Transition Metal (Fe2O3, Co3O4 and NiO)-Promoted CuO-Based α-MnO2 Nanowire Catalysts for Low-Temperature CO Oxidation
Abstract
1. Introduction
2. Results and Discussion
2.1. XRD Analysis
2.2. SEM Observation
2.3. BET Analysis
2.4. XPS Analysis
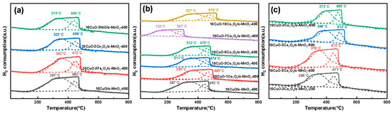
2.5. H2-TPR
2.6. Catalytic Performance of the CO Oxidation
2.6.1. The Effect of the Transition Metal Oxides (MOx) on the Activities
2.6.2. The Effect of the Co3O4 Loading Amount on the Activities
2.6.3. The Effect of the Calcination Temperature on the Activities
2.6.4. Stability Tests
3. Discussion
4. Materials and Method
4.1. Synthesis of α-MnO2 Nanowire Supports
4.2. The Preparation of the Transition Metal Oxide (Fe2O3, Co3O4, NiO)-Doped CuO-Based Catalysts Supported on the α-MnO2 Nanowire
4.3. Catalyst Characterizations
4.4. Catalyst Evaluation
5. Conclusions
Author Contributions
Funding
Data Availability Statement
Conflicts of Interest
References
- Schnitzhofer, R.; Beauchamp, J.; Dunkl, J.; Wisthaler, A.; Weber, A.; Hansel, A. Long-term measurements of CO, NO, NO2, benzene, toluene and PM10 at a motorway location in an Austrian valley. Atmos. Environ. 2008, 42, 1012–1024. [Google Scholar] [CrossRef]
- Kunkalekar, R.K.; Salker, A.V. Low temperature carbon monoxide oxidation over nanosized silver doped manganese dioxide catalysts. Catal. Commun. 2010, 12, 193–196. [Google Scholar] [CrossRef]
- Zheng, B.; de Beurs, K.M.; Owsley, B.C.; Henebry, G.M. Scaling relationship between CO pollution and population size over major US metropolitan statistical areas. Landsc. Urban Plan. 2019, 187, 191–198. [Google Scholar] [CrossRef]
- Wu, X.; Lang, J.; Sun, Z.; Jin, F.; Hu, Y.H. Photocatalytic conversion of carbon monoxide: From pollutant removal to fuel production. Appl. Catal. B Environ. 2021, 295, 120312. [Google Scholar] [CrossRef]
- Yoo, S.; Lee, E.; Jang, G.H.; Kim, D.H. Effect of Pd precursors on the catalytic properties of Pd/CeO2 catalysts for CH4 and CO oxidation. Mol. Catal. 2022, 533, 112791. [Google Scholar] [CrossRef]
- Schubert, M.M.; Hackenberg, S.; van Veen, A.C.; Muhler, M.; Plzak, V.; Behm, R.J. CO Oxidation over Supported Gold Catalysts—“Inert” and “Active” Support Materials and Their Role for the Oxygen Supply during Reaction. J. Catal. 2001, 197, 113–122. [Google Scholar] [CrossRef]
- Min, B.K.; Friend, C.M. Heterogeneous Gold-Based Catalysis for Green Chemistry: Low-Temperature CO Oxidation and Propene Oxidation. ChemInform 2007, 107, 2709–2724. [Google Scholar] [CrossRef]
- Qiao, B.; Wang, A.; Yang, X.; Allard, L.F.; Jiang, Z.; Cui, Y.; Liu, J.; Li, G.; Zhang, T. Single-atom catalysis of CO oxidation using Pt1/FeOx. Nat. Chem. 2011, 3, 634–641. [Google Scholar] [CrossRef] [PubMed]
- Chen, G.; Zhao, Y.; Fu, G.; Duchesne, P.; Gu, L.; Zheng, Y.; Weng, X.; Chen, M.; Pao, C. Interfacial effects in iron-nickel hydroxide-platinum nanoparticles enhance catalytic oxidation. Science 2014, 344, 495–499. [Google Scholar] [CrossRef]
- Liu, K.; Wang, A.; Zhang, T. Recent Advances in Preferential Oxidation of CO Reaction over Platinum Group Metal Catalysts. ACS Catal. 2012, 2, 1165–1178. [Google Scholar] [CrossRef]
