Ni(1−x)Pdx Alloyed Nanostructures for Electrocatalytic Conversion of Furfural into Fuels
Abstract
1. Introduction
2. Results
2.1. Physicochemical Properties
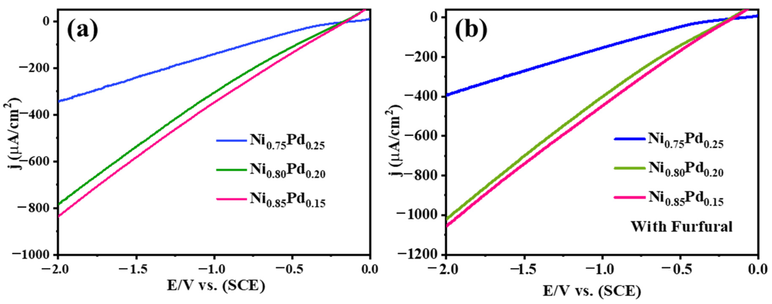
2.2. Electrochemical Properties
2.3. ECH of Furfural
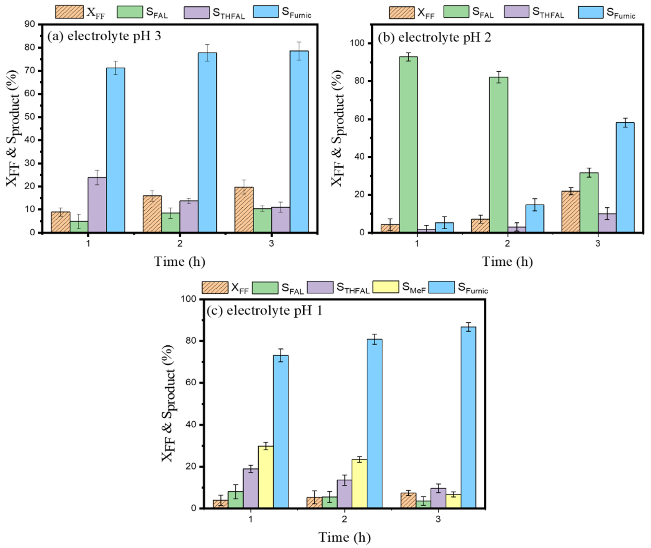
2.4. Varying Reaction Parameters
3. Materials and Methods
3.1. Synthesis of Ni-Pd Nanoalloys
3.2. Characterizations
3.3. Electrohydrogenation of Furfural
3.4. Paired Electrolysis Cell
3.5. Product Identification and Quantification
4. Conclusions
Supplementary Materials
Author Contributions
Funding
Institutional Review Board Statement
Informed Consent Statement
Data Availability Statement
Acknowledgments
Conflicts of Interest
References
- Bababrik, R.; Santhanaraj, D.; Resasco, D.E.; Wang, B. A comparative study of thermal- and electrocatalytic conversion of furfural: Methylfuran as a primary and major product. J. Appl. Electrochem. 2021, 51, 19–26. [Google Scholar] [CrossRef]
- Yiyue, Z.; Mengke, C.; Jiahui, X.; Yamei, S.; Guangqin, L. Recent advances in the electrocatalytic synthesis of 2,5-furandicarboxylic acid from 5-(hydroxymethyl)furfural. J. Mater. Chem. A 2021, 9, 20164–20183. [Google Scholar]
- Jung, S.; Biddinger, E.J. Controlling Competitive Side Reactions in the Electrochemical Upgrading of Furfural to Biofuel. Energy Technol. 2018, 6, 1370–1379. (In English) [Google Scholar] [CrossRef]
- Frontana-Uribe, B.A.; Little, R.D.; Ibanez, J.G.; Vasquez-Medrano, R.; Palma, A. Organic electrosynthesis: A promising green methodology in organic chemistry. Green Chem. 2010, 12, 2099–2119. (In English) [Google Scholar] [CrossRef]
- Biddinger, E.J.; Gutierrez, O.Y.; Holladay, J. Electrochemical routes for biomass conversion. J. Appl. Electrochem. 2021, 51, 1–3. [Google Scholar] [CrossRef]
- Luthra, R.; Datta, S.; Roy, A.; Ghotekar, S.; Bilal, M. Application of Nanotechnology in Production of Biofuel (Clean Energy Production Technologies.); Springer Nature Singapore: Singapore, 2022; pp. 269–285. [Google Scholar]
- Nikul’shin, P.A.; Ershov, M.A.; Grigor’yeva, E.V.; Tarazanov, S.V.; Kuznetsova, S.N.; Repina, O.V. Furfural Derivatives as Fuel Components. Chem. Technol. Fuels Oils 2020, 55, 720–725. [Google Scholar] [CrossRef]
- Mariscal, R.; Maireles-Torres, P.; Ojeda, M.; Sadaba, I.; Granados, M.L. Furfural: A renewable and versatile platform molecule for the synthesis of chemicals and fuels. Energy Environ. Sci. 2016, 9, 1144–1189. [Google Scholar] [CrossRef]
- Delima, R.S.; Stankovic, M.D.; MacLeod, B.P.; Fink, A.G.; Rooney, M.B.; Huang, A.; Jansonius, R.P.; Dvorak, D.J.; Berlinguette, C.P. Selective hydrogenation of furfural using a membrane reactor. Energy Environ. Sci. 2022, 15, 215–224. [Google Scholar] [CrossRef]
- RNtimbani, N.; Farzad, S.; Görgens, J.F. Techno-economics of one-stage and two-stage furfural production integrated with ethanol co-production from sugarcane lignocelluloses. Biofuels Bioprod. Biorefin. 2021, 15, 1900–1911. [Google Scholar] [CrossRef]
- Kapanji, K.K.; Haigh, K.F.; Görgens, J.F. Techno-economics of lignocellulose biorefineries at South African sugar mills using the biofine process to co-produce levulinic acid, furfural and electricity along with gamma valeractone. Biomass Bioenergy 2021, 146, 106008. [Google Scholar] [CrossRef]
