1,3-Butadiene Production Using Ash-Based Catalyst
Abstract
1. Introduction
2. Results and Discussion
2.1. Characterization of Catalyst Using XRD
2.2. Characterization of Catalyst Using XPS
2.3. BET Profiles of the Catalyst
2.4. SEM Analysis for the Catalyst
2.5. Effect of Ash as Catalysts on Ethanol Dehydration
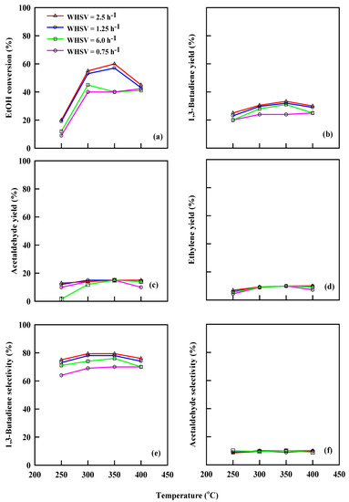
2.5.1. Effect of WHSV for Ash as Catalyst at Different Reaction Temperatures
2.5.2. Effect of WHSV for Ash:MgO (1:1) at Different Reaction Temperatures
2.5.3. Effect of WHSV for Ash:MgO (1:2) at Different Reaction Temperature
2.5.4. Effect of WHSV for Ash:MgO (1:3) at different Reaction Temperature
2.5.5. Effect of WHSV Using Ash:MgO/ZrO2 (1:1:1)
2.6. Effect of Time on Stream on Ethanol Dehydration
3. Materials and Methods
3.1. Materials
3.2. Catalyst Preparation
3.3. Dehydration of the Ethanol in a Fixed Bed Reactor
3.4. Catalyst Characterization
4. Conclusions
Supplementary Materials
Author Contributions
Funding
Data Availability Statement
Conflicts of Interest
References
- Bojang, A.A.; Wu, H.-S. Production of 1, 3-Butadiene from Ethanol Using Treated Zr-Based Catalyst. Catalysts 2022, 12, 766. [Google Scholar] [CrossRef]
- Pomalaza, G.; Capron, M.; Ordomsky, V.; Dumeignil, F. Recent breakthroughs in the conversion of ethanol to butadiene. Catalysts 2016, 6, 203. [Google Scholar] [CrossRef]
- Szabó, B.; Novodárszki, G.; Pászti, Z.; Domján, A.; Valyon, J.; Hancsók, J.; Barthos, R. MgO-SiO2 Catalysts for the Ethanol to Butadiene Reaction: The Effect of Lewis Acid Promoters. ChemCatChem 2020, 12, 5686–5696. [Google Scholar] [CrossRef]
- Angelici, C.; Weckhuysen, B.M.; Bruijnincx, P.C.A. Chemocatalytic conversion of ethanol into butadiene and other bulk chemicals. ChemSusChem 2013, 6, 1595–1614. [Google Scholar] [CrossRef]
- Bhattacharyya, S.K.; Ganguly, N.D. One-step catalytic conversion of ethanol to butadiene in the fixed bed. I. Single-oxide catalysts. J. Appl. Chem. 1962, 12, 97–104. [Google Scholar] [CrossRef]
- Boronat, M.; Concepción, P.; Corma, A.; Renz, M.; Valencia, S. Determination of the catalytically active oxidation Lewis acid sites in Sn-beta zeolites, and their optimisation by the combination of theoretical and experimental studies. J. Catal. 2005, 234, 111–118. [Google Scholar] [CrossRef]
- Boje, A.; Taifan, W.E.; Ström, H.; Bucko, T.; Baltrusaitis, J.; Hellman, A. First-principles-informed energetic span and microkinetic analysis of ethanol catalytic conversion to 1, 3-butadiene on MgO. Catal. Sci. Technol. 2020, 11, 6682–6694. [Google Scholar] [CrossRef]
- Cheong, J.L.; Shao, Y.; Tan, S.J.; Li, X.; Zhang, Y.; Lee, S.S. Highly active and selective Zr/MCF catalyst for production of 1, 3-butadiene from ethanol in a dual fixed bed reactor system. ACS Sustain. Chem. Eng. 2016, 4, 4887–4894. [Google Scholar] [CrossRef]
- Kyriienko, P.I.; Larina, O.V.; Balakin, D.Y.; Stetsuk, A.O.; Nychiporuk, Y.M.; Soloviev, S.O.; Orlyk, S.M. 1, 3-Butadiene production from aqueous ethanol over ZnO/MgO-SiO2 catalysts: Insight into H2O effect on catalytic performance. Appl. Catal. A Gen. 2021, 616, 118081. [Google Scholar] [CrossRef]
- Zhang, M.; Guan, X.; Zhuang, J.; Yu, Y. Insights into the mechanism of ethanol conversion into 1, 3-butadiene on Zr-β zeolite. Appl. Surf. Sci. 2022, 579, 152212. [Google Scholar] [CrossRef]
