Abstract
Isoxazole-5(4H)-ones are heteropentacycle compounds found in several bioactive molecules with pharmaceutical and agrochemical properties. A well-known multicomponent reaction between β-ketoester, hydroxylamine, and aromatic aldehydes leads to 3-methyl-4-arylmethylene isoxazole-5(4H)-ones, in mild conditions. The initial purpose of this work was to investigate whether the reaction might be induced by light, as described in previous works. Remarkable results were obtained using a high-power lamp, reducing reaction times compared to methodologies that used heating or catalysis. Since there are many examples of successful continuous flow heterocycle synthesis, including photochemical reactions, the study evolved to run the reaction in flow conditions and scale up the synthesis of isoxazolones using a photochemical reactor set-up. Eight different compounds were obtained, and among them, three showed larvicidal activity on immature forms of Aedes aegypti in tests that investigated its growth inhibitory character. Mechanistic investigations indicate that the reactions occur through organic photoredox catalysis.
1. Introduction
Heterocycles are substances of great added value that are present in several areas of chemistry [1] such as natural, medicinal, agrochemical, and industrial products [2,3,4,5]. These compounds can be obtained in several ways [6,7], among which multicomponent reactions stand out [8]. Multicomponent reactions (MCRs) are a versatile way of obtaining heterocyclic compounds from a sustainable perspective [9,10], as they allow a good atom economy and usually can be carried out in continuous flow mode [11]. This process can be even greener when performed through the flow photochemistry set-up [12].
Among the heterocycles, isoxazol-5(4H)-ones (Figure 1) are remarkably attractive due to their wide diversity of biological, industrial, and medicinal applications [13,14,15], as well as in scaffold-based strategies for drug discovery [16]. However, despite the structural similarity with other isoxazoles that have larvicidal activity against the Aedes aegypti mosquito [17], derivatives of isoxazol-5(4H)-ones have not yet been tested for this purpose.
Figure 1.
Isoxazol-5(4H)-ones.
The Ae. aegypti mosquito is the main transmission vector of arboviruses such as dengue, Zika, and chikungunya, which have severe impacts on human health such as hemorrhages, microcephaly in fetuses, Guillan Barré syndrome, and even death [18]. These arboviruses diseases are one of the main public health problems in the world nowadays [19,20], and the most effective strategy to combat their broad spread is to stop the development of the Ae. aegypti mosquito in its larvicidal stage [21]. With that in mind and considering the high added value of the isoxazole-5(4H)-one core, we were encouraged to develop a smooth flow photochemical approach for the synthesis of isoxazol-5(4H)-one derivatives and to carry out the evaluation of the target compounds in larvicide-based strategies against the Ae. aegypti vector.
The most straightforward synthetic way to assess isoxazol-5(4H)-ones is through the three-component reaction described in Scheme 1, involving the coupling reaction of an aromatic aldehyde, a β-ketoester, and hydroxylamine hydrochloride in two consecutive steps [22,23,24,25,26]. This reaction can be performed using several substrates and catalysts in an ionic mechanistic proposal [27]. However, examples of its occurrence via a radical mechanism are scarce [28,29] and absent in flow photochemistry mode.
Scheme 1.
MCR general approach to isoxazol-5(4H)-ones.
Herein, we describe the first flow photochemistry methodology for the preparation of 3-methyl-4-arylmethylene isoxazol-5(4H)-ones. Under mild conditions, eight compounds were obtained with yields ranging from 30–96% and shorter reaction times compared to methodologies already described in the literature using heating or catalysis.
2. Results and Discussion
2.1. Solubility Evaluation under Microwave Heating
The first objective of our work was to evaluate the best solvent (or mixture of solvents) that would solubilize both the starting materials and the products during the whole process to avoid clogging of the flow reactor. MW heating was used since the established conditions can be easily translated to a continuous flow process [30,31], which is one of the aims of this work. As a proof of concept, equimolar amounts (1.0 mmol) of 3,4-dimethoxybenzaldehyde and ethyl acetoacetate were chosen as starting materials, reacting with hydroxylamine hydrochloride and sodium acetate (1.0 mmol each), in 2 mL of solvent and reaction times of 10 min under microwave heating at 120 °C (Table 1).
Table 1.
Solvent evaluation under microwave heating.
The highest reaction yield was obtained in water (entry 1). Nevertheless, the product was not soluble and precipitated when formed. This was overcome using aqueous ethanol (entry 2), in which the product precipitated only after ice bath cooling. The yielded dropped when pure ethanol or ethyl acetate was used (entries 2 and 3, respectively). In DMF, the reaction did not work at all. With the best solvent conditions in our hands for a totally homogeneous process (entry 2), the next step was the assembly of a flow system for the target synthesis.
2.2. Screening of Light Source in the MCR Photoinduced Batch Procedure
The search for the best light source in the photoinduced MCR was carried out in a dark chamber under different conditions (Table 2). The reaction occurs even in the absence of light or at ambient light (outside the chamber), albeit in low yields (entries 1 and 2, respectively). Nevertheless, under a light source (entries 3, 5, and 6), both the reaction rates and the yields dramatically increased. The best result by far was achieved using a high-power halogen lamp (entry 3). Thus, there is evidence that the reaction is photoinduced and that light can favor it. The reaction could be scaled up with the same efficiency to 10-fold using the conditions described in entry 3.
Table 2.
Effects of different light sources on the MCR reaction.
