Abstract
A 5 wt% BaMnO3-CeO2 composite catalyst prepared by the one-pot method exhibits extraordinary catalytic performance for nitrogen monoxide (NO) direct decomposition into N2 and O2; however, the reasons for the high activity remain to be explored. Here, the catalyst was prepared by mechanical mixing and then subjected to thermal treatment at different temperatures (600–800 °C) to explore the underlying reasons. The thermal pre-treatment at temperatures higher than 600 °C can improve the catalytic activity of the mechanically mixed samples. The 700 °C-treated 5%BaMnO3-CeO2 sample shows the highest activity, with NO conversion to N2 of 13.4%, 40.6% and 57.1% at 600, 700, and 800 °C, respectively. Comparative activity study with different supports (ZrO2, TiO2, SiO2, Al2O3) reveals that CeO2 is indispensable for the high performance of a BaMnO3-CeO2 composite catalyst. The Ce species (mainly Ce3+) in CeO2 components diffuse into the lattice of BaMnO3, generating oxide ion vacancy in both components as evidenced by X-ray photoelectron spectroscopy and Raman spectra, which accelerates the rate-determining step and thus higher activity. The chemisorption results show that the interaction between BaMnO3 and CeO2 leads to higher redox activity and mobility of lattice oxygen. This work demonstrates that engineering the oxide ion vacancy, e.g., by thermal treatment, is an effective strategy to enhance the catalytic activity towards NO direct decomposition, which is expected to be applicable to other heterogeneous catalysts involving oxide ion vacancy.
1. Introduction
The nitrogen oxides (NOx, including mainly NO and NO2) can jeopardize human health and the natural environment by acid rain, photochemical smog, ozone layer depletion, etc. Selective catalytic reduction, selective non-catalytic reduction, and NOx storage and reduction have been widely applied in the purification of NOx emitted from mobile vehicles and industrial process [1]. Among the various technologies, NO direct decomposition (2NO → N2 + O2) is regarded as the most desirable NOx abatement technology because this reaction is thermodynamically favorable, eco-friendly and requires no additional reductant. However, its application is hindered by the sluggish reaction rate due to the high activation energy (~335 kJ mol−1) [2]. The core lies in the catalysts of high performance. Therefore, various catalysts have been developed for NO direct decomposition, including noble metals, simple metal oxides, rare-earth metal oxides, perovskite-type metal oxides, zeolites and other catalysts [3,4].
In recent years, the Co3O4-based simple metal oxide catalysts have been paid much attention based on early research [5]. The effect of elemental modification [6,7,8,9,10] and combining with other oxides [11] has been extensively investigated. However, the biggest issues with the simple oxides are their moderate activity and high sensitivity to O2. For example, the NO conversion to N2 of K-promoted Co-Zn-Mn-Al mixed oxide is ~52% at 700 °C, which decreases sharply to only ~8% after introducing 2 mol% O2 [8]. In such context, the perovskite-based complex oxides (ABO3) can be an alternative to solve the issues above considering their powerful doping capability at both A- and B-sites [3]. The activity of LaMnO3 and BaMnO3 can be enhanced by doping at La/Ba- and Mn- sites via tuning the amount of oxide ion vacancy and the mobility of lattice oxygen [12]. The Ba3Y3.6Cu0.4O9 showed an N2 yield of 81% at 700 °C and 3 g s m−3 and good stability in 1% O2-containing atmosphere [13]. However, one issue with the perovskite-based oxides is their low specific surface area, which results from the high calcination temperature required to obtain the desirable phase. It limits the further improvement of catalytic performance. Loading the perovskite oxides on the supports by impregnation is a typical choice, but it is time-consuming.
Aiming to find high-performance catalysts for NO direct decomposition, our group focused on the perovskite–CeO2 composite catalysts considering the appealing properties of both components [3]. The citric acid–nitrate method was employed to synthesize the catalysts to obtain a high surface area. Our recent work revealed that the obtained perovskite–CeO2 composite oxides are very promising catalysts for NO direct decomposition in terms of catalytic activity, oxygen resistance and durability [14,15,16]. The 5%BaCoO3-CeO2 catalyst shows NO conversion to N2 of 75.6% at 800 °C and 1.5 g s cm−3 [14,15], which increases to 85.9% when the perovskite component is changed to BaMnO3 [16]. The 5% BaMnO3-CeO2 catalyst exhibits 66.5% activity even in the presence of 10 vol% O2 and runs stable for more than 200 h in 5 vol% O2 at 800 °C [16]. Such attractive performance was attributed to the strong interaction between the perovskite and CeO2 components. It is further confirmed by the results of the influence of the preparation method. Among the samples prepared by the one-pot, impregnation, and mechanical mixing methods, the one-pot derived samples show the highest activity [15].
Although the one-pot method can produce catalysts of high performance, it is a great challenge to explore the exact interaction between the perovskite and CeO2 components considering the complex composition. Herein, the catalysts prepared by the mechanical mixing method were employed to investigate the interaction. The influence of thermal treatment on the catalytic performance of 5% BaMnO3-CeO2 was explored.
