Abstract
Recent advances in the design and synthesis of five-membered heterocycles containing both sulfur and selenium atoms—1,3-thiaselenolane and 1,3-thiaselenole derivatives—are discussed in this review. These heterocyclic systems are of interest as intermediates for organic synthesis and compounds that can exhibit various useful properties, including biological activity and electrical conductivity. The main focus of the review is on the works of the last 20 years that make use of catalytic reactions. Synthetic methods for the preparation of structurally related 1,4,5,8-diselenadithiafulvalenes based on catalytic cross-coupling reactions are also presented. To date, the design and synthesis of 1,3-thiaselenolane and 1,3-thiaselenole derivatives have not been discussed in a separate review.
1. Introduction
After the discovery of the important biological role of selenium, organoselenium chemistry began to develop rapidly. A number of classes of the organoselenium compounds have acquired great significance [1,2,3,4,5]. In terms of practical use, selenium heterocycles are particularly noteworthy. These compounds find applications in different fields of our lives, such as biology, medicine, pharmaceuticals, and material sciences, including various aspects of fundamental organic chemistry [1,2,3,4,5].
A number of selenium heterocycles exhibit glutathione peroxidase-like properties and can be used to treat diseases caused by oxidative stress, such as cardiovascular, ischemic stroke, Parkinson’s, and Alzheimer’s disease [6,7,8,9,10,11,12]. Some selenium heterocyclic and functionalized compounds are considered potential anti-cancer drugs [13,14,15,16,17,18,19,20,21] and exhibit antidepressant [22,23,24,25,26] and antiviral activities [27], including anti-HIV [28] and anti-SARS-CoV-2 properties [29,30,31] (Figure 1). Ebselen, an anti-inflammatory drug with neuroprotective and glutathione peroxidase-like properties, is undergoing clinical trials in several areas, including the treatment of COVID-19 [6,7,29].
This review covers design and synthetic methods for the preparation of 1,3-thiaselenolane and 1,3-thiaselenole derivatives (Figure 2) since January 2000, with an emphasis on catalytic reactions. This class of compounds is relatively few in number but very important.
Film composites based on linear and branched polymers containing the 1,3-thiaselenole ring in their structure exhibit photoconductivity [32,33] and can be used as efficient recording media [34,35]. Materials based on 1,3-diselenafulvene derivatives and their analogues show magnetic [36,37,38,39], conductive [40,41,42], and optical properties [43,44,45] (Figure 2) and can find a large number of technological applications [46,47].
Figure 1.
Selenium heterocyclic and functionalized compounds with biological activity [3,6,8,10,12,18,22,28,29,30].
Figure 1.
Selenium heterocyclic and functionalized compounds with biological activity [3,6,8,10,12,18,22,28,29,30].

Figure 2.
Examples of 1,3-thiaselenolane and 1,3-thiaselenole derivatives and their practical applications [37,40,44,45].
Figure 2.
Examples of 1,3-thiaselenolane and 1,3-thiaselenole derivatives and their practical applications [37,40,44,45].

1,3-Thiaselenolane and 1,3-thiaselenole derivatives include not only biologically active compounds, but also various conducting materials based on structurally related 1,4,5,8-diselenadithiafulvalenes. Synthetic methods for the preparation of 1,4,5,8-diselenadithiafulvalenes are based on catalytic cross-coupling reactions. Moreover, 1,3-thiaselenolane and 1,3-thiaselenole derivatives have not previously been discussed in a separate review.
2. 1,3-Thiaselenolane and 1,3-Thiaselenole Derivatives
2.1. 1,3-Thiaselenolane and 1,3-Thiaselenole Derivatives Based on Selenium Dihalides
A noticeable trend in the development of organoselenium chemistry in the last two decades is the use of new electrophilic reagents, selenium dichloride and dibromide, in the synthesis of organoselenium compounds.
Previously, selenium dihalides were studied by UV-visible, photoelectron, Raman, and 77Se NMR spectroscopy, and it was shown that these reagents exist in equilibrium with other selenium species (selenium monohalides and selenium tetrahalides) in solutions and cannot be isolated in pure form [48,49,50,51].
However, it was found that freshly prepared selenium dichloride and dibromide can be used for the selective preparation of organoselenium compounds, and these reagents were successfully introduced into organic synthesis [52,53,54,55]. The first synthesis of organoselenium compounds from selenium dichloride and dibromide is the preparation of 1,4-selenasilafulvenes by the cyclization reaction of these reagents with dimethyldiethynylsilane [52]. The selectivity and efficiency of the use of selenium dichloride and dibromide in organic synthesis have been shown in many reactions, which made it possible to obtain previously unknown classes of organoselenium compounds and study their chemical properties [53,54,55,56,57,58,59,60,61,62,63,64,65,66]. Compounds with high glutathione peroxidase-like activity have been found [56].
New synthetic approaches have been developed using the chemistry of these reagents. A new methodology for the synthesis of fused heterocyclic selenium compounds is based on the annulation and annulation/functionalization reactions of selenium dihalides with aromatic and natural compounds [57,58]. Another general regioselective approach to new selenium-containing heterocyclic compounds is based on addition/bis-functionalization reactions of selenium dibromide with alkenes in the presence of nucleophilic reagents [59,60]. Using this approach, a one-pot synthesis of novel, functionalized organoselenium compounds by bis-alkoxyselenenylation of alkenes with selenium dibromide and alcohols has been developed [59]. An efficient regioselective synthesis of novel, functionalized organoselenium compounds by cyclofunctionalization reactions of selenium dihalides with natural compounds and their derivatives has also been realized [61].
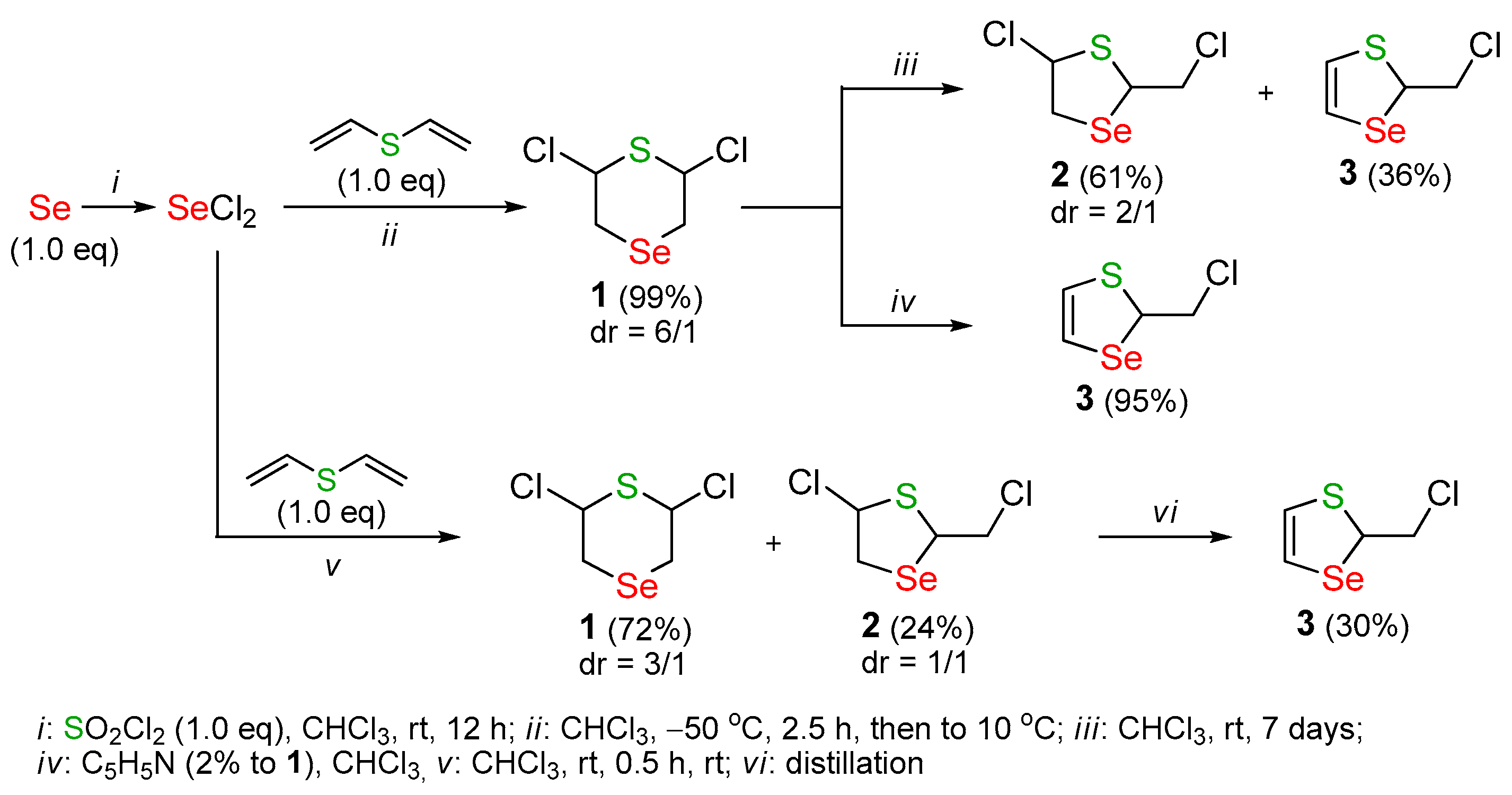
The use of selenium dichloride and dibromide made it possible to discover new possibilities in organic synthesis [53,54,55,56,57,58,59,60,61,62,63,64,65,66]. The reaction of selenium dichloride with divinyl sulfide at −50 °C in chloroform gave six-membered heterocycle, 2,6-dichloro-1,4-thiaselenane (1) (a 6/1 diastereomer ratio), in quantitative yield, which underwent rearrangement (chloroform, room temperature) to a five-membered heterocycle, 5-chloro-2-chloromethyl-1,3-thiaselenolane (2) in 61% yield (a 2/1 diastereomer ratio). Along with thiaselenolane 2, its dehydrochlorination product, 2-chloromethyl-1,3-thiaselenole (3), was formed in the reaction mixture in 36% yield (Scheme 1) [63,64,65,66].
Scheme 1.
Reaction of selenium dichloride with divinyl sulfide.
Granular elemental selenium, powdered immediately before the reaction, and freshly distilled sulfuryl chloride were used to prepare selenium dichloride.
Treatment of thiaselenane 1 with pyridine in chloroform gave only thiaselenole 3 in 95% yield (Scheme 1) [63,64,65,66].
The reaction of selenium dichloride with divinyl sulfide at room temperature gave a product mixture: thiaselenane 1 (a 3/1 diastereomer ratio, 72% yield) and thiaselenolane 2 (a 1/1 diastereomer ratio, yield 24%). Pure thiaselenole 3 in 30% yield was successfully obtained by the distillation of this reaction mixture (Scheme 1) [63,64,65,66].
The reaction route of selenium dichloride with divinyl sulfide was shown based on the quantum chemical calculations [65]. The reaction route includes the initial formation of thiaselenane 1, the rearrangement of thiaselenane 1 into thiaselenolane 2, and the dehydrochlorination of product 2 into thiaselenole 3 (Scheme 1). The results of the quantum chemical calculations are in excellent agreement with experimental data [65].