These results are in accordance with the previously published studies [28,29]. The reaction completion was confirmed by thin layer chromatography (TLC) and, especially in the case of the halogen lamp, the consumption of the starting materials was very fast. The results shown in Table 2 suggest that the mechanism of this reaction may not be wavelength dependent or wavelength selective [32], as the reaction occurs with different light sources at different wavelengths. However, the photoredox control of this reaction can be regulated by the luminous flux, because, despite the lower intensity of the halogen lamp (12.33 lm/W), it has a higher power and therefore a greater luminous flux (1850 lm) in relation to most of the the other lamps. However, when the LEDs of the two light sources are compared, one can see that the blue LED with the highest intensity (90 lm/W, luminous flux 1350 lm) showed a better performance in obtaining the desired product, despite having a lower luminous flux compared to the white LED (80 lm/W, luminous flux 2400 lm). In this case, the activation of the photoredox catalytic mechanism can be controlled through adjustment of the intensity of the LEDs used [33], and this control became more evident when the ratio between the reaction time and the yield obtained decreased when the UV lamp (278 lm/W) was used in this process, which is more efficient in terms of intensity. Therefore, other LED light sources with the same intensities should be evaluated in the future to better understand the influence of the intensity in this mechanism.
To confirm that the synthesis of isoxazole-5(4H)-one derivatives occurred through a photochemical process with intermediate radical formation, a radical-trapping experiment was performed with TEMPO, a radical scavenger. After performing this investigation under the best established conditions using TEMPO at equimolar concentration in a photochemical set-up, major product formation was not observed by GC-MS analysis (entry 7) [34]. Instead, a complex mixture of products was obtained. This points to a radical mechanism, as will be discussed later on. With all this information in hand, a scheme was designed to transpose this synthesis to a continuous flow mode.
2.3. Continuous Flow Photochemistry Protocol for the Synthesis of Isoxazole-5(4H)-one Derivatives
The concept of our continuous flow photochemical synthesis of 3-methyl-4-arylmethylene isoxazole-5(4H)-ones was based on a modular one-step process in which a multicomponent reaction between ethyl acetoacetate, hydroxylamine, and aromatic aldehydes furnished the title compounds under visible light irradiation. Continuous flow processes play an important role in the development of new drugs and in organic synthesis, considering sustainable practices. There are extensive bibliographic records of the synthesis of heterocycles under continuous flow regime with different strategies; among them, it is possible to mention photochemical reactions [35].
Better heat and mass transfer in microreactors are among the benefits of this process in organic synthesis compared to batch. Generally, improvements related to transposition can be explained by these factors associated with transport phenomena [36]. Continuous flow is used in large-scale industrial production and is a practice that reduces intermediate losses. On a laboratory scale, the platform with microreactors also aims to optimize batch reactions [37], and this technology may be associated with simplified reaction work-ups [38].
Based on the evaluation of the light source screening and the optimized solvent under microwave heating protocol for the MCR, the best experimental conditions (Table 1, entry 2, and Table 2, entry 3) were chosen based on their potential suitability in a continuous flow process. Thus, the transposition of the photoinduced batch procedure for the synthesis of 3-methyl-4-arylmethylene isoxazol-5(4H)-ones to a continuous flow mode (Figure 1) was straightforward, with excellent yield (96%) for compound 3a (Table 3, entry 1) in 20 min of residence time units (RTU). In this way, the experimental conditions established in batch were confirmed.
Table 3.
Scope for the MCR flow photochemistry synthesis.
The experimental set-up is depicted in Scheme 2. A 0.5 M solution of aromatic aldehydes in 50% aqueous EtOH (2.0 mL) in an injection loop (SL1) was mixed using a syringe pump, in a flow rate of 0.1 mL min−1 (feed A in EtOH), with a 0.5 M solution of hydroxylamine hydrochloride, sodium acetate, and ethyl acetoacetate (in 2.0 mL of EtOH), which was pumped at the same moment from the other injection loop (SL2) with an equal flow rate (feed B in EtOH). The resulting combined solution was pumped through a 4 mL fluorinated ethylene-propylene (FEP) reactor coil (irradiated by a 150 W halogen lamp) with outer (OD) and inner (ID) diameters of 1.6 and 0.8 mm, respectively. A 2-bar back pressure regulator (BPR) was used to assure precision in the residence time (see Supplementary Material for more details on the experimental set-up).
Scheme 2.
Continuous flow photochemistry synthesis of 3-methyl-4-arylmethylene isoxazol-5(4H)-ones.
Motivated by the initial results, the scope of this methodology was investigated, and the flow photochemistry approach was selected to synthesize various 3-methyl-4-arylmethylene isoxazol-5(4H)-ones using different aldehydes. Though the best results in the batch mode were achieved in water (Table 1), there was product precipitation due to the low solubility of the products in this solvent. Instead, aqueous ethanol was used, and eight compounds were obtained in good yields without further need for any changes in the experimental conditions (Table 3). Aldehydes with electron-withdrawing groups (entries 9,10) did not furnish the products as already expected [26,28]. All compounds were isolated in high purity after coming out of the flow reactor by cooling in an ice water bath for crystallization, followed by vacuum filtration of the crystalline product, without any purification (see NMR spectra in the Supplementary Materials).
2.4. Larvicidal Tests against Ae. aegypti
Initially, an investigation was carried out with the screening of the larvicidal activity of the compounds obtained to evaluate the lethality of the larvae (L3) of Ae. aegypti based on the method at low concentrations and small scale (Table 4). As a main result, compounds 3a, 3b, and 3e showed better activities. Thus, they were submitted to the larger scale tests according to the WHO guidelines criteria [39] and still showed good larval mortality (Figure 2).
Table 4.
LC50 (µg/mL) data for compounds 3a–g.
Figure 2.
Larval mortality profile for the 3-methyl-4-arylmethylene isoxazol-5(4H)-one derivatives based on the WHO guidelines.
