Recent Achievements in the Copper-Catalyzed Arylation of Adamantane-Containing Amines, Di- and Polyamines
Abstract
1. Introduction
2. CuI-Catalyzed Arylation of Adamantane-Containing Amines
3. CuI-Catalyzed Heteroarylation of Adamantane-Containing Amines
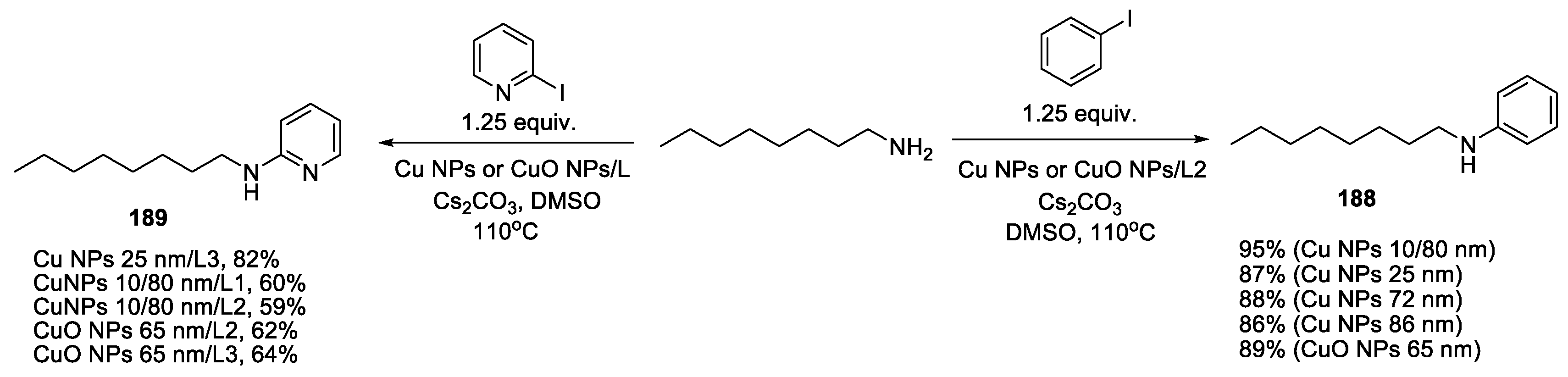
4. C-N Bond Formation Using Unsupported Copper Nanoparticles
5. N,N′-Diarylation of the Di- and Polyamines Using Cu(I) Catalysis
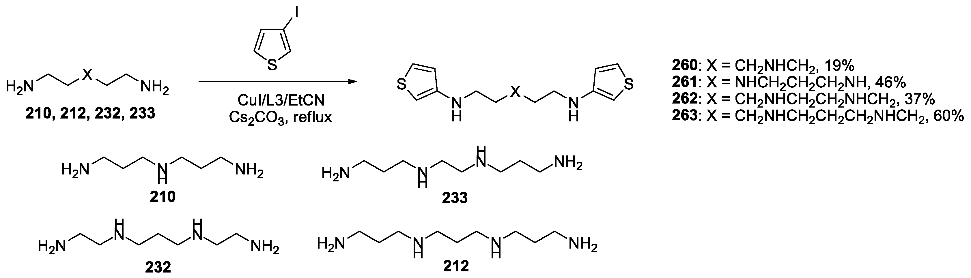
6. N,N′-Diheteroarylation of Di- and Polyamines Using Cu(I) Catalysis
7. Copper-Catalyzed Amination in the Modifications of the Aza- and Diazacrown Ethers
8. Chan-Lam Reactions for the Arylation of Adamantane-Containing Amines, Diamines and Oxadiamines
9. Conclusions and Prospects
Author Contributions
Funding
Data Availability Statement
Conflicts of Interest
References
- Ullmann, F.; Bielecki, J. Ueber Synthesen in der Biphenylreihe. Ber. Dtsch. Chem. Ges. 1901, 34, 2174–2185. [Google Scholar] [CrossRef]
- Ullmann, F. Ueber eine neue Bildungsweise von Diphenylaminderivaten. Ber. Dtsch. Chem. Ges. 1903, 36, 2382–2384. [Google Scholar] [CrossRef]
- Ullmann, F.; Sponagel, P. Ueber Phenylirung von Phenolen. Justus Liebigs Ann. Chem. 1906, 350, 83–107. [Google Scholar] [CrossRef]
- Goldberg, I. Ueber Phenylirungen bei Gegenwart von Kupfer als Katalysator. Ber. Dtsch. Chem. Ges. 1906, 39, 1691–1692. [Google Scholar] [CrossRef]
- Lindley, J. Tetrahedron report number 163: Copper assisted nucleophilic substitution of aryl halogen. Tetrahedron 1984, 40, 1433–1456. [Google Scholar] [CrossRef]
- Kunz, K.; Scholz, U.; Ganzer, D. Renaissance of Ullmann and Goldberg Reactions—Progress in Copper Catalyzed C-N-, C-O- and C-S-Coupling. Synlett 2003, 2003, 2428–2439. [Google Scholar] [CrossRef]
- Fanta, P.E. The Ullmann Synthesis of Biaryls. Synthesis 1974, 1974, 9–21. [Google Scholar] [CrossRef]
- Tuong, T.D.; Hida, M. Mechanism of the Ullmann Condensation. I. Kinetic and Thermodynamic Studies. Bull. Chem. Soc. Jpn. 1970, 43, 1763–1768. [Google Scholar] [CrossRef]
- Affouard, C.; Crockett, R.D.; Diker, K.; Farrell, R.P.; Gorins, G.; Huckins, J.R.; Caille, S. Multi-Kilo Delivery of AMG 925 Featuring a Buchwald–Hartwig Amination and Processing with Insoluble Synthetic Intermediates. Org. Proc. Res. Dev. 2015, 19, 476–485. [Google Scholar] [CrossRef]
- Ku, Y.-Y.; Chan, V.S.; Christesen, A.; Grieme, T.; Mulhern, M.; Pu, Y.-M.; Wendt, M.D. Development of a Convergent Large-Scale Synthesis for Venetoclax, a First-in-Class BCL-2 Selective Inhibitor. J. Org. Chem. 2019, 84, 4814–4829. [Google Scholar] [CrossRef]
- Yang, Q.; Zhao, Y.; Ma, D. Cu-Mediated Ullmann-Type Cross-Coupling and Industrial Applications in Route Design, Process Development, and Scale-up of Pharmaceutical and Agrochemical Processes. Org. Proc. Res. Dev. 2022, 26, 1690–1750. [Google Scholar] [CrossRef]
- Evendar, P.; Qu, R.-Y.; Kang, W.-M.; He, B.; Yang, G.-F. Palladium-Catalyzed Cross-Coupling Reactions: A Powerful Tool for the Synthesis of Agrochemicals. J. Agric. Food. Chem. 2018, 66, 8914–8934. [Google Scholar] [CrossRef] [PubMed]
- Chen, J.; Yan, W.; Townsend, E.J.; Feng, J.; Pan, L.; Del Angel Hernandez, V.; Faul, C.F.J. Tunable Surface Area, Porosity, and Function in Conjugated Microporous Polymers. Angew. Chem. Int. Ed. 2019, 58, 11715–11719. [Google Scholar] [CrossRef]
- Astridge, D.D.; Hoffman, J.B.; Zhang, F.; Park, S.Y.; Zhu, K.; Sellinger, A. Polymer Hole Transport Materials for Perovskite Solar Cells via Buchwald–Hartwig Amination. ACS Appl. Polym. Mater. 2021, 3, 5578–5587. [Google Scholar] [CrossRef]
- Weingarten, H. Mechanism of the Ullmann Condensation. J. Org. Chem. 1964, 29, 3624–3626. [Google Scholar] [CrossRef]
- Nicolaou, K.C.; Boddy, C.N.C.; Natarajan, S.; Yue, T.Y.; Li, H.; Bräse, S.; Ramanjulu, J.M. New Synthetic Technology for the Synthesis of Aryl Ethers: Construction of C-O-D and D-O-E Ring Model Systems of Vancomycin. J. Am. Chem. Soc. 1997, 119, 3421–3422. [Google Scholar] [CrossRef]
- Marcoux, J.-F.; Doye, S.; Buchwald, S.L. A General Copper-Catalyzed Synthesis of Diaryl Ethers. J. Am. Chem. Soc. 1997, 119, 10539–10540. [Google Scholar] [CrossRef]
- Ma, D.; Zhang, Y.; Yao, J.; Wu, S.; Tao, F. Accelerating Effect Induced by the Structure of α-Amino Acid in the Copper-Catalyzed Coupling Reaction of Aryl Halides with α-Amino Acids. Synthesis of Benzolactam-V8. J. Am. Chem. Soc. 1998, 120, 12459–12467. [Google Scholar] [CrossRef]
- Monnier, F.; Taillefer, M. Catalytic C–C, C–N, and C–O Ullmann-Type Coupling Reactions. Angew. Chem. Int. Ed. 2009, 48, 6954–6971. [Google Scholar] [CrossRef]
- Beletskaya, I.P.; Cheprakov, A.V. Copper in cross-coupling reactions: The post-Ullmann chemistry. Coord. Chem. Rev. 2004, 248, 2337–2364. [Google Scholar] [CrossRef]