2. Results and Discussion
2.1. Catalytic Performance
Figure 1a displays the NO conversion to N2 over 5%BaMnO3-CeO2 prepared by mechanical mixing (BaMnO3-CeO2-M). Compared with pure BaMnO3, the BaMnO3-CeO2-M catalyst exhibits similar NO conversion at 500–600 °C but enhanced activity at temperatures >600 °C. The NO conversion to N2 over BaMnO3-CeO2-M is 61.8% at 850 °C, which is about four times that of pure BaMnO3 (12.4%). Since the BaMnO3 and CeO2 powders were only mixed manually, their interaction must be very weak, which should be responsible for similar activity at medium temperatures. The testing temperature higher than 600 °C can be regarded as an in-situ thermal treatment process, which enhances the interaction and thus improved activity at higher temperatures. It is also noted that the one-pot derived sample (BaMnO3-CeO2-O) exhibits much higher activity than BaMnO3-CeO2-M, which infers stronger intimated interaction between the components in the former sample.
Figure 1.
Catalytic activity of (a) BaMnO3-CeO2-M and (b) BaMnO3-AxOy-M (A = Ce, Zr, Ti, Si and Al). The BaMnO3-CeO2-O, BaMnO3 and CeO2 samples were also included for comparison. Reaction conditions: 2 vol% NO/He, 1.5 g s cm−3, 500–850 °C.
We also tested the activity of BaMnO3 mixed with other classical supports such as ZrO2, TiO2, SiO2 and Al2O3. The specific surface area of those supports (20–40 m2 g−1) was controlled to be similar with that of CeO2 (26 m2 g−1) except for SiO2 (172 m2 g−1) in order to minimize the influence of geometric factors on catalytic activity. It is interesting to find that only CeO2 can substantially improve the catalytic activity whereas other supports all suppress the activity of BaMnO3 (Figure 1b). The results clearly reveal that CeO2 is critical for the high performance of the BaMnO3-CeO2 catalyst.
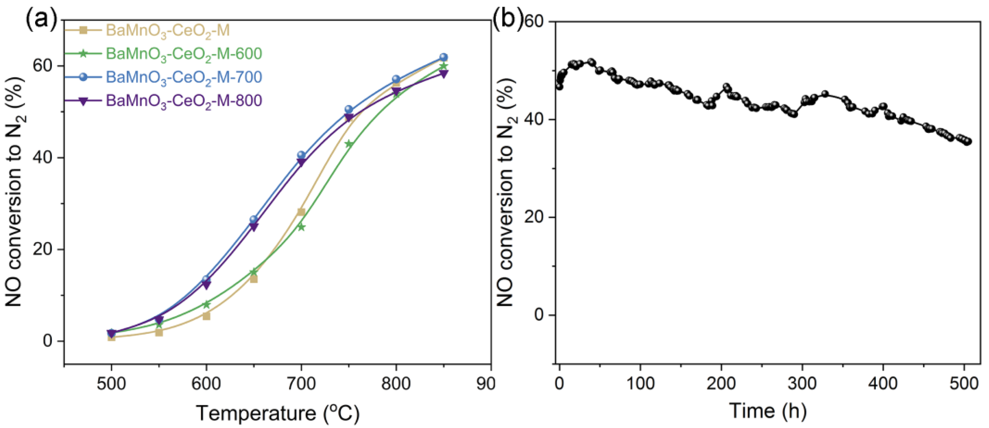
Considering that the elevated temperature probably promotes the interaction between the components (Figure 1a), the BaMnO3-CeO2-M samples were pretreated at 600–800 °C before the catalytic activity test. The 600 °C-treated sample (BaMnO3-CeO2-M-600) shows almost similar activity with BaMnO3-CeO2-M over the whole temperature range (Figure 2a). In contrast, 700 and 800 °C calcination (BaMnO3-CeO2-M-700/800) enhances the activity clearly. The BaMnO3-CeO2-M-700 sample shows the highest activity, 26.5%, 40.6% and 50.5% at 650, 700 and 750 °C, respectively, which increases by ~17%, ~20% and ~15% compared with BaMnO3-CeO2-M. BaMnO3-CeO2-M-800 shows slightly lower activity than BaMnO3-CeO2-M-700, but still higher than BaMnO3-CeO2-M. Accordingly, the thermal treatment above 600 °C can improve the catalytic activity of BaMnO3-CeO2-M. Furthermore, BaMnO3-CeO2-M-700 shows a rather stable durability in the 5 vol% O2-containing atmosphere at 800 °C, with only ~11% decrease over more than
Figure 2.
(a) Catalytic activity of BaMnO3-CeO2-M thermally pre-treated at different temperatures (600, 700 and 800 °C). Reaction conditions: 2 vol% NO/He, 1.5 g s cm−3, 500–850 °C. (b) Durability of BaMnO3-CeO2-M-700 in O2-containing atmosphere. Reaction conditions: 2 vol% NO/He, 5 vol% O2, 1.5 g s cm−3, 800 °C. 500 h.
