Fluorine Anion-Doped Ba0.6Sr0.4Co0.7Fe0.2Nb0.1O3-δ as a Promising Cathode for Protonic Ceramic Fuel Cells
Abstract
1. Introduction
2. Results and Discussion
2.1. Structure of Ba0.6Sr0.4Co0.7Fe0.2Nb0.1O3-x-δFx (x = 0, 0.05, 0.1)
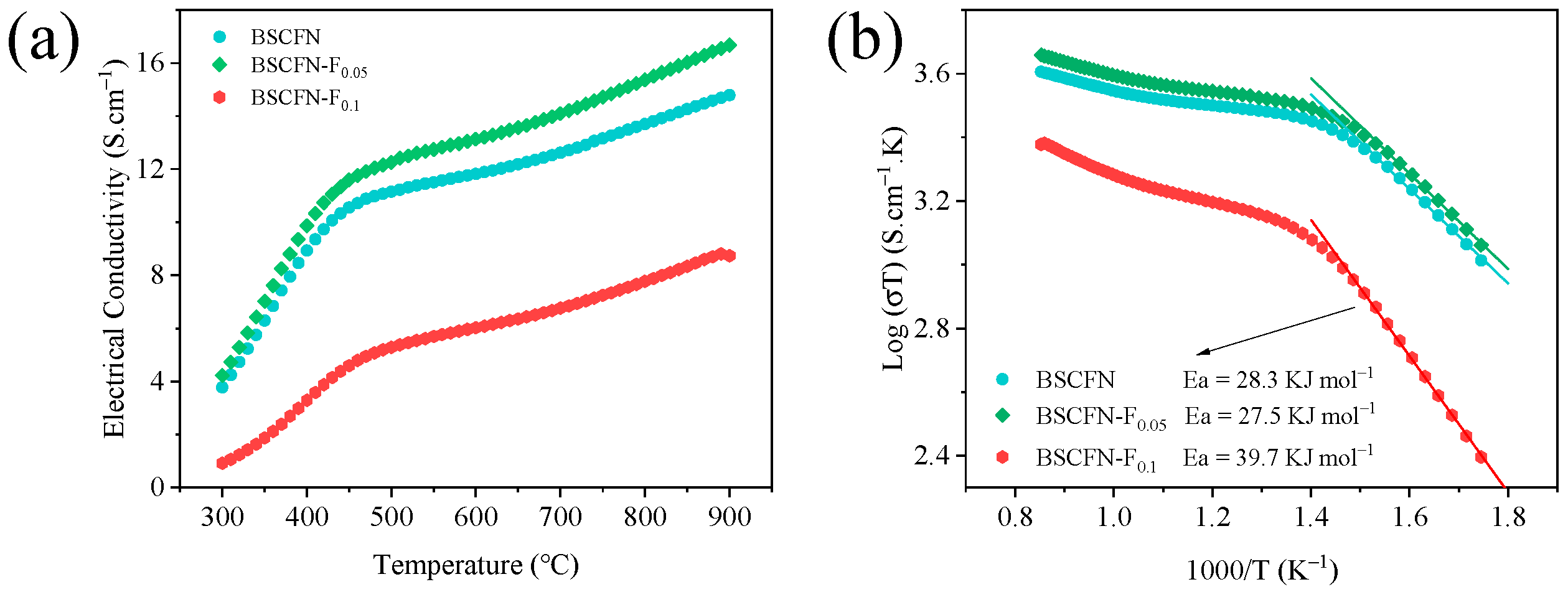
2.2. Properties of BSCFN and BSCFN-Fx
2.3. Cell Performance and Durability
3. Experimental
3.1. Materials Preparation
3.2. Cell Fabrication and Test
3.3. Characterisations
4. Conclusions
Author Contributions
Funding
Data Availability Statement
Acknowledgments
Conflicts of Interest
References
- Jiang, S.; Liu, Y.; Qiu, H.; Su, C.; Shao, Z. High Selectivity Electrocatalysts for Oxygen Evolution Reaction and Anti-Chlorine Corrosion Strategies in Seawater Splitting. Catalysts 2022, 12, 261. [Google Scholar] [CrossRef]
- Li, Y.; Tao, R.; Yang, Z.; Fan, Y.; Bian, T.; Fan, X.; Su, C.; Shao, Z. Cuprous Oxide Single-Crystal Film Assisted Highly Efficient Solar Hydrogen Production on Large Ships for Long-Term Energy Storage and Zero-Emission Power Generation. J. Power Sources 2022, 527, 231133. [Google Scholar] [CrossRef]
- Zeng, Q.; Zhang, X.; Wang, W.; Zhang, D.; Jiang, Y.; Zhou, X.; Lin, B. A Zn-Doped Ba0.5Sr0.5Co0.8Fe0.2O3-δ Perovskite Cathode with Enhanced ORR Catalytic Activity for SOFCs. Catalysts 2020, 10, 235. [Google Scholar] [CrossRef]
- Aksenova, T.V.; Mysik, D.K.; Cherepanov, V.A. Crystal Structure and Properties of Gd1-xSrxCo1-yFeyO3-δ Oxides as Promising Materials for Catalytic and SOFC Application. Catalysts 2022, 12, 1344. [Google Scholar] [CrossRef]
- Su, C.; Liu, Y.; Luo, Z.; Veder, J.P.; Zhong, Y.; Jiang, S.; Shao, Z. Defects-Rich Porous Carbon Microspheres as Green Electrocatalysts for Efficient and Stable Oxygen-Reduction Reaction over A Wide Range of PH Values. Chem. Eng. J. 2021, 406, 126883. [Google Scholar] [CrossRef]
- Zhang, Y.; Chen, B.; Guan, D.; Xu, M.; Ran, R.; Ni, M.; Zhou, W.; O’Hayre, R.; Shao, Z. Thermal-Expansion Offset for High-Performance Fuel Cell Cathodes. Nature 2021, 591, 246. [Google Scholar] [CrossRef] [PubMed]
- Peng, L.; Li, Q.; Sun, L.; Zhao, H. An Effective Strategy to Enhance the Electrocatalytic Activity of Ruddlesden-Popper Oxides Sr3Fe2O7-δ Electrodes for Solid Oxide Fuel Cells. Catalysts 2021, 11, 1400. [Google Scholar] [CrossRef]
- Yang, G.; Su, C.; Shi, H.; Zhu, Y.; Song, Y.; Zhou, W.; Shao, Z. Toward Reducing the Operation Temperature of Solid Oxide Fuel Cells: Our Past 15 Years of Efforts in Cathode Development. Energy Fuels 2020, 34, 15169. [Google Scholar] [CrossRef]
- Zhang, M.; Du, Z.; Zhang, Y.; Zhao, H. Progress of Perovskites as Electrodes For Dymmetrical Solid Oxide Fuel Cells. ACS Appl. Energy Mater. 2022, 5, 13081. [Google Scholar] [CrossRef]
