You are currently viewing a new version of our website. To view the old version click .
Catalysts
  • Article
  • Open Access

Published: 3 March 2023

Determination of Activation Energy on Hydrogen Evolution Reaction for Nickel-Based Porous Electrodes during Alkaline Electrolysis

,
,
,
,
and
1
Tecnológico Nacional de México/Instituto Tecnológico de Morelia, Avenida Tecnológico No. 1500, Lomas de Santiaguito, Morelia 58120, Mexico
2
INICIT, Universidad Michoacana de San Nicolás de Hidalgo, Avenida Francisco J. Múgica S/N Ciudad Universitaria, Morelia 58040, Mexico
*
Author to whom correspondence should be addressed.
This article belongs to the Section Electrocatalysis

Abstract

The aim of the present work is to evaluate the activation energy (Ea) at different cathodic overpotentials (η) by potentiodynamic tests which were carried out at different temperatures of Ni-based, NiCr-m, and NiCr-p porous electrodes, during the alkaline electrolysis processes. On the other hand, the electrochemical stability of the electrodes was evaluated by cyclic voltammetry after 1000 cycles of operation and by potentiostatic tests after 10 h at −1.5 V vs. SCE. The electrodes were sintered with a heating rate of 25 °C/min up to a temperature of 1000 °C (Ni-based and NiCr-m) and 1200 °C (NiCr-p) for 60 min. The results showed that the Ea value was lower for the Ni-based system at equilibrium; however, the NiCr-p electrode had a better performance due to higher negative apparent Ea values as a function of η (dEa/dη). The cyclic voltammetry tests suggest that the NiCr-p electrode improves its activity by about 71% in its long-term operation in comparison with Ni-based and NiCr-m. A similar behavior was observed in the potentiostatic test which showed a higher cathodic current density associated with a charge transfer process after 10 h. The higher stability of the NiCr-p is attributed to a homogeneous Cr distribution in the nickel matrix.

1. Introduction

Hydrogen is currently considered one of the principal energies to replace fossil fuels as clean and renewable energy [1]. Alkaline electrolysis of water is one of the primary and easiest ways to produce hydrogen due to its low setup cost. However, in practical applications for hydrogen production, this process is seriously influenced by the high cathodic overpotential generated during alkaline electrolysis, which increases energy consumption and production cost [2]. The main challenge currently is that it is necessary to find a material for the manufacturing of electrodes that allows for the reduction of the cathodic overpotential to reduce production costs, that presents good stability in continuous electrolysis, and that also offers an excellent resistance to generalized and pitting corrosion in its use as anodes to obtain good durability on a longer time scale. Some studies carried out by Lasia et al. [3] and Jaccuaud et al. [4] concluded that the main characteristics of high-performance electrodes must satisfy the previously mentioned characteristics, in addition to generating a high coverage of hydrogen on the surface of the electrodes and not cause environmental problems during processing.
The design and synthesis of metals with adequate microstructural control are critical in electrocatalysis [5]. Noble metals, especially Pt with diverse nanostructures and morphologies, have received particular interest due to their excellent performance in electrocatalysis in the evolution reaction of hydrogen (HER) [6] and oxygen evolution reaction (OER) [7]. However, their high cost and scarcity only allows a limited amount of use in industrial applications. In substituting these materials, alloys made with transition metals have been used, mainly Ni, Cr, Co, and Mo [8,9]. These alloys provide more excellent coverage of hydrogen on the surface of the electrodes, generation of a low overpotential in the HER, and superior resistance to corrosion in alkaline solutions. Due to these reasons, Ni and its alloys have been the most used and are more stable than other transition metals such as Fe and Co [10]. Vasu and Venkatesan [11] examined various Ni alloys coated with transition metals by electrodeposition as cathodes for hydrogen production in alkaline solutions. They determined a higher electrocatalytic activity in descending order: Ni-Mo, Ni-Zn, Ni-Co, Ni-Fe, Ni-Cr, and Ni.
To increase the production of hydrogen, the development of new technologies in manufacturing materials with more uniform microstructures and homogeneous morphological distributions has made it possible to increase the surface area of the electrodes used for electrocatalysis. This has made it possible to increase the current density at the same overpotential due to the increased permeability of the alkaline medium towards the active surfaces to increase the cathodic reaction of hydrogen production [12,13]. However, this increase in the surface area also increases the exchange current density and anodic dissolution degradation in metals. Because of this, it is essential to have an adequate balance between the hydrogen production (cathode) and corrosion rate (anode).
Additionally, the design of the surface can enhance HER; in this way, Xiaolei Cheng et al. [14] provided a facile pathway to improve the properties and catalytic performance, controlling surface oxidation for MoS2 ultra-thin nanosheets. Other procedures are employed to provide active sites, such as Ni doping, by inducing lattice distortion and S vacancy [15].
Sintering Ni alloy powders can develop a significant increase in the active area for the generation of porous materials; the main variables to consider are pore size, distribution, and morphology to modify the electrocatalytic properties of Ni alloys. The main objective of this research is to manufacture porous Ni-Cr electrodes with a controlled porosity through powder metallurgy to increase hydrogen production through the alkaline electrolysis of water. This research aims to evaluate the catalytic activity and performance of nickel-based, NiCr-m, and NiCr-p electrodes by determining their activation energy at different cathodic overpotentials and stabilities after 1000 operating cycles using cyclic voltammetry.