As displayed in Table 4, the OMe groups present in the structure of the 3-methyl-4-arylmethylene isoxazol-5(4H)-one derivatives may be responsible for the increased lethality of Ae. aegypti larvae (entry 1). When this group is partially or totally replaced by OH groups, the anti-larvicidal activity decreases significantly (entries 2–4). Surprisingly, the replacement of the two methoxy groups on 3a with a methylenedioxy core showed the better half maximum effective concentration (entry 5). Therefore, the analysis of the structure–activity relationship can be a guide for the rational synthesis and the design of other larvicidal derivatives, since larvicidal activity of the molecules has been often related with the position, type, number, and physico-chemical properties of the substituents in the aromatic rings [40].
The discovery of this activity raises the need to carry out the tests on even larger scales, as well as to measure some parameters such as residuality and toxicity of the compounds. These factors are essential when considering the logistics of vector control. For instance, the Brazilian agency responsible for the acquisition of insecticide products in control programs establishes the need to apply the compounds at intervals of 2 months, in addition to other requirements [41]. Furthermore, other studies are needed to improve a safe formula with greater effect.
2.5. Mechanistic Studies
The use of photochemistry is convenient when chromophores, such as carbonyls, are present in the molecules. There is evidence that suggests that this type of reaction is initiated via oxidoreduction with radical formation in the reaction medium using single electron transfer (SET) [42]. It should be noted that this type of formed radical does not propagate in a chain. In this case, the reaction kinetics leads to the formation of a single product.
It was described that, without hydroxylamine chloride, the Knoevenagel condensation product is not formed [28]. Furthermore, aliphatic aldehydes failed to react, and aromatic aldehydes containing electron-withdrawing groups, such as chlorine or nitro, did not lead to the expected product; only the respective oxime could be identified at the end of the reaction. This could indicate that radical intermediates led to the formation of the product, since, theoretically, electron-withdrawing groups would favor the condensation of traditional ionic Knoevenagel condensation but would increase the stability of eventual radical intermediates formed in the reaction medium. Moreover, the opposite can be said about the aromatic aldehydes substituted with electron-donating groups, which proved to be better in obtaining the target molecules.
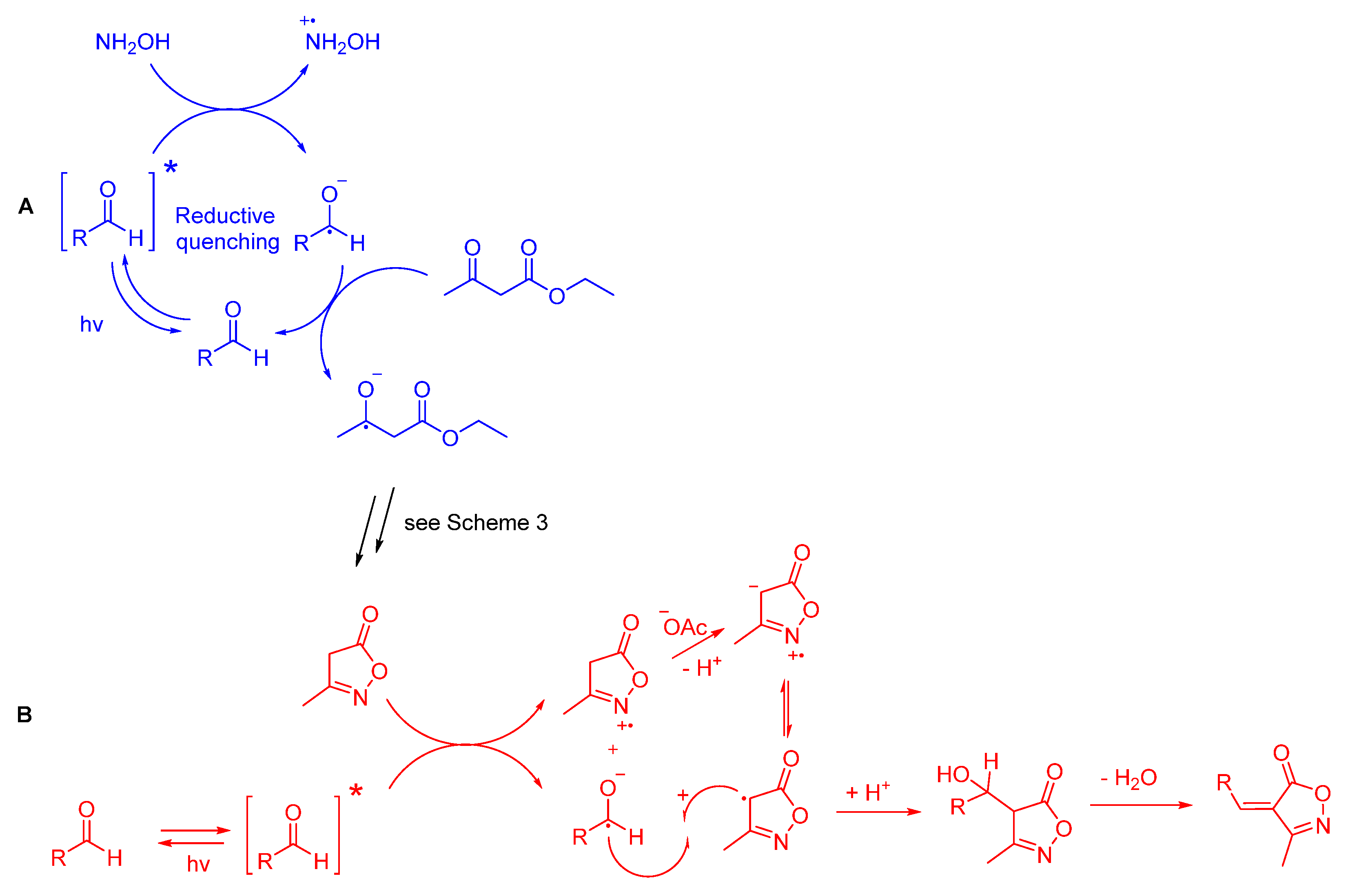
Initially based on a simplified mechanistic proposal [28], a more complete one is depicted in Scheme 3. Under the incidence of light, the reaction is initiated by an electron transfer from hydroxylamine (ii) to the ketone carbonyl group of ethyl acetoacetate (i). A radical anion (iii) and a radical cation (iv) are formed, which are reactive and somewhat stable species that react with each other quickly, giving rise to the ionic species of the tetrahedral intermediate (v), which is neutralized by a proton exchange, yielding intermediate (vi). Afterwards, the isoxazolone (xi) is formed by photolactonization, where again there would be an electron promotion with the oxidation of the oxime oxygen (vii) and the reduction of the carbonyl oxygen, forming a radical anion and a radical cation (viii) that react with each other intramolecularly to yield (ix). Finally, loss of a molecule of ethanol yields the isoxazolone (xi), which would lead to the final product through a non-specified photo-Knoevenagel process according to Ghosh et al. [43].