Divinyl sulfide is a multifaceted starting material for the synthesis of a variety of organosulfur compounds, including heterocycles [67,68].
The reaction of selenium dibromide with divinyl sulfide in chloroform at room temperature led to the formation of 5-bromo-2-bromomethyl-1,3-thiaselenolane (4) in 78% yield in the form of a mixture of diastereomers in a 3/2 ratio and 2-bromomethyl-1,3-thiaselenole (5) (17% yield). It was shown that thiaselenole 5 was formed as the product of the spontaneous dehydrobromination of thiaselenolane 4 (Scheme 2) [69,70].
Scheme 2.
Reaction of selenium dibromide with divinyl sulfide in chloroform.
Selenium dibromide was obtained in situ by the reaction of selenium powder with bromine in chloroform or carbon tetrachloride. The resulting solution of selenium dibromide and a freshly prepared solution of divinyl sulfide were simultaneously added dropwise to the reaction flask.
However, when this reaction was carried out at −55 °C, it was possible to fix the formation of the intermediate six-membered heterocycle 2,6-dibromo-1,4-thiaselenane (6), which was spontaneously rearranged into heterocycles 4 and 5 (Scheme 2) [69,70].
As it turned out, the nature of the solvent is very important for the reaction of selenium dibromide with divinyl sulfide, and the rates of rearrangement and dehydrobromination depend on the polarity of the solvent. Replacing the solvent with nonpolar carbon tetrachloride made it possible to obtain intermediate six-membered thiaselenane 6 in quantitative yield, which was stable for several days at −20 °C in solution. Thiaselenane 6 underwent spontaneous rearrangement into a five-membered isomer: 5-bromo-2-bromomethyl-1,3-thiaselenolane (4) in quantitative yield, when removing the solvent from the reaction mixture. The addition of pyridine to the reaction mixture with thiaselenane 6 significantly accelerated the rearrangement of this compound into the five-membered heterocycle 4 and its dehydrobromination to thiaselenole 5 in 95% yield (Scheme 3) [70,71,72]. It is known that pyridine can act not only as a dehydrohalogenation agent but also as a catalyst [73].
Scheme 3.
Reaction of selenium dibromide with divinyl sulfide in carbon tetrachloride.
2-Bromomethyl-1,3-thiaselenole (5) is a unique reagent in which the high anchimeric assistance effect of the selenium atom allows this compound to exhibit unusual properties in nucleophilic reactions. This effect, also known as the neighboring group participation, is usually considered as a factor accelerating the rate of nucleophilic substitution reactions. In this case, the anchimeric effect leads to new rearrangements with the selective formation of various selenium-containing heterocyclic compounds.
The structure of thiaselenole 5 suggests the possibility of the formation of both seleniranium and thiiranium cations, whose participation in the nucleophilic substitution reaction can lead to the formation of two different reaction products (Scheme 4).
Scheme 4.
Possible formation of reaction products starting from thiaselenole 5 via seleniranium or thiiranium cations.
However, in this case, the reaction proceeds via an intermediate seleniranium cation. This is explained by the high anchimeric assistance effect of the selenium atom, which significantly exceeds the effect of the sulfur atom. This superiority of the selenium atom was established based on the determination of the absolute and relative rates of nucleophilic substitution of chlorine in selenium- and sulfur-containing analogs, 2,6-dichloro-9-selenabicyclo [3.3.1]nonane and 2,6-dichloro-9-thiabicyclo [3.3.1]nonane [74].
The reaction of thiaselenole 5 with ammonium thiocyanate in acetonitrile at room temperature led to the formation of only 2,3-dihydro-1,4-thiaselenin-2-yl thiocyanate (7) in 95% yield. However, at 60 °C, a complete rearrangement of the heterocycle 7 into the thermodynamic product of the reaction, five-membered (1,3-thiaselenole-2-yl)methylthiocyanate (8), took place (Scheme 5) [75,76,77].
Scheme 5.
Reaction of 2-bromomethyl-1,3-thiaselenole (5) with ammonium thiocyanate and potassium selenocyanate in acetonitrile.
An unusual result was obtained when thiaselenole 5 interacted with potassium selenocyanate in acetonitrile at room temperature (5 min). As a result of the reaction, five-membered 1,3-thiaselenol-2-yl-methyl selenocyanate (9) was formed in quantitative yield (Scheme 5) [75,76,77]. Product 9 was easily separated from the reaction mixture by filtering the solution and removing the solvent at reduced pressure without additional purification. At the same time, using 1H NMR monitoring under the same conditions, but at 0 °C, the intermediate six-membered selenocyanate 10 was successfully fixed, which, over time and with increasing temperature, rearranged into the thermodynamic product five-membered heterocycle 9 (Scheme 5) [75,76,77].
The formation of dihydrothiaselenines 7,10 occurs through an intermediate seleniranium cation arising as a result of the anchimeric effect of the selenium atom. The further reaction includes the substitution of the bromide anion with the thiocyanate anion that attacks the carbon atom with the cleavage of the CH–Se bond and the opening of the seleniranium cation (Scheme 5) [75,76,77]. Thus, the five-membered heterocycle is expanded into a six-membered one.
The formation of heterocycles 8,9 occurs as a rearrangement of dihydrothiaselenines 7,10, also proceeding through the seleniranium intermediate, and the thiocyanate or selenacyanate anion attacks the carbon atom of the CH2 group in the seleniranium cation. In this case, the cleavage in the Se–CH2 bond leads to a contraction of the six-membered ring to a five-membered one (Scheme 5) [75,76,77]. Thus, the formation of thiocyanate 8 and selenocyanate 9 is the result of two rearrangements, rather than a “classical” nucleophilic substitution of the bromine atom in thiaselenole 5.
When heterocycle 9 was treated with potassium hydroxide in methanol, bis(1,3-thiaselenol-2-yl methyl) diselenide (11) was formed in 90% yield, consisting of two diastereomers (Scheme 5) [75,76,77].
Compounds 7–11 are perspective intermediates for organic synthesis with possible biological activity. Unsaturated selenocyanate 9 and diselenide 11 were used for the synthesis of new ensembles of S/Se-containing heterocycles with promising biological activity [77].
The reaction of NaBH4 with selenocyanate 9 or diselenide 11 in methanol at room temperature afforded sodium 1,3-thiaselenol-2-ylmethylselenolate, which was in situ involved in nucleophilic substitution reactions with organohalogen compounds, bearing alkyl, benzyl, allyl, 2-propynyl, 2-pyridylmethyl, and 4-fluorobenzyl groups. The products 1,3-thiaselenol-2-ylmethyl selenides 12a–l were obtained in high yields (75–92%) and in a regioselective manner (Scheme 6) [77].
Scheme 6.
Synthesis of 1,3-thiaselenol-2-ylmethyl selenides 12a–l.
However, the method of the generation of the 1,3-thiaselenol-2-ylmethylselenolate anion from selenocyanate 9 was slightly more effective, and the yields of the thiaselenol-2-ylmethylselanyl derivatives 12a–l from selenocyanate 9 were higher compared to that of the method based on diselenide 11 (Scheme 6) [77].
The 1,3-Thiaselenol-2-ylmethylselenolate anion, obtained from selenocyanate 9, was also used in the nucleophilic addition reaction to activate acetylenes including alkyl propiolates. The reaction was carried out in methanol at 0 °C. For example, alkyl 3-[(1,3-thiaselenol-2-ylmethyl)selanyl]-2-propenoates 13a (Z/E = 94/6) and 13b (Z/E = 93/7) were obtained in a regio- and stereoselective fashion in 94% and 90% yields, respectively (Scheme 7) [77].
Scheme 7.
Synthesis of alkyl 3-[(1,3-thiaselenol-2-ylmethyl)selanyl]-2-propenoates 13a,b.
The reaction of the nucleophilic substitution of 2-bromomethyl-1,3-thiaselenole (5) with mercapto benzazoles 14a–d, containing various combinations of heteroatoms (N, O and S), produced the corresponding 2,3-dihydro-1,4-thiaselenins 15a–d and 1,3-thiaselenole derivatives 16a–d in quantitative yields. The reaction proceeded in dimethylformamide or acetonitrile in the presence of bases such as lithium or potassium carbonate (Scheme 8) [78,79].
Scheme 8.
Reaction of 2-bromomethyl-1,3-thiaselenole (5) with mercapto benzazoles 14a–d.
It is known that metal carbonates can be used not only as dehydrobrominating but also as catalytic reagents [80,81,82,83,84]. In this case, six-membered products 15a–d were rearranged into more stable thermodynamic five-membered products 16a–d under the action of lithium or potassium carbonate. This was shown by the example of compound 16a, which was obtained by heating compound 15a to 90 °C for 1 h (Scheme 8) [78,79].
It is known that imidazole and pyrazole derivatives exhibit fungicidal activity [85], and selenium-containing benzoxazoles act as both bactericides and fungicides [86].
Since selenium compounds exhibit glutathione peroxidase-like properties, the authors of [87] attempted to obtain hybrid molecules combining imidazole and selenium heterocycles.
The nucleophilic substitution reaction of 2-bromomethyl-1,3-thiaselenole (5) with 1-methyl-1H-imidazole-2-thiol 17 in dimethylformamide in the presence of potassium carbonate at room temperature produced 2-(2,3-dihydro-1,4-thiaselenin-2-ylsulfanyl)-1-methyl-1H-imidazole (18) in 80% yield (Scheme 9) [87].
Scheme 9.
Reaction of 2-bromomethyl-1,3-thiaselenole (5) with 1-methyl-1H-imidazol-2-thiol (17).
The reaction proceeded with the expansion of the cycle, accompanied by a rearrangement with the formation of a functionalized 2,3-dihydro-1,4-thiaselenin ring. The reaction proceeded in a regioselective fashion; the five-membered products were not detected, even as traces.
It can be assumed that the nucleophilic substitution of thiaselenole 5 by imidazole 17 in dimethylformamide involves the formation of seleniranum intermediate. Next, a nucleophilic attack occurs on the C2 atom of seleniranum cations, leading to the breaking of the Se–C2 bond, the expansion of the ring to 2,3-dihydro-1,4-thiaselenine, and the formation of product 18 (Scheme 10) [87].
Scheme 10.
Reaction mechanism of 2-bromomethyl-1,3-thiaselenole (5) with 1-methyl-1H-imidazol-2-thiol (17).
Imidazole 18 was rearranged into 1-methyl-2-[(1,3-thiaselenol-2-yl methyl)sulfonyl]-1H-imidazole (19) with ring constriction when boiled in chloroform solution. In this case, 1-(2,3-dihydro-1,4-thiaselenin-2-yl)-3-methyl-1,3-dihydro-2H-imidazole-2-thione 20 was also formed (Scheme 9) [87].