(Figure 2b). As aforementioned, although the activity of BaMnO3-CeO2-M-700 is lower than that of BaMnO3-CeO2-O, it is still higher than or comparable with that of the reported finely designed perovskite-based catalysts, e.g.,~43% at 800 °C and 4 g s m−3 for La0.8Sr0.2CoO3 [17], 63.7% at 800 °C and 3 g s m−3 for La0.7Ba0.3Mn0.8In0.2O3 [12], 39% at 650 °C and 3 g s m−3 for La0.66Sr0.34Ni0.3Co0.7O3 [18].
2.2. XRD and SSA
To explore the reasons for the promoting effect of thermal treatment on BaMnO3-CeO2-M, various characterization was performed. The X-ray diffraction (XRD) pattern of 5%BaMnO3-CeO2-M (Figure 3) shows strong diffraction of CeO2 but weak diffraction of BaMnO3 due to their different contents, similar to our previous work [15]. The thermal pretreatment, even at 700 and 800 °C, shows no influence on the positions of the diffraction peaks, which indicates very limited, if not no, elemental diffusion between the two components. However, the diffraction peaks of CeO2 in BaMnO3-CeO2-M-700 become weaker and wider, which is due to the reduced CeO2 grain size (22.9 nm) compared with that in BaMnO3-CeO2-M (24.3 nm) and BaMnO3-CeO2-M-800 (26.6 nm) according to the Scherrer equation (Table 1). Therefore, the thermal treatment at 700 °C can suppress the CeO2 grain growth, which is beneficial for NO direct decomposition. However, if temperature is too high (800 °C) treatment will again accelerate the grain growth, which may result in slightly decreased activity.
Figure 3.
(a) XRD patterns of BaMnO3-CeO2-M and BaMnO3-CeO2-M-T (T = 700 and 800 °C) catalysts in the 2θ range of 20–80°. (b) Enlargement of the XRD patterns in the 2θ range of 27–32°.
Table 1.
CeO2 grain size, SSA, content of Mn, Ce and O species based on the XPS results, and ID/IF2g in Raman spectra.
The scanning electron microscopy (SEM) results of the catalysts are shown in Figure 4. Rather serious agglomeration of BaMnO3 and CeO2 can be found for the BaMnO3-CeO2-M and BaMnO3-CeO2-M-600 samples; however, the thermal treatment at 700 and 800 °C weakens the agglomeration while increasing the particle size, which is in accordance with the reduced specific surface area (SSA) as discussed below.
Figure 4.
SEM microstructures of the (a) pristine mechanically mixed sample and treated at (b) 600 °C, (c) 700 °C, and (d) 800 °C.
As shown in Table 1, the SSA of BaMnO3-CeO2-M is 26 m2 g−1. The thermal treatment at 600–800 °C reduces SSA gradually, which is 24, 22 and 17 m2 g−1 for BaMnO3-CeO2-M-600, 700 and 800, respectively. Although high surface area is generally beneficial for the catalytic activity, the BaMnO3-CeO2-M-700 and 800 samples, with lower surface area, show higher activity compared with BaMnO3-CeO2-M, which suggests that the chemical interaction between the two components is the predominant activity.
2.3. XPS and UV Raman Spectra
In order to reveal the interaction between the two components of BaMnO3 and CeO2, X-ray photoelectron spectroscopy (XPS) was run and the results are shown in Figure 5. In the Ba 3d spectra (Figure 5a), the peaks at ~779.2/~794.5 eV are attributed to Ba2+ in BaMnO3, and those at ~780.4/~795.7 eV to Ba2+ in BaCO3 [19,20]. With increasing heat-treatment temperature, the Ba 3d spectra shift toward higher binding energy and the peak area of Ba2+ in BaCO3 increases, i.e., the transformation of Ba2+ in BaMnO3 to BaCO3 due to the reaction of highly dispersed BaMnO3 with the atmospheric CO2.
Figure 5.
XPS spectra of (a) Ba 3d, (b) Mn 2p, (c) Ce 3d and (d) O 1s for BaMnO3-CeO2.
For the Mn 2p spectra (Figure 5b), the peaks at ~641.7/~653.2 eV and ~642.6/~654.1 eV are assigned to Mn3+ and Mn4+, respectively [19,21,22]. The peaks gradually shift to lower binding energy with the heat-treatment temperature, which indicates partial transformation of Mn species to lower oxidation states (Mn4+→Mn3+→Mn2+). According to Table 1, the Mn species exist mainly as Mn3+ at the surface of the catalysts. For the mechanically mixed samples, the Mn3+ content increases with the baking temperature, which reaches a maximum for the 700 °C-baked sample and then decreases for the 800 °C-baked one. It is also found that the one-pot prepared sample shows the highest content of Mn3+. The trend of Mn3+ content is in agreement with the activity. The peak positions of both Ce3+ (v’ and u’) and Ce4+ (other peaks) [19,23] remain unchanged in the mixed samples (Figure 5c). However, the content of Ce4+ species increases with the treatment temperature (Table 1).