Scheme 3.
Proposed mechanism for the photochemical synthesis of the isoxazolone intermediate.
Thus, we decided to further investigate this MCR to propose a clearer mechanism for this reaction based on our experimental evidence. First, we carried out a control experiment with the ideal experimental conditions, without the presence of aromatic aldehyde in the reaction medium to assess whether the formation of the intermediate isoxazolone (xi) would occur, and whether it could be isolated. Surprisingly, in the absence of the aryl aldehyde, this intermediate did not form.
This unexpected result led us to rationalize the importance of the aldehyde in the reaction mechanism. Thus, based on this result, we came up with a mechanism in which the aryl aldehyde would not only be important for the Knoevenagel condensation, but also responsible for promoting an organic photoredox catalysis process for the MCR (Scheme 3). In this mechanistic proposal, we start from the premise that organic compounds that have chromophore groups, such as aldehydes, can promote photoinduced electron transfer (PET) processes that could be applied to organic synthesis. Consequently, the non-occurrence of the reaction in the absence of the aromatic aldehyde suggests that the MCR is initiated via an aldehyde-catalyzed oxidation-reduction process.
Thereby, the PET cycle for photoredox MCR begins with the formation of the excited state of the aldehyde (*), which is reduced by hydroxylamine via SET (Scheme 4A). The ketyl radical ion formed in this process returns to the initial state of the catalyst through the reductive quenching cycle, where the ketyl anion-radical was quenched by accepting an electron from the carbonyl group present in the β-ketoester. Finally, the combination of the radical species formed in the reaction medium via PET, after the steps described in Scheme 3, leads to the formation of the isoxazolone compound.
Scheme 4.
Organic photoredox catalytic mechanism for the synthesis of isoxazol-5(4H)-one derivatives. (* represents the excited state of a certain species, in this case the aldehyde.)
For the Knoevenagel condensation induced by visible light, PET also starts by formation of the excited state of the aldehyde, being now reduced by the isoxazolone via SET (Scheme 4B). The isoxazolone cation-radical formed undergoes rapid deprotonation leading to generation of the α-carbonyl radical. This radical reacts rapidly with the ketyl radical ion, preventing it from returning to the cycle and restoring its initial state. In this way, the formation of the desired product occurs with one more step (loss of water). This mechanism is in complete agreement with the fact that the isoxazolone was not formed in the absence of the aldehyde, and also the greater stability, and hence smaller reactivity, of the radicals derived from electron-withdrawing aromatic aldehydes leading to complete reaction failure.
3. Materials and Methods
General Remarks: 1H-NMR spectra were recorded on a Bruker Avance 600 MHz instrument, Billerica, Massachusetts, US. 13C-NMR spectra were recorded on this same instrument at 151 MHz. Chemical shifts (δ) are expressed in ppm downfield from TMS as internal standard. The letters s, t, dd, and m are used to indicate singlet, triplet, doublet of doublets, and multiplet, respectively. HRMS experiments were performed on a TOF LC/MS instrument equipped with an ESI ion source (positive ionization mode) from Bruker, Billerica, Massachusetts, US. Microwave-mediated reactions were carried out in borosilicate sealed glass reaction vessels (10 mL) on a CEM, Co. Discover microwave reactor, Matthews, North Carolina, US. GCMS analyses were carried out on a Shimadzu model GC-2010, Kyoto, Japan, with a GCMSQP2010 Plus detector and an AOC-5000 injector, using the software GCMS Postrun Analysis Lab Solutions v.4.45 SP1. For continuous flow photochemistry methodology, a KDS 210 Legacy dual syringe pump from Idex Health & Science, Inc., Landsberg, Germany was used. Static back pressure, modular mixers, sample manual injectors, fittings, and tubings are commercially available also from Idex Health & Science, Inc., Landsberg, Germany. The lamp used was a LLUME brand 150 W halogen stick lamp, Jinly Lighting Co., China. All solvents and chemicals were obtained from standard commercial suppliers and were used without any further purification.
General Procedure for Batch Microwave Reaction of 3-methyl-4-arylmethylene isoxazol-5(4H)-ones Synthesis Using Microwave Heating (Table 1): A sealed 10 mL borosilicate glass reaction vessel, equipped with a magnetic stir bar and containing a mixture of equimolar amounts (0.5 mmol) of ethyl acetoacetate, 3,4-dimethoxybenzaldehyde, sodium acetate, and hydroxylamine hydrochloride in 2 mL of different solvents was irradiated in a CEM Co. Discover reactor for 10 min at 120 °C. After cooling the reaction mixture in an ice bath, the crystalline product was obtained, filtered, washed with cold water, and dried in vacuum. The desired product was isolated in essentially pure form.