- Beletskaya, I.P.; Averin, A.D. Metal-catalyzed reactions for the C(sp2)–N bond formation: Achievements of recent years. Russ. Chem. Rev. 2021, 90, 1359. [Google Scholar] [CrossRef]
- Goodbrand, H.B.; Hu, N.-X. Ligand-Accelerated Catalysis of the Ullmann Condensation: Application to Hole Conducting Triarylamines. J. Org. Chem. 1999, 64, 670–674. [Google Scholar] [CrossRef]
- Gujadhur, R.K.; Bates, C.G.; Venkataraman, D. Formation of Aryl–Nitrogen, Aryl–Oxygen, and Aryl–Carbon Bonds Using Well-Defined Copper(I)-Based Catalysts. Org. Lett. 2001, 3, 4315–4317. [Google Scholar] [CrossRef] [PubMed]
- Surry, D.S.; Buchwald, S.L. Diamine ligands in copper-catalyzed reactions. Chem. Sci. 2010, 1, 13–31. [Google Scholar] [CrossRef] [PubMed]
- Klapars, A.; Huang, X.; Buchwald, S.L. A General and Efficient Copper Catalyst for the Amidation of Aryl Halides. J. Am. Chem. Soc. 2002, 124, 7421–7428. [Google Scholar] [CrossRef] [PubMed]
- Antilla, J.C.; Baskin, J.M.; Barder, T.E.; Buchwald, S.L. Copper–Diamine-Catalyzed N-Arylation of Pyrroles, Pyrazoles, Indazoles, Imidazoles, and Triazoles. J. Org. Chem. 2004, 69, 5578–5587. [Google Scholar] [CrossRef]
- Ma, D.; Cai, Q.; Zhang, H. Mild Method for Ullmann Coupling Reaction of Amines and Aryl Halides. Org. Lett. 2003, 5, 2453–2455. [Google Scholar] [CrossRef]
- Zhang, H.; Cai, Q.; Ma, D. Amino Acid Promoted CuI-Catalyzed C–N Bond Formation between Aryl Halides and Amines or N-Containing Heterocycles. J. Org. Chem. 2005, 70, 5164–5173. [Google Scholar] [CrossRef]
- Jiang, Q.; Jiang, D.; Jiang, Y.; Fu, H.; Zhao, Y. A Mild and Efficient Method for Copper-Catalyzed Ullmann-Type N-Arylation of Aliphatic Amines and Amino Acids. Synlett 2007, 2007, 1836–1842. [Google Scholar] [CrossRef]
- Fan, M.; Zhou, W.; Jiang, Y.; Ma, D. Assembly of Primary (Hetero)Arylamines via CuI/Oxalic Diamide-Catalyzed Coupling of Aryl Chlorides and Ammonia. Org. Lett. 2015, 17, 5934–5937. [Google Scholar] [CrossRef]
- Gao, J.; Bhunia, S.; Wang, K.; Gan, L.; Xia, S.; Ma, D. Discovery of N-(Naphthalen-1-yl)-N′-alkyl Oxalamide Ligands Enables Cu-Catalyzed Aryl Amination with High Turnovers. Org. Lett. 2017, 19, 2809–2812. [Google Scholar] [CrossRef] [PubMed]
- Kwong, F.Y.; Klapars, A.; Buchwald, S.L. Copper-Catalyzed Coupling of Alkylamines and Aryl Iodides: An Efficient System Even in an Air Atmosphere. Org. Lett. 2002, 4, 581–584. [Google Scholar] [CrossRef] [PubMed]
- Jiang, D.; Fu, H.; Jiang, Y.; Zhao, Y. CuBr/rac-BINOL-Catalyzed N-Arylations of Aliphatic Amines at Room Temperature. J. Org. Chem. 2007, 72, 672–674. [Google Scholar] [CrossRef] [PubMed]
- Shafir, A.; Buchwald, S.L. Highly Selective Room-Temperature Copper-Catalyzed C–N Coupling Reactions. J. Am. Chem. Soc. 2006, 128, 8742–8743. [Google Scholar] [CrossRef]
- Shafir, A.; Lichtor, P.A.; Buchwald, S.L. N- versus O-Arylation of Aminoalcohols: Orthogonal Selectivity in Copper-Based Catalysts. J. Am. Chem. Soc. 2007, 129, 3490–3491. [Google Scholar] [CrossRef]
- Kwong, F.Y.; Buchwald, S.L. Mild and Efficient Copper-Catalyzed Amination of Aryl Bromides with Primary Alkylamines. Org. Lett. 2003, 5, 793–796. [Google Scholar] [CrossRef]
- Bernhardson, D.J.; Widlicka, D.W.; Singer, R.A. Cu-Catalyzed Couplings of Heteroaryl Primary Amines and (Hetero)aryl Bromides with 6-Hydroxypicolinamide Ligands. Org. Proc. Res. Dev. 2019, 23, 1538–1551. [Google Scholar] [CrossRef]
- Modak, A.; Nett, A.J.; Swift, E.C.; Haibach, M.C.; Chan, V.S.; Franczyk, T.S.; Shekhar, S.; Cook, S.P. Cu-Catalyzed C–N Coupling with Sterically Hindered Partners. ACS Catal. 2020, 10, 10495–10499. [Google Scholar] [CrossRef]
- Kim, S.-T.; Strauss, M.J.; Cabré, A.; Buchwald, S.L. Room-Temperature Cu-Catalyzed Amination of Aryl Bromides Enabled by DFT-Guided Ligand Design. J. Am. Chem. Soc. 2023, 145, 6966–6975. [Google Scholar] [CrossRef]
- Zhou, W.; Fan, M.; Yin, J.; Jiang, Y.; Ma, D. CuI/Oxalic Diamide Catalyzed Coupling Reaction of (Hetero)Aryl Chlorides and Amines. J. Am. Chem. Soc. 2015, 137, 11942–11945. [Google Scholar] [CrossRef]
- Chen, Z.; Ma, D. Cu/N,N′-Dibenzyloxalamide-Catalyzed N-Arylation of Heteroanilines. Org. Lett. 2019, 21, 6874–6878. [Google Scholar] [CrossRef] [PubMed]
- Li, S.; Huang, X.; Gao, Y.; Jin, J. Oxalamide/Amide Ligands: Enhanced and Copper-Catalyzed C–N Cross-Coupling for Triarylamine Synthesis. Org. Lett. 2022, 24, 5817–5824. [Google Scholar] [CrossRef] [PubMed]
- Ma, D.; Cai, Q. Copper/Amino Acid Catalyzed Cross-Couplings of Aryl and Vinyl Halides with Nucleophiles. Acc. Chem. Res. 2008, 41, 1450–1460. [Google Scholar] [CrossRef] [PubMed]
- Beletskaya, I.P.; Cheprakov, A.V. The Complementary Competitors: Palladium and Copper in C–N Cross-Coupling Reactions. Organometallics 2012, 31, 7753–7808. [Google Scholar] [CrossRef]
- Senra, J.D.; Aguiar, L.C.S.; Simas, A.B.C. Recent Progress in Transition-Metal-Catalyzed C-N Cross-Couplings: Emerging Approaches Towards Sustainability. Curr. Org. Synth. 2011, 8, 53–78. [Google Scholar] [CrossRef]
