; Smirniotis, P. Influence of elevated surface texture hydrated titania on Ce-doped Mn/TiO2 catalysts for the low-temperature SCR of NOx under oxygen-rich conditions. J. Catal. 2015, 325, 145–155. [Google Scholar] [CrossRef]
- Jiang, L.; Liu, Q.; Ran, G.; Kong, M.; Ren, S.; Yang, J.; Li, J. V2O5-modified Mn-Ce/AC catalyst with high SO2 tolerance for low-temperature NH3-SCR of NO. Chem. Eng. J. 2019, 370, 810–821. [Google Scholar] [CrossRef]
- Castano, M.H.; Molina, R.; Moreno, S. Cooperative effect of the Co–Mn mixed oxides for the catalytic oxidation of VOCs: Influence of the synthesis method. Appl. Catal. A Gen. 2015, 492, 48–59. [Google Scholar] [CrossRef]
- Fan, Y.; Sun, M.; Miao, C.; Yue, Y.; Hua, W.; Gao, Z. Morphology Efects of Nanoscale Er2O3 and Sr-Er2O3 Catalysts for Oxidative Coupling of Methane. Catal. Lett. 2021, 151, 2197–2206. [Google Scholar] [CrossRef]
- Chen, Y.; Zheng, D.; Li, L.; Zeng, M.; Qin, M.; Hou, Z.; Fan, Z.; Gao, X.; Lu, X.; Li, Q.; et al. Domain structure and multiferroic properties of epitaxial hexagonal ErMnO3 films. J. Alloys Compd. 2020, 821, 153529. [Google Scholar] [CrossRef]
- Van, T.T.; Hoang, J.; Ostroumov, R.; Wang, K.L.; Bargar, J.R.; Lu, J.; Blom, H.O.; Chang, J.P. Nanostructure and temperature-dependent photoluminescence of Er-doped Y2O3 thin films for micro-optoelectronic integrated circuits. J. Appl. Phys. 2006, 100, 073512. [Google Scholar] [CrossRef]
- Shen, B.; Liu, Z.; Xu, H.; Wang, F. Enhancing the absorption of elemental mercury using hydrogen peroxide modified bamboo carbons. Fuel 2019, 235, 878–885. [Google Scholar] [CrossRef]
- Huang, H.; Hu, P.; Huang, H.; Chen, J.; Ye, X.; Leung, D.Y.C. Highly dispersed and active supported Pt nanoparticles for gaseous formaldehyde oxidation: Influence of particle size. Chem. Eng. J. 2014, 252, 320–326. [Google Scholar] [CrossRef]
- Wu, H.; Li, C.; Zhao, L.; Zhang, J.; Zeng, G.; Xie, Y.; Zhang, X.; Wang, Y. Removal of gaseous elemental mercury by cylindrical activated coke loaded with CoOx-CeO2 from simulated coal combustion flue gas. Energy Fuels 2015, 29, 6747–6757. [Google Scholar] [CrossRef]
- Zhang, H.; Li, S.; Jiao, Y.; Iojoiu, E.E.; Costa, P.D.; Galvez, M.E.; Chen, Y. Structure, surface and reactivity of activated carbon: From model soot to Bio Diesel soot. Fuel 2019, 257, 116038. [Google Scholar] [CrossRef]
- Li, Y.; Liu, Y.; Yang, W.; Liu, L.; Pan, J. Adsorption of elemental mercury in flue gas using biomass porous carbons modified by microwave/hydrogen peroxide. Fuel 2021, 291, 120152. [Google Scholar] [CrossRef]
- Wu, X.; Yu, X.; Huang, Z.; Shen, H.; Jing, G. MnOx-decorated VOx/CeO2 catalysts with preferentially exposed {110} facets for selective catalytic reduction of NOx by NH3. Appl. Catal. B Environ. 2020, 268, 118419. [Google Scholar] [CrossRef]
- He, J.; Yao, P.; Qiu, J.; Zhang, H.; Jiao, Y.; Wang, J.; Chen, Y. Enhancement effect of oxygen mobility over Ce0.5Zr0.5O2 catalysts doped by multivalent metal oxides for soot combustion. Fuel 2021, 286, 119359. [Google Scholar] [CrossRef]
- Li, G.; Wang, B.; Zhang, J.; Wang, R.; Liu, H. Er-doped g-C3N4 for photodegradation of tetracycline and tylosin: High photocatalytic activity and low leaching toxicity. Chem. Eng. J. 2019, 453, 123500. [Google Scholar] [CrossRef]