When this reaction was carried out in acetonitrile in the absence of a base at room temperature, a hydrobromide of compound 18 was formed, 2-(2,3-dihydro-1,4-thiaselenin-2-ylsulfanyl)-1-methyl-1H-imidazole-3-ium bromide (21), in 52% yield, which was completely isomerized into the thermodynamic product, 1-methyl-2-[(1,3-thiaselenol-2-ylmethyl)sulfanyl]-1H-imidazole-3-ium bromide (22) (yield 96%) in a methanol solution at room temperature. Thiaselenole 22, in turn, was easily dehydrobrominated and converted into thiaselenole 19 after treatment with an aqueous solution of potassium hydroxide in 95% yield (Scheme 9) [87].
The nucleophilic substitution reaction of thiaselenole 5 with 5-methyl-1,3,4-thiadiazole-2-thiol (23) in acetonitrile at room temperature and subsequent treatment of the reaction mixture with sodium hydrocarbonate provided 2-methyl-5-{[(1,3-thia-selenol-2-yl)methyl]sulfanyl}-1,3,4-thiadiazole (24) in 43% yield. The formation of product 24 presumably proceeded through a double rearrangement with the expansion and contraction of the thiaselenole ring. The intermediate six-membered product 25 was detected by 1H NMR spectroscopy in a non-salt form during the treatment of the reaction mixture with sodium hydrocarbonate at the initial stage of the reaction (Scheme 11) [88].
Scheme 11.
Synthesis of 2-methyl-5-{[(1,3-thiaselenol-2-yl)methyl]sulfanyl}-1,3,4-thiadiazole (24).
Thus, the high anchimeric assistance effect of the selenium atom in thiaselenole 5 is the driving force for the formation of seleniranium intermediate. Over the past fifteen years, a fundamental approach has been developed surrounding the regio- and stereoselective synthesis of functionalized organoselenium heterocyclic compounds based on nucleophilic substitution reactions proceeding via intermediate seleniranium cation.
Sulfur- and selenium-containing heterocycles 16a–d,19,22,24, functionalized with pharmacophore nitrogen heterocycles, are promising, biologically active heterocyclic systems with a wide spectrum of activity, including glutathione peroxidase-like activity (Scheme 8, Scheme 9, Scheme 10 and Scheme 11) [78,79,87,88].
The analysis of the literature data has shown that 2-bromomethyl-1,3-thiaselenole (5) is a unique and promising reagent for organic synthesis that exhibits unusual properties in nucleophilic substitution and addition reactions [63,64,65,66,69,70,71,72,75,76,77,78,79,87,88].
2.2. 1,3-Thiaselenolanes Based on Catalytic Reactions
Tetrabutylammonium fluoride (TBAF) is used in ring-opening reactions [89,90] and catalyzes the reactions of substituted epoxides with hexamethyldisilathiane (HMDST) [91] and hexamethyldisilaselenane [90], providing a direct and simple access to β-mercaptoalcohols and β-functionalized selenols, respectively, in a highly regio- and stereoselective way. Alkyl selenols can easily react with electrophiles, such as alkyl halides, acyl chlorides, and strained heterocycles to obtain the corresponding functionalized selenides under very mild conditions [90].
The reaction of a three-membered episulfide, 2-methylthiirane 27 with hexamethyldisilaselenane 28 was carried out in the presence of tetrabutylammonium fluoride as a catalyst and 1-bromo-1-methoxyethane 29. In this case, 1,3-thiaselenolane 30 was obtained in a 70/30 diastereomer ratio, which formed as a result of the capture of the intermediate product β-mercapto diselenide by bromine derivative 29 in situ (Scheme 12) [92].
Scheme 12.
Synthesis of 1,3-thiaselenolane 30.
Lewis acids can be used for effecting Michael-type addition reactions. Aluminum oxide as a catalyst [93,94] and a catalytic system aluminum oxide/potassium fluoride [95,96,97,98] were used in these reactions.
Mercapto-substituted alkyl-vinyl selenides 32a,b were obtained by the reaction of seleno-Michael addition of substituted β-mercapto-selenol 31b to electron-deficient alkenes in toluene solution in the presence of aluminum oxide (Scheme 13) [99]. Although β-mercapto-selenol 31b contains mercapto and selenol groups, only the latter was involved in the addition reaction. Product 32a was obtained in 79% yield as a mixture of diastereomers (a 90/10 ratio).
Scheme 13.
Synthesis of functionalized 1,3-thiaselenolanes 33a,b.
Vinyl selenide 32b was generated in situ and involved in the cyclization reaction under the same conditions (Scheme 13) [99]. The strong nucleophilic character of the mercapto fragment of the α,β-unsaturated γ-selenoesters 32a,b provided access to disubstituted 1,3-thiaselenolanes 33a,b by means of thia-Michael intramolecular reactions occurring in the presence of triethylamine for the preparation of compound 33a (92% yield, dr = 51/49), and aluminum oxide in the case of compound 33b (83% yield, dr = 55/49) (Scheme 13) [99]. This method of vinyl selenides synthesis is very convenient, since the reaction proceeds under mild conditions and without the use of transition metal catalysts.
The functionalized 1,3-thiaselenolanes 33a,b, containing sulfur and selenium in their structure, exhibit antioxidant activity and peroxidase-like properties [99].
Quite a lot of methods for the synthesis of vinyl selenides have been developed by catalyzed addition reactions of organic diselenides and selenolate to the triple bond of acetylenes [100,101,102]. Vinyl selenides are valuable intermediates for organic synthesis. Vinyl selenides were successfully used as starting compounds for the stereoselective preparation of functionalized ethenes by cross-coupling reactions and for a variety of other useful transformations [100,101,102].
Iodine-mediated cyclization is known to be a valuable tool for the creation of various heterocycles by the intramolecular cyclization of unsaturated carbon–carbon bond with various nucleophilic reagents such as nitrogen-, oxygen-, sulfur- [103,104,105,106,107] and selenium-centered [108,109,110] nucleophiles.
Isoselenocyanates 34a–d were synthesized by the reactions of N-substituted formamides with an excess of triphosgene, selenium powder, and triethylamine (Scheme 14) [111].
Scheme 14.
Synthesis of 2-imino-1,3-thiaselenolanes 36a–c and its derivatives 37a,b and 38a.
These products 34a–d were relatively unstable to air. Therefore, they were used in the following reactions immediately after their preparation.
The reaction of aryl-substituted isoselenocyanates 34a–c with allyl mercaptan afforded S-allyl-selenothiocarbamates 35a–c, which were involved in the reaction of intramolecular iodocyclization. The latter reaction led to 2-imino-1,3-thiaselenolanes 36a–c in up to 90% yields in the form of the Z/E-isomeric mixture in the imine position. The Z/E-isomerization of chalcogen-containing heterocycles bearing an exocyclic imine depends on both ring size and the nature of heteroatom in selenocarbonyl intermediates. In this case, the Z-isomer is predominantly formed (Scheme 14) [112].
Further structural modification of compounds 36a,b using diazabicycloundecene (DBU) as a dehydrohalogenating reagent [110] in dichloromethane at room temperature for 4 h produced five-membered products with two exocyclic double bonds—4-methylidene-2-phenylimino-1,3-thiaselenolane (37a) in 80% yield with preservation of stereochemistry (Z/E = 85:15) and 4-methylidene-2-(4-methylphenylimino)-1,3-thiaselenolane (37b) (Z/E = 85:15) in 57% yield (Scheme 14) [112].
The acid cyclization of S-allyl-phenylseleno thiocarbamate 35a in a hydrogen chloride solution of diethyl ether and ethyl acetate afforded 4-methyl-2-phenylimino-1,3-thiaselenolane 38a as a mixture of Z- and E-isomers in imine positions in 50% yield (Scheme 14) [112].
2.3. Oxidized Derivatives of 1,3-Thiaselenolane and 1,3-Thiaselenole
A four-membered heterocycle, 2,4-bis(chloromethyl)-1,3-thiaselenetane-1,1-dione (39), and a five-membered heterocycle, 5-chloro-2-chloromethyl-1,3-thiaselenolane-1,1-dione (40), were obtained in 55% yield (a 5/3 diastereomer ratio) and in 45% yield (a 3/1 diastereomer ratio), respectively, by the reaction of selenium dichloride with divinyl sulfone in acetonitrile at room temperature (Scheme 15) [113,114,115].
Scheme 15.
Reaction of selenium dichloride and dibromide with divinyl sulfone.
A similar reaction of selenium dibromide with divinyl sulfone with high stereoselectivity leads to the formation of the corresponding 2,4-bis(bromomethyl)-1,3-thiaselenetane-1,1-dione (41) (a 20/1 diastereomer ratio) in 78% yield and 5-bromo-2-bromomethyl-1,3-thiaselenolane 1,1-dione (42) (a 9/1 diastereomer ratio) in 22% yield (Scheme 15) [113,114,115].
Upon the action of pyridine on compounds 40 and 42, heterocycles 43 and 44 were regioselectively obtained in 80% and 62% yields, respectively. The dehydrohalogenation reaction resulted in the formation of only products containing an exocyclic double bond (Scheme 15) [113,114,115], unlike the dehydrohalogenation reactions of similar compounds with non-oxidized sulfur in the ring (Scheme 1, Scheme 2 and Scheme 3) [63,64,65,66,69,70,71,72]. In this case, the electron-withdrawing sulfonyl group increased the acidity of α-CH protons, and dehydrohalogenation, leading to an exocyclic double bond, became more preferable (Scheme 15) [113,114,115].