- Sambiagio, C.; Marsden, S.P.; Blacker, A.J.; McGowan, P.C. Copper catalysed Ullmann type chemistry: From mechanistic aspects to modern development. Chem. Soc. Rev. 2014, 43, 3525–3550. [Google Scholar] [CrossRef] [PubMed]
- Evano, G.; Blanchard, N.; Toumi, M. Copper-Mediated Coupling Reactions and Their Applications in Natural Products and Designed Biomolecules Synthesis. Chem. Rev. 2008, 108, 3054–3131. [Google Scholar] [CrossRef]
- Okano, K.; Tokuyama, H.; Fukuyama, T. Copper-mediated aromatic amination reaction and its application to the total synthesis of natural products. Chem. Commun. 2014, 50, 13650–13663. [Google Scholar] [CrossRef]
- Lee, J.; Panek, J.S. Application of Copper-Mediated C–N Bond Formation in Complex Molecules Synthesis. In Copper-Mediated Cross-Coupling Reactions; John Wiley & Sons Inc.: Hoboken, NJ, USA, 2013; pp. 589–641. [Google Scholar] [CrossRef]
- Junge, K.; Wienhöfer, G.; Beller, M.; Tlili, A.; Evano, G.; Taillefer, M.; Kempe, R.; Malbertz, C.; Klankermayer, J. New Trends in Organometallic Catalysts. In Applied Homogeneous Catalysis with Organometallic Compounds: A Comprehensive Handbook in Three Volumes, 3rd ed.; Cornils, B., Herrmann, W.A., Beller, M., Paciello, R., Eds.; John Wiley & Sons Inc.: Hoboken, NJ, USA, 2017. [Google Scholar]
- Shaughnessy, K.H.; Ciganek, E.; De Vasher, R.B.; Denmark, S.E. Copper-Catalyzed Amination of Aryl and Alkenyl Electrophiles; John Wiley & Sons Inc.: Hoboken, NJ, USA, 2017. [Google Scholar]
- Neetha, M.; Saranya, S.; Ann Harry, N.; Anilkumar, G. Recent Advances and Perspectives in the Copper-Catalysed Amination of Aryl and Heteroaryl Halides. ChemistrySelect 2020, 5, 736–753. [Google Scholar] [CrossRef]
- Weidlich, T.; Špryncová, M.; Čegan, A. Copper-Catalyzed Reactions of Aryl Halides with N-Nucleophiles and Their Possible Application for Degradation of Halogenated Aromatic Contaminants. Catalysts 2022, 12, 911. [Google Scholar] [CrossRef]
- Hosseinzadeh, R.; Aghili, N.; Tajbakhsh, M. SBA-15 Immobilized Phenanthroline–Copper(I) Complex as a Recyclable Efficient Catalyst for N-Arylation of Amides and N–H Heterocycles with Aryl Halides. Catal. Lett. 2016, 146, 193–203. [Google Scholar] [CrossRef]
- Niakan, M.; Asadi, Z.; Zare, S. Preparation, Characterization and Application of Copper Schiff base Complex Supported on MCM-41 as a Recyclable Catalyst for the Ullmann-type N-arylation Reaction. ChemistrySelect 2020, 5, 40–48. [Google Scholar] [CrossRef]
- Veisi, H.; Hamelian, M.; Hemmati, S.; Dalvand, A. CuI catalyst heterogenized on melamine-pyridines immobilized SBA-15: Heterogeneous and recyclable nanocatalyst for Ullmann-type CN coupling reactions. Tetrahedron Lett. 2017, 58, 4440–4446. [Google Scholar] [CrossRef]
- Hemmati, S.; Ahany Kamangar, S.; Yousefi, M.; Hashemi Salehi, M.; Hekmati, M. Cu(I)-anchored polyvinyl alcohol coated-magnetic nanoparticles as heterogeneous nanocatalyst in Ullmann-type C–N coupling reactions. Appl. Organomet. Chem. 2020, 34, e5611. [Google Scholar] [CrossRef]
- Islam, M.; Mondal, S.; Mondal, P.; Roy, A.S.; Tuhina, K.; Mobarok, M.; Paul, S.; Salam, N.; Hossain, D. An Efficient Recyclable Polymer Supported Copper(II) Catalyst for C–N Bond Formation by N-Arylation. Catal. Lett. 2011, 141, 1171–1181. [Google Scholar] [CrossRef]
- Arundhathi, R.; Kumar, D.C.; Sreedhar, B. C–N Bond Formation Catalysed by CuI Bonded to Polyaniline Nanofiber. Eur. J. Org. Chem. 2010, 2010, 3621–3630. [Google Scholar] [CrossRef]
- Islam, S.M.; Salam, N.; Mondal, P.; Roy, A.S.; Ghosh, K.; Tuhina, K. A highly active reusable polymer anchored copper catalyst for C-O, C-N and C-S cross coupling reactions. J. Mol. Catal. A Chem. 2014, 387, 7–19. [Google Scholar] [CrossRef]
- Esmaeilpour, M.; Sardarian, A.R.; Firouzabadi, H. Dendrimer-encapsulated Cu(Π) nanoparticles immobilized on superparamagnetic Fe3O4@SiO2 nanoparticles as a novel recyclable catalyst for N-arylation of nitrogen heterocycles and green synthesis of 5-substituted 1H-tetrazoles. Appl. Organomet. Chem. 2018, 32, e4300. [Google Scholar] [CrossRef]
- Chouhan, G.; Wang, D.; Alper, H. Magnetic nanoparticle-supported proline as a recyclable and recoverable ligand for the CuI catalyzed arylation of nitrogen nucleophiles. Chem. Commun. 2007, 45, 4809–4811. [Google Scholar] [CrossRef]
- Zahmatkesh, S.; Esmaeilpour, M.; Javidi, J. 1,4-Dihydroxyanthraquinone–copper(ii) supported on superparamagnetic Fe3O4@SiO2: An efficient catalyst for N-arylation of nitrogen heterocycles and alkylamines with aryl halides and click synthesis of 1-aryl-1,2,3-triazole derivatives. RSC Adv. 2016, 6, 90154–90164. [Google Scholar] [CrossRef]
- Sardarian, A.R.; Eslahi, H.; Esmaeilpour, M. Copper(II) Complex Supported on Fe3O4@SiO2 Coated by Polyvinyl Alcohol as Reusable Nanocatalyst in N-Arylation of Amines and N(H)- Heterocycles and Green Synthesis of 1H-Tetrazoles. ChemistrySelect 2018, 3, 1499–1511. [Google Scholar] [CrossRef]