The O 1s spectra (Figure 5d) can be divided into lattice oxygen (OI, 529.0~529.2 eV), surface-adsorbed oxygen (OII, 530.9~531.3 eV) and adsorbed molecular water (OIII, 533.1~534.5 eV) [19,24]. The concentration of OII, related to the oxide ion vacancy, increases with the heat-treatment temperature until 700 °C and then decreases slightly. Again, the one-pot sample shows the highest content of OII. The increasing Mn3+ species in BaMnO3 can be compensated by oxide ion vacancy to achieve charge balance. Expectedly, the content of Mn3+ and OII show similar trend with the composition (Table 1).
To further determine the oxide ion vacancy, the ultraviolet (UV) Raman spectra were collected and the results are shown in Figure 6. The Raman characteristic bands at 462, 570 and 1179 cm−1 in pure CeO2 can be assigned to the oxygen breathing frequency around the Ce4+ ions (F2g mode) [25], defect sites (oxide ion vacancy, D) and second-order longitudinal optical (2LO) mode, respectively [26,27]. In the composite catalysts, the band at ~651 cm−1 is attributed to BaMnO3 [28], indicating the simultaneous existence of two components. Based on the Raman spectra, there is no diffusion of Ba or Mn species to CeO2 in BaMnO3-CeO2-M-T samples, as evidenced by the constant position of the F2g and 2LO peaks. Since the content of surface oxide ion vacancy is closely related with the relative intensity of the D band to the F2g band in the UV Raman spectra [27,29], ID/IF2g was calculated and the results are provided in Table 1. ID/IF2g increases with the thermal treatment temperature until 700 °C and then decreases slightly at 800 °C, indicating that increased oxide ion vacancies are created in the CeO2 component during the thermal treatment. Furthermore, BaMnO3-CeO2-O delivers the largest ID/IF2g, i.e., highest concentration of oxide ion vacancy.
Figure 6.
UV Raman spectra of various catalysts.
Based on the results above, we can propose that during the heat treatment, certain amounts of Ce species (probably Ce3+) in CeO2 diffuse into the lattice of BaMnO3, replacing the Mn4+ species () in BaMnO3 and leaving Ce vacancy () in CeO2. Consequently, oxide ion vacancy () in BaMnO3, Ce4+ () and in CeO2 are generated to achieve the charge balance. Our previous mechanistic study reveals that the oxide ion vacancy is involved in the rate-determining step (RDS) of BaMnO3-CeO2, where NO2−* reacts with NO* and oxide ion vacancy to form N2O*, O2− and O* [16]. Higher concentration of oxide ion vacancy will accelerate the reaction of the RDS. Accordingly, the thermal pretreatment promotes the generation of oxide ion vacancy and thus higher activity.
2.4. Chemisorption Properties
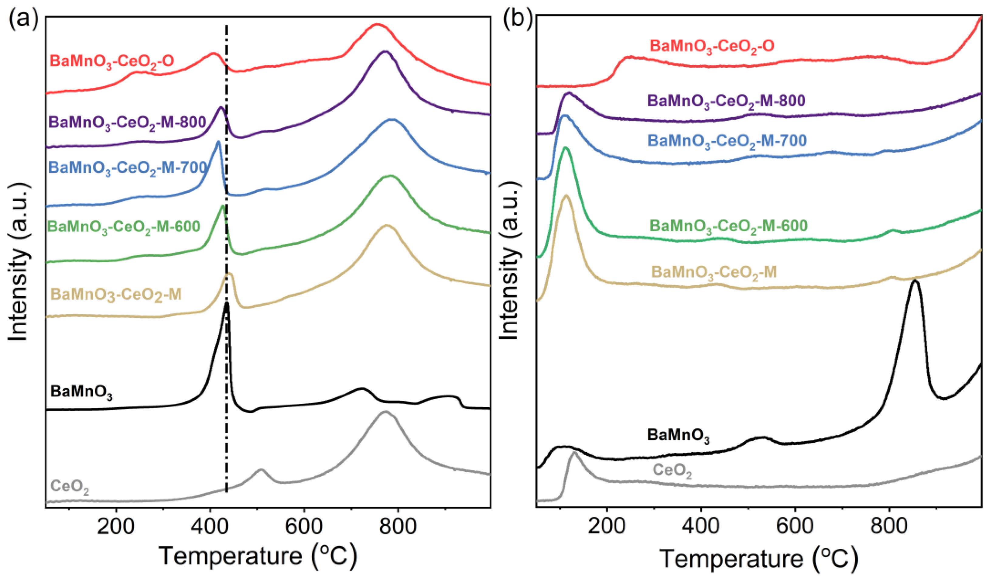
To unearth the chemical interaction between the components during thermal treatment, the chemisorption was run. In the hydrogen temperature-programmed reduction (H2-TPR) profiles (Figure 7a), BaMnO3 shows three main peaks at ~440, ~700, and ~875 °C, corresponding to the reduction of Mn4+ to Mn3+, Mn3+ to Mn2+ species in the bulk, and decomposition of residual carbonate, respectively [30,31]. The shoulder peaks at ~410 and ~480 °C are due to the reduction of Mn4+ and Mn3+ species at the surface [30]. Pure CeO2 exhibits two peaks at ~510 and ~780 °C due to the reduction of Ce4+ species at the surface and in the bulk, respectively [14,15]. The profile of BaMnO3-CeO2-M tends to be a simple combination of pure BaMnO3 and CeO2, indicating constant reducibility due to limited interaction between the two components in the mechanically mixed catalyst. The thermal treatment at temperatures ≥600 °C can clearly increase the reduction activity of BaMnO3 as evidenced by the shift to lower temperatures. In addition, BaMnO3-CeO2-O exhibits the lowest reduction temperature among all the samples, which is consistent with its highest reducibility. Since the NO direct decomposition is a redox reaction [32], the higher reducibility of the catalysts is beneficial for the reaction and thus higher activity.
