Durability of Commercial Catalysts within Relevant Stress Testing Protocols
Abstract
1. Introduction
2. Results
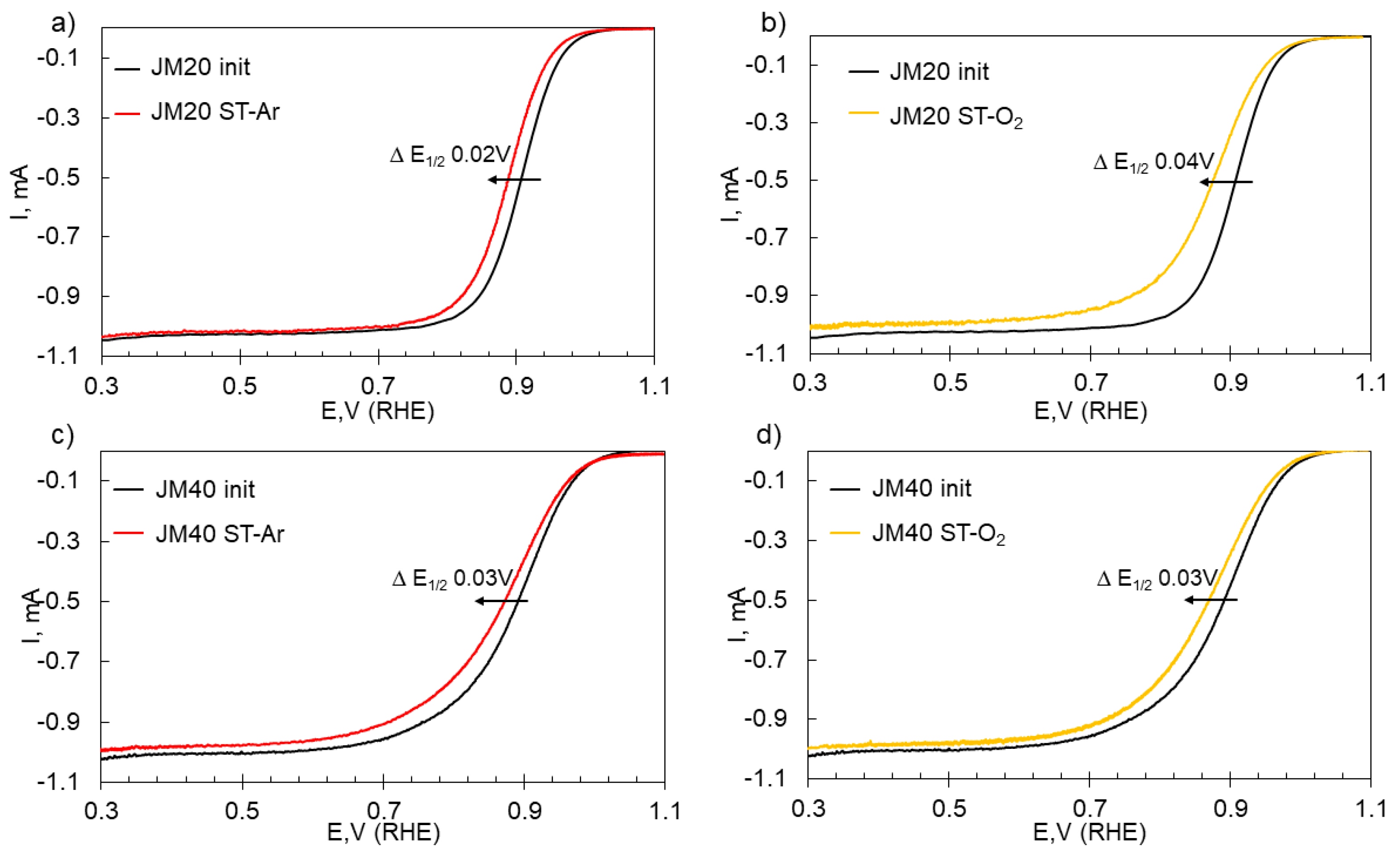
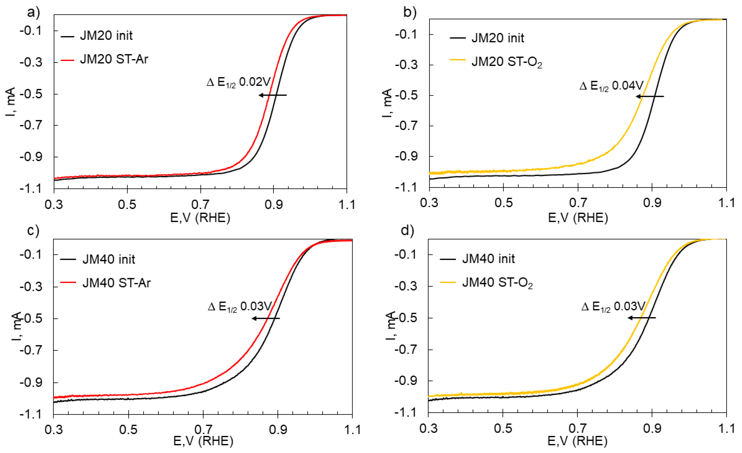
2.1. Activity and Durability of Commercial Pt/C Materials in Various ADT Modes
2.2. Morphology Evolution of Commercial Pt/C Materials before and after ADT in Various Modes
3. Materials and Methods
3.1. Chemicals and Materials
3.2. X-ray Examination
3.3. Transmission Electron Microscopy
3.4. Electrochemical Methods
4. Conclusions
Supplementary Materials
Author Contributions
Funding
Data Availability Statement
Acknowledgments
Conflicts of Interest
Abbreviations
| NPs | Nanoparticles |
| MEA | Membrane-electrode assembly |
| XRD | X-ray diffraction |
| TEM | Transmission electron microscopy |
| ESA | Electrochemically active surface area |
| CV | Cyclic voltammetry |
| RDE | Rotating disk electrode |
| RHE | Reversible hydrogen electrode |
| LSV | Linear sweep voltammetry |
References
- Jiao, K.; Xuan, J.; Du, Q.; Bao, Z.; Xie, B.; Wang, B.; Zhao, Y.; Fan, L.; Wang, H.; Hou, Z.; et al. Designing the next Generation of Proton-Exchange Membrane Fuel Cells. Nature 2021, 595, 361–369. [Google Scholar] [CrossRef] [PubMed]
- Katsounaros, I.; Cherevko, S.; Zeradjanin, A.R.; Mayrhofer, K.J.J. Oxygen Electrochemistry as a Cornerstone for Sustainable Energy Conversion. Angew. Chem. Int. Ed. Engl. 2014, 53, 102–121. [Google Scholar] [CrossRef]
- Litster, S.; McLean, G. PEM Fuel Cell Electrodes. J. Power Sources 2004, 130, 61–76. [Google Scholar] [CrossRef]
- Kodama, K.; Nagai, T.; Kuwaki, A.; Jinnouchi, R.; Morimoto, Y. Challenges in Applying Highly Active Pt-Based Nanostructured Catalysts for Oxygen Reduction Reactions to Fuel Cell Vehicles. Nat. Nanotechnol. 2021, 16, 140–147. [Google Scholar] [CrossRef] [PubMed]
- Jung, N.; Chung, D.Y.; Ryu, J.; Yoo, S.J.; Sung, Y.E. Pt-Based Nanoarchitecture and Catalyst Design for Fuel Cell Applications. Nano Today 2014, 9, 433–456. [Google Scholar] [CrossRef]
- Shao, Y.; Yin, G.; Gao, Y. Understanding and Approaches for the Durability Issues of Pt-Based Catalysts for PEM Fuel Cell. J. Power Sources 2007, 171, 558–566. [Google Scholar] [CrossRef]