- Paine, A.J. Mechanisms and models for copper mediated nucleophilic aromatic substitution. 2. Single catalytic species from three different oxidation states of copper in an Ullmann synthesis of triarylamines. J. Am. Chem. Soc. 1987, 109, 1496–1502. [Google Scholar] [CrossRef]
- Aalten, H.L.; van Koten, G.; Grove, D.M.; Kuilman, T.; Piekstra, O.G.; Hulshof, L.A.; Sheldon, R.A. The copper catalysed reaction of sodium methoxide with aryl bromides. A mechanistic study leading to a facile synthesis of anisole derivatives. Tetrahedron 1989, 45, 5565–5578. [Google Scholar] [CrossRef]
- Komori, T.; Satoh, N.; Yokoshima, S.; Fukuyama, T. Copper-Mediated Aryl Amination: In Situ Generation of an Active Copper(I) Species. Synlett 2011, 2011, 1859–1862. [Google Scholar] [CrossRef]
- Meng, F.; Zhu, X.; Li, Y.; Xie, J.; Wang, B.; Yao, J.; Wan, Y. Efficient Copper-Catalyzed Direct Amination of Aryl Halides Using Aqueous Ammonia in Water. Eur. J. Org. Chem. 2010, 2010, 6149–6152. [Google Scholar] [CrossRef]
- Quan, Z.; Xia, H.; Zhang, Z.; Da, Y.; Wang, X. Copper-Catalyzed Amination of Aryl Halides with Aqueous Ammonia under Mild Conditions. Chin. J. Chem. 2013, 31, 501–506. [Google Scholar] [CrossRef]
- Fantasia, S.; Windisch, J.; Scalone, M. Ligandless Copper-Catalyzed Coupling of Heteroaryl Bromides with Gaseous Ammonia. Adv. Synth. Catal. 2013, 355, 627–631. [Google Scholar] [CrossRef]
- Shang, Z.; Yang, L.; Chang, G. Synthesis of high-performance polymers via copper-catalyzed amination of dibromoarenes with primary aromatic ether diamines. Macromol. Res. 2015, 23, 937–943. [Google Scholar] [CrossRef]
- Jiao, J.; Zhang, X.-R.; Chang, N.-H.; Wang, J.; Wei, J.-F.; Shi, X.-Y.; Chen, Z.-G. A Facile and Practical Copper Powder-Catalyzed, Organic Solvent- and Ligand-Free Ullmann Amination of Aryl Halides. J. Org. Chem. 2011, 76, 1180–1183. [Google Scholar] [CrossRef]
- Sperotto, E.; van Klink, G.P.M.; van Koten, G.; de Vries, J.G. The mechanism of the modified Ullmann reaction. Dalton Trans. 2010, 39, 10338–10351. [Google Scholar] [CrossRef]
- Mansour, M.; Giacovazzi, R.; Ouali, A.; Taillefer, M.; Jutand, A. Activation of aryl halides by Cu0/1,10-phenanthroline: Cu0 as precursor of CuI catalyst in cross-coupling reactions. Chem. Commun. 2008, 45, 6051–6053. [Google Scholar] [CrossRef] [PubMed]
- Guo, Z.; Guo, J.; Song, Y.; Wang, L.; Zou, G. Hemilabile-coordinated copper promoted amination of aryl halides with ammonia in aqueous ethylene glycol under atmosphere pressure. Appl. Organomet. Chem. 2009, 23, 150–153. [Google Scholar] [CrossRef]
- Lefèvre, G.; Franc, G.; Adamo, C.; Jutand, A.; Ciofini, I. Influence of the Formation of the Halogen Bond ArX---N on the Mechanism of Diketonate Ligated Copper-Catalyzed Amination of Aromatic Halides. Organometallics 2012, 31, 914–920. [Google Scholar] [CrossRef]
- Xiang, S.-K.; Zhang, D.-X.; Hu, H.; Shi, J.-L.; Liao, L.-G.; Feng, C.; Wang, B.-Q.; Zhao, K.-Q.; Hu, P.; Yang, H.; et al. Synthesis of N-Arylamides by Copper-Catalyzed Amination of Aryl Halides with Nitriles. Adv. Synth. Catal. 2013, 355, 1495–1499. [Google Scholar] [CrossRef]
- Huffman, L.M.; Stahl, S.S. Carbon–Nitrogen Bond Formation Involving Well-Defined Aryl–Copper(III) Complexes. J. Am. Chem. Soc. 2008, 130, 9196–9197. [Google Scholar] [CrossRef] [PubMed]
- Casitas, A.; King, A.E.; Parella, T.; Costas, M.; Stahl, S.S.; Ribas, X. Direct observation of CuI/CuIII redox steps relevant to Ullmann-type coupling reactions. Chem. Sci. 2010, 1, 326–330. [Google Scholar] [CrossRef]
- Casitas, A.; Ribas, X. The role of organometallic copper(III) complexes in homogeneous catalysis. Chem. Sci. 2013, 4, 2301–2318. [Google Scholar] [CrossRef]
- Bacon, R.G.R.; Karim, A. Metal ions and complexes in organic reactions. Part XV. Copper-catalysed substitutions of aryl halides by phthalimide ion. J. Chem. Soc. Perkin Trans. 1973, 272–278. [Google Scholar] [CrossRef]
- Wanka, L.; Iqbal, K.; Schreiner, P.R. The Lipophilic Bullet Hits the Targets: Medicinal Chemistry of Adamantane Derivatives. Chem. Rev. 2013, 113, 3516–3604. [Google Scholar] [CrossRef]
- Sonkusare, S.K.; Kaul, C.L.; Ramarao, P. Dementia of Alzheimer’s disease and other neurodegenerative disorders—Memantine, a new hope. Pharmacol. Res. 2005, 51, 1–17. [Google Scholar] [CrossRef]
- Grekhova, T.V.; Gainetdinov, R.R.; Sotnikova, T.D.; Krasnykh, L.M.; Kudrin, V.S.; Sergeeva, S.A.; Morozov, I.S. Effect of bromantane, a new immunostimulating agent with psychostimulating activity, on the release and metabolism of dopamine in the striatum of freely moving rats. A microdialysis study. Bull. Exp. Biol. Med. 1995, 119, 294–296. [Google Scholar] [CrossRef]