- Choi, S.; Kucharczyk, C.; Liang, Y.; Zhang, X.; Takeuchi, I.; Ji, H.; Haile, S.M. Exceptional Power Density and Stability at Intermediate Temperatures in Protonic Ceramic Fuel Cells. Nat. Energy 2018, 3, 202. [Google Scholar] [CrossRef]
- Duan, C.; Kee, R.J.; Zhu, H.; Karakaya, C.; Chen, Y.; Ricote, S.; Jarry, A.; Crumlin, E.J.; Hook, D.; Braun, R.; et al. Highly Durable, Coking and Sulfur Tolerant Fuel-Flexible Protonic Ceramic Fuel Cells. Nature 2018, 557, 217. [Google Scholar] [CrossRef] [PubMed]
- Li, Z.; Wang, C.; Bello, I.T.; Guo, M.; Yu, N.; Zhu, M.; Ni, M. Direct Ammonia Protonic Ceramic Fuel Cell: A Modelling Study Based on Elementary Reaction Kinetics. J. Power Sources 2023, 556, 232505. [Google Scholar] [CrossRef]
- Venkataraman, V.; Perez-Fortes, M.; Wang, L.; Hajimolana, Y.S.; BoiguesMunoz, C.; Agostini, A.; McPhail, S.J.; Marechalc, F.; Herle, J.V.; Aravind, P.V. Reversible Solid Oxide Systems for Energy and Chemical Applications-Review & Perspectives. J. Energy Storage 2019, 24, 100782. [Google Scholar]
- Hua, B.; Yan, N.; Li, M.; Sun, Y.; Zhang, Y.; Li, J.; Etsell, T.; Sarkar, P.; Luo, J. Anode-Engineered Protonic Ceramic Fuel Cell with Excellent Performance and Fuel Compatibility. Adv. Mater. 2016, 28, 8922. [Google Scholar] [CrossRef] [PubMed]
- Wang, M.; Su, C.; Zhu, Z.; Wang, H.; Ge, L. Composite Cathodes for Protonic Ceramic Fuel Cells: Rationales and Materials. Compos. B Eng. 2022, 238, 109881. [Google Scholar] [CrossRef]
- Guo, S.; Wu, H.; Puleo, F.; Liotta, L.F. B-Site Metal (Pd, Pt, Ag, Cu, Zn, Ni) Promoted La1−xSrxCo1−yFeyO3–δ Perovskite Oxides as Cathodes for IT-SOFCs. Catalysts 2015, 5, 366. [Google Scholar] [CrossRef]
- Cao, J.; Ji, Y.; Shao, Z. Perovskites for Protonic Ceramic Fuel Cells: A Review. Energy Environ. Sci. 2022, 15, 2200. [Google Scholar] [CrossRef]
- Wang, J.; Lu, Y.; Mushtaq, N.; Yousaf, M.; Rauf, S.; Lund, P.D.; Asghar, M.I. Novel LaFe2O4 Spinel Structure with A Large Oxygen Reduction Response Towards Protonic Ceramic Fuel Cell Cathode. J. Rare Earths 2023, 41, 413–421. [Google Scholar] [CrossRef]
- Lv, X.; Chen, H.; Zhou, W.; Li, S.; Shao, Z. A CO2-Tolerant SrCo0.8Fe0.15Zr0.05O3-δ Cathode for Proton-Conducting Solid Oxide Fuel Cells. J. Mater. Chem. A 2020, 8, 11292. [Google Scholar] [CrossRef]
- Teketel, B.S.; Beshiwork, B.A.; Tian, D.; Zhu, S.; Desta, H.G.; Kashif, K.; Chen, Y.; Lin, B. Promoted Performance of Layered Perovskite PrBaFe2O5+δ Cathode for Protonic Ceramic Fuel Cells by Zn Doping. Catalysts 2022, 12, 488. [Google Scholar] [CrossRef]