- Lin, F.; Dagle, V.L.; Winkelman, A.D.; Engelhard, M.; Kovarik, L.; Wang, Y.; Wang, Y.; Dagle, R.; Wang, H. Understanding the Deactivation of Ag−ZrO2/SiO2 Catalysts for the Single-step Conversion of Ethanol to Butenes. ChemCatChem 2021, 13, 999–1008. [Google Scholar] [CrossRef]
- Ezinkwo, G.O.; Tretyakov, V.P.; Aliyu, A.; Ilolov, A.M. Fundamental issues of catalytic conversion of bio-ethanol into butadiene. ChemBioEng Rev. 2014, 1, 194–203. [Google Scholar] [CrossRef]
- Liu, C.; Li, Y.; Wu, L.; Geng, Z. Synthesis of 1, 3-butadiene from ethanol/acetaldehyde over ZrO2-MgO-SiO2 catalyst: The thermodynamics and reaction kinetics analysis. Chem. Eng. J. 2020, 421, 127861. [Google Scholar] [CrossRef]
- Tiggelaar, R.M.; Benito-López, F.; Hermes, D.C.; Rathgen, H.; Egberink, R.J.M.; Mugele, F.G.; Reinhoudt, D.N.; van den Berg, A.; Verboom, W.; Gardeniers, H.J.G.E. Fabrication, mechanical testing and application of high-pressure glass microreactor chips. Chem. Eng. J. 2007, 131, 163–170. [Google Scholar] [CrossRef]
- Kutuzova, T.; Kuznetzova, O.; Akhmedyanova, R. Cation-exchange resins as heterogeneous catalysts for the synthesis of 1, 3-butadiene from propylene and formaldehyde. Chim. Techno Acta 2021, 8, 20218201. [Google Scholar] [CrossRef]
- Suwansawat, P.; Jitkarnka, S. Impacts of preparation method on catalytic properties and activity of Shell@ Core structure of CuO@ ZrO2/FeMgAl-LDO catalyst for ethanol dehydrogenation. Clean. Eng. Technol. 2021, 2, 100088. [Google Scholar] [CrossRef]
- Yamamoto, T.; Kurimoto, A.; Sato, R.; Katada, S.; Mine, H.; Tanima, N.; Kamata, R. Ethanol conversion over Ga2O3–ZrO2 solid solution: Empirical evidence of the reaction pathway, the surface acid–base properties, and the role of gallium ions. Catal. Sci. Technol. 2021, 11, 2047–2056. [Google Scholar] [CrossRef]
- Chung, S.H.; Angelici, C.; Hinterding, S.O.M.; Weingarth, M.; Baldus, M.; Houben, K.; Weckhuysen, B.M.; Bruijnincx, P.C.A. Role of magnesium silicates in wet-kneaded silica–magnesia catalysts for the lebedev ethanol-to-butadiene process. ACS Catal. 2016, 6, 4034–4045. [Google Scholar] [CrossRef]
- Correia, L.S.; Grénman, H.; Wärnå, J.; Salmi, T.; Murzin, D.Y. Catalytic oxidation kinetics of arabinose on supported gold nanoparticles. Chem. Eng. J. 2019, 370, 952–961. [Google Scholar] [CrossRef]
- Da Ros, S.; Jones, M.D.; Mattia, D.; Schwaab, M.; Barbosa Coutinho, E.; Rabelo Neto, R.C.; Noronha, F.B.; Pinto, J.C. Microkinetic analysis of ethanol to 1, 3-butadiene reactions over MgO-SiO2 catalysts based on characterization of experimental fluctuations. Chem. Eng. J. 2017, 308, 988–1000. [Google Scholar] [CrossRef]
- Da Ros, S.; Jones, M.D.; Mattia, D.; Pinto, J.C.; Schwaab, M.; Noronha, F.B.; Kondrat, S.A.; Clarke, T.C.; Taylor, S.H. Ethanol to 1, 3-butadiene conversion by using ZrZn-containing MgO/SiO2 systems prepared by co-precipitation and effect of catalyst acidity modification. ChemCatChem 2016, 8, 2376–2386. [Google Scholar] [CrossRef]
- De Baerdemaeker, T.; Feyen, M.; Müller, U.; Yilmaz, B.; Xiao, F.S.; Zhang, W.; Yokoi, T.; Bao, X.; Gies, H.; De Vos, D.E. Bimetallic Zn and Hf on silica catalysts for the conversion of ethanol to 1,3-butadiene. ACS Catal. 2015, 5, 3393–3397. [Google Scholar] [CrossRef]