- Morozov, I.S.; Klimova, N.V.; Lavrova, L.N.; Avdyunina, N.I.; Pyatin, B.M.; Troitskaya, V.S.; Bykov, N.P. N-adamantyl derivatives of aromatic amines. Part I. Synthesis and neurotropic activity of N-(adamant-2-yl)anilines. Pharm. Chem. J. 1998, 32, 1–4. [Google Scholar] [CrossRef]
- Panchenko, S.P.; Abel, A.S.; Averin, A.D.; Maloshitskaya, O.A.; Savelyev, E.N.; Orlinson, B.S.; Novakov, I.A.; Beletskaya, I.P. Arylation of adamantanamines: VIII. Optimization of the catalytic system for copper-catalyzed arylation of adamantane-containing amines. Russ. J. Org. Chem. 2017, 53, 1497–1504. [Google Scholar] [CrossRef]
- Averin, A.D.; Panchenko, S.P.; Abel, A.S.; Maloshitskaya, O.A.; Butov, G.M.; Savelyev, E.N.; Orlinson, B.S.; Novakov, I.A.; Beletskaya, I.P. Arylation of adamantanamines: IX. Copper(I)-catalyzed arylation of adamantane-containing amines. Russ. J. Org. Chem. 2017, 53, 1788–1798. [Google Scholar] [CrossRef]
- Panchenko, S.P.; Abel, A.C.; Averin, A.D.; Maloshitskaya, O.A.; Savelyev, E.N.; Orlinson, B.S.; Novakov, I.A.; Beletskaya, I.P. CuI-catalyzed N,N′-diarylation of diamines of adamantane series. Russ. Chem. Bull. 2016, 65, 1550–1555. [Google Scholar] [CrossRef]
- Murashkina, A.V.; Averin, A.D.; Panchenko, S.P.; Abel, A.S.; Maloshitskaya, O.A.; Savelyev, E.N.; Orlinson, B.S.; Novakov, I.A.; Correia, C.R.D.; Beletskaya, I.P. Comparison of the Catalytic Activities of Copper(I) Iodide and Copper Nanoparticles in the N-Arylation of Adamantane-Containing Amines. Russ. J. Org. Chem. 2022, 58, 15–24. [Google Scholar] [CrossRef]
- Kivitz, A.J.; Gutierrez-Ureña, S.R.; Poiley, J.; Genovese, M.C.; Kristy, R.; Shay, K.; Wang, X.; Garg, J.P.; Zubrzycka-Sienkiewicz, A. Peficitinib, a JAK Inhibitor, in the Treatment of Moderate-to-Severe Rheumatoid Arthritis in Patients With an Inadequate Response to Methotrexate. Arthritis Rheumatol. 2017, 69, 709–719. [Google Scholar] [CrossRef]
- Leovac, V.M.; Rodić, M.V.; Jovanović, L.S.; Joksović, M.D.; Stanojković, T.; Vujčić, M.; Sladić, D.; Marković, V.; Vojinović-Ješić, L.S. Transition Metal Complexes with 1-Adamantoyl Hydrazones—Cytotoxic Copper(II) Complexes of Tri- and Tetradentate Pyridine Chelators Containing an Adamantane Ring System. Eur. J. Inorg. Chem. 2015, 2015, 882–895. [Google Scholar] [CrossRef]
- Ryu, J.H.; Kim, S.; Han, H.Y.; Son, H.J.; Lee, H.J.; Shin, Y.A.; Kim, J.-S.; Park, H.-g. Synthesis and biological evaluation of picolinamides as potent inhibitors of 11β-hydroxysteroid dehydrogenase type 1 (11β-HSD1). Bioorg. Med. Chem. Lett. 2015, 25, 695–700. [Google Scholar] [CrossRef]
- Rohde, J.J.; Pliushchev, M.A.; Sorensen, B.K.; Wodka, D.; Shuai, Q.; Wang, J.; Fung, S.; Monzon, K.M.; Chiou, W.J.; Pan, L.; et al. Discovery and Metabolic Stabilization of Potent and Selective 2-Amino-N-(adamant-2-yl) Acetamide 11β-Hydroxysteroid Dehydrogenase Type 1 Inhibitors. J. Med. Chem. 2007, 50, 149–164. [Google Scholar] [CrossRef]
- Sorensen, B.; Rohde, J.; Wang, J.; Fung, S.; Monzon, K.; Chiou, W.; Pan, L.; Deng, X.; Stolarik, D.; Frevert, E.U.; et al. Adamantane 11-β-HSD-1 inhibitors: Application of an isocyanide multicomponent reaction. Bioorg. Med. Chem. Lett. 2006, 16, 5958–5962. [Google Scholar] [CrossRef] [PubMed]
- Liu, S.; Qian, P.; Wan, F.-X.; Shi, Y.-H.; Jiang, L. Design, synthesis, and biological activity of novel 2-(pyridin-3-yl)ethan-1-one oxime ethers bearing adamantane moiety. J. Chin. Chem. Soc. 2019, 66, 330–334. [Google Scholar] [CrossRef]
- Collins, K.C.; Janda, K.D. Investigating Hapten Clustering as a Strategy to Enhance Vaccines against Drugs of Abuse. Bioconjug. Chem. 2014, 25, 593–600. [Google Scholar] [CrossRef] [PubMed]
- Weigel, W.K., III; Dang, H.T.; Feceub, A.; Martin, D.B.C. Direct radical functionalization methods to access substituted adamantanes and diamondoids. Org. Biomol. Chem. 2022, 20, 10–36. [Google Scholar] [CrossRef]
- Zhou, L.; Togo, H. Introduction of Heteroaromatic Bases onto Cycloalkanes with BPO. Eur. J. Org. Chem. 2019, 2019, 1627–1634. [Google Scholar] [CrossRef]
- Zhao, H.; Li, Z.; Jin, J. Green oxidant H2O2 as a hydrogen atom transfer reagent for visible light-mediated Minisci reaction. New J. Chem. 2019, 43, 12533–12537. [Google Scholar] [CrossRef]
- Perry, I.B.; Brewer, T.F.; Sarver, P.J.; Schultz, D.M.; DiRocco, D.A.; MacMillan, D.W.C. Direct arylation of strong aliphatic C–H bonds. Nature 2018, 560, 70–75. [Google Scholar] [CrossRef]
- Abel, A.S.; Averin, A.D.; Anokhin, M.V.; Maloshitskaya, O.A.; Butov, G.M.; Savelyev, E.N.; Orlinson, B.S.; Novakov, I.A.; Beletskaya, I.P. Arylation of adamantanamines: VII. Copper(I)-catalyzed N-heteroarylation of adamantane-containing amines with halopyridines. Russ. J. Org. Chem. 2015, 51, 301–308. [Google Scholar] [CrossRef]
- Abel, A.S.; Kotovshchikov, Y.N.; Averin, A.D.; Maloshitskaya, O.A.; Savelyev, E.N.; Orlinson, B.S.; Novakov, I.A.; Beletskaya, I.P. Problem of Regioselectivity in the Amination of 2-Fluoro-5-iodopyridine with Adamantylalkyl Amines. Heterocycles 2019, 99, 1342–1354. [Google Scholar] [CrossRef]