2. Results

2.1. Electrodes Characterization

Obtaining the electrodes came from the sintering process of the mixture of nickel powders and chromium powders. As can be seen in the mappings in Figure 1, the nickel and chromium powders are distinguished separately, where the nickel powders (red color) are aggregates of small particles. In contrast, chromium powders are larger particles with an irregular shape. Figure 1 also shows the pre-alloyed powders, where it is observed that the particles have a uniform size. In addition, the mappings show that nickel (red color) and chromium (green color) are uniformly distributed in the particles. The overlapping of the mappings presents a yellow coloration indicating the combination of nickel and chromium (Figure 1h).
Figure 1. Scanning electron micrograph of (a) NiCr-m and (e) NiCr-p powders previously sintering processes; (b) NiCr-m and (f) NiCr-p nickel distribution (red); (c) NiCr-m and (g) NiCr-p chromium distribution (green); (d) NiCr-m and (h) NiCr-p nickel and chromium distribution corresponding elemental mapping of the surface.
According to the micrograph of the Ni-based electrode (Figure 2a), the surface presents small pores which are uniformly distributed. Figure 2b shows the surface of the NiCr-m electrode, where chromium particles are embedded in the porous nickel matrix. Moreover, the NiCr-p surface is more homogeneous, and bigger pores are also observed. The elemental mappings of the NiCr-m and NiCr-p electrodes are presented in Figure 3. In the NiCr-m electrode (Figure 3c), the chromium is observed as segregated particles of considerable size delimited (green color) and immersed in the nickel matrix (red color). On the other hand, the NiCr-p electrode (Figure 3d) presents a uniform distribution of nickel and chromium (yellow color) caused by the ball-milled process which enhances the chromium diffusion in the nickel matrix as described in previous sections. According to what was observed in the micrographs, the mechanical pre-alloying process favors the decrease in the size of the chromium particles, resulting in electrodes with a more homogeneous surface. Nady H. et al. [16] studied Ni-Cr-based cathodes and concluded that Cr, Mo, and Fe showed a high solubility on the Ni matrix, which enhanced their synergistic interaction that increased the hydrogen evolution reaction, and as a consequence, the electrodes presented higher catalytic activity in alkaline electrolytes.
Figure 2. Scanning electron micrographs of (a) Ni-based, (b) NiCr-m, and (c) NiCr-p electrodes’ surfaces.
Figure 3. Scanning electron micrograph of (a) NiCr-m and (b) NiCr-p electrodes and the corresponding elemental mapping of the surface (c,d).
The X-ray diffraction pattern shown in Figure 4 of the Ni-based, NiCr-m, and NiCr-p electrodes shows three high-intensity peaks at 2θ ~44°, ~51°, and ~76° which correspond to the Miller planes (111), (200), and (220), respectively, and are characteristic nickel peaks. On the other hand, the characteristic chromium peaks at 2θ of 64.583° and 81.724° correspond, respectively, to the (200) and (211) planes, which are only observed in the NiCr-m electrode. It can be seen that the diffraction pattern of NiCr-p presents a lower intensity and slightly shifts toward the left. This broadening and reduction of the intensity of the peaks in the NiCr-p electrode may be associated with the solid solution formed by the mechanical alloying of nickel and chromium elements during the powder obtention due to mechanical alloying promoting the reduction of crystallite size and the increase of lattice strain and crystal defects [17]. Li et al. [8] found the same Miller planes for a porous Ni-Cr-Mo-Cu alloy and observed that the peak position shifted to the left, as observed in our study as the Cr content increases, which indicates that Cr is presented in a solid solution. This behavior was also observed by Nady et al. [16] who studied an Ni-Cr-Mo-Fe alloy and concluded that Ni peaks shifted towards the direction of smaller diffraction angles, which suggests that Mo is easily dissolved into the Ni lattice. Moreover, Xiao et al. [18] indicate that Ni-Cr-Fe porous materials showed a similar crystal structure to Ni, which causes the higher solubility of transition elements such as Mo, Fe, and Cr in the Ni matrix.
Figure 4. XRD pattern of Ni-based, NiCr-m, and NiCr-p electrodes.