- Gao, Y.; Huang, X.; Yuan, M.; Gao, J.; Wang, Z.; Abdalla, A.M.; Azad, A.K.; Xu, L.; Lv, Z.; Wei, B. A SrCo0.9Ta0.1O3-δ Derived Medium-Entropy Cathode with Superior CO2 Poisoning Tolerance for Solid Oxide Fuel Cells. J. Power Sources 2022, 540, 231661. [Google Scholar] [CrossRef]
- Li, M.; Dong, J.; Chen, Z.; Huang, K.; Xiong, K.; Li, R.; Rao, M.; Chen, C.; Ling, Y.; Lin, B. Excessive Na-Doped La0.75Sr0.25Cr0.5Fe0.4Cu0.1O3-δ Perovskite as An Additional Internal Reforming Catalyst for Direct Carbon Dioxide-Ethanol Solid Oxide Fuel Cells. Catalysts 2022, 12, 1600. [Google Scholar] [CrossRef]
- Tarutina, L.R.; Kasyanova, A.V.; Starostin, G.N.; Vdovin, G.K.; Medvedev, D.A. Electrochemical Activity of Original and Infiltrated Fe-Doped Ba(Ce,Zr,Y)O3-Based Electrodes to Be Used for Protonic Ceramic Fuel Cells. Catalysts 2022, 12, 1421. [Google Scholar] [CrossRef]
- Huang, J.; Liu, Q.; Jiang, S.; Zhao, L.; Ai, N.; Wang, X.; Shao, Y.; Guan, C.; Fang, H.; Luo, Y.; et al. Promotional Role of BaCO3 on the Chromium–Tolerance of La0.6Sr0.4Co0.2Fe0.8O3-δ Cathodes of Solid Oxide Fuel Cells. Appl. Catal. B Environ. 2023, 321, 122080. [Google Scholar] [CrossRef]
- Wang, N.; Tang, C.; Du, L.; Zhu, R.; Xing, L.; Song, Z.; Yuan, B.; Zhao, L.; Aoki, Y.; Ye, S. Advanced Cathode Materials for Protonic Ceramic Fuel Cells: Recent Progress and Future Perspectives. Adv. Energy Mater. 2022, 12, 2201882. [Google Scholar] [CrossRef]
- Wang, J.; Li, Z.; Zang, H.; Sun, Y.; Zhao, Y.; Wang, Z.; Zhu, Z.; Wei, Z.; Zheng, Q. BaZr0.1Fe0.9-xNixO3-δ Cubic Perovskite Oxides for Protonic Ceramic Fuel Cell Cathodes. Int. J. Hydrogen Energy 2022, 47, 9395. [Google Scholar] [CrossRef]
- Pan, J.; Ye, Y.; Zhou, M.; Sun, X.; Ling, Y.; Yashiro, K.; Chen, Y. Improving the Activity and Stability of Ni-Based Electrodes for Solid Oxide Cells through Surface Engineering: Recent Progress and Future Perspectives. Mater. Rep. Energy 2021, 1, 100025. [Google Scholar] [CrossRef]
- Ma, Z.; Ye, Q.; Zhang, B.; Yang, W.; Dong, F.; Ni, M.; Lin, Z. A Highly Efficient and Robust Bifunctional Perovskite-Type Air Electrode with Triple-Conducting Behavior for Low-Temperature Solid Oxide Fuel Cells. Adv. Funct. Mater. 2022, 32, 2209054. [Google Scholar] [CrossRef]
- Ma, J.; Pan, Y.; Wang, Y.; Chen, Y. A Sr and Ni Doped Ruddlesden-Popper Perovskite Oxide La1.6Sr0.4Cu0.6Ni0.4O4+δ as a Promising Cathode for Protonic Ceramic Fuel Cells. J. Power Sources 2021, 509, 230369. [Google Scholar] [CrossRef]