Figure 7.
(a) H2-TPR and (b) O2-TPD profiles of various catalysts.
For oxygen temperature-programmed desorption (O2-TPD) profiles (Figure 7b), BaMnO3 shows three desorption peaks assigned to chemically adsorbed oxygen species (α oxygen, O2−, <200 °C), oxygen at the surface oxide ion vacancy (β oxygen, O−, 400–600 °C) and lattice oxygen (γ oxygen, O2−, >700 °C), respectively [13,14,15]. Among them, the β and γ oxygen species are closely related to the catalytic activity and thus profiles within 400–1000 °C are focused. Compared with BaMnO3, the desorption peaks of β oxygen shift to higher temperatures whereas γ oxygen shifts to lower temperatures for BaMnO3-CeO2 composited oxides. The desorption peak area of β and γ oxygen decreases in the order of BaMnO3-CeO2-O > BaMnO3-CeO2-M-700 > BaMnO3-CeO2-M-800 > BaMnO3-CeO2-M-600 > BaMnO3-CeO2-M, which is generally consistent with the catalytic activity trend. The higher thermal treatment temperature can efficiently enhance the sorption of oxygen species and mobility of lattice oxygen, which is conducive to the NO direct decomposition [13].
As a summary, the surface area, content of oxide ion vacancy, reducibility, and mobility of lattice oxygen contribute to the catalytic activity of the BaMnO3-CeO2 catalyst for NO direct decomposition. In particular, the amount of oxide ion vacancy is more important considering that it is involved in the RDS. Accordingly, the BaMnO3-CeO2-M-700 sample shows the highest activity among the mechanically mixed samples, although it is still lower than BaMnO3-CeO2-O prepared by a different method. This result suggests that simply heating the mechanically mixed BaMnO3 and CeO2 at elevated temperatures can effectively promote the NO direct decomposition activity. Such conclusion is supposed to be applicable to other heterogeneous catalysts involving oxide ion vacancy.
Finally, we would like to discuss the effect of support. As shown in Figure 1b, only CeO2 can significantly enhance the catalytic activity of BaMnO3 whereas others (ZrO2, TiO2, Al2O3, and SiO2) cannot. As aforementioned, the Ce species in CeO2 diffuse into BaMnO3 and result in the formation of oxide ion vacancy in both components. BaCeO3 is a typical proton-conducting material for various applications [33]. Although similar diffusion can happen for Zr and Ti, considering the well-known BaZrO3 and BaTiO3 materials, the less easy valance change compared with Ce species in CeO2 probably limits their effect. The oxidation states of Al/Si species in Al2O3/SiO2 can be deemed as unchanged, which makes the formation of an oxide ion vacancy in those components hard and thus low-activity since an oxide ion vacancy is deemed necessary for the active sites for NO direct decomposition [3]. In addition, in the mechanically mixed samples, the coverage of active sites in BaMnO3 by those supports should be partly responsible for the lowered activity.
3. Experimental
3.1. Catalyst Preparation
The BaMnO3 and CeO2 catalysts were separately synthesized by the citric acid–nitrate method as reported previously [14,15,16], as schematically shown in Scheme 1. Briefly, stoichiometric amounts of Ba(NO3)2, Mn(NO3)2·4H2O for BaMnO3 and Ce(NO3)3·6H2O for CeO2, ethylene diamine tetraacetic acid (EDTA) in ammonia hydroxide and citric acid were mixed. The molar ratio of total metal ions:EDTA:citric acid was 1:1:2 and the pH was adjusted to ~8 by ammonia hydroxide. The solution was heated, which became a sol, then a gel, and finally combusted. The combusted powders were collected and calcined at 700 °C for 6 h, and BaMnO3 and CeO2 powders were obtained.
Scheme 1.
Citric acid–nitrate route to synthesize the BaMnO3 and CeO2 powders.