- Zhang, L.; Liu, H.; Huang, X.; Sun, X.; Jiang, Z.; Schlögl, R.; Su, D. Stabilization of Palladium Nanoparticles on Nanodiamond-Graphene Core-Shell Supports for CO Oxidation. Angew. Chem. 2015, 127, 16049–16052. [Google Scholar] [CrossRef]
- Gonzalez-A, E.; Rangel, R.; Solís-Garcia, A.; Venezia, A.M.; Zepeda, T.A. FTIR investigation under reaction conditions during CO oxidation over Ru(x)-CeO2 catalysts. Mol. Catal. 2020, 493, 111086. [Google Scholar] [CrossRef]
- Yadav, P.K.; Kumari, S.; Naveena, U.; Deshpande, P.A.; Sharma, S. Insights into the substitutional chemistry of La1-xSrxCo1-yMyO3 (M = Pd, Ru, Rh, and Pt) probed by in situ DRIFTS and DFT analysis of CO oxidation. Appl. Catal. A Gen. 2022, 643, 118768. [Google Scholar] [CrossRef]
- Bunluesin, T.; Cordatos, H.; Gorte, R.J. Study of CO Oxidation Kinetics on Rh/Ceria. J. Catal. 1995, 157, 222–226. [Google Scholar] [CrossRef]
- Dey, S.; Dhal, G.C. Applications of silver nanocatalysts for low-temperature oxidation of carbon monoxide. Inorg. Chem. Commun. 2019, 110, 107614. [Google Scholar] [CrossRef]
- Du, Y.; Meng, Q.; Wang, J.; Yan, J.; Fan, H.; Liu, Y.; Dai, H. Three-dimensional mesoporous manganese oxides and cobalt oxides: High-efficiency catalysts for the removal of toluene and carbon monoxide. Micropor. Mesopor. Mat. 2012, 162, 199–206. [Google Scholar] [CrossRef]
- Xiao, M.; Zhang, X.; Yang, Y.; Cui, X.; Chen, T.; Wang, Y. M (M = Mn, Co, Cu)-CeO2 catalysts to enhance their CO catalytic oxidation at a low temperature: Synergistic effects of the interaction between Ce3+-Mx+-Ce4+and the oxygen vacancy defects. Fuel 2022, 323, 124379. [Google Scholar] [CrossRef]
- Bi, F.; Zhang, X.; Xiang, S.; Wang, Y. Effect of Pd loading on ZrO2 support resulting from pyrolysis of UiO-66: Application to CO oxidation. J. Colloid Interf. Sci. 2020, 573, 11–20. [Google Scholar] [CrossRef] [PubMed]
- Dey, S.; Dhal, G.C. Catalytic Conversion of Carbon Monoxide into Carbon Dioxide over Spinel Catalysts: An Overview. Mater. Sci. Energy Technol. 2019, 2, 575–588. [Google Scholar] [CrossRef]
- Kaplin, I.Y.; Lokteva, E.S.; Golubina, E.V.; Shishova, V.V.; Maslakov, K.I.; Fionov, A.V.; Isaikina, O.Y.; Lunin, V.V. Efficiency of manganese modified CTAB-templated ceria-zirconia catalysts in total CO oxidation. Appl. Surf. Sci. 2019, 485, 432–440. [Google Scholar] [CrossRef]
- Niu, X.; Lei, Z. Copper doped manganese oxides to produce enhanced catalytic performance for CO oxidation. J. Environ. Chem. Engi. 2019, 7, 103055. [Google Scholar] [CrossRef]
- Liu, H.; Li, X.; Dai, Q.; Zhao, H.; Chai, G.; Guo, Y.; Guo, Y.; Wang, L.; Zhan, W. Catalytic oxidation of chlorinated volatile organic compounds over Mn-Ti composite oxides catalysts: Elucidating the influence of surface acidity. Appl. Catal. B Environ. 2021, 282, 119577. [Google Scholar] [CrossRef]
- Ye, Z.; Giraudon, J.-M.; Nuns, N.; Simon, P.; De Geyter, N.; Morent, R.; Lamonier, J.-F. Influence of the preparation method on the activity of copper-manganese oxides for toluene total oxidation. Appl. Catal. B Environ. 2018, 223, 154–166. [Google Scholar] [CrossRef]