2.2. Electrocatalytic Activity of Ni-Based Electrodes

The effect of temperature on the kinetics of the hydrogen evolution reaction was studied in the Ni-based, NiCr-m, and NiCr-p electrodes. For this, the measurements of the polarization curves of the cathode branch were obtained at different temperatures (30–80 °C) to determine the exchange current density (J0), which is a measure of the rates of the anodic and cathodic reactions that occur at an electrode when it is at its reversible potential. Since the exchange current density measures the electrode reaction rate, a low current density would indicate a slow reaction and, thus, be more easily polarized. This phenomenon can be understood by considering the equations that relate the overpotential to the current density. For low overpotentials, Equation (1) is represented by the following expression [19]:
η = - R T z F · J J 0
When the magnitude of the overpotential (η) will be smaller for a given current density (J), the higher the value of J0. Besides, the Arrhenius Equation (2) expresses the kinetic constant (k) dependence on temperature through the Expression [20]:
k = A e E a R T
where k is the reaction rate constant, A is the frequency factor, Ea is the activation energy (J mol−1), R is the ideal gas constant (8.314 J mol−1 K−1), and T is the absolute temperature (K). As previously mentioned, the current density obtained in the electrochemical reaction measures the reaction rate. It is proportional to the kinetic coefficient; thereby, it is possible to determine the activation energy of the process from the semilogarithmic representation of the current density as a function of the inverse of the temperature, according to the Equation (3) [21]:
log J = E a 2.303 · R · 1 T + A
where A′ (A cm−2) is the pre-exponential factor; in this way, the slope is related to the activation energy, and its value can be calculated by linear regression.
The current exchange density (J0) is obtained from each polarization curve at different temperatures; the essay was evaluated in duplicate. Figure 5 shows the graphs of the logarithm of the current exchange density against the inverse of the temperature. The analysis of the activation energies exhibits a linear trend in the three electrodes since it presents a coefficient of determination (R2) close to one. The activation energy value of each electrode was determined using the Arrhenius equation, and the values obtained are presented in Table 1.
Figure 5. Arrhenius plots of the electrodes (Ni-based, NiCr-m, and NiCr-p) at the equilibrium.
Table 1. Activation energy values are calculated at equilibrium.
The activation energy is understood as the minimum energy necessary to be able to carry out a reaction. Therefore, a lower activation energy would have greater catalytic activity in a steady state (E0). In this sense, the electrode with the lowest activation energy is the Ni-based electrode with a value of 27.19 kJ mol−1, compared to the Ea values of the NiCr-m and NiCr-p electrodes which showed 28.64 kJ mol−1 and 38.07 kJ mol−1, respectively. This Ni-based behavior was analyzed by Sun et al. [22], which concluded that the absorption of the hydrogen atoms and their further H2 molecule desorption is more effective on the FCC sites for a Ni (111) surface during electrocatalysis. However, this effect could be enhanced by the interaction of NiO, which increases the interfacial activity on the Ni surface in this process [22]. The values obtained in the present work are in concordance with the studies carried out by Santos et al. [12] which calculated Ea values around 21 kJ mol−1 for NiMo-NiCu coating systems and 22 kJ mol−1 for NiMo systems evaluated on 6 M KOH. On the other hand, Xia et al. [23] obtained Ea values of 21 kJ mol−1 up to 26 kJ mol−1 for Ni-Mo-Cu and Ni-Mo alloys systems for the hydrogen evolution reaction.
However, it is relevant to analyze the relationship of the cathodic current density (Jη) at different cathodic overpotentials in the Tafel region. At different temperatures, the evaluated overpotentials were 50, 100, 150, 200, 250, and 300 mV. The slopes obtained from the experimental data (Figure 6) are related to the apparent activation energy, evaluated at different overpotentials on the Ni-based, NiCr-m, and NiCr-p electrodes, and their values are presented in Table 2. The Ni-based electrode has the highest intrinsic catalytic activity due to the lower values of Ea analyzed before. However, for hydrogen production, applying an overpotential in an electrolyzer is necessary because it is mainly to analyze the change of the apparent Ea concerning the increase of the applied overpotential. It is observed that the three systems reduce their apparent Ea values as the cathodic overpotential increases; it is reported that the overpotential magnitude changes the hydrogen evolution mechanism starting from the Volmer step, which describes the adsorption process of the electrode surface; however, at lower overpotentials, it is reported that the HER mechanism consists of the Volmer step followed by the Heyrovsky and Tafel steps; otherwise, at higher overpotentials, the Volmer–Heyrovsky mechanism is carried out [24,25]. Another analysis of the behavior of the apparent Ea, it is observed that a higher rate of change on the trend of apparent Ea values as a function of η (dEa/dη) would indicate a higher electrocatalytic activity of the catalyst [20]. Operationally, the NiCr-p electrode would have a better performance due to higher negative dEa/dη values obtained, indicating that at small increases in the applied overpotential, the activation energy decreases significantly in each test condition. This behavior has been observed in Ni-Cr-based electrodes, which were proposed by their outstanding catalytic activity and low cost, incrementing their potentiality as electrodes for high hydrogen production efficiency [16].
Figure 6. Arrhenius plots of the NiCr-p electrode at different overpotentials. (a) Ni-based, (b) NiCr-m, and (c) NiCr-p electrodes.
Table 2. Apparent activation energy values at different overpotentials.