- Zhang, X.; Song, R.; Huan, D.; Zhu, K.; Li, X.; Han, H.; Xia, C.; Peng, R.; Lu, Y. Surface Self-Assembly Protonation Triggering Triple-Conductive Heterostructure with Highly Enhanced Oxygen Reduction for Protonic Ceramic Fuel Cells. Small 2022, 18, 2205190. [Google Scholar] [CrossRef]
- He, F.; Zhou, Y.; Hu, T.; Xu, Y.; Hou, M.; Zhu, F.; Liu, D.; Zhang, H.; Xu, K.; Liu, M.; et al. An Efficient High-Entropy Perovskite-Type Air Electrode for Reversible Oxygen Reduction and Water Splitting in Protonic Ceramic Cells. Adv. Mater. 2023, 35, 2209469. [Google Scholar] [CrossRef] [PubMed]
- Hossain, S.; Abdalla, A.M.; Jamain, S.N.B.; Zaini, J.H.; Azad, A.K. A Review on Proton Conducting Electrolytes for Clean Energy and Intermediate Temperature-Solid Oxide Fuel Cells. Renew. Sustain. Energy Rev. 2017, 79, 750. [Google Scholar] [CrossRef]
- Su, C.; Wang, W.; Shao, Z. Cation-Deficient Perovskites for Clean Energy Conversion. Acc. Chem. Res. 2021, 2, 477. [Google Scholar] [CrossRef]
- Liu, Y.; Wang, W.; Xu, X.; Veder, J.P.M.; Shao, Z. Recent Advances in Anion-Doped Metal Oxides for Catalytic Applications. J. Mater. Chem. A 2019, 7, 7280. [Google Scholar] [CrossRef]
- Zhou, H.; Dai, L.; Jia, L.; Zhu, J.; Li, Y.; Wang, L. Effect of Fluorine, Chlorine and Bromine Doping on the Properties of Gadolinium Doped Barium Cerate Electrolytes. Int. J. Hydrog. Energy 2015, 40, 8980. [Google Scholar] [CrossRef]
- Wang, W.; Yang, Y.; Huan, D.; Wang, L.; Shi, N.; Xia, C.; Peng, R.; Lu, Y. An Excellent OER Electrocatalyst of Cubic SrCoO3-δ Prepared by a Simple F-Doping Strategy. J. Mater. Chem. 2019, 7, 12538. [Google Scholar] [CrossRef]
- Zhu, Y.; Lin, Q.; Wang, Z.; Qi, D.; Yin, Y.; Liu, Y.; Zhang, X.; Shao, Z.; Wang, H. Chlorine-Anion Doping Induced, Multi-Factor Optimization in Perovskties for Boosting Intrinsic Oxygen Evolution. J. Energy Chem. 2021, 52, 115. [Google Scholar] [CrossRef]
- Liu, Y.; Shao, Z.; Mori, T.; Jiang, S. Development of Nickel Based Cermet Anode Materials in Solid Oxide Fuel Cells-Now and Future. Mater. Rep. Energy 2021, 1, 100003. [Google Scholar] [CrossRef]
- Wang, Y.; Wang, H.; Liu, T.; Chen, F.; Xia, C. Improving the Chemical Stability of BaCe0.8Sm0.2O3−δ Electrolyte by Cl Doping for Proton-Conducting Solid Oxide Fuel Cell. Electrochem. Commun. 2013, 28, 87. [Google Scholar] [CrossRef]
- Zhang, Z.; Zhu, Y.; Zhong, Y.; Zhou, W.; Shao, Z. Anion Doping: A New Strategy for Developing High-Performance Perovskite-Type Cathode Materials of Solid Oxide Fuel Cells. Adv. Energy Mater. 2017, 7, 1700242. [Google Scholar] [CrossRef]
- Li, Y.; Li, Y.; Wan, Y.; Xie, Y.; Zhu, J.; Pan, H.; Xia, C. Perovskite Oxyfluoride Electrode Enabling Direct Electrolyzing Carbon Dioxide with Excellent Electrochemical Performances. Adv. Energy Mater. 2019, 9, 1803156. [Google Scholar] [CrossRef]