The 5 wt% BaMnO3-CeO2 catalyst was prepared by mechanical mixing with a mortar and pestle by hand for 1 h, denoted by BaMnO3-CeO2-M, which was then subjected to thermal treatment at 400, 600, 700 and 800 °C for 6 h, respectively. The resultant samples were named as BaMnO3-CeO2-M-T (T was thermal treatment temperature). In addition, 5%BaMnO3-AxOy-M (A = Zr, Ti, Si and Al) catalysts were also prepared by a similar procedure except that the supports AxOy are commercial products, with specific surface areas (SSAs) of 21, 25, 172 and 37 m2 g−1 for ZrO2, TiO2, SiO2 and Al2O3, respectively. The one-pot 5 wt% BaMnO3-CeO2 (BaMnO3-CeO2-O) sample [16] was also included for comparison.
3.2. Catalytic Performance Test
The as-prepared catalysts were pressed, crushed and sieved into particles of 40–60 mesh. NO direct decomposition was carried out in a fixed-bed quartz glass tube reactor of 10 mm internal diameter under 2 vol% NO/He (20 mL min−1) with the contact time of 1.5 g s cm−3. 5 vol% O2 was also introduced to examine the long-term stability under an O2-containing atmosphere of the catalyst while keeping the total flow rate constant by adjusting He. The N2 concentration in the reactor outlet was analyzed by an online gas chromatography system (Agilent 6890N) equipped with a thermal conductivity detector and molecular sieve 5A column. Steady-state results from GC were measured from 500 to 850 °C with an interval of 50 °C. The catalytic activity is evaluated by NO conversion to N2.
3.3. Catalyst Characterization
The crystal structure was analyzed by XRD (Rigaku D/Max-2500) with monochromatic Cu Kα radiation in the 2θ range of 20–80° at a scan rate of 2° min−1. The microstructures of the catalysts were observed by SEM (Hitachi S-4800, Hitachi, Japan) equipped with an energy-dispersive spectroscopy (EDS) unit. The SSA was determined on Quantachrome Autosorb-1 with nitrogen sorption at −196 °C after degassing at 250 °C for 4 h under vacuum. The UV Raman spectra were recorded at room temperature on a Renishaw laser Raman spectrometer (inVia reflex) with laser excitation at 325 nm. The reducibility and O2 desorption properties were examined by H2-TPR and O2-TPD on a Xianquan TP-5076, respectively. The samples were pretreated at 200 °C for 30 min and then cooled to room temperature (RT) under pure N2 before running an H2-TPR test in 5 vol% H2/N2 (30 mL min−1) from RT to 1000 °C. The catalysts were pretreated at 500 °C for 30 min and cooled to RT under pure O2 (30 mL min−1), followed byan O2-TPD test in pure He from RT to 1000 °C. XPS (Thermo Scientific (Waltham, MA, USA) K-Alpha) was conducted on a SPECS system with Al Kα as X-ray source under a vacuum pressure of 5 × 10−8 Pa. The binding energy was calibrated with adventitious carbon 1 s at 284.8 eV.
4. Conclusions
We investigated the effect of thermal treatment on the catalytic performance over BaMnO3-CeO2 composite catalysts prepared by the mechanical mixing method. CeO2 is crucial for the high performance of 5%BaMnO3-CeO2 compared with other conventional supports. The thermal treatment at >600 °C can improve catalytic performance. The 700 °C-treated samples show NO conversion to N2 of 26.5%, 40.6% and 50.5% at 650, 700 and 750 °C, increased by ~17%, ~20% and 15%, respectively, compared with the pristine mechanically mixed sample. The promoting effect of higher-temperature thermal treatment is originated from the diffusion of Ce species into BaMnO3, which can increase the content of oxide ion vacancy in both BaMnO3 and CeO2 components and thus is beneficial for the RDS. In addition, increased interaction between BaMnO3 and CeO2 can improve the redox activity and mobility of lattice oxygen. This work sheds light on the design of high-performance catalysts for NO direct decomposition by engineering the oxide ion vacancy.
Author Contributions
Investigation, Formal analysis, Validation and Writing—Original Draft, H.N.; Investigation Formal analysis and Writing—Original Draft, W.J.; Conceptualization, Supervision and Resources., Y.L.; Conceptualization, Supervision and Writing—Review & Editing, C.Z. All authors have read and agreed to the published version of the manuscript.
Funding
This work was funded by [the National Natural Science Foundation of China] grant number [51702230], [the Program of Innovative Research Teams in Universities] grant number [IRT 0641) and [Tianjin University] grant number [2021XYF-0080].
Institutional Review Board Statement
Not applicable.
Informed Consent Statement
Not applicable.
Data Availability Statement
The data presented in this study are available on request from the corresponding author.
Conflicts of Interest
The authors declare no conflict of interest.