General Procedure for the Flow Photochemistry Methodology for the Synthesis of 3-methyl-4-arylmethylene isoxazol-5(4H)-ones 3a to 3h (Table 3): The FEP reactor coil (0.8 mm inner diameter; 5.0 mL) was completely filled with solvent (EtOH) and then irradiated with a 150 W halogen lamp. A solution of the aromatic aldehyde (1.0 mmol) in EtOH/H2O (1:1) (2.0 mL) was stored in a 1 mL sample loop (SL1). Hydroxylamine hydrochloride, sodium acetate, and ethyl acetoacetate (1.0 mmol each) were diluted in 2.0 mL of EtOH (0.5 M) and stored in a 1 mL sample loop (SL2). The sample loops were connected via a 6-way manual valve and were at the same time pumped into a T-shaped mixer (TM). After mixing, the resulting solution was fed (0.1 mL.min−1 stream) into the FEP reactor coil, there remaining for 20 min of residence time under the light of a halogen lamp inside a dark chamber. A static back pressure regulator (2 bar) was used to allow the best fluid flow condition. The desired products were obtained in crystalline form after cooling the reaction mixture and filtration.
3-Methyl-4-(3,4-dimethoxyphenyl)methylene-isoxazol-5-(4H)-one (3a): yellow needle-shaped crystals (0.239 g; 0.96 mmol); 1H NMR (600 MHz, CDCl3) δ 8.74 (d, J = 2.2 Hz, 1H); 7.60 (dd, J = 8.4, 2.2Hz, 1H); 7.33 (s, 1H); 6.96 (d, J = 8.4 Hz, 1H); 4.00 (d, J = 6.9 Hz, 6H); 2.28 (s, 3H). 13C NMR (151 MHz, CDCl3) δ 169.0; 161.3; 154.6; 149.8; 149.1; 131.2; 126.4; 116.3; 115.1; 110.7; 56.2; 56.2; 11.6. mp. 152–157 °C (lit 152–159 °C [13]).
3-Methyl-4-(4-hydroxy-3-methoxyphenyl)methylene-isoxazol-5-(4H)-one (3b): yellow needle-shaped crystals (0.205 g; 0.88 mmol); 1H NMR (600 MHz, DMSO-d6) δ 10.76 (s, 1H); 8.51 (d, J = 2.1 Hz, 1H); 7.90 (dd, J = 8.4, 2.1 Hz, 1H); 7.77 (s, 1H); 6.96 (d, J = 8.4 Hz, 1H); 3.85 (s, 3H); 2.24 (s, 3H). 13C NMR (151 MHz, DMSO-d6) δ 169.0; 162.3; 153.9; 151.9; 147.5; 131.6; 125.1; 116.7; 115.8; 113.7; 55.6; 11.3. mp. 210–214 °C (lit 211–214 °C [25]).
3-Methyl-4-(4-hydroxyphenyl)methylene-isoxazol-5-(4H)-one (3c): yellow needle-shaped crystals (0.105 g; 0.52 mmol); 1H NMR (600 MHz, DMSO-d6) δ 11.03 (s, 1H); 8.47–8.42 (m, 2H); 7.78 (s, 1H); 6.97–6.91 (m, 2H); 2.24 (s, 3H). 13C NMR (151 MHz, DMSO-d6) δ 168.9; 163.9; 162.3; 151.6; 137.6; 124.6; 116.2; 113.9; 11.3. mp. 214–216 °C (lit 214–216 °C [20d]).
3-Methyl-4-(3,4-methylenedioxyphenyl)methylene-isoxazol-5(4H)-one (3d): yellow needle-shaped crystals (0.159 g; 0.69 mmol); 1H NMR (600 MHz, DMSO-d6) δ 8.39 (d, J = 1.7 Hz, 1H); 7.91 (dd, J = 8.3, 1.7 Hz, 1H); 7.83 (s, 1H); 7.17 (d, J = 8.3 Hz, 1H); 6.21 (s, 2H); 2.25 (s, 3H). 13C NMR (151 MHz, DMSO-d6) δ 169.0; 162.8; 153.3; 151.8; 148.3; 133.9; 127.8; 116.1; 111.8; 109.4; 103.1; 11.7. mp. 205–207 °C (lit 204 °C [28]).
3-Methyl-4-(3-indole)methylene-isoxazol-5(4H)-one (3e): yellow needle-shaped crystals (0.112 g, 0.50 mmol); 1H NMR (600 MHz, DMSO-d6) δ 12.79 (s, 1H), 9.51 (s, 1H), 8.18 (s, 1H), 8.17–8.13 (m, 1H), 7.64–7.55 (m, 1H), 7.37–7.27 (m, 2H), 2.33 (s, 3H). 13C NMR (151 MHz, DMSO-d6) δ 170.4; 161.7; 140.5; 138.5; 136.4; 128.0; 123.9; 122.6; 118.9; 113.2; 112.7; 108.8; 11.2. mp. 239–240 °C (lit 240 °C [28]).
3-Methyl-4-(4-dimethylaminophenyl)methylene-isoxazol-5-(4H)-one (3f): red needle-shaped crystals (0.099 g; 0.43 mmol); 1H NMR (600 MHz, CDCl3) δ 8.33 (d, J = 8.7 Hz, 2H); 7.13 (s, 1H); 6.65–6.62 (m, 2H); 3.08 (s, 6H); 2.16 (s, 3H). 13C NMR (151 MHz, CDCl3) δ 170.6; 166.4; 154.8; 150.6; 138.3; 121.6; 112.1; 108.7; 40.2; 11.2. mp. 200–205 °C (lit 206–209 °C [25]).