- Scherman, M.S.; North, E.J.; Jones, V.; Hess, T.N.; Grzegorzewicz, A.E.; Kasagami, T.; Kim, I.-H.; Merzlikin, O.; Lenaerts, A.J.; Lee, R.E.; et al. Screening a library of 1600 adamantyl ureas for anti-Mycobacterium tuberculosis activity in vitro and for better physical chemical properties for bioavailability. Bioorg. Med. Chem. 2012, 20, 3255–3262. [Google Scholar] [CrossRef]
- Al-Omar, M.A.; Al-Abdullah, E.S.; Shehata, I.A.; Habib, E.E.; Ibrahim, T.M.; El-Emam, A.A. Synthesis, Antimicrobial, and Anti-inflammatory Activities of Novel 5-(1-Adamantyl)-4-arylideneamino-3-mercapto-1,2,4-triazoles and Related Derivatives. Molecules 2010, 15, 2526–2550. [Google Scholar] [CrossRef] [PubMed]
- Yu, X.; Zhang, M.; Annamalai, T.; Bansod, P.; Narula, G.; Tse-Dinh, Y.-C.; Sun, D. Synthesis, evaluation, and CoMFA study of fluoroquinophenoxazine derivatives as bacterial topoisomerase IA inhibitors. Eur. J. Med. Chem. 2017, 125, 515–527. [Google Scholar] [CrossRef] [PubMed]
- O’Brien-Brown, J.; Jackson, A.; Reekie, T.A.; Barron, M.L.; Werry, E.L.; Schiavini, P.; McDonnell, M.; Munoz, L.; Wilkinson, S.; Noll, B.; et al. Discovery and pharmacological evaluation of a novel series of adamantyl cyanoguanidines as P2X7 receptor antagonists. Eur. J. Med. Chem. 2017, 130, 433–439. [Google Scholar] [CrossRef] [PubMed]
- Udagawa, S.; Sakami, S.; Takemura, T.; Sato, M.; Arai, T.; Nitta, A.; Aoki, T.; Kawai, K.; Iwamura, T.; Okazaki, S.; et al. Discovery of novel 7-membered cyclic amide derivatives that inhibit 11beta-hydroxysteroid dehydrogenase type 1. Bioorg. Med. Chem. Lett. 2013, 23, 1617–1621. [Google Scholar] [CrossRef] [PubMed]
- Berglund, S.; Egner, B.J.; Gradén, H.; Gradén, J.; Morgan, D.G.A.; Inghardt, T.; Giordanetto, F. Optimization of piperidin-4-yl-urea-containing melanin-concentrating hormone receptor 1 (MCH-R1) antagonists: Reducing hERG-associated liabilities. Bioorg. Med. Chem. Lett. 2009, 19, 4274–4279. [Google Scholar] [CrossRef]
- Brogi, S.; Corelli, F.; Di Marzo, V.; Ligresti, A.; Mugnaini, C.; Pasquini, S.; Tafi, A. Three-dimensional quantitative structure–selectivity relationships analysis guided rational design of a highly selective ligand for the cannabinoid receptor 2. Eur. J. Med. Chem. 2011, 46, 547–555. [Google Scholar] [CrossRef]
- Lyakhovich, M.S.; Murashkina, A.V.; Averin, A.D.; Abel, A.S.; Maloshitskaya, O.A.; Savelyev, E.N.; Orlinson, B.S.; Beletskaya, I.P. Arylation of Adamantanamines: X. Palladium- and Copper-Catalyzed Heteroarylation of Adamantane-Containing Amines with Bromopyridines. Russ. J. Org. Chem. 2019, 55, 737–747. [Google Scholar] [CrossRef]
- Lyakhovich, M.S.; Murashkina, A.V.; Panchenko, S.P.; Averin, A.D.; Abel, A.S.; Maloshitskaya, O.A.; Savelyev, E.N.; Orlinson, B.S.; Novakov, I.A.; Beletskaya, I.P. Arylation of Adamantanamines: XI. Comparison of the Catalytic Efficiency of Palladium and Copper Complexes in Reactions of Adamantanamines with Fluorinated 2-Bromopyridines. Russ. J. Org. Chem. 2021, 57, 768–783. [Google Scholar] [CrossRef]
- Hajipour, A.R.; Dordahan, F.; Rafiee, F.; Mahdavi, M. C–N cross-coupling reaction catalysed by efficient and reusable CuO/SiO2 nanoparticles under ligand-free conditions. Appl. Organomet. Chem. 2014, 28, 809–813. [Google Scholar] [CrossRef]
- Nador, F.; Volpe, M.A.; Alonso, F.; Radivoy, G. Synthesis of N-aryl imidazoles catalyzed by copper nanoparticles on nanosized silica-coated maghemite. Tetrahedron 2014, 70, 6082–6087. [Google Scholar] [CrossRef]
- Mitrofanov, A.Y.; Murashkina, A.V.; Martín-García, I.; Alonso, F.; Beletskaya, I.P. Formation of C–C, C–S and C–N bonds catalysed by supported copper nanoparticles. Catal. Sci. Technol. 2017, 7, 4401–4412. [Google Scholar] [CrossRef]
- Mondal, P.; Sinha, A.; Salam, N.; Roy, A.S.; Jana, N.R.; Islam, S.M. Enhanced catalytic performance by copper nanoparticle–graphene based composite. RSC Adv. 2013, 3, 5615–5623. [Google Scholar] [CrossRef]
- Gopiraman, M.; Ganesh Babu, S.; Khatri, Z.; Kai, W.; Kim, Y.A.; Endo, M.; Karvembu, R.; Kim, I.S. An efficient, reusable copper-oxide/carbon-nanotube catalyst for N-arylation of imidazole. Carbon 2013, 62, 135–148. [Google Scholar] [CrossRef]
- Khalil, A.; Jouiad, M.; Khraisheh, M.; Hashaikeh, R. Facile Synthesis of Copper Oxide Nanoparticles via Electrospinning. J. Nanomater. 2014, 2014, 438407. [Google Scholar] [CrossRef]
- Jammi, S.; Sakthivel, S.; Rout, L.; Mukherjee, T.; Mandal, S.; Mitra, R.; Saha, P.; Punniyamurthy, T. CuO Nanoparticles Catalyzed C–N, C–O, and C–S Cross-Coupling Reactions: Scope and Mechanism. J. Org. Chem. 2009, 74, 1971–1976. [Google Scholar] [CrossRef]