2.3. Stability Performance of Ni-Based Electrodes

In addition to evaluating the catalytic activity, it is essential to evaluate the durability of the electrodes. Therefore, 1000 CV cycles from −1.5 to −0.6 V were performed in an alkaline medium at a speed of 100 mV s−1 to evaluate how possible its application is at the industrial level. Ni-based and NiCr-m electrodes present a minimal variation in the cathodic current density with values of about −0.03 A/cm2, corresponding to the 1 cycle test and after 1000 cycles (Figure 7), indicating good stability because of the overlapped curves. However, the NiCr-p electrode shows an increase in cathodic current density of about −0.06 A/cm2 after 1000 cycles, suggesting that the NiCr-p electrode improves its activity in long-term conditions by about 71%. This indicates that the NiCr-p showed good performance under polarization in an alkaline medium due to a highly catalytically active analysis in previous sections and, at the same time, a long-term stability characteristic required for industrial applications [26]. It is reported that Ni is more stable than other transition metals in alkaline media [10]; however, Fariba Safizadeh et al. [27] indicated that the Ni binary alloys exhibited a high corrosion resistance, a low hydrogen overvoltage, and long-term stability. Furthermore, the effect of a good distribution, solid solution of chromium in the Ni matrix, and higher electrochemical active area caused by the porous system increases the stability observed in the NiCr-p electrode.
Figure 7. Cyclic voltammograms in 1.5 M NaOH at a scan rate of 100 mV s−1 from −1.5 to −0.6 V for the first and the 1000th cycle of (a) Ni-based, (b) NiCr-m, and (c) NiCr-p.
Another way to determine the stability of the electrodes is to analyze the behavior of the electrochemical processes at initial operating cycles; in our case, the analysis was carried out at 100 cycles, where a transition towards a stable behavior of the electrodes analyzed was observed. Figure 8 shows a graph of potential against the logarithm of the current density. The black arrow indicates the direction of the potential sweep, starting at cathodic potentials (−1.5 V) and increasing until it reaches a potential of about −0.6 V after it returns from anodic potentials. The curve presents two peaks, with a red line indicating the value of the anodic current density (Ja) associated with the oxidation processes; the blue line is the cathodic current density (Jc) associated with the hydrogen evolution processes; and the green line indicates the current density related to the rupture of the passive layer formed in the anodic region (Jp). The values of the current densities are summarized in Table 3. As mentioned before, when the value of J is lower, it indicates that the reaction has a low rate; in this sense, when comparing the values of Ja and Jc of the Ni-based electrode, a similar behavior (Ja ≈ Jc) is observed, while in the NiCr-m electrode, Ja is greater than Jc (Ja > Jc), which would indicate that oxidation reactions are favored. On the other hand, it is observed that in the NiCr-p electrode, the value of Jc is greater than Ja (Ja < Jc), which indicates that the reduction reactions are favored and, therefore, a more catalytic activity could be observed in this electrode. It is important to determine the anodic and cathodic rate reaction due to the possibility that Ni alloy electrodes could suffer corrosion and passivation under specific test conditions; in order to obtain a good balance between corrosion resistance and hydrogen evolution reaction, the change in an intrinsic specific area such as a porous electrodes system could be an alternative to enhance a good performance as observed in NiCr-p [27,28].
Figure 8. E vs. J curves of the electrodes at the 100th cycle of (a) Ni-based, (b) NiCr-m and (c) NiCr-p.
Table 3. The values of the current densities.
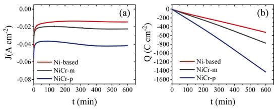
Additionally, potentiostatic tests at the cathodic potential are present in Figure 9. It can be seen that the current density does not show a significant change as function of time during the test in any of the electrodes. However, it is shown that the electrodes that contain chromium have a higher cathodic current density; this trend is more marked in the NiCr-p electrode. On the other hand, the Q-t curve in Figure 9 shows the amount of charge transfer with respect to time, where the NiCr-p electrode presents the highest charge transfer.
Figure 9. Potentiostatic test at −1.5 V vs. SCE in 1.5 M NaOH; (a) I-t curves and (b) Q-t curves.
After the stability tests, the electrodes were observed under an optical microscope, and the images are presented in Figure 10. The surfaces of the electrodes after 10 h at the cathodic potential do not show significant changes. However, the surfaces of the electrodes after 1000 cycles show dark areas, with the Ni-based and NiCr-m electrodes being the most affected. This is attributed to the anodic potential applied during the CV. As mentioned before, the NiCr-p showed higher electrochemical stability and less affectation during the cyclic and potentiostatic tests, indicative of a better performance for its use as a potential electrode during the alkaline electrolysis.
Figure 10. Optical microscopy images of the electrodes: (a,d,g) before stability tests, (b,e,h) after 10 h at −1.5 V vs. SCE, and (c,f,i) after 1000 cycles.