3-Methyl-4-(4-(diethylamino)-2-hydroxyphenyl)methylene-isoxazol-5-(4H)-one (3g): red needle-shaped crystals (0.078 g; 0.30 mmol); 1H NMR (600 MHz, DMSO-d6) δ 10.84 (s, 1H); 9.13 (d, J = 9.4 Hz, 1H); 7.83 (s, 1H); 6.46 (dd, J = 9.4, 2.5 Hz, 1H); 6.18 (d, J = 2.5 Hz, 1H); 3.46 (q, J = 7.1 Hz, 4H); 2.16 (s, 3H); 1.16 (t, J = 7.1 Hz, 6H). 13C NMR (151 MHz, DMSO-d6) δ 170.6; 162.9; 162.0; 151.2; 141.8.; 135.5; 110.8; 105.9; 105.4; 95.5; 44.6; 12.7; 11.3. mp. 190–192 °C (lit 189 °C [27]).
3-Methyl-4-(2-hydroxyphenyl)methylene-isoxazol-5-(4H)-one (3h): yellow needle-shaped crystals (0.069 g; 0.34 mmol); 1H NMR (600 MHz, DMSO-d6) δ 10.76 (s, 1H); 9.99 (s, 1H); 8.14 (s, 1H); 7.15 (d, J = 8.6 Hz, 1H); 6.21 (dd, J = 8.6, 2.6 Hz, 1H); 6.09 (d, J = 2.6 Hz, 1H); 3,31 (s, 3H). 13C NMR (151 MHz, DMSO-d6) 168.4.; 162.3; 159.7; 146.7; 145.1; 136.9; 134.8; 132.3; 119.6; 119.1; 116.5; 116.2; 11.3. mp. 196–201 °C (lit 199–201 °C [29]).
Larvicidal test methodology: For the screening of the best candidates, the larvicidal dose-response test (six different concentrations) was performed to determine the LC50, following an already described protocol [44]. Samples were solubilized in DMSO (<2%) and tested in 12-well Kasvi plates containing 10 L3 larvae and 3 mL of water per well; each concentration was tested in triplicate. The compounds were submitted to tests according to the criteria of the WHO guidelines [39]. Those were also solubilized in DMSO (<2%) and tested in cups containing 25 L3 larvae and 100 mL of water per well; each concentration was tested in triplicate. Larvae mortality was observed 24, 48, and 72 h after exposure. DMSO was used as a negative control.
4. Conclusions
In this work, 3-methyl-4-arylmethylene-isoxazol-5(4H)-ones were successfully obtained in an innovative approach through the combination of continuous flow with photochemical activation that enabled the development of a fast and efficient methodology. Some of the products showed promising larvicidal activity against Ae. aegypti mosquitoes. In the MCR process leading to the target compounds, aromatic aldehydes bearing electron-donating substituents showed good results, whereas aldehydes with electron-withdrawing substituents failed to react. The future investigation of other aldehydes as substrates, such as heteroaromatics, can further broaden the scope of this work. Mechanistic investigations based on our experimental evidence point to an organic photoredox catalytic process.
Supplementary Materials
The following supporting information can be downloaded at: https://www.mdpi.com/article/10.3390/catal13030518/s1, File S1: NMR spectra of all compounds, Pictures of the experimental set-up and the larvicidal tests.
Author Contributions
Conceptualization, C.E.M.S. and C.K.Z.A.; methodology, C.E.M.S. and C.K.Z.A.; validation, A.B.S.S., C.E.M.S. and M.S.S.M.; formal analysis, C.E.M.S. and C.K.Z.A.; investigation, A.B.S.S., C.E.M.S. and M.S.S.M.; resources, L.C.A., L.S.E. and C.K.Z.A.; writing—original draft preparation, A.B.S.S., C.E.M.S., M.S.S.M. and C.K.Z.A.; writing—review and editing, C.E.M.S., L.C.A. and C.K.Z.A.; supervision, L.C.A., L.S.E., C.E.M.S. and C.K.Z.A.; project administration, C.E.M.S. and C.K.Z.A. All authors have read and agreed to the published version of the manuscript.
Funding
This research received no external funding.
Data Availability Statement
The data presented in this study are available on request from the corresponding author.
Acknowledgments
A.B.S.S. acknowledges CAPES, and C.E.M.S. acknowledges FAPDF for fellowships.
Conflicts of Interest
The authors declare no conflict of interest.
References
- Sabir, S.; Alhazza, M.I.; Ibrahim, A.A. A review on heterocyclic moieties and their applications. Catal. Sustain. Energy 2016, 2, 99–115. [Google Scholar] [CrossRef]
- Prandi, C.; Occhiato, E.G. From synthetic control to natural products: A focus on N-heterocycles. Pest Manag. Sci. 2019, 75, 2385–2402. [Google Scholar] [CrossRef] [PubMed]
- Qadir, T.; Amin, A.; Sharma, P.K.; Jeelani, I.; Abe, H. A review on medicinally important heterocyclic compounds. Open Med. Chem. J. 2022, 16, e187410452202280. [Google Scholar] [CrossRef]
- Lamberth, C. Pyridazine chemistry in crop protection. J. Heterocycl. Chem. 2017, 54, 2974–2984. [Google Scholar] [CrossRef]
- Pozharskii, A.F.; Katritzky, A.R.; Soldatenkov, A. Heterocycles in Life and Society: An Introduction to Heterocyclic Chemistry, Biochemistry and Applications, 2nd ed.; John Wiley & Sons Ltd.: London, UK, 2011. [Google Scholar]