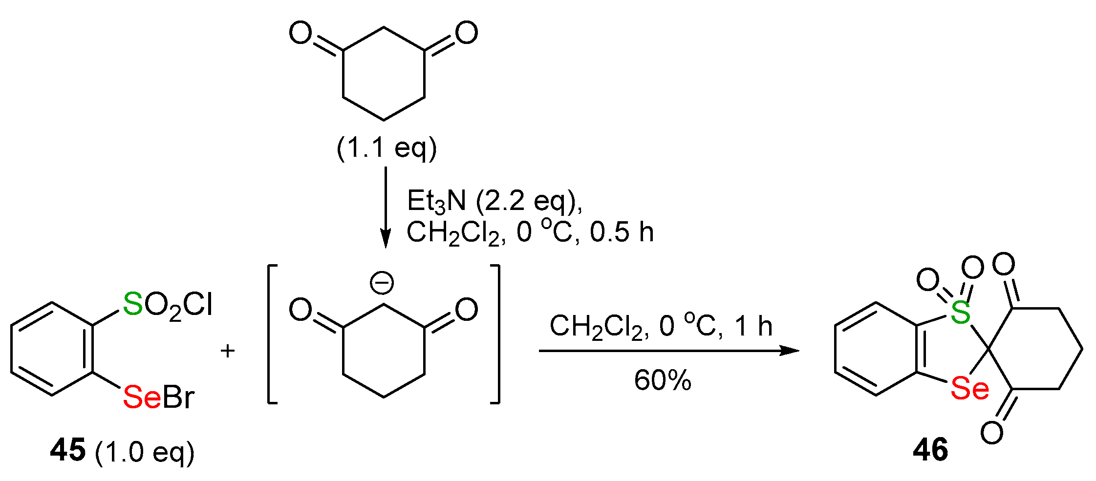
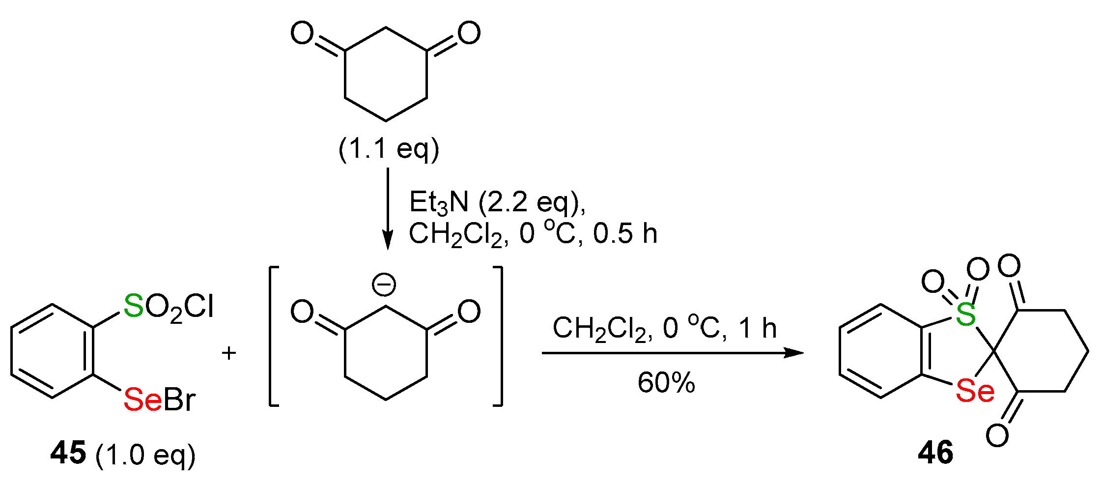
Triethylamine is a suitable reagent for generating carbon nucleophiles, which in turn can react with electrophilic centers [116]. The reaction of o-substituted 2-(bromoselanyl)benzenesulfonyl chloride (45) with a carbon nucleophile, which was obtained in situ from the active methylene group of 1,3-cyclohexadienone in the presence of triethylamine in methylene chloride, led to the formation of 2′H,6′H-spiro [1,3-benzothiaselenole-2,1′-cyclohexane]-2′,6′-dione 1,1-dioxide (46) in 60% yield (Scheme 16) [117].
Scheme 16.
Synthesis of 2′H,6′H-spiro [1,3-benzothiaselenole-2,1′-cyclohexane]-2′,6′-dione 1,1-dioxide (46).
2.4. 1,4,5,8-Diselenadithiafulvalene Derivatives
Derivatives of diselenadithiafulvalene are useful building blocks for organic synthesis and donor units for the preparation of charge-transfer complexes and radical ion salts, and the construction of organic metals, semiconductors, superconductors, ferromagnets and other conductive materials [36,37,38,39,40,41,42,43,44,45,46,47].
Four hybrid diselenadithiafulvalenes 47a–d conjugated with five-membered heterocycles that form highly conductive molecular complexes with 7,7,8,8-tetracyanoquinodimethane (TCNQ) were synthesized as new electron donors.
At the initial stage, derivatives of 1,3-dichalcogenole-2-chalcogenone 48a–d were formed by a cyclization reaction of commercially available tetrahydropyranyl-protected 3-butin-1-ol with chalcogen and carbon dichalcogenide in up to 95% yields.
Triethyl and trimethyl phosphite are known to catalyze cross-coupling reactions of ketones, thions, and selenones, giving composite fulvalene molecules [118,119,120,121,122]. The system of internal fulvalene rings—compounds 49a–d was formed in up to 86% yields by usual trimethyl phosphite-catalyzed coupling in the benzene solution. After removing the THP-protective group (compounds 50a–d, in yields up to 99%) and replacing the proton with a tosyl group (compounds 51a–d, in yields up to 98%), the outer heterocyclic rings were constructed at the last stage with the formation of diselenadithiafulvalenes 47a–d in up to 91% yields as a result of the transalkylation reaction of the chalcogen atom (Scheme 17) [123].
Scheme 17.
Synthesis of diselenadithiafulvalenes 47a–d.
An effective synthetic method for the preparation of bis(ethylenedithio)diselenadithiafulvalene (52a) was developed. The reaction of 2-iodoethyltetrahydropyranyl ether (53) with potassium thiocyanate gave the corresponding thiocyanate 54 (yield 85%), which then reacted with ethynylmagnesium chloride, resulting in the formation of THP-protected 2-(ethynylthio)ethanol (55) in 54% yield. The lithium acetylide obtained from compound 55 with n-BuLi in the presence of tetramethylethylenediamine (TMEDA) was sequentially reacted with selenium, carbon disulfide and, finally, ethylthiocyanate to obtain thione 56a in 98% yield. The main intermediate 56a was converted to ketone 57, which was subjected to a self-coupling reaction in boiling trimethyl phosphite. The asymmetric diselenadithiafulvalene 58a was obtained in 91% yield as a mixture of conformational isomers (cis/trans) that was formed due to rotation around the central double bond. The intermediate compound 58a was successively treated with aqueous hydrochloric acid, tosyl chloride, and sodium iodide with the closure of the outer rings due to the transalkylation reaction of sulfur atoms and the formation of the expected product 52a in 82% yield (Scheme 18) [124].
Scheme 18.
Synthesis of bis(ethylenedithio)diselenadithiafulvalene (52a).
Similarly, bis(ethyleneselenothio)diselenadithiafulvalenes 52b,c were obtained using the trimethyl phosphite-catalyzed homo-coupling of the corresponding thions and selenones, bypassing the stage of conversion to ketone (Scheme 19) [124].
Scheme 19.
Synthesis of bis(ethyleneselenothio)diselenadithiafulvalenes (52b,c).
The last two stages of this synthesis include treating intermediate products 56b,c with tosyl chloride in the presence of triethylamine, followed by sodium iodide-catalyzed cyclisation in DMF (Scheme 19) [124].
An evaluation of the half-wave oxidation potentials showed that the diselenadithiafulvalenes 52a–c obtained in this way have strong electron-donating properties [124].
For example, gallium- and copper-containing conducting salts κ-(cis-52a)2GaCl4, κ-(cis-52a)2Cu1.6Cl2.9 и λ’-(trans-52a)2GaCl4 were obtained for compound 52a [125].
Triselenathiafulvalene (61) was synthesized as a result of the homo-coupling of 4,5-dicarbomemethoxy-1,3-diselenole-2-thione 62 in the presence of triethyl phosphite and further decarbomethoxylation of compound 63 (yield 40%) (Scheme 20) [126]. This method is very promising because the initial semi-product 62 was obtained without the use of toxic carbon diselenide via intermediate titanocene pentaselenide 64 in 43% yield. At the cross-coupling stage, an inversion of an exocyclic sulfur atom and an endocyclic selenium atom occurs in one of the diselenole rings, resulting in the formation of a mixed thiaselenafulvene core. The final product, 61, containing three selenium atoms and one sulfur atom, was obtained in 37% yield (Scheme 20) [126].
Scheme 20.
Synthesis of triselenathiafulvalene (61).
The charge-transfer complex of triselenathiafulvalene 61 with tetracyanoquinodimethane demonstrated a high anisotropic conductivity in the polycrystalline sample, which decreased with increasing temperature (Scheme 20) [126].
It is also interesting is the reaction of sulfur–selenium exchange, in which one selenium atom in the molecular skeleton was replaced by an external sulfur atom. Ethylenedioxydithiadiselenafulvalene (65) was treated with lithium diisopropylamide (LDA) in dry tetrahydrofuran at −78 °C, followed by the addition of sulfur, and then zinc dichloride and tetrabutylammonium bromide at room temperature (Scheme 21) [127]. On the other hand, zinc dichloride and tetrabutylammonium bromide were added after the reaction of dithiadiselenafulvalene (66) with NaOMe in tetrahydrofuran/methanol solution at room temperature. The corresponding complex zinc salts 67 and 68 were precipitated. The reaction of these salts with 2-methylthio-1,3-dithiolylium tetrafluoroborate (69) in dimethylformamide led to the formation of ethylenedioxy- 70a2− (X = O) and ethylenedithiodithiadiselenafulvalenedithiolates 70b2− (X = S). The latter compounds were converted to the corresponding isomers 71a2− and 71b2− due to the selenium–sulfur exchange reaction, and thioquinone-1,3-dithiolemethides 72a and 72b were obtained as black solids in 30% and 15% total yields, respectively (Scheme 21) [127].
Scheme 21.
Synthesis of thioquinone-1,3-dithiolemethides 72a and 72b.
Compounds 72a and 72b are new perspective donor molecules for the preparation of conducting materials (Scheme 21) [127].
After electrochemical oxidation at a constant current of 0.2 µA in PhCl/EtOH solvent mixture (V/V = 9:1) containing a supporting electrolyte n-Bu4N∙FeCl4 or n-Bu4N∙FeBr4, at 35–45 °C, black single crystals with the composition 72a∙FeCl4 and 72b∙FeBr4 were grown on the surface of the platinum electrode [127,128]. These materials can be used as semiconductors.
3. Conclusions
An analysis of the literature data has shown that there has been a significant increase in interest in the chemistry of heterocycles containing both sulfur and selenium heteroatoms in the ring.
This review covers design and synthetic methods used for the preparation of 1,3-thiaselenolane and 1,3-thiaselenole derivatives over the last 20 years, with an emphasis on catalytic reactions. This class of compounds is relatively few in number, but very important. 1,3-Thiaselenolane and 1,3-thiaselenole derivatives include not only biologically active compounds, but also various conducting materials based on 1,4,5,8-diselenadithiafulvalenes.
Noteworthy is the efficient one-pot synthesis of 2-bromomethyl-1,3-thiaselenole (5) and its use in organic synthesis [63,64,65,66,69,70,71,72,75,76,77,78,79,87,88]. 2-Bromomethyl-1,3-thiaselenole (5) is a unique reagent that exhibits unusual properties in nucleophilic substitution reactions. The bromine atom in this reagent is highly activated by the strong anchimeric assistance effect of the selenium atom [74]. The chemical properties of this reagent show that it exists in equilibrium with corresponding seleniranium cation, and this is confirmed by quantum chemical calculations [79].
It can be concluded that the chemistry of the 1,3-thiaselenolane and 1,3-thiaselenole derivatives has great potential for successful development. This direction in organoselenium chemistry will be further enriched by new synthetic methods and valuable intermediates for organic synthesis and excellent electron donors for the preparation of conducting materials.
Author Contributions
Conceptualization and methodology, S.V.A.; writing—original draft preparation and writing—review and editing, N.A.M. All authors have read and agreed to the published version of the manuscript.
Funding
This research received no external funding.
Data Availability Statement
Not applicable.
Conflicts of Interest
The authors declare no conflict of interest.