3. Discussion

The Ni-based electrode, obtained through a sintering process, has been shown to have an intrinsic catalytic activity because it presented a lower activation energy. Because of its catalytic properties, nickel has been studied in numerous investigations [13]. It has been aimed to modify its structure and morphology to generate more active sites [29,30], such as porous systems, which provide a higher electrochemical active area [18,31]. However, when evaluating the stability of the nickel electrodes, the activity decreases over time. The decay is attributed to forming chemical species, such as hydrides, that solubilize nickel [32]. That is why adding another element such as chromium is required because it not only improves the adsorption of H necessary to carry out the Heyrovsky step but also the presence of chromium and its oxides, such as a Cr2O3 passive layer which prevents the dissolution of nickel in an alkaline solution, caused by its high electronegativity. Li Xide et al. [8] concluded that the hydrogen evolution reaction improved in porous electrodes and concluded that the synergistic effect of Ni, Cr, Mo, and Cu induced a higher performance for hydrogen evolution and good long-term stability in alkaline solutions.
The activation energy results show that the electrode that presented a higher catalytic activity under operating conditions, that is to say, applying an overpotential, was the NiCr-p electrode, which is attributed to the presence of chromium in the material. NiCr-m does not present the same behavior, although it contains chromium, and a similar effect would be expected. The main difference between these two electrodes is the distribution of chromium on the surface since in the NiCr-m electrode, the chromium is segregated into large particles, while in the NiCr-p electrode, it is uniformly distributed on the surface of the material. The improvement in catalytic activity has been attributed to the forming of a heterostructure interface, allowing higher electronic interaction between species and favoring charge transfer to enhance HER [33]. In addition, the x-ray diffractograms of NiCr-p show a solid solution of chromium in the nickel matrix. These marked differences in the microstructure of the electrodes are reflected in the electrochemical tests. Thus, the improvement of the catalytic activity under operation conditions in the NiCr-p electrode can be due to crystal defects generated during the mechanical alloying. The defects can change the charge distribution on a catalyst surface, enhancing intrinsic activity, enriching active sites, and improving electrical conductivity [34].
Additionally, the stability of the electrodes was evaluated by cyclic voltammetry. This technique allows the simulation of the behavior of the cathode under operating conditions. As shown in the graph of the Ni-based electrode, an overlapping of the curves of the 1st and the 1000th cycle is observed, which is associated with good stability of the electrode since the cathodic current density response as a function of the potential remains practically unchanged after a long-term operation. The stability test of the NiCr-m electrode shows a slight decay of the current after 1000 cycles of operation; conversely, it should be noted that the NiCr-p electrode significantly increases the cathodic current density after 1000 cycles. Xu et al. [35] performed XPS tests to analyze the formation of oxides after the cyclic voltammetry tests, finding the formation of oxides and hydroxides of the transition metals present in the cathode, demonstrating that the formation of Ni(OH)2 increases the active surface area exhibiting more active sites. Therefore, the improvement in the performance of the NiCr-p electrode may be due to the formation of chromium oxides on the electrode surface, which prevents the formation of nickel hydrides and provides a surface that benefits the charge transfer for improving the hydrogen evolution reaction. During 10 h of the cathodic potential applied, the current densities of the hydrogen evolution reaction for the electrodes were unchanged.

4. Materials and Methods

4.1. Electrodes Synthesis

In order to establish the HER mechanisms on porous-based nickel electrodes, three sets of samples were fabricated as follows: an Ni sample as a reference (Ni-based), a mixed Ni-Cr sample (NiCr-m), and a ball-milled Ni-Cr sample (NiCr-p). Commercial powders of Ni (<45 µm) and Cr (<75 µm) were mixed at a composition of 80 wt% Ni and 20 wt% Cr and were used to fabricate the NiCr-m electrodes by powder metallurgy. The same composition was used for the NiCr-p, and the powders were ball-milled at 400 rpm for 10 h. The three systems were pressed at a pressure of 450 MPa to obtain the green compact of 13 mm in diameter (Figure 11). Next, the samples were sintered in a vertical dilatometer Linsei L75. Two thermal paths were used, one for Ni-based and NiCr-m; these samples were sintered at a temperature of 1000 °C, while the nickel-chromium pre-alloyed (NiCr-p) was sintered at a temperature of 1200 °C; a heating rate of 25 °C/min was used and the holding time at the sintered temperature was about 60 min to obtain the porous electrodes (Figure 12).
Figure 11. Schematic fabrication of green samples from Ni-based powders; (a) before pressed and (b) obtention of the green compact by 450 MPa of the applied load.
Figure 12. Thermal cycle conditions for the sintering of Ni-based electrodes.

4.2. Electrodes Characterization

The three sets of Ni-based porous samples were metallographically prepared with SiC papers for grinding and alumina (Al2O3) powder of 1 µm particle for final polishing. The crystalline structure was assessed by X-ray diffraction (XRD) using a Panalytical Empyrean diffractometer. The XRD patterns were obtained by using the K alpha copper radiation with an energy of 30 kV and 30 mA, with a step size of 0.2° and a time step of 1 s in the range of 20–90°. In addition, a field-emission scanning electron microscope (FE-SEM) (Jeol JSM 7600M) was employed to identify the chemical composition and surface morphology of the Ni-based electrodes systems. The weighted density of each sintered sample was calculated from mass and dimension measurements in order to correlate the porous volume fraction.