- Pathan, S.I.; Chundawat, N.S.; Chauhan, N.P.S.; Singh, G.P. A review on synthetic approaches of heterocycles via insertion-cyclization reaction. Synth. Commun. 2020, 50, 1251–1285. [Google Scholar] [CrossRef]
- Lv, Y.; Meng, J.; Li, C.; Wang, X.; Ye, Y.; Sun, K. Update on the synthesis of N-heterocycles via cyclization of hydrazones (2017–2021). Adv. Synth. Catal. 2021, 363, 5235–5265. [Google Scholar] [CrossRef]
- Jiang, B.; Rajale, T.; Wever, W.; Tu, S.J.; Li, G. Multicomponent reactions for the synthesis of heterocycles. Chem. Asian J. 2010, 5, 2318–2335. [Google Scholar] [CrossRef]
- Nishanth Rao, R.; Jena, S.; Mukherjee, M.; Maiti, B.; Chanda, K. Green synthesis of biologically active heterocycles of medicinal importance: A review. Environ. Chem. Lett. 2021, 19, 3315–3358. [Google Scholar] [CrossRef]
- Eycken, E.V.; Sharma, U.K. Green synthesis of heterocycles via MCRs. In Multicomponent Reactions towards Heterocycles: Concepts and Applications; Wiley-VCH GmbH: Weinheim, Germany, 2021; pp. 163–209. [Google Scholar]
- Eycken, E.V.; Sharma, U.K. The use of flow chemistry in the multicomponent synthesis of heterocycles. In Multicomponent Reactions towards Heterocycles: Concepts and Applications; Wiley-VCH GmbH: Weinheim, Germany, 2021; pp. 211–235. [Google Scholar]
- Rehm, T.H. Flow photochemistry as a tool in organic synthesis. Chem. Eur. J. 2020, 26, 16952–16974. [Google Scholar] [CrossRef]
- Reihani, N.; Kiyani, H. Three-component synthesis of 4-arylidene-3-alkylisoxazol-5(4H)-ones in the presence of potassium 2,5-dioxoimidazolidin-1-ide. Curr. Org. Chem. 2021, 25, 950–962. [Google Scholar] [CrossRef]
- Atharifar, H.; Keivanloo, A.; Maleki, B. Greener synthesis of 3,4-disubstituted isoxazole-5(4H)-ones in a deep eutectic solvent. Org. Prep. Proc. Int. 2020, 52, 517–523. [Google Scholar] [CrossRef]
- Agrawal, N.; Mishra, P. The synthetic and therapeutic expedition of isoxazole and its analogs. Med. Chem. Res. 2018, 27, 1309–1344. [Google Scholar] [CrossRef]
- Vergelli, C.; Schepetkin, I.A.; Crocetti, L.; Iacovone, A.; Giovannoni, M.P.; Guerrini, G.; Khlebnikov, A.I.; Ciattini, S.; Ciciani, G.; Quinn, M.T. Isoxazol-5(2H)-one: A new scaffold for potent human neutrophil elastase (HNE) inhibitors. J. Enz. Inhib. Med. Chem. 2017, 32, 821–831. [Google Scholar] [CrossRef]
- Da Silva-Alves, D.C.; dos Anjos, J.V.; Cavalcante, N.N.; Santos, G.K.; Navarro, D.M.; Srivastava, R.M. Larvicidal isoxazoles: Synthesis and their effective susceptibility towards Aedes aegypti larvae. Bioorg. Med. Chem. 2013, 21, 940–947. [Google Scholar] [CrossRef]
- Leta, S.; Beyene, T.J.; De Clercq, E.M.; Amenu, K.; Kraemer, M.U.G.; Revie, C.W. Global risk mapping for major diseases transmitted by Aedes aegypti and Aedes albopictus. Int. J. Infect. Dis. 2018, 67, 25–35. [Google Scholar] [CrossRef]
- Liu-Helmersson, J.; Brännström, Å.; Sewe, M.O.; Semenza, J.C.; Rocklöv, J. Estimating past, present, and future trends in the global distribution and abundance of the arbovirus vector Aedes aegypti under climate change scenarios. Front. Public Health 2019, 7, 148. [Google Scholar] [CrossRef]
- Kraemer, M.U.G.; Sinka, M.E.; Duda, K.A.; Mylne, A.Q.N.; Shearer, F.M.; Barker, C.M.; Moore, C.G.; Carvalho, R.G.; Coelho, G.E.; Bortel, W.V.; et al. The global distribution of the arbovirus vectors Aedes aegypti and Ae. albopictus. eLife 2015, 4, e08347. [Google Scholar] [CrossRef]
- Silvério, M.R.S.; Espindola, L.S.; Lopes, N.P.; Vieira, P.C. Plant natural products for the control of Aedes aegypti: The main vector of important arboviruses. Molecules 2020, 25, 3484. [Google Scholar] [CrossRef]
- Zhang, Y.Q.; Wang, C.; Zhang, M.Y.; Cui, P.L.; Li, Y.M.; Zhou, X.; Li, J.C. Condensation reactions of aromatic aldehydes with 3-methyl-4,5-dihydroisoxazol-5-one without solvent and catalyst. Chin. J. Org. Chem. 2008, 28, 914–917. [Google Scholar]
- Zhang, Y.Q.; Ma, J.J.; Wang, C.; Li, J.C.; Zhang, D.N.; Zang, X.H.; Li, J. One-pot synthesis of 3-methyl-4-arylmethylene-isoxazol-5(4H)-ones. Chin. J. Org. Chem. 2008, 28, 141–144. [Google Scholar]
- Liu, Q.; Zhang, Y.N. One-pot synthesis of 3-Methyl-4-arylmethylene-isoxazol-5(4H)-ones catalyzed by sodium benzoate in aqueous media: A green chemistry strategy. Bull. Kor. Chem. Soc. 2011, 32, 3559–3560. [Google Scholar] [CrossRef]
- Ghogare, R.S.; Patankar-Jain, K.; Momin, S.A.H. A simple and efficient protocol for the synthesis of 3,4-disubstituted isoxazol-5(4H)-ones catalyzed by succinic acid using water as green reaction medium. Lett. Org. Chem. 2021, 18, 83–87. [Google Scholar] [CrossRef]