- Suramwar, N.V.; Thakare, S.R.; Karade, N.N.; Khaty, N.T. Green synthesis of predominant (111) facet CuO nanoparticles: Heterogeneous and recyclable catalyst for N-arylation of indoles. J. Mol. Catal. A Chem. 2012, 359, 28–34. [Google Scholar] [CrossRef]
- Rout, L.; Jammi, S.; Punniyamurthy, T. Novel CuO Nanoparticle Catalyzed C–N Cross Coupling of Amines with Iodobenzene. Org. Lett. 2007, 9, 3397–3399. [Google Scholar] [CrossRef]
- Reddy, K.H.V.; Satish, G.; Ramesh, K.; Karnakar, K.; Nageswar, Y.V.D. An efficient synthesis of N-substituted indoles from indoline/indoline carboxylic acid via aromatization followed by C–N cross-coupling reaction by using nano copper oxide as a recyclable catalyst. Tetrahedron Lett. 2012, 53, 3061–3065. [Google Scholar] [CrossRef]
- Murashkina, A.V.; Kuliukhina, D.S.; Averin, A.D.; Abel, A.S.; Savelyev, E.N.; Orlinson, B.S.; Novakov, I.A.; Correia, C.R.D.; Beletskaya, I.P. A comparison of homogeneous and heterogeneous copper catalyzed arylation of amines. Mendeleev Commun. 2022, 32, 91–93. [Google Scholar] [CrossRef]
- Fomenko, V.I.; Murashkina, A.V.; Averin, A.D.; Shesterkina, A.A.; Beletskaya, I.P. Unsupported Copper Nanoparticles in the Arylation of Amines. Catalysts 2023, 13, 331. [Google Scholar] [CrossRef]
- Kuliukhina, D.S.; Averin, A.D.; Panchenko, S.P.; Abel, A.S.; Savelyev, E.N.; Orlinson, B.S.; Novakov, I.A.; Correia, C.R.D.; Beletskaya, I.P. CuI and Copper Nanoparticles in the Catalytic Amination of 2-Halopyridines. Russ. J. Org. Chem. 2022, 58, 167–174. [Google Scholar] [CrossRef]
- Pegg, A.E.; Casero, R.A. Current Status of the Polyamine Research Field. In Polyamines: Methods and Protocols; Pegg, A., Casero, R., Jr., Eds.; Humana Press: Totowa, NJ, USA, 2011; Volume 720, pp. 3–35. [Google Scholar] [CrossRef]
- Díaz, J.E.; Bisceglia, J.Á.; Mollo, M.C.; Orelli, L.R. 1,n-Diamines. Part 2: Synthesis of acyclic and heterocyclic N-arylputrescine derivatives. Tetrahedron Lett. 2011, 52, 1895–1897. [Google Scholar] [CrossRef]
- Bisceglia, J.Á.; García, M.B.; Massa, R.; Magri, M.L.; Zani, M.; Gutkind, G.O.; Orelli, L.R. Synthesis, characterization and biological activity of bis(3-Aryl-1-hexahydropyrimidinyl)methanes. Novel heterocyclic polyamine derivatives. J. Heterocycl. Chem. 2004, 41, 85–90. [Google Scholar] [CrossRef]
- Haffner, C.D.; Thomson, S.A.; Guo, Y.; Petrov, K.; Larkin, A.; Banker, P.; Schaaf, G.; Dickerson, S.; Gobel, J.; Gillie, D.; et al. Substituted N-{3-[(1,1-dioxido-1,2-benzothiazol-3-yl)(phenyl)amino]propyl}benzamide analogs as potent Kv1.3 ion channel blockers. Part 2. Bioorg. Med. Chem. Lett. 2010, 20, 6989–6992. [Google Scholar] [CrossRef] [PubMed]
- Burns, M.R.; LaTurner, S.; Ziemer, J.; McVean, M.; Devens, B.; Carlson, C.L.; Graminski, G.F.; Vanderwerf, S.M.; Weeks, R.S.; Carreon, J. Induction of apoptosis by aryl-substituted diamines: Role of aromatic group substituents and distance between nitrogens. Bioorg. Med. Chem. Lett. 2002, 12, 1263–1267. [Google Scholar] [CrossRef] [PubMed]
- Bergeron, R.J.; Weimar, W.R.; Wu, Q.; Feng, Y.; McManis, J.S. Polyamine Analogue Regulation of NMDA MK-801 Binding: A Structure–Activity Study. J. Med. Chem. 1996, 39, 5257–5266. [Google Scholar] [CrossRef] [PubMed]
- da Costa, C.F.; Coimbra, E.S.; Braga, F.G.; dos Reis, R.C.N.; da Silva, A.D.; de Almeida, M.V. Preparation and antileishmanial activity of lipophilic N-alkyl diamines. Biomed. Pharmacother. 2009, 63, 40–42. [Google Scholar] [CrossRef] [PubMed]
- Panchenko, S.P.; Averin, A.D.; Anokhin, M.V.; Maloshitskaya, O.A.; Beletskaya, I.P. Cu(I)-catalyzed N,N′-diarylation of natural diamines and polyamines with aryl iodides. Beilstein J. Org. Chem. 2015, 11, 2297–2305. [Google Scholar] [CrossRef]
- Anokhin, M.V.; Averin, A.D.; Beletskaya, I.P. Copper-Catalyzed Arylation of Oxadiamines and Polyamines. Eur. J. Org. Chem. 2011, 2011, 6240–6253. [Google Scholar] [CrossRef]
- Albert, J.; Bosque, R.; Cadena, M.; D’Andrea, L.; Granell, J.; González, A.; Quirante, J.; Calvis, C.; Messeguer, R.; Badía, J.; et al. A New Family of Doubly Cyclopalladated Diimines. A Remarkable Effect of the Linker between the Metalated Units on Their Cytotoxicity. Organometallics 2014, 33, 2862–2873. [Google Scholar] [CrossRef]
- Li, S.A.; Cadelis, M.M.; Sue, K.; Blanchet, M.; Vidal, N.; Brunel, J.M.; Bourguet-Kondracki, M.-L.; Copp, B.R. 6-Bromoindolglyoxylamido derivatives as antimicrobial agents and antibiotic enhancers. Bioorg. Med. Chem. 2019, 27, 2090–2099. [Google Scholar] [CrossRef]
- Liew, L.P.P.; Pearce, A.N.; Kaiser, M.; Copp, B.R. Synthesis and in vitro and in vivo evaluation of antimalarial polyamines. Eur. J. Med. Chem. 2013, 69, 22–31. [Google Scholar] [CrossRef] [PubMed]
- Devi, J.; Devi, S.; Kumar, A. Synthesis, antibacterial evaluation and QSAR analysis of Schiff base complexes derived from [2,2′-(ethylenedioxy)bis(ethylamine)] and aromatic aldehydes. MedChemComm 2016, 7, 932–947. [Google Scholar] [CrossRef]