4.3. Electrochemical Tests

The electrochemical tests were carried out in a standard three-electrode electrochemical cell, using an alkaline medium of 1.5 M NaOH at room temperature. A platinum wire and a saturated calomel electrode (SCE) were used as the counter electrode and reference electrode, respectively (Figure 13). In order to establish the catalytic properties, the activation energies were evaluated by cathodic polarization curves. The sweep was performed from the cathodic potential of −1.6 V vs. SCE until the equilibrium potential was exceeded at a sweep rate of 1 mV s−1. Then, this test was repeated at different temperatures (30, 40, 50, 60, 70, and 80 °C) to evaluate its catalytic activity. Otherwise, to assess the electrocatalytic stability of the porous Ni-based electrodes, cyclic voltammetry was carried out with the potential cycling between −1.5 V up to −0.6 V vs. SCE with a scan rate of 100 mV s−1 for 1000 cycles. Additionally, the stability of HER was tested by the potentiostatic method for 10 h at an operation potential of −1.5 V vs. SCE.
Figure 13. Electrochemical workstation for the evaluation of the hydrogen evolution reaction on Ni-based electrodes.

5. Conclusions

  • The NiCr-p electrode showed that the chromium was dispersed on the electrode surface caused by the ball-milled process which enhanced the pre-alloyed system formation. Analyzing the intensity of the characteristic signals of the Nickel Miller planes decreased significantly in the diffractogram, indicating the dissolution of chromium in the nickel matrix.
  • The Ni-based electrode has the highest catalytic activity in equilibrium conditions by the lower activation energy obtained. However, the NiCr-p electrode presented a better performance due to the higher negative change of apparent activation energy as a function of cathodic overpotential.
  • During the first 100 operation cycles, the cathodic process was enhanced by an increase in the cathodic current density in the following order: Ni-based, NiCr-m, and NiCr-p, indicating a higher catalytic activity for the pre-alloyed system.
  • Good electrochemical stability was obtained for the Ni-based and NiCr-m electrodes which maintained their cathodic current density after 1000 cycles, practically unchanged. On the other hand, the NiCr-p electrode presented greater stability because its cathodic current increased during the last cycle.
  • The long-term performance at the constant potential was obtained for the NiCr-p which showed the higher cathodic current density that maintains their stability after 10 h of operation.

Author Contributions

M.V.-P.: conceptualization, formal analysis, investigation, writing—original draft preparation, writing-review, and editing. O.V.-G.: investigation and validation. L.O.: methodology and validation. F.R.-C.: investigation and resources. H.J.V.-H.: resources, supervision, and writing—review and editing. J.C.V.: supervision, project administration, resource, writing—review, and editing. All authors have read and agreed to the published version of the manuscript.

Funding

This research was funded by The Consejo Nacional de Ciencia y Tecnología (CONACyT) and supported the doctorate program of Melina Velasco Plascencia Grant ID 759040. Additional funding by Tecnológico Nacional de México (TecNM)—Proyectos de Investigación Científica 2022, Project No. 15130.22P.

Institutional Review Board Statement

Not applicable.

Data Availability Statement

The manuscript “Determination of activation energy on hydrogen evolution reaction for nickel-based porous electrodes during alkaline electrolysis” is an original work and has not been sent elsewhere. All the results are part of the research of the doctoral student Melina Velasco Plascencia. These data will be the basis for future works in the authors’ field of research.

Acknowledgments

The authors would like to thank the support of CONACYT in preparing Velasco-Plascencia’s doctorate studies. They also want to thank the technical support provided by Arturo Molina Ocampo (CIICAp-UAEM) and the Tecnológico Nacional de México (TecNM)—Proyectos de Investigación Científica 2022.

Conflicts of Interest

The authors declare no conflict of interest.