- Gul, S.; Serna, M.; Zahra, S.; Arif, N.; Iqbal, M.; Akinwande, D.; Rizwan, S. Un-doped and Er-adsorbed layered Nb2C MXene for efficient hydrazine sensing application. Surf. Interfaces 2021, 24, 101074. [Google Scholar] [CrossRef]
- Liu, M.; Li, C.; Zeng, Q.; Du, X.; Gao, L.; Li, S.; Zhai, Y. Study on removal of elemental mercury over MoO3-CeO2/cylindrical activated coke in the presence of SO2 by Hgtemperature-programmed desorption. Chem. Eng. J. 2019, 371, 666–678. [Google Scholar] [CrossRef]
- Chen, J.; Li, C.; Li, S.; Lu, P.; Gao, L.; Du, X.; Yi, Y. Simultaneous removal of HCHO and elemental mercury from flue gas over Co-Ce oxides supported activated coke impregnated by sulfuric acid. Chem. Eng. J. 2018, 338, 358–368. [Google Scholar] [CrossRef]
- Miao, L.; Wang, J.; Zhang, P. Review on manganese dioxide for catalytic oxidation of airborne formaldehyde. Appl. Surf. Sci. 2019, 466, 441–453. [Google Scholar] [CrossRef]
- Liu, F.; Cao, R.; Rong, S.; Zhang, P. Tungsten doped manganese dioxide for efficient removal of gaseous formaldehyde at ambient temperatures. Mater. Des. 2018, 149, 165–172. [Google Scholar] [CrossRef]
- Ullah, H.; Abbas, Q.; Ali, M.U.; Amina; Cheema, A.I.; Yousaf, B.; Rinklebe, J. Synergistic effects of low-/medium-vacuum carbonization on physicochemical properties and stability characteristics of biochars. Chem. Eng. J. 2019, 373, 44–57. [Google Scholar] [CrossRef]
- Lam, S.S.; Liew, R.K.; Wong, Y.M.; Azwar, E.; Jusoh, A.; Wahi, R. Activated carbon for catalyst support from microwave pyrolysis of orange peel. Waste Biomass Valorl. 2017, 8, 2109–2119. [Google Scholar] [CrossRef]
- Zhao, Q.; Chen, B.; Li, J.; Wang, X.; Crocker, M.; Shi, C. Insights into the structure-activity relationships of highly efficient CoMn oxides for the low temperature NH3-SCR of NOx. Appl. Catal. B Environ. 2020, 277, 119215. [Google Scholar] [CrossRef]
- Li, H.; Wu, C.-Y.; Li, Y.; Zhang, J. CeO2-TiO2 catalysts for catalytic oxidation of elemental mercury in low-rank coal combustion flue gas. Environ. Sci. Technol. 2011, 45, 7394–7400. [Google Scholar] [CrossRef] [PubMed]
- Lu, P.; Li, C.; Zeng, G.; He, L.; Peng, D.; Cui, H.; Li, S.; Zhai, Y. Low temperature selective catalytic reduction of NO by activated carbon fiber loading lanthanum oxide and ceria. Appl. Catal. B Environ. 2010, 96, 157–161. [Google Scholar] [CrossRef]
- Zhang, S.; Wang, H.; Si, H.; Jia, X.; Wang, Z.; Li, Q.; Kong, J.; Zhang, J. Novel core-shell (#-MnO2/CeO2)@CeO2 composite catalyst with a synergistic effect for efficient formaldehyde oxidation. ACS Appl. Mater. Interfaces 2020, 12, 40285. [Google Scholar]
- Zhang, Y.; Li, C.; Zhu, Y.; Du, X.; Lyu, Y.; Li, S.; Zhai, Y. Insight into the enhanced performance of toluene removal from simulated flue gas over Mn-Cu oxides modified activated coke. Fuel 2020, 276, 118099. [Google Scholar] [CrossRef]
- Zhang, J.; Shen, B.; Hu, Z.; Zhen, M.; Guo, S.; Dong, F. Uncovering the synergy between Mn substitution and O vacancy in ZnAl-LDH photocatalyst for efficient toluene removal. Appl. Catal. B Environ. 2021, 296, 120376. [Google Scholar] [CrossRef]