- Lin, Y.; Tian, H.; Qian, J.; Yu, M.; Hu, T.; Lassi, U.; Chen, Z.; Wu, Z. Biocarbon-directed vertical δ-MnO2 nanoflakes for boosting lithium-ion diffusion kinetics. Mater. Today Chem. 2022, 26, 101023. [Google Scholar] [CrossRef]
- Yang, W.; Su, Z.; Xu, Z.; Yang, W.; Peng, Y.; Li, J. Comparative study of α-, β-, γ- and δ-MnO2 on toluene oxidation: Oxygen vacancies and reaction intermediates. Appl. Catal. B Environ. 2019, 260, 118150. [Google Scholar] [CrossRef]
- Hayashi, E.; Yamaguchi, Y.; Kamata, K.; Tsunoda, N.; Kumagai, Y.; Oba, F.; Hara, M. Effect of MnO2 Crystal Structure on Aerobic Oxidation of 5-Hydroxymethylfurfural to 2,5-Furandicarboxylic Acid. J. Am. Chem. Soc. 2019, 141, 890–900. [Google Scholar] [CrossRef] [PubMed]
- Robinson, D.M.; Go, Y.B.; Mui, M.; Gardner, G.; Zhang, Z.; Mastrogiovanni, D.; Garfunkel, E.; Li, J.; Greenblatt, M.; Dismukes, G.C. Photochemical Water Oxidation by Crystalline Polymorphs of Manganese Oxides: Structural Requirements for Catalysis. J. Am. Chem. Soc. 2013, 135, 3494–3501. [Google Scholar] [CrossRef] [PubMed]
- Liang, S.; Teng, F.; Bulgan, G.; Zong, R.; Zhu, Y. Effect of Phase Structure of MnO2 Nanorod Catalyst on the Activity for CO Oxidation. J. Phys. Chem. C 2008, 112, 5307–5315. [Google Scholar] [CrossRef]
- Tian, F.; Li, H.; Zhu, M.; Tu, W.; Lin, D.; Han, Y. Effect of MnO2 Polymorphs’ Structure on Low-Temperature Catalytic Oxidation: Crystalline Controlled Oxygen Vacancy Formation. ACS Appl. Mater. Interfaces 2022, 14, 18525–18538. [Google Scholar] [CrossRef] [PubMed]
- Yang, R.; Fan, Y.; Ye, R.; Tang, Y.; Cao, X.; Yin, Z.; Zeng, Z. MnO2-Based Materials for Environmental Applications. Adv. Mater. 2021, 33, 2004862. [Google Scholar] [CrossRef] [PubMed]
- Jokar, R.; Alavi, S.M.; Rezaei, M.; Akbari, E. Catalytic performance of copper oxide supported α-MnO2 nanowires for the CO preferential oxidation in H2-rich stream. Int. J. Hydrogen Energy 2021, 46, 32503–32513. [Google Scholar] [CrossRef]
- Qian, K.; Qian, Z.; Hua, Q.; Jiang, Z.; Huang, W. Structure–activity relationship of CuO/MnO2 catalysts in CO oxidation. Appl. Surf. Sci. 2013, 273, 357–363. [Google Scholar] [CrossRef]
- Sun, R.L.; Zhang, S.R.; An, K.; Song, P.F.; Liu, Y. Cu1.5Mn1.5O4 spinel type composite oxide modified with CuO for synergistic catalysis of CO oxidation. J. Fuel Chem. Technol. 2021, 49, 799–808. [Google Scholar] [CrossRef]
- Sophiana, I.C.; Topandi, A.; Iskandar, F.; Devianto, H.; Nishiyama, N.; Budhi, Y.W. Catalytic oxidation of benzene at low temperature over novel combination of metal oxide based catalysts: CuO, MnO2, NiO with Ce0.75Zr0.25O2 as support. Mater. Today Chem. 2020, 17, 100305. [Google Scholar] [CrossRef]
- Gao, J.; Jia, C.; Zhang, L.; Wang, H.; Yang, Y.; Hung, S.-F.; Hsu, Y.Y.; Liu, B. Tuning chemical bonding of MnO2 through transition-metal doping for enhanced CO oxidation. J. Catal. 2016, 341, 82–90. [Google Scholar] [CrossRef]