References
- Santi, C. (Ed.) Organoselenium Chemistry: Between Synthesis and Biochemistry; Bentham Science Publishers: Sharjah, United Arab Emirates, 2014. [Google Scholar] [CrossRef]
- Mugesh, G.; du Mont, W.W.; Sies, H. Chemistry of biologically important synthetic organoselenium compounds. Chem. Rev. 2001, 101, 2125–2129. [Google Scholar] [CrossRef] [PubMed]
- Banerjee, B.; Koketsu, M. Recent developments in the synthesis of biologically relevant selenium-containing scaffolds. Coord. Chem. Rev. 2017, 339, 104–127. [Google Scholar] [CrossRef]
- Devillanova, F.A.; du Mont, W.-W. (Eds.) Handbook of Chalcogen Chemistry: New Perspectives in Sulfur, Selenium and Tellurium, 2nd ed.; Royal Society of Chemistry Publishing: Cambridge, UK, 2013. [Google Scholar] [CrossRef]
- Rappoport, Z. (Ed.) PATAI’s Chemistry of Functional Groups: The Chemistry of Organic Selenium and Tellurium Compounds; John Wiley and Sons, Inc.: Chichester, UK, 2013. [Google Scholar] [CrossRef]
- Sarma, B.K.; Mugesh, G. Glutathione peroxidase (GPx)-like antioxidant activity of the organoselenium drug ebselen: Unexpected complications with thiol exchange reactions. J. Am. Chem. Soc. 2005, 127, 11477–11485. [Google Scholar] [CrossRef] [PubMed]
- Selvakumar, K.; Shah, P.; Singh, H.B.; Butcher, R.J. Synthesis, structure, and glutathione peroxidase-like activity of amino acid containing ebselen analogues and diaryl diselenides. Chem. Eur. J. 2011, 17, 12741–12755. [Google Scholar] [CrossRef]
- Musalov, M.V.; Potapov, V.A. Click chemistry of selenium dihalides: Novel bicyclic organoselenium compounds based on selenenylation/bis-functionalization reactions and evaluation of glutathione peroxidase-like activity. Int. J. Mol. Sci. 2022, 23, 15629. [Google Scholar] [CrossRef] [PubMed]
- Musalov, M.V.; Kapustina, I.S.; Spiridonova, E.V.; Ozolina, N.V.; Amosova, S.V.; Borodina, T.N.; Potapov, V.A. Transannular Selenocyclofunctionalization of 1,5-cyclooctadiene: The Antioxidant Properties of 9-selenabicyclo [3.3.1]nonane Derivatives and the Discovery of Increasing Both GPx and GR Activities. Inorganics 2023, 11, 304. [Google Scholar] [CrossRef]
- Elsherbini, M.; Hamama, W.S.; Zoorob, H.H. Recent advances in the chemistry of selenium-containing heterocycles: Five-membered ring systems. Coord. Chem. Rev. 2016, 312, 149–177. [Google Scholar] [CrossRef]
- Scheide, M.R.; Schneider, A.R.; Jardim, G.A.M.; Martins, G.M.; Durigon, D.C.; Saba, S.; Rafique, J.; Braga, A.L. Electrochemical synthesis of selenyl-dihydrofurans via anodic selenofunctionalization of allyl-naphthol/phenol derivatives and their anti-Alzheimer activity. Org. Biomol. Chem. 2020, 18, 4916–4921. [Google Scholar] [CrossRef]
- Barbosa, F.A.R.; Canto, R.F.S.; Teixeira, K.F.; de Souza, A.S.; de Oliveira, A.S.; Braga, A.L. Selenium-derivative compounds: A review of new perspectives in the treatment of Alzheimer’s disease. Curr. Med. Chem. 2023, 30, 689–700. [Google Scholar] [CrossRef]
- Kharma, A.; Jacob, C.; Bozzi, Í.A.O.; Jardim, G.A.M.; Braga, A.L.; Salomão, K.; Gatto, C.C.; Silva, M.F.S.; Pessoa, C.; Stangier, M.; et al. Electrochemical selenation/cyclization of quinones: A rapid, green and efficient access to functionalized trypanocidal and antitumor compounds. Eur. J. Org. Chem. 2020, 29, 4474–4486. [Google Scholar] [CrossRef]
- Álvarez-Pérez, M.; Ali, W.; Marć, M.A.; Handzlik, J.; Domínguez-Álvarez, E. Selenides and diselenides: A review of their anticancer and chemopreventive activity. Molecules 2018, 23, 628. [Google Scholar] [CrossRef] [PubMed]
- Al-Balas, Q.A.; Al-Smadi, M.L.; Hassan, M.A.; Al Jabal, G.A.; Almaaytah, A.M.; Alzoubi, K.H. Multi-armed 1,2,3-selenadiazole and 1,2,3-thiadiazole benzene derivatives as novel glyoxalase-I inhibitors. Molecules 2019, 24, 3210. [Google Scholar] [CrossRef] [PubMed]
- Krasowska, D.; Iraci, N.; Santi, C.; Drabowicz, J.; Cieslak, M.; Kaźmierczak-Barańska, J.; Palomba, M.; Królewska-Golińska, K.; Magiera, J.; Sancineto, L. Diselenides and benzisoselenazolones as antiproliferative agents and glutathione-S-transferase inhibitors. Molecules 2019, 24, 2914. [Google Scholar] [CrossRef] [PubMed]
- Sun, B.; Luo, C.; Zhang, X.; Guo, M.; Sun, M.; Yu, H.; Chen, Q.; Yang, W.; Wang, M.; Zuo, S.; et al. Probing the impact of sulfur/selenium/carbon linkages on prodrug nanoassemblies for cancer therapy. Nat. Commun. 2019, 10, 3211. [Google Scholar] [CrossRef] [PubMed]
- Chen, Z.; Lai, H.; Hou, L.; Chen, T. Rational design and action mechanisms of chemically innovative organoselenium in cancer therapy. Chem. Commun. 2020, 56, 179–196. [Google Scholar] [CrossRef]
- Benassi, J.C.; Barbosa, F.A.R.; Candiotto, G.; Grinevicius, V.M.A.S.; Filho, D.W.; Braga, A.L.; Pedrosa, R.C. Docking and molecular dynamics predicted B-DNA and dihydropyrimidinone selenoesters interactions elucidating antiproliferative effects on breast adenocarcinoma cells. J. Biomol. Struct. Dyn. 2022, 40, 8261–8273. [Google Scholar] [CrossRef]
- dos Santos, D.C.; Rafique, J.; Saba, S.; Almeida, G.M.; Siminski, T.; Pádua, C.; Filho, D.W.; Zamoner, A.; Braga, A.L.; Pedrosa, R.C.; et al. Apoptosis oxidative damage-mediated and antiproliferative effect of selenylated imidazo [1,2-a]pyridines on hepatocellular carcinoma HepG2 cells and in vivo. J. Biochem. Mol. Toxicol. 2021, 35, e22663. [Google Scholar] [CrossRef]
- Benassi, J.C.; Barbosa, F.A.R.; Grinevicius, V.M.A.S.; Ourique, F.; Coelho, D.; Felipe, K.B.; Braga, A.L.; Filho, D.W.; Pedrosa, R.C. Novel dihydropyrimidinone-derived selenoesters as potential cytotoxic agents to human hepatocellular carcinoma: Molecular docking and DNA fragmentation. Anti-Cancer Agents Med. Chem. 2021, 21, 703–715. [Google Scholar] [CrossRef]
- Casaril, A.M.; Domingues, M.; Bampi, S.R.; de Andrade Lourenço, D.; Padilha, N.B.; Lenardão, E.J.; Sonego, M.; Seixas, F.K.; Collares, T.; Nogueira, C.W.; et al. The selenium-containing compound 3-((4-chlorophenyl)selanyl)-1-methyl-1H-indole reverses depressive-like behavior induced by acute restraint stress in mice: Modulation of oxido-nitrosative stress and inflammatory pathway. Psychopharmacology 2019, 236, 2867–2880. [Google Scholar] [CrossRef]
- Besckow, E.M.; Nonemacher, N.T.; Garcia, C.S.; da Silva Espindola, C.N.; Balbom, E.B.; Gritzenco, F.; Savegnago, L.; Godoi, B.; Bortolatto, C.F.; Brüning, C.A. Antidepressant-like effect of a selenopropargylic benzamide in mice: Involvement of the serotonergic system. Psychopharmacology 2020, 237, 3149–3159. [Google Scholar] [CrossRef]
- da Silva Teixeira Rech, T.; Alves, A.G.; Strelow, D.N.; Krüger, L.D.; Carraro Júnior, L.R.; dos Santos Neto, J.S.; Braga, A.L.; Brüning, C.A.; Bortolatto, C.F. 2-Phenyl-3-(phenylselanyl)benzofuran elicits acute antidepressant-like action in male Swiss mice mediated by modulation of the dopaminergic system and reveals therapeutic efficacy in both sexes. Psychopharmacology 2021, 238, 3013–3024. [Google Scholar] [CrossRef] [PubMed]
- Sampaio, T.B.; Bilheri, F.N.; Zeni, G.R.; Nogueira, C.W. Dopaminergic system contribution to the antidepressant-like effect of 3-phenyl-4-(phenylseleno) isoquinoline in mice. Behav. Brain Res. 2020, 386, 112602. [Google Scholar] [CrossRef] [PubMed]
- Gall, J.I.; Alves, A.G.; Carraro Júnior, L.R.; da Silva Teixeira Rech, T.; dos Santos Neto, J.S.; Alves, D.; Pereira Soares, M.S.; Spohr, L.; Spanevello, R.M.; Brüning, C.A.; et al. Insights into serotonergic and antioxidant mechanisms involved in antidepressant-like action of 2-phenyl-3-(phenylselanyl)benzofuran in mice. Prog. Neuro-Psychopharmacol. Biol. Psychiatry 2020, 102, 109956. [Google Scholar] [CrossRef]
- Jain, V.K.; Priyadarsini, K.I. (Eds.) Organoselenium Compounds in Biology and Medicine: Synthesis, Biological and Therapeutic Treatments; Royal Society of Chemistry Publishing: Cambridge, UK, 2017. [Google Scholar] [CrossRef]
- Sarturi, J.M.; Dornelles, L.; Segatto, N.V.; Collares, T.; Seixas, F.K.; Piccoli, B.C.; da Silva, F.D.; Omage, F.B.; da Rocha, J.B.T.; Balaguez, R.A.; et al. Chalcogenium-AZT derivatives: A plausible strategy to tackle the RT-inhibitors-related oxidative stress while maintaining their anti-HIV properties. Curr. Med. Chem. 2023, 30, 2449–2462. [Google Scholar] [CrossRef]
- Jin, Z.; Du, X.; Xu, Y.; Deng, Y.; Liu, M.; Zhao, Y.; Zhang, B.; Li, X.; Zhang, L.; Peng, C.; et al. Structure of Mpro from SARS-CoV-2 and discovery of its inhibitors. Nature 2020, 582, 289–293. [Google Scholar] [CrossRef] [PubMed]