References

  1. Morales-Guio, C.G.; Stern, L.A.; Hu, X. Nanostructured hydrotreating catalysts for electrochemical hydrogen evolution. Chem. Soc. Rev. 2014, 43, 6555–6569. [Google Scholar] [CrossRef] [PubMed]
  2. Badawy, W.A.; Feky, H.E.; Helal, N.H.; Mohammed, H.H. Cathodic hydrogen evolution reaction on molybdenum in NaOH solutions. Int. J. Hydrog. Energy 2013, 38, 9625–9632. [Google Scholar] [CrossRef]
  3. Lasia, A. Hydrogen Evolution Reaction. In Handbook of Fuel Cells—Fundamentals, Technology and Applications; Wiley: Hoboken, NJ, USA, 2010; Volume 815, pp. 416–440. [Google Scholar]
  4. Jaccaud, M.; Leroux, F.; Millet, J.C. New chlor-alkali activated cathodes. Mater. Chem. Phys. 1989, 22, 105–119. [Google Scholar] [CrossRef]
  5. Gilroy, K.D.; Ruditskiy, A.; Peng, H.C.; Qin, D.; Xia, Y. Bimetallic nanocrystals: Syntheses, properties, and applications. Chem. Rev. 2016, 116, 10414–10472. [Google Scholar] [CrossRef]
  6. Yu, W.; Porosoff, M.D.; Chen, J.G. Review of Pt-based bimetallic catalysis: From model surfaces to supported catalysts. Chem. Rev. 2012, 112, 5780–5817. [Google Scholar] [CrossRef] [PubMed]
  7. Liang, H.; Zhang, H.; Hu, J.; Guo, Y.; Wan, L.; Bai, C. Pt hollow nanospheres: Facile synthesis and enhanced electrocatalysts. Angew. Chem. 2004, 116, 1566–1569. [Google Scholar] [CrossRef]
  8. Li, X.; Yang, J.; Feng, X.; Hu, Y.; Zou, H.; Zhang, C.; Xiong, L.; Zheng, X.; Liu, Y. Electrochemical performance of porous Ni-Cr-Mo-Cu alloys for hydrogen evolution reaction in alkali solution. Mater. Res. Express 2020, 7, 95505. [Google Scholar] [CrossRef]
  9. Wang, M.; Yang, H.; Shi, J.; Chen, Y.; Zhou, Y.; Wang, L.; Di, S.; Zhao, X.; Zhong, J.; Cheng, T. Alloying Nickel with Molybdenum Significantly Accelerates Alkaline Hydrogen Electrocatalysis. Angew. Chem. 2021, 133, 5835–5841. [Google Scholar] [CrossRef]
  10. Shervedani, R.K.; Alinoori, A.H.; Madram, A.R. Electrocatalytic activities of nickel-phosphorous composite coating reinforced with codeposited graphite carbon for hydrogen evolution reaction in alkaline solution. J. New Mater. Electrochem. Syst. 2008, 11, 259–265. [Google Scholar]
  11. Raj, I.A.; Vasu, K.I. Transition metal-based cathodes for hydrogen evolution in alkaline solution: Electrocatalysis on nickel-based ternary electrolytic codeposits. J. Appl. Electrochem. 1992, 22, 471–477. [Google Scholar] [CrossRef]
  12. Santos, H.L.S.; Corradini, P.G.; Medina, M.; Dias, J.A.; Mascaro, L.H. NiMo-NiCu inexpensive composite with high activity for hydrogen evolution reaction. ACS Appl. Mater. Interfaces 2020, 12, 17492–17501. [Google Scholar] [CrossRef]
  13. Gong, M.; Wang, D.Y.; Chen, C.C.; Hwang, B.J.; Dai, H. A mini review on nickel-based electrocatalysts for alkaline hydrogen evolution reaction. Nano Res. 2016, 9, 28–46. [Google Scholar] [CrossRef]
  14. Cheng, X.; Wang, L.; Xie, L.; Sun, C.; Zhao, W.; Liu, X.; Zhuang, Z.; Liu, S.; Zhao, Q. Defect-driven selective oxidation of MoS2 nanosheets with photothermal effect for Photo-Catalytic hydrogen evolution reaction. Chem. Eng. J. 2022, 439, 135757. [Google Scholar] [CrossRef]
  15. Liu, M.; Li, H.; Liu, S.; Wang, L.; Xie, L.; Zhuang, Z.; Sun, C.; Tang, M.; Sun, S.; Liu, S.; et al. Tailoring activation sites of metastable distorted 1T′-phase MoS2 by Ni doping for enhanced hydrogen evolution. Nano Res. 2022, 115, 5946–5952. [Google Scholar] [CrossRef]
  16. Nady, H.; El-Rabiei, M.; Samy, M.; Deyab, M.; Abd El-Hafez, G.M. Novel Ni–Cr-based alloys as hydrogen fuel sources through alkaline water electrolytes. Int. J. Hydrogen Energy 2021, 46, 34749–34766. [Google Scholar] [CrossRef]
  17. Suprianto; Chen, C.-L. Study of (Ni,Cr) pre-milling for synthesis of CoFe(NiCr)Mn high entropy alloy by mechanical alloying; Mater. Sci. Eng. A 2021, 807, 140810. Mater. Sci. Eng. A 2021, 807, 140810. [Google Scholar] [CrossRef]
  18. Xiao, Y.; Liu, Y.; Tang, Z.; Wu, L.; Zeng, Y.; Xu, Y.; He, Y. Porous Ni–Cr–Fe alloys as cathode materials for the hydrogen evolution reaction. RSC Adv. 2016, 6, 51096–51105. [Google Scholar] [CrossRef]
  19. Cardoso, D.S.P.; Amaral, L.; Santos, D.M.F.; Šljukić, B.; Sequeira, C.A.C.; Macciò, D.; Saccone, A. Enhancement of hydrogen evolution in alkaline water electrolysis by using nickel-rare earth alloys. Int. J. Hydrogen Energy 2015, 40, 4295–4302. [Google Scholar] [CrossRef]