- Vennerstrom, J.L.; Ager, A.L.; Dorn, A.; Andersen, S.L.; Gerena, L.; Ridley, R.G.; Milhous, W.K. Bisquinolines. 2. Antimalarial N,N-Bis(7-chloroquinolin-4-yl)heteroalkanediamines. J. Med. Chem. 1998, 41, 4360–4364. [Google Scholar] [CrossRef] [PubMed]
- Chtchigrovsky, M.; Eloy, L.; Jullien, H.; Saker, L.; Ségal-Bendirdjian, E.; Poupon, J.; Bombard, S.; Cresteil, T.; Retailleau, P.; Marinetti, A. Antitumor trans-N-Heterocyclic Carbene–Amine–Pt(II) Complexes: Synthesis of Dinuclear Species and Exploratory Investigations of DNA Binding and Cytotoxicity Mechanisms. J. Med. Chem. 2013, 56, 2074–2086. [Google Scholar] [CrossRef]
- Lyakhovich, M.S.; Averin, A.D.; Grigorova, O.K.; Roznyatovsky, V.A.; Maloshitskaya, O.A.; Beletskaya, I.P. Cu(I)- and Pd(0)-Catalyzed Arylation of Oxadiamines with Fluorinated Halogenobenzenes: Comparison of Efficiency. Molecules 2020, 25, 1084. [Google Scholar] [CrossRef]
- Panchenko, S.P.; Averin, A.D.; Lyakhovich, M.S.; Abel, A.S.; Maloshitskaya, O.A.; Beletskaya, I.P. CuI-catalyzed hetarylation of natural di- and polyamines with halopyridines. Russ. Chem. Bull. 2017, 66, 1611–1617. [Google Scholar] [CrossRef]
- Anokhin, M.V.; Averin, A.D.; Panchenko, S.P.; Maloshitskaya, O.A.; Buryak, A.K.; Beletskaya, I.P. Copper(I)-Catalyzed Amination of Halogenopyridines with Polyamines. Helv. Chim. Acta 2015, 98, 47–59. [Google Scholar] [CrossRef]
- Anokhin, M.V.; Averin, A.D.; Panchenko, S.P.; Maloshitskaya, O.A.; Beletskaya, I.P. CuI-mediated modification of polyamines with fluorophore groups. Mendeleev Commun. 2015, 25, 245–247. [Google Scholar] [CrossRef]
- Anokhin, M.V.; Averin, A.D.; Panchenko, S.P.; Maloshitskaya, O.A.; Beletskaya, I.P. Copper(I)-catalyzed amination of halothiophenes with polyamines. Russ. J. Org. Chem. 2014, 50, 923–927. [Google Scholar] [CrossRef]
- Yakushev, A.A.; Averin, A.D.; Anokhin, M.V.; Maloshitskaya, O.A.; Lamaty, F.; Beletskaya, I.P. Copper-catalyzed amination in the synthesis of polyoxadiamine derivatives of aza- and diazacrown ethers. Macroheterocycles 2014, 7, 358–364. [Google Scholar] [CrossRef]
- Yakushev, A.A.; Averin, A.D.; Maloshitskaya, O.A.; Syrbu, S.A.; Koifman, O.I.; Beletskaya, I.P. Palladium- and Copper-Catalyzed Amination of Halogenophenyl Substituted Porphyrins for the Synthesis of Porphyrin-Azacrown Ethers Conjugates and Evaluation of Their Sensing Properties. Macroheterocycles 2016, 9, 65–72. [Google Scholar] [CrossRef]
- West, M.J.; Fyfe, J.W.B.; Vantourout, J.C.; Watson, A.J.B. Mechanistic Development and Recent Applications of the Chan–Lam Amination. Chem. Rev. 2019, 119, 12491–12523. [Google Scholar] [CrossRef] [PubMed]
- Kuliukhina, D.S.; Yakushev, A.A.; Malysheva, A.S.; Averin, A.D.; Beletskaya, I.P. Synthesis of N,N′-Diaryl Diamines and Oxadiamines via Chan–Lam Amination. Russ. J. Org. Chem. 2022, 58, 1752–1758. [Google Scholar] [CrossRef]





























Disclaimer/Publisher’s Note: The statements, opinions and data contained in all publications are solely those of the individual author(s) and contributor(s) and not of MDPI and/or the editor(s). MDPI and/or the editor(s) disclaim responsibility for any injury to people or property resulting from any ideas, methods, instructions or products referred to in the content. |
© 2023 by the authors. Licensee MDPI, Basel, Switzerland. This article is an open access article distributed under the terms and conditions of the Creative Commons Attribution (CC BY) license (https://creativecommons.org/licenses/by/4.0/).
Share and Cite
Averin, A.D.; Panchenko, S.P.; Murashkina, A.V.; Fomenko, V.I.; Kuliukhina, D.S.; Malysheva, A.S.; Yakushev, A.A.; Abel, A.S.; Beletskaya, I.P. Recent Achievements in the Copper-Catalyzed Arylation of Adamantane-Containing Amines, Di- and Polyamines. Catalysts 2023, 13, 831. https://doi.org/10.3390/catal13050831
Averin AD, Panchenko SP, Murashkina AV, Fomenko VI, Kuliukhina DS, Malysheva AS, Yakushev AA, Abel AS, Beletskaya IP. Recent Achievements in the Copper-Catalyzed Arylation of Adamantane-Containing Amines, Di- and Polyamines. Catalysts. 2023; 13(5):831. https://doi.org/10.3390/catal13050831
Chicago/Turabian StyleAverin, Alexei D., Svetlana P. Panchenko, Arina V. Murashkina, Varvara I. Fomenko, Daria S. Kuliukhina, Anna S. Malysheva, Alexei A. Yakushev, Anton S. Abel, and Irina P. Beletskaya. 2023. "Recent Achievements in the Copper-Catalyzed Arylation of Adamantane-Containing Amines, Di- and Polyamines" Catalysts 13, no. 5: 831. https://doi.org/10.3390/catal13050831
APA StyleAverin, A. D., Panchenko, S. P., Murashkina, A. V., Fomenko, V. I., Kuliukhina, D. S., Malysheva, A. S., Yakushev, A. A., Abel, A. S., & Beletskaya, I. P. (2023). Recent Achievements in the Copper-Catalyzed Arylation of Adamantane-Containing Amines, Di- and Polyamines. Catalysts, 13(5), 831. https://doi.org/10.3390/catal13050831