- Xu, S.; Kim, Y.; Park, J.; Higgins, D.; Shen, S.J.; Schindler, P.; Thian, D.; Provine, J.; Torgersen, J.; Graf, T.; et al. Extending the Limits of Pt/C Catalysts with Passivation-Gas-Incorporated Atomic Layer Deposition. Nat. Catal. 2018, 1, 624–630. [Google Scholar] [CrossRef]
- Meier, J.C.; Galeano, C.; Katsounaros, I.; Witte, J.; Bongard, H.J.; Topalov, A.A.; Baldizzone, C.; Mezzavilla, S.; Schüth, F.; Mayrhofer, K.J.J. Design Criteria for Stable Pt/C Fuel Cell Catalysts. Beilstein J. Nanotechnol. 2014, 5, 44–67. [Google Scholar] [CrossRef]
- Sandbeck, D.J.S.; Secher, N.M.; Inaba, M.; Quinson, J.; Sørensen, J.E.; Kibsgaard, J.; Zana, A.; Bizzotto, F.; Speck, F.D.; Paul, M.T.Y.; et al. The Dissolution Dilemma for Low Pt Loading Polymer Electrolyte Membrane Fuel Cell Catalysts. J. Electrochem. Soc. 2020, 167, 164501. [Google Scholar] [CrossRef]
- Sharma, R.; Gyergyek, S.; Chamier, J.; Morgen, P.; Andersen, S.M. Pt/C Electrocatalyst Durability Enhancement by Inhibition of Pt Nanoparticle Growth Through Microwave Pretreatment of Carbon Support. ChemElectroChem 2021, 8, 1183–1195. [Google Scholar] [CrossRef]
- Lu, Y.; Du, S.; Steinberger-Wilckens, R. One-Dimensional Nanostructured Electrocatalysts for Polymer Electrolyte Membrane Fuel Cells—A Review. Appl. Catal. B. 2016, 199, 292–314. [Google Scholar] [CrossRef]
- Zhang, Y.; Chen, S.; Wang, Y.; Ding, W.; Wu, R.; Li, L.; Qi, X.; Wei, Z. Study of the Degradation Mechanisms of Carbon-Supported Platinum Fuel Cells Catalyst via Different Accelerated Stress Test. J. Power Sources 2015, 273, 62–69. [Google Scholar] [CrossRef]
- Bertin, E.; Münzer, A.; Reichenberger, S.; Streubel, R.; Vinnay, T.; Wiggers, H.; Schulz, C.; Barcikowski, S.; Marzun, G. Durability Study of Platinum Nanoparticles Supported on Gas-Phase Synthesized Graphene in Oxygen Reduction Reaction Conditions. Appl. Surf. Sci. 2019, 467–468, 1181–1186. [Google Scholar] [CrossRef]
- Ohma, A.; Shinohara, K.; Iiyama, A.; Yoshida, T.; Daimaru, A. Membrane and Catalyst Performance Targets for Automotive Fuel Cells by FCCJ Membrane, Catalyst, MEA WG. ECS Trans. 2011, 41, 775–784. [Google Scholar] [CrossRef]