- Su, C.; Wang, W.; Chen, Y.; Yang, G.; Xu, X.; Tadé, M.O.; Shao, Z. SrCo0.9Ti0.1O3−δ As A New Electrocatalyst for the Oxygen Evolution Reaction in Alkaline Electrolyte with Stable Performance. ACS. Appl. Mater. Interfaces 2015, 7, 17663. [Google Scholar] [CrossRef] [PubMed]
- Xu, J.; Wu, J.; Luo, L.; Chen, X.; Qin, H.; Dravid, V.; Mi, S.; Jia, C. Co3O4 Nanocubes Homogeneously Assembled on Few-Layer Graphene for High Energy Density Lithium-Ion Batteries. J. Power Sources 2015, 274, 816. [Google Scholar] [CrossRef]
- Lu, Y.; Chen, L.; Lu, C.; Ni, Y.; Xu, Z. Effects of Oxygen Defects on Structure and Properties of Sm0.5Sr0.5CoO3-δ Annealed in Different Atmospheres. J. Rare Earths 2013, 31, 1183. [Google Scholar] [CrossRef]
- Knížek, K.; Hejtmánek, J.; Maryško, M.; Novák, P.; Šantavá, E.; Jirák, Z.; Naito, T.; Fujishiro, H. Spin-State Crossover and Low-Temperature Magnetic State in Yttrium-Doped Pr0.7Ca0.3CoO3. Phys. Rev. B 2013, 88, 224412. [Google Scholar] [CrossRef]
- Zan, J.; Wang, S.; Zheng, D.; Li, F.; Chen, W.; Pei, Q.; Jiang, L. Characterization and Functional Application of PrBa0.5Sr0.5Co1.5Fe0.5O5+δ Cathode Material for IT-SOFC. Mater. Res. Bull. 2021, 137, 111173. [Google Scholar] [CrossRef]
- Xie, Y.; Nai, S.; Huan, D.; Tan, W.Z.; Zhu, J.F.; Zheng, X.S.; Pan, H.B.; Peng, R.; Xia, C. New Stable and Efficient Cathode For F-Containing Proton Conducting Solid Oxide Fuel Cells. ChemSusChem 2018, 11, 3423. [Google Scholar] [CrossRef]
- Chen, D.; Ran, R.; Zhang, K.; Wang, J.; Shao, Z. Intermediate-Temperature Electrochemical Performance of A Polycrystalline PrBaCo2O5+δ Cathode on Samarium-Doped Ceria Electrolyte. J. Power Sources 2009, 188, 96. [Google Scholar] [CrossRef]
- Wan, T.; Saccoccio, M.; Chen, C.; Ciucci, F. Influence of the Discretization Methods on the Distribution of Relaxation Times Deconvolution: Implementing Radial Basis Functions with DRTtools. Electrochim. Acta 2015, 184, 483. [Google Scholar] [CrossRef]
- Ren, R.; Wang, Z.; Xu, C.; Sun, W.; Qiao, J.; Rooney, D.; Sun, K. Tuning the Defects of the Triple Conducting Oxide BaCo0.4Fe0.4Zr0.1Y0.1O3-δ Perovskite toward Enhanced Cathode Activity of Protonic Ceramic Fuel Cells. J. Mater. Chem. A 2019, 7, 18365. [Google Scholar] [CrossRef]
- Shi, H.; Su, C.; Xu, X.; Pan, Y.; Yang, G.; Ran, R.; Shao, Z. Building Ruddlesden-Popper and Single Perovskite Nanocomposites: A New Strategy to Develop High-Performance Cathode for Protonic Ceramic Fuel Cells. Small 2021, 17, 2101872. [Google Scholar] [CrossRef] [PubMed]