- Sancineto, L.; Mangiavacchi, F.; Dabrowska, A.; Pacuła, A.; Obieziurska-Fabisiak, M.; Scimmi, C.; Lei, Y.; Kong, J.; Zhao, Y.; dos Santos Machado, K.; et al. Organoselenium mild electrophiles in the inhibition of Mpro and SARSCoV-2 replication. ChemRxiv, 2020; preprint. [Google Scholar] [CrossRef]
- Mangiavacchi, F.; Botwina, P.; Menichetti, E.; Bagnoli, L.; Rosati, O.; Marini, F.; Fonseca, S.F.; Abenante, L.; Alves, D.; Dabrowska, A.; et al. Seleno-functionalization of quercetin improves the non-covalent inhibition of Mpro and its antiviral activity in cells against SARS-CoV-2. Int. J. Mol. Sci. 2021, 22, 7048. [Google Scholar] [CrossRef]
- Davidenko, N.A.; Get’manchuk, Y.P.; Itskovskaya, I.N.; Mokrinskaya, E.V.; Pavlov, V.A.; Chuprina, N.G. Holographic recording media based on polymer compositions with Fe2O3, ZnO, and CdS nanoparticles. J. Appl. Spectrosc. 2005, 72, 893–898. [Google Scholar] [CrossRef]
- Get’Manchuk, Y.P.; Davidenko, I.I.; Davidenko, N.A.; Mokrinskaya, E.V.; Mysyk, D.D.; Mysyk, R.D. Sensitization of photoconductivity in polymeric compositions with Fe2O3 and CdS nanoparticles by an organic compound with intramolecular charge transfer. Theor. Exp. Chem. 2004, 40, 7–11. [Google Scholar] [CrossRef]
- Getmanchuk, Y.P.; Davidenko, N.A.; Davidenko, I.I.; Kunitskaya, L.R.; Kozel, G.I.; Pavlov, V.A.; Chuprina, N.G. Effect of oligomer structure on the diffraction efficiency of holographic recording media. Theor. Exp. Chem. 2015, 51, 104–108. [Google Scholar] [CrossRef]
- Davidenko, N.A.; Get’manchuk, Y.P.; Zabolotnyi, M.A.; Zabolotnaya, T.G.; Linets, L.P.; Mokrinskaya, E.V.; Pavlov, V.A.; Studzinskii, S.L.; Chuprina, N.G. Photosensitivity of holographic recording media based on films of polymer compositions with cadmium sulfide nanoparticles. High Energy Chem. 2006, 40, 410–416. [Google Scholar] [CrossRef]
- Fujiwara, E.; Yamamoto, K.; Shimamura, M.; Zhou, B.; Kobayashi, A.; Takahashi, K.; Okano, Y.; Cui, H.; Kobayashi, H. (nBu4N)[Ni(dmstfdt)2]: A planar nickel coordination complex with an extended-TTF ligand exhibiting metallic conduction, metal-insulator transition, and weak ferromagnetism. Chem. Mater. 2007, 19, 553–558. [Google Scholar] [CrossRef]
- Alberola, A.; Coronado, E.; Galán-Mascarós, J.R.; Giménez-Saiz, C.; Gómez-García, C.J. A molecular metal ferromagnet from the organic donor bis(ethylenedithio)tetraselenafulvalene and bimetallic oxalate complexes. J. Am. Chem. Soc. 2003, 125, 10774–10775. [Google Scholar] [CrossRef] [PubMed]
- Zhang, B.; Zhang, Y.; Wang, Z.; Gao, S.; Guo, Y.; Liue, F.; Zhua, D. BETS3[Cu2(C2O4)3](CH3OH)2: An organic–inorganic hybrid antiferromagnetic metal (BETS = bisethylene(tetraselenfulvalene)). Cryst. Eng. Comm. 2013, 15, 3529–3535. [Google Scholar] [CrossRef]
- Matsumoto, T.; Kamada, Y.; Sugimoto, T.; Tada, T.; Noguchi, S.; Nakazumi, H.; Shiro, M.; Yoshino, H.; Murata, K. Electrical conducting and magnetic properties of (ethylenedithiotetrathiafulvalenothioquinone-1,3-diselenolemethide)2∙FeBr4(GaBr4) crystals with two different interlayer arrangements of donor molecules. Inorg. Chem. 2003, 42, 5192–5201. [Google Scholar] [CrossRef]
- Wang, M.; Yu, T.; Tan, L.-S.; Urbas, A.M.; Chiang, L.Y. Enhancement of photoswitchable dielectric property by conducting electron donors on plasmonic core-shell gold-fluorenyl C60 nanoparticles. J. Phys. Chem. C 2018, 122, 12512–12523. [Google Scholar] [CrossRef]
- Akutsu, H.; Koyama, Y.; Turner, S.S.; Furuta, K.; Nakazawa, Y. Structures and properties of new organic conductors: BEDT-TTF, BEST and BETS salts of the HOC2H4SO3– anion. Crystals 2020, 10, 775. [Google Scholar] [CrossRef]
- Kobayashi, T.; Taniguchi, H.; Ohnuma, A.; Kawamoto, A. Unconventional superconductivity in λ-(BETS)2GaCl4 probed by 13C NMR. Phys. Rev. B 2020, 102, 121106. [Google Scholar] [CrossRef]
- Naka, K.; Uemura, T.; Chujo, Y. π-Conjugated poly(dithiafulvene)s and poly(diselenafulvene)s: Effects of side alkyl chains on optical, electrochemical, and conducting properties. Macromolecules 2002, 35, 3539–3543. [Google Scholar] [CrossRef]
- Vlasova, R.M.; Drichko, N.V.; Petrov, B.V.; Semkin, V.N.; Zhilyaeva, E.I.; Lyubovskaya, R.N.; Olejniczak, I.; Kobayashi, A.; Kobayashi, H. Optical properties of new organic conductors based on the BEDT-TSeF molecule (the κ-(BETS)4Hg2.84Br8 super-conductor and κ-(BETS)4Hg3Cl8 metal) in the range 300–15 K. Phys. Solid State 2004, 46, 1985–1993. [Google Scholar] [CrossRef]
- Anyfantis, G.C.; Papavassiliou, G.C.; Aloukos, P.; Couris, S.; Weng, Y.F.; Yoshino, H.; Murata, K. Unsymmetrical single-component nickel 1,2-dithiolene complexes with extended tetrachalcogenafulvalenedithiolato ligands. Z. Naturforsch. 2007, 62, 200–204. [Google Scholar] [CrossRef]
- Ahluwalia, G.K. (Ed.) Applications of Chalcogenides: S, Se, and Te; Springer International Publishing AG: Cham, Switzerland, 2017. [Google Scholar] [CrossRef]
- Makhaeva, N.A.; Amosova, S.V.; Potapov, V.A. Recent advances in design and synthesis of diselenafulvenes, tetraselenafulvalenes, and their tellurium analogs and application for materials sciences. Molecules 2022, 27, 5613. [Google Scholar] [CrossRef]
- Nagy-Felsobuki, E.; Peel, J.B. Photoelectron spectra of sulfur dibromide and selenium dibromide. Chem. Phys. 1980, 45, 189–194. [Google Scholar] [CrossRef]
- Milne, J. Selenium dibromide and dichloride in acetonitrile. Polyhedron 1985, 4, 65–68. [Google Scholar] [CrossRef]
- Lamoureux, M.; Milne, J. Selenium chloride and bromide equilibria in aprotic solvents; a 77Se NMR study. Polyhedron 1990, 9, 589–595. [Google Scholar] [CrossRef]
- Steudel, R.; Jensen, D.; Baumgart, F. 77Se-NMR and Raman spectroscopic characterization of selenium dibromide (SeBr2) and its reaction with titanocene pentasulphide to give cyclic selenium sulphides of ring size 6, 7, 8, and 12. Polyhedron 1990, 9, 1199–1208. [Google Scholar] [CrossRef]
- Potapov, V.A.; Amosova, S.V. New methods for preparation of organoselenium and organotellurium compounds from elemental chalcogens. Russ. J. Org. Chem. 2003, 39, 1373–1380. [Google Scholar] [CrossRef]
- Potapov, V.A.; Musalov, M.V.; Musalova, M.V.; Amosova, S.V. Recent advances in organochalcogen synthesis based on reactions of chalcogen halides with alkynes and alkenes. Curr. Org. Chem. 2016, 20, 136–145. [Google Scholar] [CrossRef]
- Musalov, M.V.; Potapov, V.A. Selenium dihalides: New possibilities for the synthesis of selenium-containing heterocycles. Chem. Heterocycl. Comp. 2017, 53, 150–152. [Google Scholar] [CrossRef]
- Abakumov, G.A.; Piskunov, A.V.; Cherkasov, V.K.; Fedushkin, I.L.; Ananikov, V.P.; Eremin, D.B.; Gordeev, E.G.; Beletskaya, I.P.; Averin, A.D.; Bochkarev, M.N.; et al. Organoelement chemistry: Promising growth areas and challenges. Russ. Chem. Rev. 2018, 87, 393–507. [Google Scholar] [CrossRef]
- Musalov, M.V.; Potapov, V.A.; Maylyan, A.A.; Khabibulina, A.G.; Zinchenko, S.V.; Amosova, S.V. Selenium dihalides click chemistry: Highly efficient stereoselective addition to alkynes and evaluation of glutathione peroxidase-like activity of bis(E-2-halovinyl) selenides. Molecules 2022, 27, 1050. [Google Scholar] [CrossRef] [PubMed]
- Musalov, M.V.; Yakimov, V.A.; Potapov, V.A.; Amosova, S.V.; Borodina, T.N.; Zinchenko, S.V. A novel methodology for the synthesis of condensed selenium heterocycles based on the annulation and annulation–methoxylation reactions of selenium dihalides. New J. Chem. 2019, 43, 18476–18483. [Google Scholar] [CrossRef]
- Potapov, V.A.; Musalov, M.V.; Amosova, S.V. Reactions of selenium dichloride and dibromide with unsaturated ethers. Annulation of 2,3-dihydro-1,4-oxaselenine to the benzene ring. Tetrahedron Lett. 2011, 52, 4606–4610. [Google Scholar] [CrossRef]
- Potapov, V.A.; Musalov, M.V.; Khabibulina, A.G.; Maylyan, A.A.; Borodina, T.N.; Zinchenko, S.V.; Amosova, S.V. Regioselective one-pot synthesis of novel functionalized organoselenium compound by bis-alkoxyselenenylation of alkenes with selenium dibromide and alcohols. Inorganics 2022, 10, 239. [Google Scholar] [CrossRef]
- Potapov, V.A.; Musalov, M.V. Triple-click chemistry of selenium dihalides: Catalytic regioselective and highly efficient synthesis of bis-1,2,3-triazole derivatives of 9-selenabicyclo [3.3.1]nonane. Catalysts 2022, 12, 1032. [Google Scholar] [CrossRef]
- Musalov, M.V.; Potapov, V.A.; Yakimov, V.A.; Musalova, M.V.; Maylyan, A.A.; Zinchenko, S.V.; Amosova, S.V. A Regioselective synthesis of novel functionalized organochalcogen compounds by chalcogenocyclofunctionalization reactions based on chalcogen halides and natural products. Molecules 2021, 26, 3729. [Google Scholar] [CrossRef]