- Wang, T.; Li, C.; Zhao, L.; Zhang, J.; Li, S.; Zeng, G. The catalytic performance and characterization of ZrO2 support modification on CuO-CeO2/TiO2 catalyst for the simultaneous removal of Hg0 and NO. Appl. Surf. Sci. 2017, 400, 227–237. [Google Scholar] [CrossRef]
- Zhuang, Z.; Wang, L.; Tang, J. Efficient removal of volatile organic compound by ballmilled biochars from different preparing conditions. J. Hazard. Mater. 2021, 406, 124676. [Google Scholar] [CrossRef] [PubMed]
- Lyu, Y.; Li, C.; Du, X.; Zhu, Y.; Zhang, Y.; Li, S. Catalytic oxidation of toluene over MnO2 catalysts with different Mn (II) precursors and the study of reaction pathway. Fuel 2020, 262, 116610. [Google Scholar] [CrossRef]
- Ma, C.; Sun, S.; Lu, H.; Hao, Z.; Yang, C.; Wang, B.; Chen, C.; Song, M. Remarkable MnO2 structure-dependent H2O promoting effect in HCHO oxidation at room temperature. J. Hazard. Mater. 2021, 414, 125542. [Google Scholar] [CrossRef] [PubMed]
- Wang, Y.; Qu, Z.; Xu, J.; Huang, B. Effect of Al2O3 phase on the catalytic performance for HCHO oxidation over Ag/Al2O3 catalysts. Appl. Catal. A Gen. 2020, 602, 117705. [Google Scholar] [CrossRef]
- Bao, W.; Chen, H.; Wang, H.; Zhang, R.; Wei, Y.; Zheng, L. Pt nanoparticles supported on N/Ce-doped activated carbon for the catalytic oxidation of formaldehyde at room temperature. ACS Appl. Nano Mater. 2020, 3, 2614–2624. [Google Scholar] [CrossRef]
- Xiang, N.; Hou, Y.; Han, X.; Li, Y.; Guo, Y.; Liu, Y.; Huang, Z. Promoting effect and mechanism of alkali Na on Pd/SBA-15 for room temperature formaldehyde catalytic oxidation. ChemCatChem 2019, 11, 5098–5107. [Google Scholar] [CrossRef]
- Ye, J.; Zhou, M.; Le, Y.; Cheng, B.; Yu, J. Three-dimensional carbon foam supported MnO2/Pt for rapid capture and catalytic oxidation of formaldehyde at room temperature. Appl. Catal. B Environ. 2020, 267, 118689. [Google Scholar] [CrossRef]
- Hou, Z.; Dai, L.; Liu, Y.; Deng, J.; Jing, L.; Pei, W.; Gao, R.; Feng, Y.; Dai, H. Highly efficient and enhanced sulfur resistance supported bimetallic single-atom palladium–cobalt catalysts for benzene oxidation. Appl. Catal. B Environ. 2021, 285, 119844. [Google Scholar] [CrossRef]
- Chen, H.; Zhang, R.; Wang, H.; Bao, W.; Wei, Y. Encapsulating uniform Pd nanoparticles in TS-1 zeolite as efficient catalyst for catalytic abatement of indoor formaldehyde at room temperature. Appl. Catal. B Environ. 2020, 278, 119311. [Google Scholar] [CrossRef]
- Eom, H.; Hwang, I.-H.; Lee, D.; Lee, S.M.; Kim, S.S. Preparation of liquid-phase reduction method-based Pt/TiO2 catalyst and reaction characteristics during HCHO room temperature oxidation. Ind. Eng. Chem. Res. 2020, 59, 15489–15496. [Google Scholar] [CrossRef]
- Guo, H.; Li, M.; Liu, X.; Meng, C.; Linguerri, R.; Han, Y.; Chambaud, G. Fe Atoms Trapped on Graphene as Potential Efficient Catalysts for Room-temperature Complete Oxidation of Formaldehyde: A First-principles Investigation. Catal. Sci. Technol. 2017, 7, 2012–2021. [Google Scholar] [CrossRef]
- Zhu, J.; Feng, X.; Liu, X.; Zhang, X.; Wu, Y.; Zhu, H.; Yang, Y.; Duan, T.; Sui, Y.; Han, Y.; et al. The formation and evolution of carbonate species in CO oxidation over mono-dispersed Fe on graphene. Phys. Chem. Chem. Phys. 2021, 23, 10509. [Google Scholar] [CrossRef] [PubMed]