- Chae, H.J.; Kim, T.W.; Moon, Y.K.; Kim, H.K.; Jeong, K.E.; Kim, C.U.; Jeong, S.Y. Butadiene production from bioethanol and acetaldehyde over tantalum oxide-supported ordered mesoporous silica catalysts. Appl. Catal. B Environ. 2014, 150–151, 596–604. [Google Scholar] [CrossRef]
- Han, Z.; Li, X.; Zhang, M.; Liu, Z.; Gao, M. Sol–gel synthesis of ZrO2–SiO2 catalysts for the transformation of bioethanol and acetaldehyde into 1, 3-butadiene. RSC Adv. 2015, 5, 103982–103988. [Google Scholar] [CrossRef]
- Janssens, W.; Makshina, E.V.; Vanelderen, P.; De Clippel, F.; Houthoofd, K.; Kerkhofs, S.; Martens, J.A.; Jacobs, P.A.; Sels, B.F. Ternary Ag/MgO-SiO2 catalysts for the conversion of ethanol into butadiene. ChemSusChem 2015, 8, 994–1008. [Google Scholar] [CrossRef]
- Malinowski, J.; Dercz, G.; Prusik, K.; Pajak, L.; Pielaszek, R.; Pudlo, W. Structure studies on nanocrystalline powder of MgO xerogel prepared by sol-gel method. Mater. Sci.-Pol. 2009, 27, 201–207. [Google Scholar]
- Tripathi, A.; Faungnawakij, K.; Laobuthee, A.; Assabumrungrat, S.; Laosiripojna, N. Catalytic Activity of Bimetallic Cu-Ag/MgO-SiO2 Toward the Conversion of Ethanol to 1,3-Butadiene. Int. J. Chem. React. Eng. 2016, 14, 945–954. [Google Scholar] [CrossRef]
- Safaei-Ghomi, J.; Zahedi, S.; Javid, M.; Ghasemzadeh, M.A. MgO Nanoparticles: An Efficient, Green and Reusable Catalyst for the One-pot Syntheses of 2,6-Dicyanoanilines and 1,3-Diarylpropyl Malononitriles under Different Conditions. J. Nanostructures 2015, 5, 153–160. [Google Scholar] [CrossRef]
- Kongwudthiti, S.; Praserthdam, P.; Tanakulrungsank, W.; Inoue, M. The influence of Si–O–Zr bonds on the crystal-growth inhibition of zirconia prepared by the glycothermal method. J. Mater. Process. Technol. 2003, 136, 186–189. [Google Scholar] [CrossRef]
- Zhou, G.; Xu, C.; Cheng, W.; Zhang, Q.; Nie, W. Effects of Oxygen Element and Oxygen-Containing Functional Groups on Surface Wettability of Coal Dust with Various Metamorphic Degrees Based on XPS Experiment. J. Anal. Methods Chem. 2015, 2015, 467242. [Google Scholar] [CrossRef]
- Chen, Z.; Zhang, X.; Yang, F.; Peng, H.; Zhang, X.; Zhu, S.; Che, L. Deactivation of a Y-zeolite based catalyst with coke evolution during the catalytic pyrolysis of polyethylene for fuel oil. Appl. Catal. A Gen. 2021, 609, 117873. [Google Scholar] [CrossRef]
- Zhang, M.; Qin, Y.; Jiang, H.; Wang, L. Protective desilication of β zeolite: A mechanism study and its application in ethanol-acetaldehyde to 1, 3-butadiene. Microporous Mesoporous Mater. 2021, 326, 111359. [Google Scholar] [CrossRef]
- Sekiguchi, Y.; Akiyama, S.; Urakawa, W.; Koyama, T.R.; Miyaji, A.; Motokura, K.; Baba, T. One-step catalytic conversion of ethanol into 1, 3-butadiene using zinc-containing talc. Catal. Commun. 2015, 68, 20–24. [Google Scholar] [CrossRef]
- Budagumpi, S.; Kim, K.-H.; Kim, I. Catalytic and coordination facets of single-site non-metallocene organometallic catalysts with N-heterocyclic scaffolds employed in olefin polymerization. Coord. Chem. Rev. 2011, 255, 2785–2809. [Google Scholar] [CrossRef]
- Wu, C.Y.; Wu, H.S. Ethylene formation from ethanol dehydration using ZSM-5 catalyst. ACS Omega 2017, 2, 4287–4296. [Google Scholar] [CrossRef]
- Taifan, W.E.; Bučko, T.; Baltrusaitis, J. Catalytic conversion of ethanol to 1,3-butadiene on MgO: A comprehensive mechanism elucidation using DFT calculations. J. Catal. 2017, 346, 78–91. [Google Scholar] [CrossRef]