- Ivanov, K.I.; Kolentsova, E.N.; Dimitrov, D.Y.; Petrova, P.T.; Tabakova, T.T. Alumina Supported Cu-Mn-Cr Catalysts for CO and VOCs oxidation. Int. Sch. Sci. Res. Innov. 2015, 9, 605–612. [Google Scholar]
- Krämer, M.; Schmidt, T.; Stöwe, K.; Maier, W.F. Structural and catalytic aspects of sol–gel derived copper manganese oxides as low-temperature CO oxidation catalyst. Appl. Catal. A Gen. 2006, 302, 257–263. [Google Scholar] [CrossRef]
- Huang, N.; Qu, Z.; Dong, C.; Qin, Y.; Duan, X. Superior performance of α@β-MnO2 for the toluene oxidation: Active interface and oxygen vacancy. Appl. Catal. A Gen. 2018, 560, 195–205. [Google Scholar] [CrossRef]
- Wang, Y.; Wu, J.; Wang, G.; Yang, D.; Ishihara, T.; Guo, L. Oxygen vacancy engineering in Fe doped akhtenskite-type MnO2 for low-temperature toluene oxidation. Appl. Catal. B Environ. 2021, 285, 119873. [Google Scholar] [CrossRef]
- Rosso, J.J.; Hochella, M.F. Natural Iron and Manganese Oxide Samples by XPS. Surf. Sci. Spectra 1996, 4, 253–265. [Google Scholar] [CrossRef]
- Li, J.; Zhu, P.; Zuo, S.; Huang, Q.; Zhou, R. Influence of Mn doping on the performance of CuO-CeO2 catalysts for selective oxidation of CO in hydrogen-rich streams. Appl. Catal. A Gen. 2010, 381, 261–266. [Google Scholar] [CrossRef]
- Michael, A.S. Mn2O3 by XPS. Surf. Sci. Spectra 1999, 6, 39–46. [Google Scholar] [CrossRef]
- Liu, W.; Wang, S.; Cui, R.; Song, Z.; Zhang, X. Enhancement of catalytic combustion of toluene over CuMnOx hollow spheres prepared by oxidation method. Micropor. Mesopor. Mat. 2021, 326, 111370. [Google Scholar] [CrossRef]
- Wang, Y.; Liu, K.; Wu, J.; Hu, Z.; Huang, L.; Zhou, J.; Ishihara, T.; Guo, L. Unveiling the Effects of Alkali Metal Ions Intercalated in Layered MnO2 for Formaldehyde Catalytic Oxidation. ACS Catal. 2020, 10, 10021–10031. [Google Scholar] [CrossRef]
- Wang, Y.; Yang, D.; Li, S.; Zhang, L.; Zheng, G.; Guo, L. Layered copper manganese oxide for the efficient catalytic CO and VOCs oxidation. Chem. Eng. J. 2019, 357, 258–268. [Google Scholar] [CrossRef]
- Zeng, J.; Xie, H.; Zhang, H.; Huang, M.; Liu, X.; Zhou, G.; Jiang, Y. Insight into the effects of oxygen vacancy on the toluene oxidation over α-MnO2 catalyst. Chemosphere 2022, 291, 135890. [Google Scholar] [CrossRef] [PubMed]
- Xu, J.; Wu, W.; Gao, E.; Zhu, J.; Yao, S.; Li, J. Revealing the role of oxygen vacancies on α-MnO2 of different morphologies in CO oxidation using operando DRIFTS-MS. Appl. Surf. Sci. 2023, 618, 156643. [Google Scholar] [CrossRef]
- Liu, W.; Xiang, W.; Chen, X.; Song, Z.; Gao, C.; Tsubaki, C.; Zhang, X. A novel strategy to adjust the oxygen vacancy of CuO/MnO2 catalysts toward the catalytic oxidation of toluene. Fuel 2022, 312, 122975. [Google Scholar] [CrossRef]
- Yang, W.; Zhu, Y.; You, F.; Yan, L.; Ma, Y.; Lu, C.; Gao, P.; Hao, Q.; Li, W. Insights into the surface-defect dependence of molecular oxygen activation over birnessite-type MnO2. Appl. Catal. B Environ. 2018, 233, 184–193. [Google Scholar] [CrossRef]
- Mo, S.; Zhang, Q.; Li, J.; Sun, Y.; Ren, Q.; Zou, S.; Zhang, Q.; Lu, J.; Fu, M.; Mo, D.; et al. Highly efficient mesoporous MnO2 catalysts for the total toluene oxidation: Oxygen-Vacancy defect engineering and involved intermediates using in situ DRIFTS. Appl. Catal. B Environ. 2020, 264, 118464. [Google Scholar] [CrossRef]