- Slak, J.; Pomeroy, B.; Kostyniuk, A.; Grilc, M.; Likozar, B. A review of bio-refining process intensification in catalytic conversion reactions, separations and purifications of hydroxymethylfurfural (HMF) and furfural. Chem. Eng. J. 2022, 429, 132325. [Google Scholar] [CrossRef]
- Wang, Y.; Gao, T.; Lu, Y.; Wang, Y.; Cao, Q.; Fang, W. Efficient hydrogenation of furfural to furfuryl alcohol by magnetically recoverable RuCo bimetallic catalyst. Green Energy Environ. 2022, 7, 275–287. [Google Scholar] [CrossRef]
- Gao, G.; Remón, J.; Jiang, Z.; Yao, L.; Hu, C. Selective hydrogenation of furfural to furfuryl alcohol in water under mild conditions over a hydrotalcite-derived Pt-based catalyst. Appl. Catal. B Environ. 2022, 309, 121260. [Google Scholar] [CrossRef]
- Ouyang, W.; Yepez, A.; Romero, A.A.; Luque, R. Towards industrial furfural conversion: Selectivity and stability of palladium and platinum catalysts under continuous flow regime. Catal. Today 2018, 308, 32–37. [Google Scholar] [CrossRef]
- Nan, X.; Jing, G.; Zuohua, H. Review on the production methods and fundamental combustion characteristics of furan derivatives. Renew. Sustain. Energy Rev. 2016, 54, 1189–1211. [Google Scholar]
- Jung, S.; Biddinger, E.J. Electrocatalytic Hydrogenation and Hydrogenolysis of Furfural and the Impact of Homogeneous Side Reactions of Furanic Compounds in Acidic Electrolytes. ACS Sustain. Chem. Eng. 2016, 4, 6500–6508. (In English) [Google Scholar] [CrossRef]
- Li, Z.; Kelkar, S.; Lam, C.H.; Luczek, K.; Jackson, J.; Miller, D.J.; Saffron, C.M. Aqueous electrocatalytic hydrogenation of furfural using a sacrificial anode. Electrochim. Acta 2012, 64, 87–93. [Google Scholar] [CrossRef]
- Bharath, G.; Hai, A.; Rambabu, K.; Banat, F.; Jayaraman, R.; Taher, H.; Bastidas-Oyanedel, J.-R.; Ashraf, M.T.; Schmidt, J.E. Systematic production and characterization of pyrolysis-oil from date tree wastes for bio-fuel applications. Biomass Bioenergy 2020, 135, 105523. [Google Scholar] [CrossRef]
- Lopez-Ruiz, J.A.; Andrews, E.M.; Akhade, S.A.; Lee, M.-S.; Koh, K.; Sanyal, U.; Yuk, S.F.; Karkamkar, A.J.; Derewinski, M.A.; Holladay, J.; et al. Understanding the Role of Metal and Molecular Structure on the Electrocatalytic Hydrogenation of Oxygenated Organic Compounds. ACS Catal. 2019, 9, 9964–9972. [Google Scholar] [CrossRef]
- Zhang, X.; Han, M.; Liu, G.; Wang, G.; Zhang, Y.; Zhang, H.; Zhao, H. Simultaneously high-rate furfural hydrogenation and oxidation upgrading on nanostructured transition metal phosphides through electrocatalytic conversion at ambient conditions. Appl. Catal. B Environ. 2019, 244, 899–908. [Google Scholar] [CrossRef]
- Bharath, G.; Rambabu, K.; Hai, A.; Banat, F.; Rajendran, S.; Dionysiou, D.D.; Show, P.L. High-performance and stable Ru-Pd nanosphere catalyst supported on two-dimensional boron nitride nanosheets for the hydrogenation of furfural via water-mediated protonation. Fuel 2021, 290, 312–324. [Google Scholar] [CrossRef]