- Meier, J.C.; Galeano, C.; Katsounaros, I.; Topalov, A.A.; Kostka, A.; Schüth, F.; Mayrhofer, K.J.J. Degradation Mechanisms of Pt/C Fuel Cell Catalysts under Simulated Start-Stop Conditions. ACS Catal. 2012, 2, 832–843. [Google Scholar] [CrossRef]
- Đukić, T.; Pavko, L.; Jovanovič, P.; Maselj, N.; Gatalo, M.; Hodnik, N. Stability Challenges of Carbon-Supported Pt-Nanoalloys as Fuel Cell Oxygen Reduction Reaction Electrocatalysts. Chem. Commun. 2022, 58, 13832–13854. [Google Scholar] [CrossRef]
- Watanabe, M.; Yano, H.; Uchida, H.; Tryk, D.A. Achievement of Distinctively High Durability at Nanosized Pt Catalysts Supported on Carbon Black for Fuel Cell Cathodes. J. Electroanal. Chem. 2018, 819, 359–364. [Google Scholar] [CrossRef]
- Nagai, T.; Jahn, C.; Jia, H. Improved Accelerated Stress Tests for ORR Catalysts Using a Rotating Disk Electrode. J. Electrochem. Soc. 2019, 166, F3111–F3115. [Google Scholar] [CrossRef]
- Borup, R.L.; Kusoglu, A.; Neyerlin, K.C.; Mukundan, R.; Ahluwalia, R.K.; Cullen, D.A.; More, K.L.; Weber, A.Z.; Myers, D.J. Recent Developments in Catalyst-Related PEM Fuel Cell Durability. Curr. Opin. Electrochem. 2020, 21, 192–200. [Google Scholar] [CrossRef]
- Alekseenko, A.A.; Moguchikh, E.A.; Safronenko, O.I.; Guterman, V.E. Durability of De-Alloyed PtCu/C Electrocatalysts. Int. J. Hydrogen Energy 2018, 43, 22885–22895. [Google Scholar] [CrossRef]
- Kodama, K.; Jinnouchi, R.; Takahashi, N.; Murata, H.; Morimoto, Y. Activities and Stabilities of Au-Modified Stepped-Pt Single-Crystal Electrodes as Model Cathode Catalysts in Polymer Electrolyte Fuel Cells. J. Am. Chem. Soc. 2016, 138, 4194–4200. [Google Scholar] [CrossRef] [PubMed]
- Johnson Matthey. Available online: https://matthey.com/ (accessed on 28 April 2023).
- TANAKA Precious Metals. Available online: https://tanaka-preciousmetals.com/en/products/detail/PEFCs/?nav=func (accessed on 28 April 2023).
- Umicore. Available online: https://www.umicore.com/en/ (accessed on 28 April 2023).
- Pajarito Powder. Available online: https://pajaritopowder.com/ (accessed on 28 April 2023).
- BASF Catalysts. Available online: https://catalysts.basf.com/ (accessed on 28 April 2023).
- Heraeus Group. Available online: https://www.heraeus.com/en/group/home/home.html (accessed on 28 April 2023).