- Amosova, S.V.; Filippov, A.S.; Makhaeva, N.A.; Albanov, A.I.; Potapov, V.A. Green organoselenium chemistry: Selective syntheses of new 1,4-thiaselenine derivatives based on reactions of thiaselenole reagent with alcohols and water. Inorganics 2023, 11, 281. [Google Scholar] [CrossRef]
- Amosova, S.V.; Penzik, M.V.; Albanov, A.I.; Potapov, V.A. The reaction of selenium dichloride with divinyl sulfide. J. Organomet. Chem. 2009, 694, 3369–3372. [Google Scholar] [CrossRef]
- Amosova, S.V.; Penzik, M.V.; Potapov, V.A.; Albanov, A.I. A reaction of selenium dichloride with divinyl sulfide. Russ. Chem. Bull. 2008, 57, 1323. [Google Scholar] [CrossRef]
- Potapov, V.A.; Shagun, V.A.; Penzik, M.V.; Amosova, S.V. Quantum chemical studies of the reaction of selenium dichloride with divinyl sulfide and comparison with experimental results. J. Organomet. Chem. 2010, 695, 1603–1608. [Google Scholar] [CrossRef]
- Rusakov, Y.Y.; Krivdin, L.B.; Potapov, V.A.; Penzik, M.V.; Amosova, S.V. Conformational analysis and diastereotopic assignments in the series of selenium-containing heterocycles by means of 77Se- 1H spin-spin coupling constants: A combined theoretical and experimental study. Magn. Reson. Chem. 2011, 49, 389–398. [Google Scholar] [CrossRef] [PubMed]
- Trofimov, B.A.; Amosova, S.V. Divinyl sulfide: Synthesis, properties, and applications. Sulfur Rep. 1984, 3, 323–393. [Google Scholar] [CrossRef]
- Amosova, S.V.; Gavrilova, G.M. Divinyl sulfide and its selenium and tellurium analogs as starting materials for the preparation of polyfunctional alkyl, aromatic, and heteroaromatic vinyl chalcogenides. Heteroatom Chem. 2006, 17, 491–498. [Google Scholar] [CrossRef]
- Amosova, S.V.; Penzik, M.V.; Albanov, A.I.; Potapov, V.A. Reaction of selenium dibromide with divinyl sulfide. Russ. J. Gen. Chem. 2009, 79, 161. [Google Scholar] [CrossRef]
- Amosova, S.V.; Penzik, M.V.; Albanov, A.I.; Potapov, V.A. Addition of selenium dibromide to divinyl sulfide: Spontaneous rearrangement of 2,6-dibromo-1,4-thiaselenane to 5-bromo-2-bromomethyl-1,3-thiaselenolane. Tetrahedron Lett. 2009, 50, 306–308. [Google Scholar] [CrossRef]
- Amosova, S.V.; Penzik, M.V.; Potapov, V.A.; Filippov, A.S.; Shagun, V.A.; Albanov, A.I.; Borodina, T.N.; Smirnov, V.I. Unexpected regioselective reactions of 2-bromomethyl-1,3-thiaselenole with dithiocarbamates: The first example of nucleophilic attack at selenium atom of seleniranium intermediate. Synlett 2016, 27, 1653–1658. [Google Scholar] [CrossRef]
- Amosova, S.V.; Novokshonova, I.A.; Penzik, M.V.; Filippov, A.S.; Albanov, A.I.; Potapov, V.A. Reaction of 2-bromomethyl-1,3-thiaselenole with thiourea: En route to the first representatives of 2-(organylsulfanyl)-2,3-dihydro-1,4-thiaselenines. Tetrahedron Lett. 2017, 58, 4381–4383. [Google Scholar] [CrossRef]
- Tachibana, Y. (Hydroxyalkyl)pyridines as bifunctional catalysts. Dehydrobromination of 7-bromocholesterol. Bull. Chem. Soc. Jpn. 1978, 51, 3085–3086. [Google Scholar] [CrossRef]
- Accurso, A.A.; Cho, S.-H.; Amin, A.; Potapov, V.A.; Amosova, S.V.; Finn, M.G. Thia-, aza-, and selena [3.3.1]bicyclononane dichlorides: Rates vs internal nucleophile in anchimeric assistance. J. Org. Chem. 2011, 76, 4392–4395. [Google Scholar] [CrossRef]
- Amosova, S.V.; Penzik, M.V.; Potapov, V.A.; Albanov, A.I. Unexpected reaction of 2-(bromomethyl)-1,3-thiaselenole with ammonium thiocyanate. Russ. J. Org. Chem. 2015, 51, 287–289. [Google Scholar] [CrossRef]
- Potapov, V.A.; Filippov, A.S.; Amosova, S.V. Selective synthesis of 1,3-thiaselenol-2-ylmethyl selenocyanate. Russ. J. Org. Chem. 2018, 54, 957–958. [Google Scholar] [CrossRef]
- Amosova, S.V.; Filippov, A.A.; Makhaeva, N.A.; Albanov, A.I.; Potapov, V.A. Regio- and stereoselective synthesis of new ensembles of diversely functionalized 1,3-thiaselenol-2-ylmethyl selenides by a double rearrangement reaction. Beilstein J. Org. Chem. 2020, 16, 515–523. [Google Scholar] [CrossRef] [PubMed]
- Amosova, S.V.; Filippov, A.S.; Makhaeva, N.A.; Albanov, A.I.; Potapov, V.A. New methodology of nucleophilic substitution at three different centers of a seleniranium intermediate in reactions of 2-bromomethyl-1,3-thiaselenole with mercapto benzazoles. New J. Chem. 2019, 43, 11189–11199. [Google Scholar] [CrossRef]
- Amosova, S.V.; Shagun, V.A.; Makhaeva, N.A.; Novokshonova, I.A.; Potapov, V.A. Quantum chemical and experimental studies of an unprecedented reaction pathway of nucleophilic substitution of 2-bromomethyl-1,3-thiaselenole with 1,3-benzothiazole-2-thiol proceeding stepwise at three different centers of seleniranium intermediates. Molecules 2021, 26, 6685. [Google Scholar] [CrossRef]
- Wang, Z.; Yamazaki, S.; Mikata, Y.; Oba, M.; Takashima, H.; Morimoto, T.; Ogawa, A. Intramolecular Diels–Alder reactions of α-bromostyrene functionalized unsaturated carboxamides. J. Org. Chem. 2022, 87, 11148–11164. [Google Scholar] [CrossRef] [PubMed]
- Song, L.; Lai, Y.; Li, H.; Ding, J.; Yao, H.; Su, Q.; Huang, B.; Ouyang, M.-A.; Tong, R. Environmentally benign and user-friendly in situ generation of nitrile imines from hydrazones for 1,3-dipolar cycloaddition. J. Org. Chem. 2022, 87, 10550–10554. [Google Scholar] [CrossRef]
- Ganin, A.S.; Moskalik, M.Y.; Garagan, I.A.; Astakhova, V.V.; Shainyan, B.A. Triflamidation of allyl-containing substances: Unusual dehydrobromination vs. intramolecular heterocyclization. Molecules 2022, 27, 6910. [Google Scholar] [CrossRef]
- Zhang, H.; Qiu, Z. An efficient synthesis of 5α-androst-1-ene-3,17-dione. Steroids 2006, 71, 1088–1090. [Google Scholar] [CrossRef]
- Forti, L.; Ghelfi, F.; Pagnoni, U.M. Stereoselective dehydrobromination of alkyl α-Br-α-Cl-carboxylates. Tetrahedron Lett. 1995, 36, 3023–3026. [Google Scholar] [CrossRef]
- Abrigach, F.; Rokni, Y.; Takfaoui, A.; Khoutoul, M.; Doucet, H.; Asehraou, A.; Touzani, R. In vitro screening, homology modeling and molecular docking studies of some pyrazole and imidazole derivatives. Biomed. Pharmacother. 2018, 103, 653–661. [Google Scholar] [CrossRef]
- Abbady, M.A.; Kandeel, M.M.; Abdel-Hafez, S.H.; Abou-Omar, M.-A.M. Organic Selenium Compounds, Part IV: Synthesis and applications of some new diaryl selenides containing azomethine and oxazole moieties. Phosphorus Sulfur Silicon Relat. Elem. 2010, 185, 1708–1725. [Google Scholar] [CrossRef]
- Amosova, S.V.; Filippov, A.S.; Potapov, V.A.; Makhaeva, N.A.; Albanov, A.I. Unexpected regioselective reactions of 2-(bromomethyl)-1,3-thiaselenole with 1-methyl-1h-imidazol-2-thiol, accompanied by rearrangements. Russ. J. Org. Chem. 2018, 54, 1697–1701. [Google Scholar] [CrossRef]
- Amosova, S.V.; Martynov, A.V.; Albanov, A.I.; Potapov, V.A. Synthesis of novel (2,3-dihydro-1,4-thiaselenin-2-yl)sulfanyl-substituted pharmacophoric nitrogen heterocycles based on 2-(bromomethyl)-1,3-thiaselenole. Chem. Heterocycl. Compd. 2020, 56, 226–232. [Google Scholar] [CrossRef]
- Brittain, J.; Gareau, Y. Triphenylsilanethiol: A solid H2S equivalent in the ring opening of epoxides. Tetrahedron. Lett. 1993, 34, 3363–3366. [Google Scholar] [CrossRef]
- Tanini, D.; Tiberi, C.; Gellini, C.; Salvi, P.R.; Capperucci, A. A straightforward access to stable β-functionalized alkyl selenols. Adv. Synth. Catal. 2018, 360, 3367–3375. [Google Scholar] [CrossRef]
- Degl’Innocenti, A.; Capperucci, A.; Cerreti, A.; Pollicino, S.; Scapecchi, S.; Malesci, I.; Castagnoli, G. Regio- and enantioselective ring-opening of epoxides with HMDST: A straightforward access to 1,2-mercaptoalcohols. Synlett 2005, 20, 3063–3066. [Google Scholar] [CrossRef]
- Degl’Innocenti, A.; Capperucci, A.; Castagnoli, G.; Malesci, I.; Tiberi, C.; Innocenti, B. Selenosilanes mediated stereoselective synthesis of polyfunctionalized organic molecules. Phosphorus Sulfur Silicon Relat. Elem. 2008, 183, 966–969. [Google Scholar] [CrossRef]
- Xia, S.; Wang, X.; Ge, Z.-M.; Cheng, T.-M.; Li, R.-T. An efficient synthesis of aryldithiocarbamic acid esters from Michael addition of electron-deficient alkenes with arylamines and CS2 in solid media alkaline Al2O3. Tetrahedron 2009, 65, 1005–1009. [Google Scholar] [CrossRef]
- Bartoli, G.; Bartolacci, M.; Giuliani, A.; Marcantoni, E.; Massaccesi, M.; Torregiani, E. Improved heteroatom nucleophilic addition to electron-poor alkenes promoted by CeCl3∙7H2O/NaI system supported on alumina in solvent-free conditions. J. Org. Chem. 2005, 70, 169–174. [Google Scholar] [CrossRef]
- Lenardao, E.J.; Trecha, D.O.; Ferreira, P.C.; Jacob, R.G.; Perin, G. Green Michael addition of thiols to electron deficient alkenes using KF/alumina and recyclable solvent or solvent-free conditions. J. Braz. Chem. Soc. 2009, 20, 93–99. [Google Scholar] [CrossRef]