- Parupudi, A.; Mulagapati, S.H.R.; Subramony, J.A. Chapter 1—Nanoparticle technologies: Recent state of the art and emerging opportunities. In Nanoparticle Therapeutics; Kesharwani, P., Singh, K.K., Eds.; Academic Press: Cambridge, MA, USA, 2022; pp. 3–46. [Google Scholar]
- Jung, S.; Karaiskakis, A.N.; Biddinger, E.J. Enhanced activity for electrochemical hydrogenation and hydrogenolysis of furfural to biofuel using electrodeposited Cu catalysts. Catal. Today 2019, 323, 26–34. [Google Scholar] [CrossRef]
- Zhao, B.; Chen, M.; Guo, Q.; Fu, Y. Electrocatalytic hydrogenation of furfural to furfuryl alcohol using platinum supported on activated carbon fibers. Electrochim. Acta 2014, 135, 139–146. [Google Scholar] [CrossRef]
- Barnard, N.C.; Brown, S.G.R.; Devred, F.; Bakker, J.W.; Nieuwenhuys, B.E.; Adkins, N.J. A quantitative investigation of the structure of Raney-Ni catalyst material using both computer simulation and experimental measurements. J. Catal. 2011, 281, 300–308. (In English) [Google Scholar] [CrossRef]
- Pisarek, M.; Łukaszewski, M.; Kedzierzawski, P.; Janik-Czachor, M.; Winiarek, P. Influence of Cr addition to Raney Ni catalyst on hydrogenation of isophorone. Catal. Commun. 2008, 10, 213–216. (In English) [Google Scholar] [CrossRef]
- Shan, S.; Petkov, V.; Yang, L.; Luo, J.; Joseph, P.; Mayzel, D.; Prasai, B.; Wang, L.; Engelhard, M.; Zhong, C.-J. Atomic-structural synergy for catalytic CO oxidation over palladium–nickel nanoalloys. J. Am. Chem. Soc. 2014, 136, 7140–7151. [Google Scholar] [CrossRef]
- Govindan, B.; Madhu, R.; Haija, M.A.; Kusmartsev, F.V.; Banat, F. Pd-Decorated 2D MXene (2D Ti3C2Tix) as a High-Performance Electrocatalyst for Reduction of Carbon Dioxide into Fuels toward Climate Change Mitigation. Catalysts 2022, 12, 1180. [Google Scholar] [CrossRef]
- Huang, H.; Zhao, Y.; Bai, Y.; Li, F.; Zhang, Y.; Chen, Y. Conductive metal–organic frameworks with extra metallic sites as an efficient electrocatalyst for the hydrogen evolution reaction. Adv. Sci. 2020, 7, 2000012. [Google Scholar] [CrossRef]
- Lee, K.; Kang, S.W.; Lee, S.-U.; Park, K.-H.; Lee, Y.W.; Han, S.W. One-pot synthesis of monodisperse 5 nm Pd–Ni nanoalloys for electrocatalytic ethanol oxidation. ACS Appl. Mater. Interfaces 2012, 4, 4208–4214. [Google Scholar] [CrossRef]
- Sabri, M.A.; Bharath, G.; Hai, A.; Haija, M.A.; Nogueira, R.P.; Banat, F. Synthesis of molybdenum-cobalt nanoparticles decorated on date seed-derived activated carbon for the simultaneous electrochemical hydrogenation and oxidation of furfural into fuels. Fuel Process. Technol. 2022, 238, 107525. [Google Scholar] [CrossRef]
- Pham, H.Q.; Huynh, T.T. Facile room-temperature fabrication of a silver–platinum nanocoral catalyst towards hydrogen evolution and methanol electro-oxidation. Mater. Adv. 2022, 3, 1609–1616. [Google Scholar] [CrossRef]
- de Levie, R. On porous electrodes in electrolyte solutions: I. Capacitance effects. Electrochim. Acta 1963, 8, 751–780. [Google Scholar] [CrossRef]
- Reséndiz-Ramírez, R.; Rodríguez-López, A.; Díaz-Real, J.A.; Delgado-Arenas, H.F.; Osornio-Villa, A.; Hernández-Leos, R.; Vivier, V.; Antaño-López, R. Reaction Mechanisms of the Electrosynthesis of Magnetite Nanoparticles Studied by Electrochemical Impedance Spectroscopy. ACS Omega 2021, 7, 761–772. [Google Scholar] [CrossRef]