- Wang, J.; Wang, J.; Wang, W.; Hu, X.; Deng, Y.; Wang, H.; Wu, Y. The generation of carbon/oxygen double defects in FeP/CoP-N-C enhanced by β particles for photic driving degradation of levofloxacin. Sep. Purif. Technol. 2022, 303, 122186. [Google Scholar] [CrossRef]
- Wang, S.; He, T.; Chen, P.; Du, A.; Ostrikov, K.; Huang, W.; Wang, L. In situ formation of oxygen vacancies achieving near-complete charge separation in planar BiVO4 photoanodes. Adv. Mater. 2020, 32, 2001385. [Google Scholar] [CrossRef]
- Skulason, E.; Bligaard, T.; Gudmundsdottir, S.; Studt, F.; Rossmeisl, J.; Abild-Pedersen, F.; Vegge, T.; Jonsson, H.; Norskov, J.K. A theoretical evaluation of possible transition metal electro-catalysts for N2 reduction. Phys. Chem. Chem. Phys. 2012, 14, 1235. [Google Scholar] [CrossRef]
















| Sample | BET Surface Area (m2/g) | Total Pore Volume (cm3/g) | Average Pore Diameter (nm) |
|---|---|---|---|
| Primordial BAC | 284.3071 | 0.263 | 5.0651 |
| 5%Er0.5Mn0.5/BAC | 240.2477 | 0.218 | 5.3080 |
| 10%Er0.5Mn0.5/BAC | 204.4189 | 0.189 | 5.6334 |
| 15%Er/BAC | 185.3815 | 0.189 | 5.8242 |
| 15%Mn/BAC | 198.0249 | 0.196 | 5.7362 |
| 15%Er0.5Mn0.5/BAC | 198.7038 | 0.180 | 4.9473 |
| 20%Er0.5Mn0.5/BAC | 159.5359 | 0.154 | 5.2493 |
Disclaimer/Publisher’s Note: The statements, opinions and data contained in all publications are solely those of the individual author(s) and contributor(s) and not of MDPI and/or the editor(s). MDPI and/or the editor(s) disclaim responsibility for any injury to people or property resulting from any ideas, methods, instructions or products referred to in the content. |
© 2023 by the authors. Licensee MDPI, Basel, Switzerland. This article is an open access article distributed under the terms and conditions of the Creative Commons Attribution (CC BY) license (https://creativecommons.org/licenses/by/4.0/).
Share and Cite
Wang, J.; Gao, L.; Xie, D.; Li, C.; Xiang, L.; Jiang, Y.; Xu, Q.; Xiong, H.; Yi, L.; Liu, J.; et al. Excellent Performance and Feasible Mechanism of ErOx-Boosted MnOx-Modified Biochars Derived from Sewage Sludge and Rice Straw for Formaldehyde Elimination: In Situ DRIFTS and DFT. Catalysts 2023, 13, 1222. https://doi.org/10.3390/catal13081222
Wang J, Gao L, Xie D, Li C, Xiang L, Jiang Y, Xu Q, Xiong H, Yi L, Liu J, et al. Excellent Performance and Feasible Mechanism of ErOx-Boosted MnOx-Modified Biochars Derived from Sewage Sludge and Rice Straw for Formaldehyde Elimination: In Situ DRIFTS and DFT. Catalysts. 2023; 13(8):1222. https://doi.org/10.3390/catal13081222
Chicago/Turabian StyleWang, Jiajie, Lei Gao, Dong Xie, Caiting Li, Liping Xiang, Yun Jiang, Qing Xu, Huiyu Xiong, Lei Yi, Jie Liu, and et al. 2023. "Excellent Performance and Feasible Mechanism of ErOx-Boosted MnOx-Modified Biochars Derived from Sewage Sludge and Rice Straw for Formaldehyde Elimination: In Situ DRIFTS and DFT" Catalysts 13, no. 8: 1222. https://doi.org/10.3390/catal13081222
APA StyleWang, J., Gao, L., Xie, D., Li, C., Xiang, L., Jiang, Y., Xu, Q., Xiong, H., Yi, L., Liu, J., & Wu, J. (2023). Excellent Performance and Feasible Mechanism of ErOx-Boosted MnOx-Modified Biochars Derived from Sewage Sludge and Rice Straw for Formaldehyde Elimination: In Situ DRIFTS and DFT. Catalysts, 13(8), 1222. https://doi.org/10.3390/catal13081222