- Wang, J.; Li, J.; Jiang, C.; Zhou, P.; Zhang, P.; Yu, J. The effect of manganese vacancy in birnessite-type MnO2 on room-temperature oxidation of formaldehyde in air. Appl. Catal. B Environ. 2017, 204, 147–155. [Google Scholar] [CrossRef]
- Papavasiliou, J.; Avgouropoulos, G.; Ioannides, T. Combined steam reforming of methanol over Cu–Mn spinel oxide catalysts. J. Catal. 2007, 251, 7–20. [Google Scholar] [CrossRef]
- Liu, T.; Yao, Y.; Wei, L.; Shi, Z.; Han, L.; Yuan, H.; Li, B.; Dong, L.; Wang, F.; Sun, C. Preparation and Evaluation of Copper–Manganese Oxide as a High-Efficiency Catalyst for CO Oxidation and NO Reduction by CO. J. Phys. Chem. C 2017, 121, 12757–12770. [Google Scholar] [CrossRef]
- Yuan, H.L.; Wang, Y.Q.; Zhou, S.M.; Liu, L.S.; Chen, X.L.; Lou, S.Y.; Yuan, R.J.; Hao, Y.M.; Li, N. Low-Temperature Preparation of Superparamagnetic CoFe2O4 Microspheres with High Saturation Magnetization. Nanoscale Res. Lett. 2010, 5, 1817–1821. [Google Scholar] [CrossRef] [PubMed]
- Wu, Y.; Guo, Q.; Liu, H.; Wei, S.; Wang, L. Effect of Fe doping on the surface properties of δ-MnO2 nanomaterials and its decomposition of formaldehyde at room temperature. J. Environ. Chem. Eng. 2022, 10, 108277. [Google Scholar] [CrossRef]
- Yadav, R.S.; Havlica, J.; Masilko, J.; Kalina, L.; Wasserbauer, J.; Hajdúchová, M.; Enev, V.; Kuřitka, I.; Kožáková, Z. Impact of Nd3+ in CoFe2O4 spinel ferrite nanoparticles on cation distribution, structural and magnetic properties. J. Magn. Magn. Mater. 2016, 399, 109–117. [Google Scholar] [CrossRef]
- Hoang, M.; Hughes, A.E.; Turney, T.W. An XPS study of Ru-promotion for Co/CeO2 Fischer-Tropsch catalyst. Appl. Surf. Sci. 1993, 72, 55–65. [Google Scholar] [CrossRef]
- Oh, Y.S.; Roh, H.S.; Jun, K.W.; Baek, Y.S. A highly active catalyst, Ni/Ce–ZrO2/θ-Al2O3, for on-site H2 generation by steam methane reforming: Pretreatment effect. Int. J. Hydrogen Energy 2003, 28, 1387–1392. [Google Scholar] [CrossRef]
- Hu, X.; Chen, J.; Li, S.; Chen, Y.; Qu, W.; Ma, Z.; Tang, X. The Promotional Effect of Copper in Catalytic Oxidation by Cu-Doped α-MnO2 Nanorods. J. Phys. Chem. C 2019, 124, 701–708. [Google Scholar] [CrossRef]
- Dong, C.; Wang, H.; Ren, Y.; Qu, Z. Effect of alkaline earth metal promoter on catalytic activity of MnO2 for the complete oxidation of toluene. J. Environ. Sci. 2021, 104, 102–112. [Google Scholar] [CrossRef] [PubMed]
- Feng, C.; Jiang, F.; Xiong, G.; Chen, C.; Wang, Z.; Pan, Y.; Fei, Z.; Lu, Y.; Li, X.; Zhang, R.; et al. Revelation of Mn4+-Osur-Mn3+ active site and combined Langmuir-Hinshelwood mechanism in propane total oxidation at low temperature over MnO2. Chem. Eng. J. 2023, 451, 138868. [Google Scholar] [CrossRef]
- Park, J.H.; Kang, D.C.; Park, S.J.; Shin, C.H. CO oxidation over MnO2 catalysts prepared by a simple redox method: Influence of the Mn (II) precursors. J. Ind. Eng. Chem. 2015, 25, 250–257. [Google Scholar] [CrossRef]