- Dahan, H.O.; Landau, M.V.; Herskowitz, M. Effect of surface acidity-basicity balance in modified ZnxZryOz catalyst on its performance in the conversion of hydrous ethanol to hydrocarbons. J. Ind. Eng. Chem. 2021, 95, 156–169. [Google Scholar] [CrossRef]
- Taifan, W.E.; Li, Y.; Baltrus, J.P.; Zhang, L.; Frenkel, A.I.; Baltrusaitis, J. Operando structure determination of Cu and Zn on supported MgO/SiO2 catalysts during ethanol conversion to 1,3-butadiene. ACS Catal. 2019, 9, 269–285. [Google Scholar] [CrossRef]
- Lewandowski, M.; Babu, G.S.; Vezzoli, M.; Jones, M.D.; Owen, R.E.; Mattia, D.; Plucinski, P.; Mikolajska, E.; Ochenduszko, A.; Apperley, D.C. Investigations into the conversion of ethanol to 1,3-butadiene using MgO:SiO2 supported catalysts. Catal. Commun. 2014, 49, 25–28. [Google Scholar] [CrossRef]
- Jones, M.D.; Keir, C.G.; Di Iulio, C.; Robertson, R.A.; Williams, C.V.; Apperley, D.C. Investigations into the conversion of ethanol into 1,3-butadiene. Catal. Sci. Technol. 2011, 1, 267–272. [Google Scholar] [CrossRef]
- Pomalaza, G.; Arango, P.; Capron, M.; Dumeignil, F.Y. Ethanol-to-Butadiene: The reaction and its catalysts. Catal. Sci. Technol. 2020, 10, 4860–4911. [Google Scholar] [CrossRef]
- Lesmana, D.; Wu, H.-S. Modified oxalic acid co-precipitation method for preparing Cu/ZnO/Al2O3/Cr2O3/CeO2 catalysts for the OR (oxidative reforming) of M (methanol) to produce H2 (hydrogen) gas. Energy 2014, 69, 769–777. [Google Scholar] [CrossRef]










| Catalyst | O 1s (%) | C 1s (%) | Zr 3d (%) | Si 2p (%) | Mg 1s (%) | Na 1s (%) | 
|---|---|---|---|---|---|---|
| Ash:MgO (1:1) | 60.8 | 7.3 | - | 28.7 | 1.0 | 1.2 | 
| Ash:MgO (1:2) | 58.7 | 9.9 | - | 25.3 | 3.8 | 2.5 | 
| Ash:MgO (1:3) | 62.6 | 5.8 | - | 26.3 | 4.4 | 0.9 | 
| Ash:MgO/ZrO2 (1:1:1) | 44.4 | 14.0 | 10.3 | 20.2 | 11.1 | - | 
| Catalyst | BET Surface Area (m2/g) | Pore Volume (cm3/g) α | 
|---|---|---|
| Ash:MgO (1:1) | 27.4 | 0.2432 | 
| Ash:MgO (1:2) | 28.5 | 0.2763 | 
| Ash:MgO (1:3) | 29.3 | 0.3419 | 
| Ash:MgO/ZrO2 (1:1:1) | 44.3 | 0.3927 | 
| Disclaimer/Publisher’s Note: The statements, opinions and data contained in all publications are solely those of the individual author(s) and contributor(s) and not of MDPI and/or the editor(s). MDPI and/or the editor(s) disclaim responsibility for any injury to people or property resulting from any ideas, methods, instructions or products referred to in the content. | 
© 2023 by the authors. Licensee MDPI, Basel, Switzerland. This article is an open access article distributed under the terms and conditions of the Creative Commons Attribution (CC BY) license (https://creativecommons.org/licenses/by/4.0/).
Share and Cite
Bojang, A.A.; Wu, H.S. 1,3-Butadiene Production Using Ash-Based Catalyst. Catalysts 2023, 13, 258. https://doi.org/10.3390/catal13020258
Bojang AA, Wu HS. 1,3-Butadiene Production Using Ash-Based Catalyst. Catalysts. 2023; 13(2):258. https://doi.org/10.3390/catal13020258
Chicago/Turabian StyleBojang, Adama A., and Ho Shing Wu. 2023. "1,3-Butadiene Production Using Ash-Based Catalyst" Catalysts 13, no. 2: 258. https://doi.org/10.3390/catal13020258
APA StyleBojang, A. A., & Wu, H. S. (2023). 1,3-Butadiene Production Using Ash-Based Catalyst. Catalysts, 13(2), 258. https://doi.org/10.3390/catal13020258
 
        





 
       