References
- Gholami, F.; Tomas, M.; Gholami, Z.; Vakili, M. Technologies for the nitrogen oxides reduction from flue gas: A review. Sci. Total Environ. 2020, 714, 136712. [Google Scholar] [CrossRef] [PubMed]
- Wise, H.; Frech, M.F. Kinetics of decomposition of nitric oxide at elevated temperatures. I. Rate measurements in a Quartz Vessel. J. Chem. Phys. 1952, 20, 22–24. [Google Scholar] [CrossRef]
- Xie, P.; Ji, W.; Li, Y.; Zhang, C. NO direct decomposition: Progress, challenges and opportunities. Catal. Sci. Technol. 2021, 11, 374–391. [Google Scholar] [CrossRef]
- Zhang, Y.; Cao, G.; Yang, X. Advances in De-NOx methods and catalysts for direct catalytic decomposition of NO: A review. Energy Fuels 2021, 35, 6443–6464. [Google Scholar] [CrossRef]
- Amirnazmi, A.; Benson, J.; Boudart, M. Oxygen inhibition in the decomposition of NO on metal oxides and platinum. J. Catal. 1973, 30, 55–65. [Google Scholar] [CrossRef]
- Peck, T.; Roberts, C.; Reddy, G. Contrasting effects of potassium addition on M3O4 (M = Co, Fe, and Mn) oxides during direct NO decomposition catalysis. Catalysts 2020, 10, 561. [Google Scholar] [CrossRef]
- Jirátová, K.; Pacultová, K.; Karásková, K.; Balabánová, J.; Obalová, L. Direct decomposition of NO over Co-Mn-Al mixed oxides: Effect of Ce and/or K promoters. Catalysts 2020, 10, 808. [Google Scholar] [CrossRef]
- Karásková, K.; Pacultová, K.; Bílková, T.; Fridrichová, D.; Koštejn, M.; Peikertová, P.; Stelmachowski, P.; Kukula, P.; Obalová, L. Effect of zinc on the structure and activity of the cobalt oxide catalysts for NO decomposition. Catalysts 2023, 13, 18. [Google Scholar] [CrossRef]
- Karásková, K.; Pacultová, K.; Klegova, A.; Fridrichová, D.; Valášková, M.; Jirátová, K.; Stelmachowski, P.; Kotarba, A.; Obalová, L. Magnesium effect in K/Co-Mg-Mn-Al mixed oxide catalyst for direct NO decomposition. Catalysts 2020, 10, 931. [Google Scholar] [CrossRef]
- Roberts, C.; Paidi, V.; Shepit, M.; Peck, T.; Masias, K.; van Lierop, J.; Reddy, G. Effect of Cu substitution on the structure and reactivity of CuxCo3-xO4 spinel catalysts for direct NOx decomposition. Catal. Today 2021, 360, 204–212. [Google Scholar] [CrossRef]
- Reddy, G.; Peck, T.; Roberts, C. CeO2–MxOy (M = Fe, Co, Ni, and Cu)-based oxides for direct NO decomposition. J. Phys. Chem. C 2019, 123, 28695–28706. [Google Scholar] [CrossRef]
- Ishihara, T.; Ando, M.; Sada, K.; Takiishi, K.; Yamada, K.; Nishiguchi, H.; Takita, Y. Direct decomposition of NO into N2 and O2 over La(Ba)Mn(In)O3 perovskite oxide. J. Catal. 2003, 220, 104–114. [Google Scholar] [CrossRef]
- Fang, S.; Takagaki, A.; Watanabe, M.; Ishihara, T. The direct decomposition of NO into N2 and O2 over copper doped Ba3Y4O9. Catal. Sci. Technol. 2020, 10, 2513–2522. [Google Scholar] [CrossRef]
- Xie, P.; Yong, X.; Wei, M.; Li, Y.; Zhang, C. High performance catalysts BaCoO3-CeO2 prepared by the one-pot method for NO direct decomposition. Chem. Cat. Chem. 2020, 12, 4297–4303. [Google Scholar] [CrossRef]
- Xie, P.; Yong, X.; Li, Y.; Liu, S.; Zhang, C. Tailoring the BaCoO3-CeO2 catalyst for NO direct decomposition: Factors determining catalytic activity. J. Catal. 2021, 400, 301–309. [Google Scholar] [CrossRef]
- Ji, W.; Xie, P.; Li, Y.; Zhang, C. Highly efficient NO direct decomposition over BaMnO3-CeO2 composite catalysts. Appl. Catal. A Gen. 2022, 634, 118543. [Google Scholar] [CrossRef]
- Teraoka, Y.; Harada, T.; Kagawa, S. Reaction mechanism of direct decomposition of nitric oxide over Co- and Mn-based perovskite-type oxides. J. Chem. Soc. Faraday Trans. 1998, 94, 1887–1891. [Google Scholar] [CrossRef]
- Tofan, C.; Klvana, D.; Kirchnerova, J. Direct decomposition of nitric oxide over perovskite-type catalysts: Part II. Effect of oxygen in the feed on the activity of three selected compositions. Appl. Catal. A Gen. 2002, 226, 225–240. [Google Scholar] [CrossRef]