- Du, C.; Zhao, S.; Tang, X.; Yu, Q.; Gao, F.; Zhou, Y.; Liu, J.; Yi, H. Synthesis of ultra-thin 2D MnO2 nanosheets rich in oxygen vacancy defects and the catalytic oxidation of n-heptane. Appl. Surf. Sci. 2022, 606, 154846. [Google Scholar] [CrossRef]
- Cui, Y.; Song, H.; Shi, Y.; Ge, P.X.; Chen, M.D.; Xu, L.L. Enhancing the Low-Temperature CO Oxidation over CuO-Based α-MnO2 Nanowire Catalysts. Nanomaterials 2022, 12, 2083. [Google Scholar] [CrossRef] [PubMed]










| Catalyst | Specific Surface Area (m2/g) | Pore Volume (cm3/g) | Average Pore Diameter (nm) | Isotherm Type |
|---|---|---|---|---|
| 10CuO/MnO2 | 72 | 0.09 | 3.1 | IV H3 |
| 10CuO-3Fe2O3/MnO2 | 64 | 0.10 | 3.1 | IV H3 |
| 10CuO-3Co3O4/MnO2 | 84 | 0.18 | 3.1 | IV H3 |
| 10CuO-3NiO/MnO2 | 52 | 0.10 | 3.1 | IV H3 |
| Sample | Mn3+/(Mn3+ + Mn4+) | Oads/Olatt | Cu+/(Cu2+ + Cu+) |
|---|---|---|---|
| 10CuO/α-MnO2 | 0.414 | 0.324 | 0.551 |
| 10CuO-3Fe2O3/α-MnO2 | 0.406 | 0.283 | 0.644 |
| 10CuO-3Co3O4/α-MnO2 | 0.606 | 0.300 | 0.563 |
| 10CuO-3NiO/α-MnO2 | 0.541 | 0.352 | 0.688 |
| Sample | Cu 2p3/2 | O 1s | Mn 2p3/2 |
|---|---|---|---|
| 10CuO/α-MnO2 | 933.6 | 529.7 | 642.1 |
| 10CuO-3Fe2O3/α-MnO2 | 933.7 | 529.7 | 642.1 |
| 10CuO-3Co3O4/α-MnO2 | 933.7 | 529.8 | 642.3 |
| 10CuO-3NiO/α-MnO2 | 934.2 | 529.9 | 642.4 |
Disclaimer/Publisher’s Note: The statements, opinions and data contained in all publications are solely those of the individual author(s) and contributor(s) and not of MDPI and/or the editor(s). MDPI and/or the editor(s) disclaim responsibility for any injury to people or property resulting from any ideas, methods, instructions or products referred to in the content. |
© 2023 by the authors. Licensee MDPI, Basel, Switzerland. This article is an open access article distributed under the terms and conditions of the Creative Commons Attribution (CC BY) license (https://creativecommons.org/licenses/by/4.0/).
Share and Cite
Zhang, H.; Zhang, Y.; Song, H.; Cui, Y.; Xue, Y.; Wu, C.-e.; Pan, C.; Xu, J.; Qiu, J.; Xu, L.; et al. Transition Metal (Fe2O3, Co3O4 and NiO)-Promoted CuO-Based α-MnO2 Nanowire Catalysts for Low-Temperature CO Oxidation. Catalysts 2023, 13, 588. https://doi.org/10.3390/catal13030588
Zhang H, Zhang Y, Song H, Cui Y, Xue Y, Wu C-e, Pan C, Xu J, Qiu J, Xu L, et al. Transition Metal (Fe2O3, Co3O4 and NiO)-Promoted CuO-Based α-MnO2 Nanowire Catalysts for Low-Temperature CO Oxidation. Catalysts. 2023; 13(3):588. https://doi.org/10.3390/catal13030588
Chicago/Turabian StyleZhang, Haiou, Yixin Zhang, Huikang Song, Yan Cui, Yingying Xue, Cai-e Wu, Chao Pan, Jingxin Xu, Jian Qiu, Leilei Xu, and et al. 2023. "Transition Metal (Fe2O3, Co3O4 and NiO)-Promoted CuO-Based α-MnO2 Nanowire Catalysts for Low-Temperature CO Oxidation" Catalysts 13, no. 3: 588. https://doi.org/10.3390/catal13030588
APA StyleZhang, H., Zhang, Y., Song, H., Cui, Y., Xue, Y., Wu, C.-e., Pan, C., Xu, J., Qiu, J., Xu, L., & Chen, M. (2023). Transition Metal (Fe2O3, Co3O4 and NiO)-Promoted CuO-Based α-MnO2 Nanowire Catalysts for Low-Temperature CO Oxidation. Catalysts, 13(3), 588. https://doi.org/10.3390/catal13030588