- Zhang, L.; Yang, S.; Zhang, S. A Novel Perovskite Oxychloride as A High Performance Cathode for Protonic Ceramic Fuel Cells. J. Power Sources 2019, 440, 227125. [Google Scholar] [CrossRef]
- Zhao, Z.; Cui, J.; Zou, M. Novel Twin-Perovskite Nanocomposite of Ba-Ce-Fe-Co-O as A Promising Triple Conducting Cathode Material for Protonic Ceramic Fuel Cells. J. Power Sources 2020, 450, 227609. [Google Scholar] [CrossRef]
- Xu, Y.; Huang, Y.; Guo, Y. Engineering Anion Defect in Perovskite Oxyfluoride Cathodes Enables Proton Involved Oxygen Reduction Reaction for Protonic Ceramic Fuel Cells. Sep. Purif. Technol. 2022, 290, 120844. [Google Scholar] [CrossRef]
- Hu, D.; Kim, J.; Niu, H.; Daniels, L.; Manning, T.; Chen, R.; Rosseinsky, M. High-Performance Protonic Ceramic Fuel Cell Cathode Using Protophilic Mixed Ion and Electron Conducting Material. J. Mater. Chem. A 2022, 10, 2559. [Google Scholar] [CrossRef]
- Jiang, S.; Huang, Q.; Wang, Y.; Jiang, J.; Chen, Y.; Xu, J.; Qiu, H.; Su, C.; Chen, D. Highly Active and Durable Triple Conducting Composite Air Electrode for Low-Temperature Protonic Ceramic Fuel Cells. Nano Res. 2023, 1. [Google Scholar] [CrossRef]
- Qiu, H.; Jiang, S.; Niu, Y.; Zhang, Q.; Pang, Y.; Su, C. Thickness Dependent High-Performance Solid Oxide Fuel Cells with Ba0.5Sr0.5Co0.8Fe0.2O3−δ Cathode. Asia-Pac. J. Chem. Eng. 2022, 17, e2769. [Google Scholar] [CrossRef]
- He, F.; Teng, Z.; Yang, G.; Zhou, C.; Guan, D.; Chen, S.; Ran, R.; Wang, W.; Zhou, W.; Shao, Z. Manipulating Cation Nonstoichiometry Towards Developing Better Electrolyte for Self-Humidified Dual-Ion Solid Oxide Fuel Cells. J. Power Sources 2020, 460, 228105. [Google Scholar] [CrossRef]










| Samples | Space Group | a = b = c (Å) | χ2 | Rwp | Rp |
|---|---|---|---|---|---|
| BSCFN | Pm-3m | 4.007(1) | 2.653 | 7.76 | 5.33 |
| BSCFN-F0.05 | Pm-3m | 4.005(8) | 2.164 | 6.90 | 4.87 |
| BSCFN-F0.1 | Pm-3m | 4.005(9) | 1.949 | 6.47 | 4.76 |
| Sample | Volume Density (ρ) (g/cm3) |
|---|---|
| BSCFN | 8.7328 |
| BSCFN-F0.05 | 8.7471 |
| BSCFN-F0.1 | 8.7522 |
| Samples | Co2+ | Co3+ | Co4+ | |||
|---|---|---|---|---|---|---|
| B.E/eV | Area/% | B.E/eV | Area/% | B.E/eV | Area/% | |
| BSCFN | 779.43/804.06 | 47.90 | 778.15/793.38 | 23.50 | 780.10/803.50 | 28.60 |
| BSCFN-F0.05 | 779.43/795.06 | 44.40 | 778.22/794.12 | 17.30 | 779.73/804.06 | 38.30 |
| BSCFN-F0.1 | 779.51/794.89 | 53.20 | 778.15/793.55 | 13.20 | 780.15/803.96 | 33.60 |
| Samples | Oα | Oβ | Oγ | Oε | ||||
|---|---|---|---|---|---|---|---|---|
| B.E/eV | Area/% | B.E/eV | Area/% | B.E/eV | Area/% | B.E/eV | Area/% | |
| BSCFN | 529.3 | 21.50 | 530.7 | 18.10 | 531.38 | 20.40 | 532.39 | 40.00 |