- Moulder, J.; Chastain, J.; King, R. Handbook of X Ray Photoelectron Spectroscopy: A Reference Book of Standard Spectra for Identification and Interpretation of XPS Data; Perkin-Elmer Corporation: Eden Prairie, MN, USA, 1992; pp. 213–242. [Google Scholar]
- Cao, E.; Feng, Y.; Guo, Z.; Wang, H.; Song, G.; Zhang, Y.; Hao, W.; Sun, L.; Nie, Z. Ethanol sensing characteristics of (La,Ba)(Fe,Ti)O3 nanoparticles with impurity phases of BaTiO3 and BaCO3. J. Sol. Gel Sci. Technol. 2020, 96, 431–440. [Google Scholar] [CrossRef]
- Torregrosa-Rivero, V.; Albaladejo-Fuentes, V.; Sanchez-Adsuar, M.; Illan-Gomez, M. Copper doped BaMnO3 perovskite catalysts for NO oxidation and NO2-assisted diesel soot removal. RSC Adv. 2017, 7, 35228–35238. [Google Scholar] [CrossRef]
- Zhang, C.; Wang, C.; Zhan, W.; Guo, Y.; Guo, Y.; Lu, G.; Baylet, A.; Giroir-Fendler, A. Catalytic oxidation of vinyl chloride emission over LaMnO3 and LaB0.2Mn0.8O3 (B = Co, Ni, Fe) catalysts. Appl. Catal. B Environ. 2013, 129, 509–516. [Google Scholar] [CrossRef]
- Zhu, X.; Zhang, S.; Yang, Y.; Zheng, C.; Zhou, J.; Gao, X.; Tu, X. Enhanced performance for plasma-catalytic oxidation of ethyl acetate over La1-xCexCoO3+δ catalysts. Appl. Catal. B Environ. 2017, 213, 97–105. [Google Scholar] [CrossRef]
- Tang, Q.; Jiang, L.; Liu, J.; Wang, S.; Sun, G. Effect of surface manganese valence of manganese oxides on the activity of the oxygen reduction reaction in alkaline media. ACS Catal. 2014, 4, 457–463. [Google Scholar] [CrossRef]
- Sato, T.; Komanoya, T. Selective oxidation of alcohols with molecular oxygen catalyzed by Ru/MnOx/CeO2 under mild conditions. Catal. Commun. 2009, 10, 1095–1098. [Google Scholar] [CrossRef]
- Luo, M.; Yan, Z.; Jin, L.; He, M. Raman spectroscopic study on the structure in the surface and the bulk shell of CexPr1-xO2-δ mixed oxides. J. Phys. Chem. B 2006, 110, 13068–13071. [Google Scholar] [CrossRef]
- Lin, X.; Li, S.; He, H.; Wu, Z.; Wu, J.; Chen, L.; Ye, D.; Fu, M. Evolution of oxygen vacancies in MnOx-CeO2 mixed oxides for soot oxidation. Appl. Catal. B Environ. 2018, 223, 91–102. [Google Scholar] [CrossRef]
- Poojitha, B.; Rathore, A.; Kumar, A.; Saha, S. Signatures of magnetostriction and spin-phonon coupling in magnetoelectric hexagonal 15R-BaMnO3. Phys. Rev. B 2020, 102, 134436. [Google Scholar] [CrossRef]
- Liu, H.; Li, S.; Wang, W.; Yu, W.; Zhang, W.; Ma, C.; Jia, C. Partially sintered copper-ceria as excellent catalyst for the high-temperature reverse water gas shift reaction. Nat. Commun. 2022, 13, 1–11. [Google Scholar] [CrossRef]
- Royer, S.; Alamdari, H.; Duprez, D.; Kaliaguine, S. Oxygen storage capacity of La1−xA′xBO3 perovskites (with A′ = Sr, Ce; B = Co, Mn)—Relation with catalytic activity in the CH4 oxidation reaction. Appl. Catal. B Environ. 2005, 58, 273–288. [Google Scholar] [CrossRef]
- Ghelamallah, M.; Kacimi, S.; Granger, P. Effects of alkaline earth metals on the surface, structure, and reactivity of α-alumina. Arab. J. Geosci. 2018, 11, 1–6. [Google Scholar] [CrossRef]
- Zhu, J.; Mao, D.; Li, J.; Xie, X.; Yang, X.; Wu, Y. Recycle-new possible mechanism of NO decomposition over perovskite(-like) oxides. J. Mol. Catal. A Chem. 2005, 233, 29–34. [Google Scholar] [CrossRef]
- Medvedev, D.; Murashkina, A.; Pikalova, E.; Demin, A.; Podias, A.; Tsiakaras, P. BaCeO3: Materials development, properties and application. Prog. Mater. Sci. 2014, 60, 72–129. [Google Scholar] [CrossRef]
Disclaimer/Publisher’s Note: The statements, opinions and data contained in all publications are solely those of the individual author(s) and contributor(s) and not of MDPI and/or the editor(s). MDPI and/or the editor(s) disclaim responsibility for any injury to people or property resulting from any ideas, methods, instructions or products referred to in the content. |
© 2023 by the authors. Licensee MDPI, Basel, Switzerland. This article is an open access article distributed under the terms and conditions of the Creative Commons Attribution (CC BY) license (https://creativecommons.org/licenses/by/4.0/).