  20. Damian, A.; Omanovic, S. Ni and NiMo hydrogen evolution electrocatalysts electrodeposited in a polyaniline matrix. J. Power Sources 2006, 158, 464–476. [Google Scholar] [CrossRef]
  21. Kellenberger, A.; Vaszilcsin, N.; Brandl, W.; Duteanu, N. Kinetics of hydrogen evolution reaction on skeleton nickel and nickel–titanium electrodes obtained by thermal arc spraying technique. Int. J. Hydrogen Energy 2007, 32, 3258–3265. [Google Scholar] [CrossRef]
  22. Sun, Q.; Dong, Y.; Wang, Z.; Yin, S.; Zhao, C. Synergistic nanotubular copper-doped nickel catalysts for hydrogen evolution reactions. Small 2018, 14, 1704137. [Google Scholar] [CrossRef] [PubMed]
  23. Xia, M.; Lei, T.; Lv, N.; Li, N. Synthesis and electrocatalytic hydrogen evolution performance of Ni-Mo-Cu alloy coating electrode. Int. J. Hydrogen Energy 2014, 39, 4794–4802. [Google Scholar] [CrossRef]
  24. Sapountzi, F.M.; Gracia, J.M.; Kees-Jan, C.J.; Hans, W.; Fredriksson, O.A.; Niemanstsverdriet, J.W. Electrocatalysts for generation of hydrogen, oxygen and synthesis gas. Prop. Energy Combust. Sci. 2017, 58, 1–35. [Google Scholar] [CrossRef]
  25. Durovic, M.; Hnát, J.; Bouzek, K. Electrocatalysts for the hydrogen evolution reaction in alkaline and neutral media. A comparative review. J. Power Sources 2021, 493, 229708. [Google Scholar] [CrossRef]
  26. Yu, F.; Li, F.; Sun, L. Stainless steel as an efficient electrocatalyst for water oxidation in alkaline solution. Int. J. Hydrogen Energy 2016, 41, 5230–5233. [Google Scholar] [CrossRef]
  27. Safizadeh, F.; Ghali, E.; Houlachi, G. Electrocatalysis developments for hydrogen evolution reaction in alkaline solutions—A Review. Int. J. Hydrogen Energy 2015, 40, 256–274. [Google Scholar] [CrossRef]
  28. Paunovic, P.; Dimitrov, A.T.; Popovski, O.; Slavkov, D.; Jordanov, S.H. Effect of carbon nanotubes support in improving the performance of mixed electrocatalysts for hydrogen evolution. Maced. J. Chem. Eng. 2007, 26, 87–93. [Google Scholar]
  29. Wu, X.; Gao, Q.; Li, Z. Effects of additives on morphology and hydrogen evolution activities of nickel films prepared by electrodepositing. Int. J. Electrochem. Sci. 2015, 10, 8823–8833. [Google Scholar]
  30. Narayanan, S.P.; Thakur, P.; Balan, A.P.; Abraham, A.A.; Mathew, F.; Yeddala, M.; Subair, T.; Tiwary, C.; Thomas, S.; Narayanan, T.N.; et al. Two-Dimensional Amorphous Cr2O3 Modified Metallic Electrodes for Hydrogen Evolution Reaction. Phys. Status Solidi (RRL)—Rapid Res. Lett. 2019, 13, 1900025. [Google Scholar] [CrossRef]
  31. Vidales, A.G.; Choi, K.; Omanovic, S. Nickel-cobalt-oxide cathodes for hydrogen production by water electrolysis in acidic and alkaline media. Int. J. Hydrog. Energy 2018, 43, 12917–12928. [Google Scholar] [CrossRef]
  32. Chade, D.; Berlouis, L.; Infield, D.; Nielsen, P.T.; Mathiesen, T. Deactivation Mechanisms of Atmospheric Plasma Spraying Raney Nickel Electrodes. J. Electrochem. Soc. 2016, 163, F308. [Google Scholar] [CrossRef]
  33. Jian, T.; Xu, J.-L.; Li, L.-L.; Ma, Y.-C.; Ye, Z.G.; Luo, H.-Y.; Luo, J.-M. In-situ hydrothermal synthesis of Ni–MoO2 heterostructure on porous bulk NiMo alloy for efficient hydrogen evolution reaction. Trans. Nonferrous Met. Soc. China 2022, 32, 1598–1608. [Google Scholar]
  34. Zhang, Y.; Pan, J.; Gong, G.; Song, R.; Yuan, Y.; Li, M.; Hu, W.; Fan, P.; Yuan, L.; Wang, L. In Situ Surface Reconstruction of Catalysts for Enhanced Hydrogen Evolution. Catalysts 2023, 13, 120. [Google Scholar] [CrossRef]
  35. Xu, J.L.; Li, L.L.; Tang, J.; Dai, L.; Li, X.B.; Ye, Z.G.; Luo, J.M. Powder metallurgy synthesis of porous NiMo alloys as efficient electrocatalysts to enhance the hydrogen evolution reaction. J. Alloys Compd. 2021, 865, 158901. [Google Scholar] [CrossRef]
Disclaimer/Publisher’s Note: The statements, opinions and data contained in all publications are solely those of the individual author(s) and contributor(s) and not of MDPI and/or the editor(s). MDPI and/or the editor(s) disclaim responsibility for any injury to people or property resulting from any ideas, methods, instructions or products referred to in the content.

Article Metrics

Citations

Article Access Statistics

Multiple requests from the same IP address are counted as one view.