| BSCFN-F0.05 | 529 | 23.10 | 530.69 | 23.90 | 531.21 | 21.60 | 531.8 | 31.40 |
| BSCFN-F0.1 | 528.86 | 15.70 | 530.52 | 30.50 | 531.12 | 29.60 | 531.81 | 34.20 |
| Rohm Ω cm2 | RE1 Ω cm2 | CPE1-T | CPE1-P | RE2 Ω cm2 | CPE2-T | CPE2-P | ASR Ω cm2 | |
|---|---|---|---|---|---|---|---|---|
| BSCFN | 2.40 | 0.26 | 0.10 | 0.62 | 0.45 | 0.57 | 0.60 | 0.71 |
| BSCFN-F0.05 | 3.04 | 0.28 | 0.12 | 0.61 | 0.37 | 0.42 | 0.43 | 0.64 |
| BSCFN-F0.1 | 2.84 | 0.17 | 0.13 | 0.71 | 0.21 | 0.74 | 0.58 | 0.38 |
| C1 (mF cm−2) | f1 (Hz) | |
|---|---|---|
| BSCFN | 11.00 | 57.37 |
| BSCFN-F0.05 | 13.68 | 41.58 |
| BSCFN-F0.1 | 27.24 | 34.39 |
| Cathode | Electrolyte | PPD (mW cm−2) | References |
|---|---|---|---|
| BaFe0.6Co0.3Ce0.1O2.95-δCl0.05 | BZCYYb | 593 | [52] |
| BaCe0.4Fe0.4Co0.2O3-δ | BZCYYb | 237 | [53] |
| La1.6Sr0.4Cu0.6Ni0.4O4+δ | BZCYYb | 272 | [29] |
| PrBa0.5Sr0.5Co1.5Fe0.5O5.84-δF0.16 | BZCYYb | 510 | [54] |
| Ba0.5Sr0.5(Co0.7Fe0.3)0.6875W0.3125O3−δ | BZCYYb | 582 | [55] |
| BSCFN-F0.1 | BZCYYb | 633 | This work |
Disclaimer/Publisher’s Note: The statements, opinions and data contained in all publications are solely those of the individual author(s) and contributor(s) and not of MDPI and/or the editor(s). MDPI and/or the editor(s) disclaim responsibility for any injury to people or property resulting from any ideas, methods, instructions or products referred to in the content. |
© 2023 by the authors. Licensee MDPI, Basel, Switzerland. This article is an open access article distributed under the terms and conditions of the Creative Commons Attribution (CC BY) license (https://creativecommons.org/licenses/by/4.0/).
Share and Cite
Liu, Y.; Jiang, S.; Qiu, H.; Wang, W.; Miller, E.; Su, C. Fluorine Anion-Doped Ba0.6Sr0.4Co0.7Fe0.2Nb0.1O3-δ as a Promising Cathode for Protonic Ceramic Fuel Cells. Catalysts 2023, 13, 793. https://doi.org/10.3390/catal13050793
Liu Y, Jiang S, Qiu H, Wang W, Miller E, Su C. Fluorine Anion-Doped Ba0.6Sr0.4Co0.7Fe0.2Nb0.1O3-δ as a Promising Cathode for Protonic Ceramic Fuel Cells. Catalysts. 2023; 13(5):793. https://doi.org/10.3390/catal13050793
Chicago/Turabian StyleLiu, Yang, Shanshan Jiang, Hao Qiu, Wei Wang, Elaine Miller, and Chao Su. 2023. "Fluorine Anion-Doped Ba0.6Sr0.4Co0.7Fe0.2Nb0.1O3-δ as a Promising Cathode for Protonic Ceramic Fuel Cells" Catalysts 13, no. 5: 793. https://doi.org/10.3390/catal13050793
APA StyleLiu, Y., Jiang, S., Qiu, H., Wang, W., Miller, E., & Su, C. (2023). Fluorine Anion-Doped Ba0.6Sr0.4Co0.7Fe0.2Nb0.1O3-δ as a Promising Cathode for Protonic Ceramic Fuel Cells. Catalysts, 13(5), 793. https://doi.org/10.3390/catal13050793