- Bharath, G.; Banat, F. High-Grade Biofuel Synthesis from Paired Electrohydrogenation and Electrooxidation of Furfural Using Symmetric Ru/Reduced Graphene Oxide Electrodes. ACS Appl. Mater. Interfaces 2021, 13, 24643–24653. [Google Scholar] [CrossRef]
- Wang, B.; Li, C.; He, B.; Qi, J.; Liang, C. Highly stable and selective Ru/NiFe2O4 catalysts for transfer hydrogenation of biomass-derived furfural to 2-methylfuran. J. Energy Chem. 2017, 26, 799–807. [Google Scholar] [CrossRef]
- May, A.S.; Biddinger, E.J. Strategies to Control Electrochemical Hydrogenation and Hydrogenolysis of Furfural and Minimize Undesired Side Reactions. ACS Catal. 2020, 10, 3212–3221. (In English) [Google Scholar] [CrossRef]
- Andrews, E.; Lopez-Ruiz, J.A.; Egbert, J.D.; Koh, K.; Sanyal, U.; Song, M.; Li, D.; Karkamkar, A.J.; Derewinski, M.A.; E Holladay, J.; et al. Performance of Base and Noble Metals for Electrocatalytic Hydrogenation of Bio-Oil-Derived Oxygenated Compounds. ACS Sustain. Chem. Eng. 2020, 8, 4407–4418. [Google Scholar] [CrossRef]
- Zhang, P.; Sheng, X.; Chen, X.; Fang, Z.; Jiang, J.; Wang, M.; Li, F.; Fan, L.; Ren, Y.; Zhang, B.; et al. Paired Electrocatalytic Oxygenation and Hydrogenation of Organic Substrates with Water as the Oxygen and Hydrogen Source. Angew. Chem. Int. Ed. 2019, 58, 9155–9159. [Google Scholar] [CrossRef]
- Guo, Y.; Chen, Z.; Rioux, R.M.; Savage, P.E. Hydrothermal reaction of tryptophan over Ni-based bimetallic catalysts. J. Supercrit. Fluids 2019, 143, 336–345. [Google Scholar] [CrossRef]








Disclaimer/Publisher’s Note: The statements, opinions and data contained in all publications are solely those of the individual author(s) and contributor(s) and not of MDPI and/or the editor(s). MDPI and/or the editor(s) disclaim responsibility for any injury to people or property resulting from any ideas, methods, instructions or products referred to in the content. |
© 2023 by the authors. Licensee MDPI, Basel, Switzerland. This article is an open access article distributed under the terms and conditions of the Creative Commons Attribution (CC BY) license (https://creativecommons.org/licenses/by/4.0/).
Share and Cite
Aboukhater, A.; Haija, M.A.; Banat, F.; Othman, I.; Sabri, M.A.; Govindan, B. Ni(1−x)Pdx Alloyed Nanostructures for Electrocatalytic Conversion of Furfural into Fuels. Catalysts 2023, 13, 260. https://doi.org/10.3390/catal13020260
Aboukhater A, Haija MA, Banat F, Othman I, Sabri MA, Govindan B. Ni(1−x)Pdx Alloyed Nanostructures for Electrocatalytic Conversion of Furfural into Fuels. Catalysts. 2023; 13(2):260. https://doi.org/10.3390/catal13020260
Chicago/Turabian StyleAboukhater, Aya, Mohammad Abu Haija, Fawzi Banat, Israa Othman, Muhammad Ashraf Sabri, and Bharath Govindan. 2023. "Ni(1−x)Pdx Alloyed Nanostructures for Electrocatalytic Conversion of Furfural into Fuels" Catalysts 13, no. 2: 260. https://doi.org/10.3390/catal13020260
APA StyleAboukhater, A., Haija, M. A., Banat, F., Othman, I., Sabri, M. A., & Govindan, B. (2023). Ni(1−x)Pdx Alloyed Nanostructures for Electrocatalytic Conversion of Furfural into Fuels. Catalysts, 13(2), 260. https://doi.org/10.3390/catal13020260