- Yang, L.; Xu, L.-W.; Xia, C.-G. Highly efficient KF/Al2O3-catalyzed versatile hetero-Michael addition of nitrogen, oxygen, and sulfur nucleophiles to α,β-ethylenic compounds. Tetrahedron Lett. 2005, 46, 3279–3282. [Google Scholar] [CrossRef]
- Moghaddam, F.M.; Bardajee, G.R.; Chadorneshine Veranlou, R.O. KF/Al2O3-mediated Michael addition of thiols to electron-deficient olefins. Synth. Commun. 2005, 35, 2427–2433. [Google Scholar] [CrossRef]
- Cheng, S.; Comer, D.D. An alumina-catalyzed Michael addition of mercaptans to N-anilinomaleimides and its application to the solution-phase parallel synthesis of libraries. Tetrahedron Lett. 2002, 43, 1179–1181. [Google Scholar] [CrossRef]
- Tanini, D.; Scarpelli, S.; Ermini, E.; Capperucci, A. Seleno-Michael reaction of stable functionalised alkyl selenols: A versatile tool for the synthesis of acyclic and cyclic unsymmetrical alkyl and vinyl selenides. Adv. Synth. Catal. 2019, 361, 2337–2346. [Google Scholar] [CrossRef]
- Perin, G.; Lenardão, E.J.; Jacob, R.G.; Panatieri, R.B. Synthesis of vinyl selenides. Chem. Rev. 2009, 109, 1277–1301. [Google Scholar] [CrossRef] [PubMed]
- Sun, K.; Shi, Z.; Liu, Z.; Luan, B.; Zhu, J.; Xue, Y. Synthesis of (E)-β-selenovinyl sulfones through a multicomponent regio- and stereospecific selenosulfonation of alkynes with insertion of sulfur dioxide. Org. Lett. 2018, 20, 6687–6690. [Google Scholar] [CrossRef] [PubMed]
- Braga, A.L.; Alves, E.F.; Silveira, C.C.; de Andrade, L.H. Stereoselective addition of sodium organyl chalcogenolates to alkynylphosphonates: Synthesis of diethyl 2-(organyl)-2-(organochalcogenyl)vinylphosphonates. Tetrahedron Lett. 2000, 41, 161–163. [Google Scholar] [CrossRef]
- Frederickson, M.; Grigg, R. Electrophile mediated heteroatom cyclizations onto C-C π-bonds. Part 1: Halogen and chalcogen mediated cyclization. Org. Prep. Proced. Int. 1997, 29, 33–62. [Google Scholar] [CrossRef]
- da Silva, F.M.; Jones, J., Jr.; de Mattos, M.C.S. A centennial methodology for the preparation of heterocyclic compounds: The intramolecular coiodination of alkenes with internal oxygenated nucleophiles. Curr. Org. Synth. 2005, 2, 393–414. [Google Scholar] [CrossRef]
- Mphahlele, M.J. Molecular iodine-mediated cyclization of tethered heteroatom-containing alkenyl or alkynyl systems. Molecules 2009, 14, 4814–4837. [Google Scholar] [CrossRef] [PubMed]
- Parvatkar, P.T.; Parameswaran, P.S.; Tilve, S.G. Recent developments in the synthesis of five- and six-membered heterocycles using molecular iodine. Chem. Eur. J. 2012, 18, 5460–5489. [Google Scholar] [CrossRef] [PubMed]
- Halimehjani, A.Z.; Maleki, H.; Saidi, M.R. Regiospecific iodocyclization of S-allyl dithiocarbamates: Synthesis of 2-imino-1,3-dithiolane and 2-iminium-1,3-dithiolane derivatives. Tetrahedron Lett. 2009, 50, 2747–2749. [Google Scholar] [CrossRef]
- Koketsu, M.; Kiyokuni, T.; Sakai, T.; Ando, H.; Ishihara, H. Synthesis of 1,3-selenazines and 1,3-selenazolidines via intramolecular addition of N-allylselenoureas. Chem. Lett. 2006, 35, 626–627. [Google Scholar] [CrossRef]
- Garud, D.R.; Koketsu, M. Synthesis of 3-selena-1-dethiacephems and selenazepines via iodocyclization. Org. Lett. 2008, 10, 3319–3322. [Google Scholar] [CrossRef] [PubMed]
- Garud, D.R.; Makimura, M.; Ando, H.; Ishihara, H.; Koketsu, M. First regioselective iodocyclization of O-allylselenocarbamates. Tetrahedron Lett. 2007, 48, 7764–7768. [Google Scholar] [CrossRef]
- Fernandez-Bolanos, J.G.; Lopez, O.; Ulgar, V.; Maya, I.; Fuentes, J. Synthesis of O-unprotected glycosyl selenoureas. A new access to bicyclic sugar isoureas. Tetrahedron Lett. 2004, 45, 4081–4084. [Google Scholar] [CrossRef]
- Toyoda, Y.; Koketsu, M. Synthesis and Z/E isomerization of 2-imino-1,3-thiaselenolanes via iodocyclization. Tetrahedron 2012, 68, 10496–10501. [Google Scholar] [CrossRef]
- Potapov, V.A.; Kurkutov, E.O.; Amosova, S.V. Stereoselective synthesis of 5-bromo-2-bromomethyl-1,3-thiaselenolane 1,1-dioxide by addition of selenium dibromide to divinyl sulfone. Russ. J. Gen. Chem. 2010, 80, 1220–1221. [Google Scholar] [CrossRef]
- Potapov, V.A.; Kurkutov, E.O.; Musalov, M.V.; Amosova, S.V. Reactions of selenium dichloride and dibromide with divinyl sulfone: Synthesis of novel four- and five-membered selenium heterocycles. Tetrahedron Lett. 2010, 51, 5258–5261. [Google Scholar] [CrossRef]
- Potapov, V.A.; Kurkutov, E.O.; Amosova, S.V.; Rusakov, Y.Y. Regioselective dehydrobromination reaction of 5-bromo-2-bromomethyl-1,3-thiaselenolane 1,1-dioxide. Russ. Chem. Bull. 2011, 60, 196–197. [Google Scholar] [CrossRef]
- Starosotnikov, A.M.; Ilkov, K.V.; Bastrakov, M.A.; Fedyanin, I.V.; Kokorekin, V.A. Mild and efficient addition of carbon nucleophiles to condensed pyridines: Influence of structure and limits of applicability. Chem. Heterocycl. Compd. 2020, 56, 92–100. [Google Scholar] [CrossRef]
- Potaczek, P.; Młochowsky, J. From o-substituted bromoselenobenzenes to selenaheterocycles. Pol. J. Chem. 2006, 80, 913–920. [Google Scholar] [CrossRef]
- Iyoda, M.; Watanabe, R.; Miyake, Y. Anomalous ring cleavage of 1,3-dithiole- and 1,3-diselenole-2-thiones under the cross-coupling conditions using triethyl phosphite. Chem. Lett. 2004, 33, 570–571. [Google Scholar] [CrossRef]
- Takimiya, K.; Kataoka, Y.; Nakamura, Y.; Aso, Y.; Otsubo, T. Molecular modifications of methylenedithio-tetraselenafulvalene (MDT-TSF) and methylenedithio-diselenadithiafulvalene (MDT-ST) for superior electron donors. Synthesis 2004, 2004, 1315–1320. [Google Scholar] [CrossRef]
- Nakajima, H.; Katsuhara, M.; Ashizawa, M.; Kawamoto, T.; Mori, T. Ferromagnetic anomaly associated with the antiferromagnetic transitions in (donor)[Ni(mnt)2]-type charge-transfer salts. Inorg. Chem. 2004, 43, 6075–6082. [Google Scholar] [CrossRef]
- Kimura, T. Preparation and electrochemical property of octaethylphthalocyanine fused with four diselenadithiafulvalene units. Heterocycles 2014, 88, 207–212. [Google Scholar] [CrossRef]
- Takimiya, K.; Kodani, M.; Murakami, S.; Otsubo, T.; Aso, Y. Synthesis and properties of ethylenethiotetraselenafulvalene (ET-TSF) and its conductive radical cation salts. Heterocycles 2006, 67, 655–663. [Google Scholar] [CrossRef]
- Kodani, M.; Murakami, S.; Jigami, T.; Takimiya, K.; Aso, Y.; Otsubo, T. Bis(ethylenethio)tetraselenafulvalene and related hybrid diselenadithiafulvalenes as novel electron donors forming highly conductive complexes with 7,7,8,8-tetracyanoquinodimethane. Heterocycles 2001, 54, 225–235. [Google Scholar] [CrossRef]
- Takimiya, K.; Jigami, T.; Kawashima, M.; Kodani, M.; Aso, Y.; Otsubo, T. Synthetic procedure for various selenium-containing electron donors of the bis(ethylenedithio)tetrathiafulvalene (BEDT-TTF) type. J. Org. Chem. 2002, 67, 4218–4227. [Google Scholar] [CrossRef]
- Mori, H.; Suzuki, H.; Okano, T.; Moriyama, H.; Nishio, Y.; Kajita, K.; Kodani, M.; Takimiya, K.; Otsubo, T. Positional order and disorder of symmetric and unsymmetric BEDT-STF salts. J. Solid State Chem. 2002, 168, 626–631. [Google Scholar] [CrossRef]
- Walwyn, R.J.; Chan, B.; Usov, P.M.; Solomon, M.B.; Duyker, S.G.; Koo, J.Y.; Kawano, M.; Turner, P.; Kepert, C.J.; D’Alessandro, D.M. Spectroscopic, electronic and computational properties of a mixed tetrachalcogenafulvalene and its charge transfer complex. J. Mater. Chem. C 2018, 6, 1092–1104. [Google Scholar] [CrossRef]
- Hayashi, T.; Xiao, X.; Yamaji, Y.; Fujiwara, H.; Sugimoto, T.; Nakazumi, H. Novel sulfur–selenium exchange in ethylenedioxy- and ethylenedithiodithiadiselenafulvalenedithiolates. Chem. Lett. 2008, 37, 428–429. [Google Scholar] [CrossRef]
- Hiraoka, T.; Fujiwara, H.; Sugimoto, T.; Li, L.; Weng, Y.; Yokogawa, K.; Murata, K. Magnetic ion salts using selenium analogues of a new donor molecule, benzotetrathiafulvalenothioquinone-1,3-dithiolemethide. J. Low Temp. Phys. 2006, 142, 433–436. [Google Scholar] [CrossRef]
Disclaimer/Publisher’s Note: The statements, opinions and data contained in all publications are solely those of the individual author(s) and contributor(s) and not of MDPI and/or the editor(s). MDPI and/or the editor(s) disclaim responsibility for any injury to people or property resulting from any ideas, methods, instructions or products referred to in the content. |
© 2023 by the authors. Licensee MDPI, Basel, Switzerland. This article is an open access article distributed under the terms and conditions of the Creative Commons Attribution (CC BY) license (https://creativecommons.org/licenses/by/4.0/).




