- Premetek.Com-Catalysts and Nanomaterials. Available online: http://premetek.com/ (accessed on 28 April 2023).
- PROMETEY RD LLC. Available online: https://www.prometheusrd.com/ (accessed on 28 April 2023).
- Gerasimova, I.; Belenov, S.; Lyanguzov, N.; Pankov, I.; Tolstunov, M.; Pavlets, A. Role of the Potential Range during Stress Testing of Platinum-Containing Electrocatalysts at Elevated Temperature. Catalysts 2022, 12, 1179. [Google Scholar] [CrossRef]
- Paulus, U.A.; Schmidt, T.J.; Gasteiger, H.A.; Behm, R.J. Oxygen Reduction on a High-Surface Area Pt/Vulcan Carbon Catalyst: A Thin-Film Rotating Ring-Disk Electrode Study. J. Electroanal. Chem. 2001, 495, 134–145. [Google Scholar] [CrossRef]
- Dutta, I.; Carpenter, M.K.; Balogh, M.P.; Ziegelbauer, J.M.; Moylan, T.E.; Atwan, M.H.; Irish, N.P. Electrochemical and Structural Study of a Chemically Dealloyed PtCu Oxygen Reduction Catalyst. J. Phys. Chem. C 2010, 114, 16309–16320. [Google Scholar] [CrossRef]
- Oezaslan, M.; Strasser, P. Activity of Dealloyed PtCo3 and PtCu3 Nanoparticle Electrocatalyst for Oxygen Reduction Reaction in Polymer Electrolyte Membrane Fuel Cell. J. Power Sources 2011, 196, 5240–5249. [Google Scholar] [CrossRef]
- Guterman, V.E.; Belenov, S.V.; Alekseenko, A.A.; Lin, R.; Tabachkova, N.Y.; Safronenko, O.I. Activity and Stability of Pt/C and Pt-Cu/C Electrocatalysts. Electrocatalysis 2018, 9, 550–562. [Google Scholar] [CrossRef]
- Paperzh, K.O.; Alekseenko, A.A.; Volochaev, V.A.; Pankov, I.V.; Safronenko, O.A.; Guterman, V.E. Stability and Activity of Platinum Nanoparticles in the Oxygen Electroreduction Reaction: Is Size or Uniformity of Primary Importance? Beilstein J. Nanotechnol. 2021, 12, 593–606. [Google Scholar] [CrossRef]
- Riese, A.; Banham, D.; Ye, S.; Sun, X. Accelerated Stress Testing by Rotating Disk Electrode for Carbon Corrosion in Fuel Cell Catalyst Supports. J. Electrochem. Soc. 2015, 162, F783–F788. [Google Scholar] [CrossRef]
- Liu, Z.Y.; Zhang, J.L.; Yu, P.T.; Zhang, J.X.; Makharia, R.; More, K.L.; Stach, E.A. Transmission Electron Microscopy Observation of Corrosion Behaviors of Platinized Carbon Blacks under Thermal and Electrochemical Conditions. J. Electrochem. Soc. 2010, 157, B906. [Google Scholar] [CrossRef]