- Maleki, B.; Chahkandi, M.; Tayebee, R.; Kahrobaei, S.; Alinezhad, H.; Hemmati, S. Synthesis and characterization of nanocrystalline hydroxyapatite and its catalytic behavior towards synthesis of 3,4-disubstituted isoxazole-5(4H)-ones in water. Appl. Organometal. Chem. 2019, 33, e5118. [Google Scholar] [CrossRef]
- Oliveira, G.H.C.; Ramos, L.M.; Paiva, R.K.C.; Passos, S.T.A.; Simões, M.M.; Machado, F.; Correa, J.R.; Neto, B.A.D. Synthetic enzyme-catalyzed multicomponent reaction for isoxazol-5(4H)-one syntheses, their properties and biological application. Why to study mechanisms? Org. Biomol. Chem. 2020, 19, 1514–1531. [Google Scholar] [CrossRef]
- Saikh, F.; Das, J.; Ghosh, S. Synthesis of 3-methyl-4-arylmethylene isoxazole-5(4H)-ones by visible light in aqueous ethanol. Tetrahedron Lett. 2013, 54, 4679–4682. [Google Scholar] [CrossRef]
- Gadkari, Y.U.; Jadhav, N.L.; Hatvate, N.T.; Telvekar, V.N. Concentrated solar radiation aided green approach for preparative scale and solvent-free synthesis of 3-methyl-4-(hetero)arylmethylene isoxazole-5(4H)-ones. ChemistrySelect 2020, 5, 12320–12323. [Google Scholar] [CrossRef]
- Damn, M.; Glasnov, T.N.; Kappe, C.O. Translating high-temperature microwave chemistry to scalable continuous flow process. Org. Process Res. Dev. 2010, 14, 215–224. [Google Scholar] [CrossRef]
- Glasnov, T.N.; Kappe, C.O. The microwave-to-flow paradigm: Translating high-temperature batch microwave chemistry to scalable continuous-flow processes. Chem. Eur. J. 2011, 17, 11956–11968. [Google Scholar] [CrossRef]
- Protti, S.; Ravelli, D.; Fagnoni, M. Wavelength dependence and wavelength selectivity in photochemical reactions. Photochem. Photobiol. Sci. 2019, 18, 2094–2101. [Google Scholar] [CrossRef]
- Kerzig, C.; Wenger, S. Reactivity control of a photocatalytic system by changing the light intensity. Chem. Sci. 2019, 10, 11023. [Google Scholar] [CrossRef]
- Kundu, B.K.; Das, M.; Ganguly, R.; Bhobe, P.A.; Mukhopadhyay, S. Role of zeolite encapsulated Cu(II) complexes in electron transfer as well as peroxy radical intermediates formation during oxidation of thioanisole. J. Catal. 2020, 289, 305–316. [Google Scholar] [CrossRef]
- Brandão, P.; Pinheiro, M.; Melo, T.M.V.D.P. Flow chemistry: Towards a more sustainable heterocyclic synthesis. Eur. J. Org. Chem. 2019, 43, 7187–7217. [Google Scholar] [CrossRef]
- Rossett, I. Flow chemistry: New concepts from batch to continuous organic chemistry. Ind. Chem. 2016, 2, 1000e102. [Google Scholar] [CrossRef]
- Plutschack, M.B.; Pieber, B.; Gilmore, K.; Seeberger, P.H. Guide to flow chemistry. Chem. Rev. 2017, 117, 11796–11893. [Google Scholar] [CrossRef]
- Andrade, C.K.Z.; Dar, A.R. Applying green processes and techniques to simplify reaction work-ups. Tetrahedron 2016, 72, 7375–7391. [Google Scholar] [CrossRef]
- World Health Organization. Guidelines for Laboratory and Field Testing of Mosquito Larvicides; WHO: Geneva, Switzerland, 2005; pp. 1–41. [Google Scholar]
- De Sousa, D.P.; Vieira, Y.W.; Uliana, M.P.; Melo, M.A.; Brocksom, T.J.; Cavalcanti, S.C.H. Larvicidal activity of para-Benzoquinones. Parasitol. Res. 2010, 107, 741–745. [Google Scholar] [CrossRef]
- Diretrizes Nacionais para a Prevenção e Controle de Epidemias de Dengue; Ministério da Saúde, Secretaria de Vigilância em Saúde, Departamento de Vigilância Epidemiológica–Brasília: Ministério da Saúde, Brazil, 2009; ISBN 978-85-334-1602-4.
- Kundu, B.K.; Han, G.; Sun, Y. Derivatized Benzothiazoles as Two-Photon-Absorbing Organic Photosensitizers Active under Near Infrared Light Irradiation. J. Am. Chem. Soc. 2023, 145, 3535–3542. [Google Scholar] [CrossRef]
- Ghosh, S.; Das, J.; Chattopadhyay, S. A novel light induced Knoevenagel condensation of Meldrum’s acid with aromatic aldehydes in aqueous ethanol. Tetrahedron Lett. 2011, 52, 2869–2872. [Google Scholar] [CrossRef]
- Silva, R.; Demarque, D.P.; Dusi, R.G.; Sousa, J.P.B.; Albernaz, L.C.; Espíndola, L.S. Residual larvicidal activity of quinones against Aedes aegypti. Molecules 2020, 25, 3978. [Google Scholar] [CrossRef]
Disclaimer/Publisher’s Note: The statements, opinions and data contained in all publications are solely those of the individual author(s) and contributor(s) and not of MDPI and/or the editor(s). MDPI and/or the editor(s) disclaim responsibility for any injury to people or property resulting from any ideas, methods, instructions or products referred to in the content. |
© 2023 by the authors. Licensee MDPI, Basel, Switzerland. This article is an open access article distributed under the terms and conditions of the Creative Commons Attribution (CC BY) license (https://creativecommons.org/licenses/by/4.0/).

