- Pushkareva, I.V.; Pushkarev, A.S.; Kalinichenko, V.N.; Chumakov, R.G.; Soloviev, M.A.; Liang, Y.; Millet, P.; Grigoriev, S.A. Reduced Graphene Oxide-Supported Pt-Based Catalysts for PEM Fuel Cells with Enhanced Activity and Stability. Catalysts 2021, 11, 256. [Google Scholar] [CrossRef]








| Conditions | JM20 | JM40 | ||||||
|---|---|---|---|---|---|---|---|---|
| ESA, m2/g(Pt) | E1/2, V | Ik, mA; | I, A;/g(Pt) | ESA, m2/g(Pt) | E1/2, V | Ik, mA; | I, A;/g(Pt) | |
| Initial | 84 | 0.91 | 1.24 | 254 | 56 | 0.90 | 0.9 | 159 |
| After ST-Ar | 56 | 0.89 | 0.68 | 152 | 43 | 0.87 | 0.63 | 108 |
| After ST-O2 | 48 | 0.87 | 0.51 | 108 | 46 | 0.87 | 0.67 | 135 |
Disclaimer/Publisher’s Note: The statements, opinions and data contained in all publications are solely those of the individual author(s) and contributor(s) and not of MDPI and/or the editor(s). MDPI and/or the editor(s) disclaim responsibility for any injury to people or property resulting from any ideas, methods, instructions or products referred to in the content. |
© 2023 by the authors. Licensee MDPI, Basel, Switzerland. This article is an open access article distributed under the terms and conditions of the Creative Commons Attribution (CC BY) license (https://creativecommons.org/licenses/by/4.0/).
Share and Cite
Moguchikh, E.; Paperzh, K.; Pankov, I.; Belenov, S.; Alekseenko, A. Durability of Commercial Catalysts within Relevant Stress Testing Protocols. Catalysts 2023, 13, 923. https://doi.org/10.3390/catal13060923
Moguchikh E, Paperzh K, Pankov I, Belenov S, Alekseenko A. Durability of Commercial Catalysts within Relevant Stress Testing Protocols. Catalysts. 2023; 13(6):923. https://doi.org/10.3390/catal13060923
Chicago/Turabian StyleMoguchikh, Elizaveta, Kirill Paperzh, Ilya Pankov, Sergey Belenov, and Anastasia Alekseenko. 2023. "Durability of Commercial Catalysts within Relevant Stress Testing Protocols" Catalysts 13, no. 6: 923. https://doi.org/10.3390/catal13060923
APA StyleMoguchikh, E., Paperzh, K., Pankov, I., Belenov, S., & Alekseenko, A. (2023). Durability of Commercial Catalysts within Relevant Stress Testing Protocols. Catalysts, 13(6), 923. https://doi.org/10.3390/catal13060923

